Abstract
Despite recent advances in therapies including immunotherapy, patients with acute myeloid leukaemia (AML) still experience relatively poor survival rates. The Inhibition of Apoptosis (IAP) family member, survivin, also known by its gene and protein name, Baculoviral IAP Repeat Containing 5 (BIRC5), remains one of the most frequently expressed antigens across AML subtypes. To better understand its potential to act as a target for immunotherapy and a biomarker for AML survival, we examined the protein and pathways that BIRC5 interacts with using the Kyoto Encyclopedia of Genes and Genomes (KEGG), search tool for recurring instances of neighbouring genes (STRING), WEB-based Gene Set Analysis Toolkit, Bloodspot and performed a comprehensive literature review. We then analysed data from gene expression studies. These included 312 AML samples in the Microarray Innovations In Leukemia (MILE) dataset. We found a trend between above median levels of BIRC5 being associated with improved overall survival (OS) but this did not reach statistical significance (p = 0.077, Log-Rank). There was some evidence of a beneficial effect in adjusted analyses where above median levels of BIRC5 were shown to be associated with improved OS (p = 0.001) including in Core Binding Factor (CBF) patients (p = 0.03). Above median levels of BIRC5 transcript were associated with improved relapse free survival (p < 0.0001). Utilisation of a second large cDNA microarray dataset including 306 AML cases, again showed no correlation between BIRC5 levels and OS, but high expression levels of BIRC5 correlated with worse survival in inv(16) patients (p = 0.077) which was highly significant when datasets A and B were combined (p = 0.001). In addition, decreased BIRC5 expression was associated with better clinical outcome (p = 0.004) in AML patients exhibiting CBF mainly due to patients with inv(16) (p = 0.007). This study has shown that BIRC5 expression plays a role in the survival of AML patients, this association is not apparent when we examine CBF patients as a cohort, but when those with inv(16) independently indicating that those patients with inv(16) would provide interesting candidates for immunotherapies that target BIRC5.
1. Introduction
Acute Myeloid Leukaemia (AML) is defined as a malignant disorder of the bone marrow (BM) characterised by the clonal expansion and differentiation arrest of myeloid progenitor cells [1]. AML is difficult to treat, mostly due to its heterogeneity and the older age group it arises in. AML is now diagnosed in accordance with the World Health Organisation (WHO) criteria, which was revised in 2016 to integrate new methods of diagnosis such as updates in genetic data, biomarkers, morphology and immunotherapy [2]. Patient outcomes can be predicted by the cytogenetic abnormalities detected in their blasts with t(8;21), t(15;17), inv(16), and t(16;16) or biallelic CCAAT/enhancer-binding protein alpha (CEBPA), a transcription factor that controls proliferation and granulocytic differentiation, all being associated with favourable prognosis (60% overall survival (OS) and 90% remission rate) [3,4]. Poor prognostic markers include inv(3), t(3;3), t(6;9), −5, 5q-, −7, 7q- or complex karyotype as these patients are highly resistant to induction chemotherapy, have higher relapse rates and an OS of just 5–15% [5].
Despite treatments such as maximally intensive chemotherapies and allogeneic stem cell transplantation, survival rates have remained mostly unchanged for AML patients until recent years when there has been a significant shift towards the use of novel and effective, targeted therapies including inhibitors of mutant FMS-like tyrosine kinase 3 (FLT3) [6] and isocitrate dehydrogenase (IDH), the B cell lymphoma 2 inhibitor venetoclax and the hedgehog pathway inhibitor glasdegib (reviewed in [7]). Although unique cytogenetic abnormalities occur in many AML patients, most account for less than 10% of all patients and few have been found to be suitable targets for therapy with few exceptions [8].
Baculoviral IAP Repeat Containing 5 (BIRC5) is expressed in 60% of adult AML patient samples and is more frequently expressed than FLT-3 [9], PRAME [10] or Wilms’ Tumour gene 1 (WT1) [11]. It is an apoptosis inhibitor [12] normally found in embryonic development and absent from normal differentiated tissues. BIRC5 is commonly upregulated within tumours [13] and its overexpression is associated with a worse prognosis in a number of different cancer types [14,15,16], likely due to a failure of programmed cell death in the affected cells. BIRC5 plays an essential role in mitosis and secures bipolar chromosome segregation with its molecular partners, Aurora B, Borealin and the inner centromere protein, playing a key role in chromosomal instability when overexpressed [17]. BIRC5 has been shown to be transcriptionally repressed by wild-type p53 [18] and when p53 is absent or mutated, BIRC5 overexpression leads to polyploidy.
In 2020, Davis et al. [19] described the identification of genes that were differentially expressed between adult AML risk subgroups following analysis of The Cancer Genome Atlas (TCGA-LAML) dataset. Only risk subgroups that included more than 10 patients were reported on. We found that genes altered in AML were involved in key processes such as the evasion of apoptosis (BIRC5, WNT1) or the control of cell proliferation (SSX2IP, AML1-ETO). On this basis, and its relatively high frequency of expression in AML, we examined BIRC5, its molecular interactions, its potential as a biomarker and target for therapy in AML, further.
2. Results
2.1. BIRC5 Expression in Healthy Blood Cells
Using BloodSpot [20] we found that BIRC5 was predominantly expressed in the early promyelocyte lineage, common myeloid progenitors megakaryocyte/erythroid precursor (MEP) and multipotent progenitors (Figure 1A).
Figure 1.
BIRC5 expression in health and disease. (A) BIRC5 expression was analysed in healthy FACs sorted blood cells and analysed using the BloodSpot dataset (accessed on 27 March 2021; [20]). Expression was shown to be highest in myelocytes (MY), late promyelocytes (late_PM), early promyelocytes (early_PM), common myeloid progenitors (CMP), megakaryocyte/ erythroid precursor (MEP) and multipotent progenitors (MPP). No expression was detected in haematopoietic stem cells (HSC) and metamyelocytes (MM) with decreased expression in band cells (BC) and polymorphonuclear cells (PMN); (B) interactions between BIRC5 and other proteins in adult AML based on peer-reviewed published data (caspases [23,24,25]; p53 [22,26,27]; C-Myc [28]; Wnt/β-catenin [29]; CDK4; [30]; mitotic spindle formation [31,32]; BAC/BAX/DIABLO [24,33]). Values above the arrows indicate the p-values of the relationships between the two gene probesets following analysis using the Microarray Innovations In Leukemia (MILE) dataset [34] (Table S1).
2.2. Pathway Analysis
We examined the pathways that BIRC5 engages in using in silico searches and RNA-seq data based on our own previous studies [19]. We found that BIRC5 directly engages with genes involved in pathways associated with the hallmarks of cancer [21] (Figure 1B; Table S1) including apoptosis and mitosis.
BIRC5 is periodically expressed during the cell cycle, with weak expression in G1, multiplied by six in the S phase and by more than 40 in G2/M. During mitosis BIRC5 is involved in spindle assembly checkpoint and cytokinesis. BIRC5 is downregulated by p53 to allow apoptosis to occur and in this way regulates cell proliferation and cell death [22].
2.3. Gene Expression Analysis
2.3.1. BIRC5 Expression and Clinical Features of AML
Examination of the relationship between each BIRC5 probesets and the clinical features of adult AML (MILE; dataset A) showed a significant difference in BIRC5 expression between genders, Nucleophosmin 1 (NPM1) mutation and wild type (WT), M6 and all other French American British (FAB) subtypes (M0–M5, M7), and M7 and all other FAB subtypes (M0–M6) (Figure 2A and Figure 3). Analysis of BIRC5 transcription showed elevated levels in M6 and decreased levels in the M7 FAB subtypes. M6 is also known as erythroleukaemia or Di Guelielmo Syndrome and is typified by the myeloprofileration of erythrocyte precursors while M7, also known as acute megakaryocytic leukaemia, accounts for only 1% of all adult AML cases and arises from immature platelet precursors, unlike the other FAB subtypes (M0–M5) which occur in immature leukocytes. In addition, patient numbers in the M6 and M7 FAB subgroups were very low (n = 3 each) (Figure 2A) making this data observationally interesting but in need of more patient numbers for verification.
Figure 2.
BIRC5 expression in disease. BIRC5 expression was (A) elevated in the FAB M6 subtype of AML and decreased in the M7 subtype in comparison to all other FAB subtypes although patient numbers in rare subgroups were small (n = 3 per group). BIRC5 expression was (B) elevated in patients with complex cytogenetic abnormalities when compared to all other cytogenetic groups in the BloodSpot dataset. Y-axis shows log2 expression in each graph.
Figure 3.
Association as indicated by p-values between BIRC5 and patient clinical features in adult AML (MILE; dataset A). NS: not significant.
2.3.2. BIRC5 Expression Correlates with Poor Outcome Cytogenetics
BloodSpot data indicated that the highest expression of BIRC5 was in AML patients with complex cytogenetic abnormalities compared (Figure 2B) with all other cytogenetic abnormalities while MILE data indicated a correlation between higher levels of BIRC5 and poor prognosis cytogenetics (p = 0.02).
2.3.3. BIRC5 Expression Correlates with Genes Involved in Cell Cycle
Expression of BIRC5 correlated with a number of genes involved in cell cycle regulation (Figure 4A) as demonstrated through gene expression analysis of the MILE data and using the search tool for recurring instances of neighbouring genes (STRING) analysis (Figure 5A). The highest correlation between BIRC5 expression was with cyclin B2 (CCNB2) which showed elevated expression in AML patients with 11q23 and t(15;17) (Figure 5B). Inverse correlations were also found with myelin protein zero-like 1 expression (MPZL1), Never in mitosis gene a-related kinase 11 (NEK11) and protocadherin gamma subfamily B, 4/8 (PCDHGB4/A8) (Figure 4B). Although not in the top 10 associations shown, there was a close association between BIRC5 and SSX2IP (Figure 5C) expression. SSX2IP has previously been shown to be associated OS in AML patients that are cytogenetically normal (CN) [35], with cell cycle, and specifically CDC20 [36] and downregulated in t(8;21) patients [36].
Figure 4.
Genes with the greatest (A) positive and (B) negative correlation with BIRC5 expression (202095_s_at).
Figure 5.
BIRC5 molecular interactions (A) STRING analysis indicated that BIRC5 was co-expressed with a number of cell cycle related proteins, including Cyclin B2 (CCNB2); (B) Cyclin B2 (202705_at) was found to be elevated in 11q23 patients (p = 0.002); (C) SSX2IP (203015_s_a5; y-axis) and BIRC5 (202095_s_at; x-axis) expression were associated (r = 0.301); (D) BIRC5 showed a correlation with WT (green balls) rather than mutated FLT3 (blue balls) in patients from the MILE study (p = 0.03). Probe 202095_s_at expression is shown in each panel but represents the results with each BIRC5 probe.
2.3.4. BIRC5 Expression Correlates with WT but Not Mutated FLT3
BIRC5 has previously been shown to mediate blast cell proliferation in mice with Flt3-ITD [37], however, in the MILE dataset, BIRC5 expression was found to show a correlation with WT rather than mutated FLT3 (Figure 5D).
2.3.5. BIRC5 Is Associated with Disease/Relapse Free Survival, but Not OS, in Adults with AML
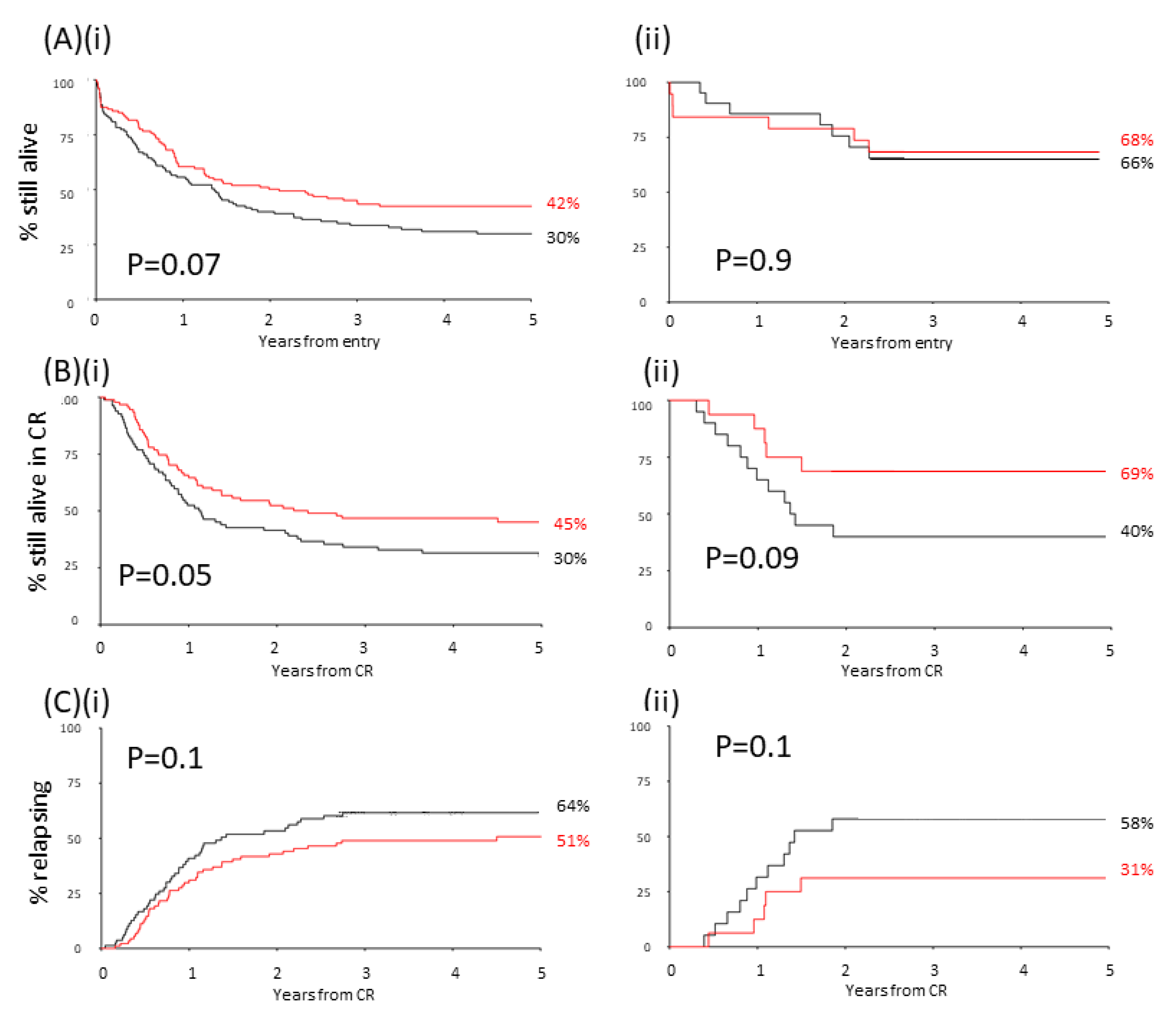
When examining the MILE data/dataset A there were no correlations between above and below median levels of BIRC5 and trial, age, sex, cytogenetics, performance status, secondary disease or white blood cell counts. However OS showed a trend with BIRC5 present calls (Figure 6Ai) while relapse/disease free survival was significantly associated with BIRC5 present calls (Figure 6Bi) although this association was not found in CBF patients when examined alone (Figure 6Aii,Bii).
Figure 6.
Above median levels of BIRC5 is associated with increased OS rates and disease-free survival (MILE/dataset A). (A) There was a trend towards above median levels of BIRC5 being associated with improved OS but this did not reach statistical significance (i) for the whole cohort or (ii) when examining CBF patients alone; (B) examination of disease free survival and its association with above and below median BIRC5 levels reached significance when examining (i) the whole MILE dataset but (ii) was not indicated when examining CBF patients alone; (C) there was no association between above or below BIRC5 levels and relapse for either (i) the whole MILE dataset or (ii) CBF patients alone. p-values from Log-Rank analysis. Black line absent; red line present.
In adjusted analyses neither level nor present calls associated with complete remission (CR) rates. However, there was no difference in BIRC5 levels between those patients who relapsed and those who did not (Figure 6Ci) even when examining the CBF group alone (Figure 6Cii). BIRC5 levels did not correlate with overall remission (OR) hazard ratio (HR) 0.85 (0.52–1.37) p = 0.5 and similarly BIRC5 present calls did not correlate with OR, 0.74 (range 0.39–1.40) p = 0.4 in the whole cohort or when examining Core Binding Factor (CBF) patients alone, 1.09 (range 0.05–22.45), p = 0.9.
There was some evidence of a beneficial effect, in adjusted analyses, where above median levels of BIRC5 were shown to be associated with OS 0.65 (0.51–0.84) p = 0.001 which was maintained when CBF patients were analysed alone HR 0.16 (0.03–0.90) p = 0.03. There was a beneficial effect, in adjusted analyses, between above median BIRC5 levels and relapse free survival HR 0.51 (0.37–0.70) p < 0.0001 which was not significant when the CBF patients were examined alone 0.30 (0.08–1.20) p = 0.08.
Below median levels of BIRC5 were associated with elevated relapse rates in AML patients in adjusted analyses HR 0.54 (0.38–0.76) p = 0.0005 but this was not observed maintained when the CBF group of AML patients were analysed alone HR 0.37 (0.09–1.49) p = 0.15.
In order to further address the impact of BIRC5 expression on AML patient survival, we evaluated its expression in a second independent microarray data set (referred to as the cDNA/data set B). This microarray data derived from AML cases comprising all cytogenetic AML subgroups [38] and again showed there was no correlation between BIRC5 expression levels and age, BM blasts, lactate dehydrogenase (LDH), preceding malignancy or OS. However, we observed a correlation with distinct cytogenetic groups with significantly higher expression levels of BIRC5 in AML cases with monosomy 7/loss of 7q or a t(15;17) (one-way analysis of variance, p < 0.001; data not shown). In 138 CN-AML cases [39] we found no significant correlation with the prognostically relevant genotype NPM1-mutated/FLT3-ITD-negative. However, in Core Binding Factor (CBF)-AML cases [40] lower BIRC5 expression was associated with better clinical outcome (p = 0.004, Figure 7A). Notably, this was mainly due to inv(16) cases with low BIRC5 expression (p = 0.007, Figure 7B). For AML cases with t(8;21) we found no significant difference (data not shown), despite the fact that BIRC5 seems to be a critical regulator of AML1/ETO-induced oncogenicity in AML [41]. In data set B we found an association between BIRC5 and FLT3 wild-type status (p = 0.041) and with days in remission (p = 0.028). In dataset A/MILE, high expression levels of BIRC5 correlated with worse survival in inv(16) patients too (p = 0.077, Figure 7C) with highly significant findings when data from both studies were combined (p = 0.001, Figure 7D).
Figure 7.
Correlation of BIRC5 mRNA expression with OS in patients with CBF-AML. (A) Correlation of BIRC5 mRNA expression levels with OS in 93 CBF cases (data set B, log-rank test, p = 0.004); (B,C) correlation of BIRC5 expression with OS in 55 (data set B, Log-Rank test, p = 0.004) and 22 inv(16) cases, respectively (dataset A, Log-Rank test, p = 0.077); (D) correlation of BIRC5 expression with OS in the combined inv(16) data set (data sets A and B, Log-Rank test, p = 0.001). The terms “high” or “low” BIRC5 expression refer to an expression greater and lower than the median expression across all AML samples, respectively.
3. Discussion
BIRC5 has been shown to play essential roles in cell cycle progression and mitosis. It binds with the chromosomal passenger complex (CPC) and Aurora-B kinase in the nucleus, leading to correct mitotic spindle formation [32]. Conversely, BIRC5 depleted cells have been shown to exit mitosis with incorrect chromosomal alignment [31] and this is supported by the gene correlations between BIRC5 and other gene products involved in the formation of the mitotic spindles identified in this study. Although Bloodspot showed that the highest levels of BIRC5 were present in patients with complex karyotypic abnormalities, it also showed there was no significant difference in the levels of BIRC5 expression in haematopoeitic stem cells and patients with inv(16), t(8;21), 11q23 or t(15;17). We have previously shown that BIRC5 was associated with different 11q23/MLL abnormalities in adults with B-cell acute lymphocytic leukaemia [42] and in this study elevated BIRC5 expression was found in adult AML patients with complex cytogenetic abnormalities.
Our findings support data already generated in solid tumours showing a strong correlation between BIRC5 expression and AURKB, PLK1, TPX2, KIF2C and cyclin A2 expression [43,44,45]. Several clinical studies are ongoing with the therapeutic aim of inhibiting AURKB [46] in an effort to target genes involved in the “BIRC5 cancer network” and clinical responses indicate a central role of this pathway in proliferating leukaemic cells. Indeed, many of the genes that BIRC5 has been shown to interact with are cell cycle related and for exemplification, the most significant association between BIRC5 and any other gene, in this study, was with Cyclin B2. Cyclin B2 has been shown to stimulate the proliferation of triple negative breast cancer cells [47] and to alter mitotic spindle checkpoint control leading to the genomic instability seen in cancer [48]. In addition, Cyclin B2 has been shown be an independent prognostic biomarker in invasive breast cancer [49]. Using selective siRNA-mediated silencing to decrease the expression of BIRC5 has been shown to increase the sensitivity of colon epithelial cells to CDK inhibitors suggesting a mechanistic basis for the preclinical development of future CDK inhibitor-based therapeutic strategies [50].
We also found a correlation between increased BIRC5 expression and FLT3 WT, a correlation that has not been identified in AML patient samples previously, with other studies of the interactions between BIRC5 and FLT3-internal tandem duplication (ITD) being made predominantly through cell line studies and mouse models. For example other investigators have shown that BIRC5 mediates acute leukaemia in mice induced by Flt3-ITD [37] and that BIRC5 confers resistance to FLT3 inhibitors [51]. In addition, FLT3 inhibitors have been shown to cause anti-proliferative activity, in leukaemia cell lines with FLT3-ITD, through the downregulation of MCL-1 and BIRC5, the latter via the STAT3/5 pathway [52].
We have previously described the role of many leukaemia associated antigens (LAAs) in cell cycle [53] and the association between BIRC5 and the expression of LAAs such as Synovial Sarcoma X breakpoint 2 interacting protein (SSX2IP) and hyaluronan-mediated motility receptor (HMMR; RHAMM) expression (p < 0.001) has been described [35,54,55]. Indeed, we have described a better outcome in AML patients co-expressing LAAs such as HMMR, CA9, PRAME and SSX2IP which are associated with cell proliferation in vitro [36,56].
CBF is a heterodimeric protein complex involved in the transcriptional regulation of normal haematopoiesis. Mutations in CBF-encoding genes (such as t(8;21) and inv(16)) result in leukaemia-associated proliferative advantages. CBF-AML accounts for around 20% of all AML patients and is often associated with improved outcomes compared to other subtypes of AML. However, it should be noted that although modern therapies may improve remission rates, they often lead to relapse, meaning the development of targeted therapies is still needed for improved outcomes. There was an association between decreased BIRC5 expression and improved clinical outcomes due to inv(16) but this same association was not seen with t(8;21) patients despite AML-ETO being a critical regulator of BIRC5 in AML [41]. Although we did not find that above or below median expression of BIRC5 correlated with OS, we did find that above median expression of BIRC5 correlated with relapse-free survival (MILE dataset) and while inv(16) correlated with low BIRC5 levels in the cDNA/Dataset B, the correlation between inv(16) and above median levels of BIRC5 and poorer survival were more obvious following the combination of both datasets in this study. This may reflect the higher percentage of inv(16) patients in the CBF cohort in dataset B compared with dataset A.
BIRC5 has been targeted by immunotherapy in a number of ways (recently reviewed in [57]) including through combined treatment with YM155, a novel small molecule transcriptional inhibitor of BIRC5 which when used with chemotherapeutic agents can increase drug efficacy on AML cells [58]. Although BIRC5 is an intracellular protein and therefore not a good target for CAR-T therapies, BIRC5-peptide mediated immunotherapy has been shown to exhibit low toxicity in clinical trial and can increase BIRC5 peptide-specific CTLs that kill cancer cells [59]. Alternatively genetically modified TCRs could be used to target BIRC5 expressing cancer cells [60], especially because of its wide overexpression in a number of tumour types including leukaemia and with regard to this study AML.
In summary, BIRC5 expression appears to be able to predict better outcomes at least in a subset of CBF-AML cases (those with inv(16)) suggesting that this LAA may provide an immunologically relevant personalised target for a sub-group of AML patients.
4. Materials and Methods
4.1. BIRC5 Expression in Healthy Haematopoietic Cells
The BloodSpot database [20] includes 23 high-quality curated data sets relevant to normal and malignant blood formation and, in addition, includes a unique integrated data set, called BloodPool. The effect expression had on the OS, was observed via the use of Bloodspot [20] an online microarray database containing expression and clinical data. The MILE study is a multi-laboratory database containing more than 3000 whole genome microarray analysis [34]. It was headed by the European Leukemia Network (ELN) and sponsored by Roche Molecular Systems, Inc. (Pleasanton, CA, USA).
4.2. BIRC5 Protein Interaction Analyses
Relationships between BIRC5 and other genes/proteins were established using Kyoto Encyclopedia of Genes and Genomes (KEGG; www.kegg.jp), STRING (https://string-db.org/ accessed on 27 March 2021 [61]), WEB-based Gene Set Analysis Toolkit and a comprehensive literature was performed searching for the interactions between proteins with BIRC5. Confirmation of the correlation between gene transcripts and BIRC5 was determined using the MILE dataset (GSE13159). When multiple probe sets were available for BIRC5 the following were used: 202094, 208052 and 212399.
4.3. Association between Genes and Clinical Features
Examination of the relationship between each BIRC5 probeset and the clinical features of adult AML was performed using data generated by the TCGA research network: http://www.cancer.gov/tcga (accessed on 27 March 2021). The association between BIRC5 levels in samples from patients with NPM mutation and WT, FLT3-ITD and FLT-WT, and all FAB subtypes were examined.
The MILE/Data set A comprised 312 AML samples including 180 CN-AML and 63 CBF samples including 31 cases with t(8;21) and 32 with inv(16). Samples were analysed using Affymetrix human genome U133A 2.0 or human genome U133 Plus 2.0 microarrays (Cardiff/MILE/data set A, [34]). cDNA/Dataset B comprised 306 AML samples including 168 CN cases and 93 CBF leukaemias including 38 cases with t(8;21) and 55 with inv(16), each analysed by 40k cDNA microarrays [39,40].
With regard to both datasets, gene expression profiling (GEP) was performed as previously described [38] using Affymetrix microarray technology in accordance with the manufacturer’s recommendations. Fluorescence ratios were normalised by applying the RMA Log2 values and any batch effect removed using Partek Genomics Suite (St Louis, MO, USA). In selected cases, BIRC5 GEP data was validated by quantitative RT-PCR as previously reported [56].
For the correlation with survival data, expression values were dichotomised by the median expression of the respective gene across all AML samples and statistical analyses were performed as described previously [38,56].
5. Conclusions
Analysis of independent AML datasets using different microarray platforms showed that in AML BIRC5 mRNA expression is strongly associated with the expression of AURKB, PLK1, TPX2, HMMR and SSX2IP as well as other important cell cycle associated genes. Downregulation of this complex system involved in tumorigenesis might provide important targets for tumour cell control in acute leukaemias. We also showed that patients with CBF AML, and particularly patients with inv(16), who have above median levels of BIRC5, have poorer survival outcomes. This indicates that those AML patients with inv(16) would provide interesting candidates for immunotherapies that target BIRC5.
Supplementary Materials
The following are available online at https://www.mdpi.com/article/10.3390/ijms221910482/s1, Table S1: Significance of the relationship between BIRC5 and the expression of other genes in AML patients (DOI:10.5281/zenodo.4923749).
Author Contributions
Conceptualisation, H.D. and J.G.; methodology, L.B. and K.I.M.; validation, L.B., R.K.H. and K.I.M.; formal analysis, E.B., L.B., R.K.H. and K.I.M.; investigation, E.B., L.B., R.K.H. and K.I.M.; data curation, E.B., L.B., R.K.H. and K.I.M.; writing—original draft preparation, J.G., V.M. and B.-a.G.; writing—review and editing, J.G., H.D. and B.-a.G.; visualisation, B.-a.G., J.G.; funding acquisition, H.D. and J.G. All authors have read and agreed to the published version of the manuscript.
Funding
We would like to thank the University of Hull’s internship scheme (EB) and Leukaemia and Lymphoma NI for their support of this work (KIM).
Institutional Review Board Statement
Ethical review and approval were waived for this study, due to the utilisation of previously published work.
Data Availability Statement
All data has been made publicly available at the time of previous studies cited in the text, and accessed in this study as described. Raw data is also available from Figure 1B and Supplementary Table S1.
Conflicts of Interest
The authors declare no conflict of interest.
Abbreviations
| AML | acute myeloid leukaemia |
| BIRC5 | Baculoviral IAP Repeat Containing 5BM bone marrow |
| CBF | Core Binding Factor |
| CN | Cytogenetically normal |
| CR | Complete remission |
| FAB | French American British |
| FLT3 | FMS-like tyrosine kinase 3 |
| HR | Hazard Ratio |
| IAP | Inhibition of Apoptosis |
| ITD | internal tandem duplication |
| KEGG | Kyoto Encyclopedia of Genes and Genome |
| MILE | Microarray Innovations In Leukemia |
| NPM1 | Nucleophosmin 1 |
| OR | overall remission |
| OS | overall survival |
| RUNX1 | RUNX Family Transcription Factor 1 |
| STRING | search tool for recurring instances of neighbouring genes |
| TCGA | The Cancer Genome Atlas |
| WT | wild type |
| WT1 | Wilm’s Tumour gene 1 |
References
- Shallis, R.M.; Wang, R.; Davidoff, A.; Ma, X.; Zeidan, A.M. Epidemiology of acute myeloid leukemia: Recent progress and enduring challenges. Blood Rev. 2019, 36, 70–87. [Google Scholar] [CrossRef]
- Arber, D.A.; Orazi, A.; Hasserjian, R.; Thiele, J.; Borowitz, M.J.; Le Beau, M.M.; Bloomfield, C.D.; Cazzola, M.; Vardiman, J.W. The 2016 revision to the World Health Organization classification of myeloid neoplasms and acute leukemia. Blood 2016, 127, 2391–2405. [Google Scholar] [CrossRef]
- Nguyen, S.; Leblanc, T.; Fenaux, P.; Witz, F.; Blaise, D.; Pigneux, A.; Thomas, X.; Rigal-Huguet, F.; Lioure, B.; Auvrignon, A.; et al. A white blood cell index as the main prognostic factor in t(8;21) acute myeloid leukemia (AML): A survey of 161 cases from the French AML Intergroup. Blood 2002, 99, 3517–3523. [Google Scholar] [CrossRef] [Green Version]
- Delaunay, J.; Vey, N.; Leblanc, T.; Fenaux, P.; Rigal-Huguet, F.; Witz, F.; Lamy, T.; Auvrignon, A.; Blaise, D.; Pigneux, A.; et al. Prognosis of inv(16)/t(16;16) acute myeloid leukemia (AML): A survey of 110 cases from the French AML Intergroup. Blood 2003, 102, 462–469. [Google Scholar] [CrossRef] [PubMed] [Green Version]
- Prada-Arismendy, J.; Arroyave, J.C.; Rothlisberger, S. Molecular biomarkers in acute myeloid leukemia. Blood Rev. 2017, 31, 63–76. [Google Scholar] [CrossRef] [PubMed]
- Stone, R.M.; Mandrekar, S.J.; Sanford, B.L.; Laumann, K.; Geyer, S.; Bloomfield, C.D.; Thiede, C.; Prior, T.W.; Dohner, K.; Marcucci, G.; et al. Midostaurin plus Chemotherapy for Acute Myeloid Leukemia with a FLT3 Mutation. N. Engl. J. Med. 2017, 377, 454–464. [Google Scholar] [CrossRef] [PubMed]
- Daver, N.; Wei, A.H.; Pollyea, D.A.; Fathi, A.T.; Vyas, P.; DiNardo, C.D. New directions for emerging therapies in acute myeloid leukemia: The next chapter. Blood Cancer J. 2020, 10, 107. [Google Scholar] [CrossRef]
- Lagunas-Rangel, F.A.; Chavez-Valencia, V.; Gomez-Guijosa, M.A.; Cortes-Penagos, C. Acute Myeloid Leukemia-Genetic Alterations and Their Clinical Prognosis. Int. J. Hematol. Oncol. Stem Cell Res. 2017, 11, 328–339. [Google Scholar]
- Deol, A.; Sengsayadeth, S.; Ahn, K.W.; Wang, H.L.; Aljurf, M.; Antin, J.H.; Battiwalla, M.; Bornhauser, M.; Cahn, J.Y.; Camitta, B.; et al. Does FLT3 mutation impact survival after hematopoietic stem cell transplantation for acute myeloid leukemia? A Center for International Blood and Marrow Transplant Research (CIBMTR) analysis. Cancer 2016, 122, 3005–3014. [Google Scholar] [CrossRef]
- Atanackovic, D.; Luetkens, T.; Kloth, B.; Fuchs, G.; Cao, Y.; Hildebrandt, Y.; Meyer, S.; Bartels, K.; Reinhard, H.; Lajmi, N.; et al. Cancer-testis antigen expression and its epigenetic modulation in acute myeloid leukemia. Am. J. Hematol. 2011, 86, 918–922. [Google Scholar] [CrossRef]
- Owen, C.; Fitzgibbon, J.; Paschka, P. The clinical relevance of Wilms Tumour 1 (WT1) gene mutations in acute leukaemia. Hematol. Oncol. 2010, 28, 13–19. [Google Scholar] [CrossRef]
- Wheatley, S.P.; Altieri, D.C. Survivin at a glance. J. Cell Sci. 2019, 132, jcs223826. [Google Scholar] [CrossRef] [Green Version]
- Garg, H.; Suri, P.; Gupta, J.C.; Talwar, G.P.; Dubey, S. Survivin: A unique target for tumor therapy. Cancer Cell Int. 2016, 16, 49. [Google Scholar] [CrossRef] [Green Version]
- Oparina, N.; Erlandsson, M.C.; Faldt Beding, A.; Parris, T.; Helou, K.; Karlsson, P.; Einbeigi, Z.; Bokarewa, M.I. Prognostic Significance of BIRC5/Survivin in Breast Cancer: Results from Three Independent Cohorts. Cancers 2021, 13, 2209. [Google Scholar] [CrossRef] [PubMed]
- Zhou, L.Q.; Hu, Y.; Xiao, H.J. The prognostic significance of survivin expression in patients with HNSCC: A systematic review and meta-analysis. BMC Cancer 2021, 21, 424. [Google Scholar] [CrossRef] [PubMed]
- Hennigs, J.K.; Minner, S.; Tennstedt, P.; Loser, R.; Huland, H.; Klose, H.; Graefen, M.; Schlomm, T.; Sauter, G.; Bokemeyer, C.; et al. Subcellular Compartmentalization of Survivin is Associated with Biological Aggressiveness and Prognosis in Prostate Cancer. Sci. Rep. 2020, 10, 3250. [Google Scholar] [CrossRef] [PubMed]
- Conde, M.; Michen, S.; Wiedemuth, R.; Klink, B.; Schrock, E.; Schackert, G.; Temme, A. Chromosomal instability induced by increased BIRC5/Survivin levels affects tumorigenicity of glioma cells. BMC Cancer 2017, 17, 889. [Google Scholar] [CrossRef]
- Hoffman, W.H.; Biade, S.; Zilfou, J.T.; Chen, J.; Murphy, M. Transcriptional repression of the anti-apoptotic survivin gene by wild type p53. J. Biol. Chem. 2002, 277, 3247–3257. [Google Scholar] [CrossRef] [Green Version]
- Davis, L.; Mills, K.I.; Orchard, K.H.; Guinn, B.-A. Identification of Genes Whose Expression Overlaps Age Boundaries and Correlates with Risk Groups in Paediatric and Adult Acute Myeloid Leukaemia. Cancers 2020, 12, 2769. [Google Scholar] [CrossRef]
- Bagger, F.O.; Kinalis, S.; Rapin, N. BloodSpot: A database of healthy and malignant haematopoiesis updated with purified and single cell mRNA sequencing profiles. Nucleic Acids Res. 2019, 47, D881–D885. [Google Scholar] [CrossRef] [Green Version]
- Hanahan, D.; Weinberg, R.A. Hallmarks of cancer: The next generation. Cell 2011, 144, 646–674. [Google Scholar] [CrossRef] [Green Version]
- Mirza, A.; McGuirk, M.; Hockenberry, T.N.; Wu, Q.; Ashar, H.; Black, S.; Wen, S.F.; Wang, L.; Kirschmeier, P.; Bishop, W.R.; et al. Human survivin is negatively regulated by wild-type p53 and participates in p53-dependent apoptotic pathway. Oncogene 2002, 21, 2613–2622. [Google Scholar] [CrossRef] [PubMed] [Green Version]
- Li, F.; Ambrosini, G.; Chu, E.Y.; Plescia, J.; Tognin, S.; Marchisio, P.C.; Altieri, D.C. Control of apoptosis and mitotic spindle checkpoint by survivin. Nature 1998, 396, 580–584. [Google Scholar] [CrossRef]
- Tamm, I.; Wang, Y.; Sausville, E.; Scudiero, D.A.; Vigna, N.; Oltersdorf, T.; Reed, J.C. IAP-Family Protein Survivin Inhibits Caspase Activity and Apoptosis Induced by Fas (CD95), Bax, Caspases, and Anticancer Drugs. Cancer Res. 1998, 58, 5315–5320. [Google Scholar] [PubMed]
- Shin, S.; Sung, B.-J.; Cho, Y.-S.; Kim, H.-J.; Ha, N.-C.; Hwang, J.-I.; Chung, C.-W.; Jung, Y.-K.; Oh, B.-H. An Anti-apoptotic Protein Human Survivin Is a Direct Inhibitor of Caspase-3 and -7. Biochemistry 2001, 40, 1117–1123. [Google Scholar] [CrossRef]
- Wang, Z.; Fukuda, S.; Pelus, L.M. Survivin regulates the p53 tumor suppressor gene family. Oncogene 2004, 23, 8146–8153. [Google Scholar] [CrossRef] [Green Version]
- Sah, N.K.; Khan, Z.; Khan, G.J.; Bisen, P.S. Structural, functional and therapeutic biology of survivin. Cancer Lett. 2006, 244, 164–171. [Google Scholar] [CrossRef]
- Fang, Z.H.; Dong, C.L.; Chen, Z.; Zhou, B.; Liu, N.; Lan, H.F.; Liang, L.; Liao, W.B.; Zhang, L.; Han, Z.C. Transcriptional regulation of survivin by c-Myc in BCR/ABL-transformed cells: Implications in anti-leukaemic strategy. J. Cell. Mol. Med. 2009, 13, 2039–2052. [Google Scholar] [CrossRef] [PubMed]
- Stewart, D.J. Wnt signaling pathway in non-small cell lung cancer. J. Natl. Cancer Inst. 2014, 106, djt356. [Google Scholar] [CrossRef]
- Suzuki, A.; Hayashida, M.; Ito, T.; Kawano, H.; Nakano, T.; Miura, M.; Akahane, K.; Shiraki, K. Survivin initiates cell cycle entry by the competitive interaction with Cdk4/p16(INK4a) and Cdk2/cyclin E complex activation. Oncogene 2000, 19, 3225–3234. [Google Scholar] [CrossRef] [Green Version]
- Castedo, M.; Perfettini, J.L.; Roumier, T.; Andreau, K.; Medema, R.; Kroemer, G. Cell death by mitotic catastrophe: A molecular definition. Oncogene 2004, 23, 2825–2837. [Google Scholar] [CrossRef] [PubMed] [Green Version]
- Vader, G.; Medema, R.H.; Lens, S.M. The chromosomal passenger complex: Guiding Aurora-B through mitosis. J. Cell Biol. 2006, 173, 833–837. [Google Scholar] [CrossRef] [PubMed] [Green Version]
- Song, Z.; Yao, X.; Wu, M. Direct interaction between survivin and Smac/DIABLO is essential for the anti-apoptotic activity of survivin during taxol-induced apoptosis. J. Biol. Chem. 2003, 278, 23130–23140. [Google Scholar] [CrossRef] [PubMed] [Green Version]
- Haferlach, T.; Kohlmann, A.; Wieczorek, L.; Basso, G.; Kronnie, G.T.; Bene, M.C.; De Vos, J.; Hernandez, J.M.; Hofmann, W.K.; Mills, K.I.; et al. Clinical utility of microarray-based gene expression profiling in the diagnosis and subclassification of leukemia: Report from the International Microarray Innovations in Leukemia Study Group. J. Clin. Oncol. 2010, 28, 2529–2537. [Google Scholar] [CrossRef] [PubMed] [Green Version]
- Guinn, B.; Greiner, J.; Schmitt, M.; Mills, K.I. Elevated expression of the leukemia-associated antigen SSX2IP predicts survival in acute myeloid leukemia patients who lack detectable cytogenetic rearrangements. Blood 2009, 113, 1203–1204. [Google Scholar] [CrossRef] [PubMed]
- Guinn, B.A.; Bullinger, L.; Thomas, N.S.; Mills, K.I.; Greiner, J. SSX2IP expression in acute myeloid leukaemia: An association with mitotic spindle failure in t(8;21), and cell cycle in t(15;17) patients. Br. J. Haematol. 2008, 140, 250–251. [Google Scholar] [CrossRef]
- Fukuda, S.; Singh, P.; Moh, A.; Abe, M.; Conway, E.M.; Boswell, H.S.; Yamaguchi, S.; Fu, X.Y.; Pelus, L.M. Survivin mediates aberrant hematopoietic progenitor cell proliferation and acute leukemia in mice induced by internal tandem duplication of Flt3. Blood 2009, 114, 394–403. [Google Scholar] [CrossRef] [PubMed] [Green Version]
- Bullinger, L.; Dohner, K.; Bair, E.; Frohling, S.; Schlenk, R.F.; Tibshirani, R.; Dohner, H.; Pollack, J.R. Use of gene-expression profiling to identify prognostic subclasses in adult acute myeloid leukemia. N. Engl. J. Med. 2004, 350, 1605–1616. [Google Scholar] [CrossRef] [Green Version]
- Bullinger, L.; Dohner, K.; Kranz, R.; Stirner, C.; Frohling, S.; Scholl, C.; Kim, Y.H.; Schlenk, R.F.; Tibshirani, R.; Dohner, H.; et al. An FLT3 gene-expression signature predicts clinical outcome in normal karyotype AML. Blood 2008, 111, 4490–4495. [Google Scholar] [CrossRef] [Green Version]
- Bullinger, L.; Rucker, F.G.; Kurz, S.; Du, J.; Scholl, C.; Sander, S.; Corbacioglu, A.; Lottaz, C.; Krauter, J.; Frohling, S.; et al. Gene-expression profiling identifies distinct subclasses of core binding factor acute myeloid leukemia. Blood 2007, 110, 1291–1300. [Google Scholar] [CrossRef] [Green Version]
- Balkhi, M.Y.; Christopeit, M.; Chen, Y.; Geletu, M.; Behre, G. AML1/ETO-induced survivin expression inhibits transcriptional regulation of myeloid differentiation. Exp. Hematol. 2008, 36, 1449–1460. [Google Scholar] [CrossRef]
- Boullosa, L.F.; Savaliya, P.; Bonney, S.; Orchard, L.; Wickenden, H.; Lee, C.; Smits, E.; Banham, A.H.; Mills, K.I.; Orchard, K.; et al. Identification of survivin as a promising target for the immunotherapy of adult B-cell acute lymphoblastic leukemia. Oncotarget 2018, 9, 3853–3866. [Google Scholar] [CrossRef] [Green Version]
- De Luca, M.; Lavia, P.; Guarguaglini, G. A functional interplay between Aurora-A, Plk1 and TPX2 at spindle poles: Plk1 controls centrosomal localization of Aurora-A and TPX2 spindle association. Cell Cycle 2006, 5, 296–303. [Google Scholar] [CrossRef] [Green Version]
- Joukov, V.; Groen, A.C.; Prokhorova, T.; Gerson, R.; White, E.; Rodriguez, A.; Walter, J.C.; Livingston, D.M. The BRCA1/BARD1 heterodimer modulates ran-dependent mitotic spindle assembly. Cell 2006, 127, 539–552. [Google Scholar] [CrossRef] [Green Version]
- Maxwell, C.A.; McCarthy, J.; Turley, E. Cell-surface and mitotic-spindle RHAMM: Moonlighting or dual oncogenic functions? J. Cell Sci. 2008, 121, 925–932. [Google Scholar] [CrossRef] [Green Version]
- Altieri, D.C. Survivin, cancer networks and pathway-directed drug discovery. Nat. Rev. Cancer 2008, 8, 61–70. [Google Scholar] [CrossRef]
- Wu, S.; Su, R.; Jia, H. Cyclin B2 (CCNB2) Stimulates the Proliferation of Triple-Negative Breast Cancer (TNBC) Cells In Vitro and In Vivo. Dis. Markers 2021, 2021, 5511041. [Google Scholar] [CrossRef]
- Sarafan-Vasseur, N.; Lamy, A.; Bourguignon, J.; Le Pessot, F.; Hieter, P.; Sesboue, R.; Bastard, C.; Frebourg, T.; Flaman, J.M. Overexpression of B-type cyclins alters chromosomal segregation. Oncogene 2002, 21, 2051–2057. [Google Scholar] [CrossRef] [PubMed] [Green Version]
- Shubbar, E.; Kovacs, A.; Hajizadeh, S.; Parris, T.Z.; Nemes, S.; Gunnarsdottir, K.; Einbeigi, Z.; Karlsson, P.; Helou, K. Elevated cyclin B2 expression in invasive breast carcinoma is associated with unfavorable clinical outcome. BMC Cancer 2013, 13, 1. [Google Scholar] [CrossRef] [PubMed] [Green Version]
- Siffroi-Fernandez, S.; Dulong, S.; Li, X.M.; Filipski, E.; Grechez-Cassiau, A.; Peteri-Brunback, B.; Meijer, L.; Levi, F.; Teboul, M.; Delaunay, F. Functional genomics identify Birc5/survivin as a candidate gene involved in the chronotoxicity of cyclin-dependent kinase inhibitors. Cell Cycle 2014, 13, 984–991. [Google Scholar] [CrossRef] [PubMed] [Green Version]
- Zhou, J.; Bi, C.; Janakakumara, J.V.; Liu, S.C.; Chng, W.J.; Tay, K.G.; Poon, L.F.; Xie, Z.; Palaniyandi, S.; Yu, H.; et al. Enhanced activation of STAT pathways and overexpression of survivin confer resistance to FLT3 inhibitors and could be therapeutic targets in AML. Blood 2009, 113, 4052–4062. [Google Scholar] [CrossRef]
- Yoshida, A.; Ookura, M.; Zokumasu, K.; Ueda, T. Go6976, a FLT3 kinase inhibitor, exerts potent cytotoxic activity against acute leukemia via inhibition of survivin and MCL-1. Biochem. Pharmacol. 2014, 90, 16–24. [Google Scholar] [CrossRef]
- Greiner, J.; Bullinger, L.; Guinn, B.A.; Dohner, H.; Schmitt, M. Leukemia-associated antigens are critical for the proliferation of acute myeloid leukemia cells. Clin. Cancer Res. 2008, 14, 7161–7166. [Google Scholar] [CrossRef] [PubMed] [Green Version]
- Greiner, J.; Li, L.; Ringhoffer, M.; Barth, T.F.; Giannopoulos, K.; Guillaume, P.; Ritter, G.; Wiesneth, M.; Dohner, H.; Schmitt, M. Identification and characterization of epitopes of the receptor for hyaluronic acid-mediated motility (RHAMM/CD168) recognized by CD8+ T cells of HLA-A2-positive patients with acute myeloid leukemia. Blood 2005, 106, 938–945. [Google Scholar] [CrossRef] [PubMed]
- Schmitt, M.; Schmitt, A.; Rojewski, M.T.; Chen, J.; Giannopoulos, K.; Fei, F.; Yu, Y.; Gotz, M.; Heyduk, M.; Ritter, G.; et al. RHAMM-R3 peptide vaccination in patients with acute myeloid leukemia, myelodysplastic syndrome, and multiple myeloma elicits immunologic and clinical responses. Blood 2008, 111, 1357–1365. [Google Scholar] [CrossRef] [PubMed]
- Greiner, J.; Schmitt, M.; Li, L.; Giannopoulos, K.; Bosch, K.; Schmitt, A.; Dohner, K.; Schlenk, R.F.; Pollack, J.R.; Dohner, H.; et al. Expression of tumor-associated antigens in acute myeloid leukemia: Implications for specific immunotherapeutic approaches. Blood 2006, 108, 4109–4117. [Google Scholar] [CrossRef] [PubMed] [Green Version]
- Li, F.; Aljahdali, I.; Ling, X. Cancer therapeutics using survivin BIRC5 as a target: What can we do after over two decades of study? J. Exp. Clin. Cancer Res. 2019, 38, 368. [Google Scholar] [CrossRef] [Green Version]
- Huang, J.; Lyu, H.; Wang, J.; Liu, B. Influence of survivin-targeted therapy on chemosensitivity in the treatment of acute myeloid leukemia. Cancer Lett. 2015, 366, 160–172. [Google Scholar] [CrossRef] [Green Version]
- Shima, H.; Tsurita, G.; Wada, S.; Hirohashi, Y.; Yasui, H.; Hayashi, H.; Miyakoshi, T.; Watanabe, K.; Murai, A.; Asanuma, H.; et al. Randomized phase II trial of survivin 2B peptide vaccination for patients with HLA-A24-positive pancreatic adenocarcinoma. Cancer Sci. 2019, 110, 2378–2385. [Google Scholar] [CrossRef] [PubMed] [Green Version]
- Arber, C.; Feng, X.; Abhyankar, H.; Romero, E.; Wu, M.F.; Heslop, H.E.; Barth, P.; Dotti, G.; Savoldo, B. Survivin-specific T cell receptor targets tumor but not T cells. J. Clin. Investig. 2015, 125, 157–168. [Google Scholar] [CrossRef] [Green Version]
- Szklarczyk, D.; Gable, A.L.; Lyon, D.; Junge, A.; Wyder, S.; Huerta-Cepas, J.; Simonovic, M.; Doncheva, N.T.; Morris, J.H.; Bork, P.; et al. STRING v11: Protein-protein association networks with increased coverage, supporting functional discovery in genome-wide experimental datasets. Nucleic Acids Res. 2019, 47, D607–D613. [Google Scholar] [CrossRef] [PubMed] [Green Version]
Publisher’s Note: MDPI stays neutral with regard to jurisdictional claims in published maps and institutional affiliations. |
© 2021 by the authors. Licensee MDPI, Basel, Switzerland. This article is an open access article distributed under the terms and conditions of the Creative Commons Attribution (CC BY) license (https://creativecommons.org/licenses/by/4.0/).






