Insight into Molecular Interactions of Two Methyl Benzoate Derivatives with Bovine Serum Albumin
Abstract
:1. Introduction
2. Results and Discussion
2.1. Steady-State Absorption and Fluorescence Spectra of I and II in the Phosphate Buffer in the Presence of BSA
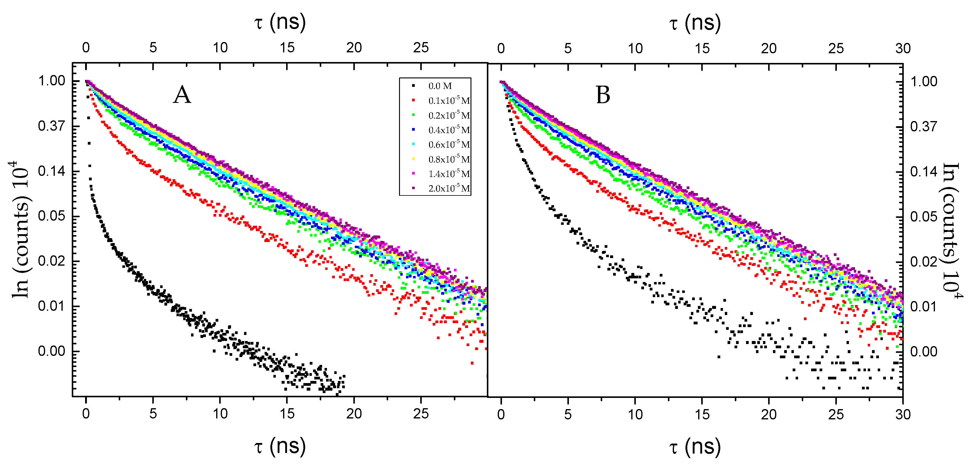
2.2. Time-Resolved Studies of I and II in the Phosphate Buffer in the Presence of BSA
2.3. Effect of Trp on the Steady-State and Time-Resolved Spectroscopic Behaviour of I and II
2.4. Effect of I and II on the Steady-State and Time-Resolved Spectroscopic Behaviour of BSA and Trp
2.4.1. Mechanism of the Observed Fluorescence Quenching
2.4.2. Thermodynamic Parameters
3. Materials and Methods
3.1. Reagents and Materials
3.2. Apparatus and Methods
3.2.1. Steady-State and Time-Resolved Measurements
3.2.2. Determination of Stoichiometry and Binding Constants
3.2.3. Analysis of Fluorescence Quenching Data
3.2.4. Analysis of Thermodynamic Parameters
3.2.5. Analysis of Supramolecular Solvation Dynamics
4. Conclusions
Supplementary Materials
Author Contributions
Funding
Institutional Review Board Statement
Informed Consent Statement
Data Availability Statement
Conflicts of Interest
References
- Webber, M.J.; Langer, R. Drug delivery by supramolecular design. Chem. Soc. Rev. 2017, 46, 6600–6620. [Google Scholar] [CrossRef]
- Dsouza, R.N.; Pischel, U.; Nau, W.M. Fluorescent Dyes and Their Supramolecular Host/Guest Complexes with Macrocycles in Aqueous Solution. Chem. Rev. 2011, 111, 7941–7980. [Google Scholar]
- Delbianco, M.; Bharate, P.; Varela-Arambura, S.; Seeberger, P.H. Carbohydrate in Supramolecular Chemistry. Chem. Rev. 2016, 116, 1693–1752. [Google Scholar] [PubMed]
- Mako, T.L.; Racicot, J.M.; Levine, M. Supramolecular Luminescent Sensors. Chem. Rev. 2019, 119, 322–477. [Google Scholar] [CrossRef] [PubMed]
- Pinalli, R.; Pedrini, A.; Dalcanale, E. Biochemical sensing with macrocyclic receptors. Chem. Soc. Rev. 2018, 47, 7006–7026. [Google Scholar] [CrossRef] [PubMed]
- Liu, Z.; Nalluri, S.K.M.; Stoddart, J.F. Surveying macrocyclic chemistry: From flexible crown ethers to rigid cyclophanes. Chem. Soc. Rev. 2017, 46, 2459–2478. [Google Scholar] [CrossRef]
- Parks, F.C.; Liu, Y.; Debnath, S.; Stutsman, S.R.; Raghavachari, K.K.; Flood, A.H. Allosteric Control of Photofoldamers for Selecting between Anion Regulation and Double-to-Single Helix Switching. J. Am. Chem. Soc. 2018, 140, 17711–17723. [Google Scholar] [CrossRef]
- Dobscha, J.R.; Debnath, S.; Fadler, R.E.; Fatila, E.; Pink, M.; Raghavavhari, K.; Flood, A.H. Host-Host Interaction Control Self-assembly and Switching of Triple and Double Decker Stacks of Tricarbazole Macorocycles Coassembled with anti-Electrostatic Bisulfate Dimers. Chem. Eur. J. 2018, 24, 9841–9852. [Google Scholar] [CrossRef]
- Buschmann, H.J.; Schollmeyer, E. Applications of cyclodextrins in cosmetic products: A review. J. Cosmet. Sci. 2002, 53, 185–191. [Google Scholar]
- Loh, X.J. Supramolecular host-guest polymeric materials for biomedical applications. Mater. Horiz. 2014, 1, 185–195. [Google Scholar]
- Marsault, E.; Peterson, M.L. Macrocycles Are Great Cycles: Applications, Opportunities, and Challenges of Synthetic Macrocycles in Drug Discovery. J. Med. Chem. 2011, 54, 1961–2004. [Google Scholar] [CrossRef]
- Singh, M.; Sharma, R.; Banerjee, U.C. Biotechnological applications of cyclodextrins. Biotechnol. Adv. 2002, 20, 341–359. [Google Scholar] [CrossRef]
- Loftsson, T.; Masson, M. Cyclodextrins in topical drug formulations: Theory and practice. Int. J. Pharm. 2001, 225, 15–30. [Google Scholar] [CrossRef]
- Martin Del Valle, E.M. Cyclodextrins and their uses: A review. Process Biochem. 2004, 39, 1033–1046. [Google Scholar] [CrossRef]
- Bhuiya, S.; Pradhan, A.B.; Haque, L.; Das, S. Molecular Aspects of the Interaction of Iminium and Alkanolamine Forms of the Anticancer Alkaloid Chelerythrine with Plasma Protein Bovine Serum Albumin. J. Phys. Chem. B 2016, 120, 5–17. [Google Scholar] [CrossRef] [PubMed]
- Ray, D.; Kundu, A.; Pramanik, A.; Guchhait, N. Exploring the Interaction of a Micelle Entrapped Biologically Important Proton Transfer Probe with the Model Transport Protein Bovine Serum Albumin. J. Phys. Chem. B 2015, 119, 2168–2179. [Google Scholar] [CrossRef] [PubMed]
- Bolattin, M.B.; Nandibewoor, S.T.; Joshi, S.D.; Dixit, S.R.; Chimatadar, S.A. Interaction of Hydralazine with Human Serum Albumin and Effect of β-Cyclodextrin on Binding: Insights from Spectroscopic and Molecular Docking Techniques. Ind. Eng. Chem. Res. 2016, 55, 5454–5464. [Google Scholar] [CrossRef]
- Rabbani, G.; Baig, M.H.; Lee, E.J.; Cho, W.K.; Ma, J.; Choi, I. Biophysical Study on the Interaction between Eperisone Hydrochloride and Human Serum Albumin Using Spectroscopic, Calorimetric, and Molecular Docking Analyses. Mol. Pharm. 2017, 14, 1656–1665. [Google Scholar] [CrossRef]
- Rabbani, G.; Lee, E.J.; Ahmad, K.; Baig, M.H.; Choi, I. Binding of Tolperisone Hydrochloride with Human Serum Albumin: Effects on the Conformation, Thermodynamics, and Activity of HSA. Mol. Pharm. 2018, 15, 1445–1456. [Google Scholar] [CrossRef]
- Sasmal, M.; Islam, A.S.M.; Bhowmick, R.; Maiti, D.; Dutta, A.; Ali, M. Site-Selective Interaction of Human Serum Albumin with 4-Chloro-7-nitro-1,2,3-benzoxadiazole Modified Olanzapine Derivative and Effect of β-Cyclodextrin on Binding: In the Light of Spectroscopy and Molecular Docking. ACS Appl. Biol. Mater. 2019, 2, 3551–3561. [Google Scholar] [CrossRef]
- Ghosh, S.; Dey, J. Binding of Fatty Acid Amide Amphiphiles to Bovine Serum Albumin: Role of Amide Hydrogen Bonding. J. Phys. Chem. B 2015, 119, 7804–7815. [Google Scholar] [CrossRef] [PubMed]
- Cohen, B.; Álvarez, C.M.; Carmona, N.A.; Organero, J.A.; Douhal, A. Proton-Transfer Reaction Dynamics within the Human Serum Albumin Protein. J. Phys. Chem. B 2011, 115, 7637–7647. [Google Scholar] [CrossRef] [PubMed]
- Sasmal, M.; Bhowmick, R.; Islam, A.S.M.; Bhuiya, S.; Das, S.; Ali, M. Domain-Specific Association of a Phenanthrene–Pyrene-Based Synthetic Fluorescent Probe with Bovine Serum Albumin: Spectroscopic and Molecular Docking Analysis. ACS Omega 2018, 3, 6293–6304. [Google Scholar] [CrossRef] [PubMed]
- Peters, T. All about Albumin: Biochemistry, Genetics and Medical Applications; Academic Press: San Diego, CA, USA, 1995. [Google Scholar]
- Carter, D.C.; Ho, J.X. Structure of Serum Albumin. Adv. Protein Chem. 1994, 45, 153–203. [Google Scholar]
- Foster, J.F. Albumin Structure, Function and Uses; Pergamon Press: Oxford, UK, 1977. [Google Scholar]
- He, X.M.; Carter, D.C. Atomic Structure and Chemistry of Human Serum Albumin. Nature 1992, 358, 209–215. [Google Scholar] [CrossRef] [PubMed] [Green Version]
- Aleksiejew, M.; Heldt, J.; Heldt, J.R. Experimental and theoretical spectroscopic studies of ortho derivatives of methyl p-dimethylaminobenzoate. J. Lumin. 2009, 129, 208–220. [Google Scholar] [CrossRef]
- Józefowicz, M.; Aleksiejew, M.; Heldt, J.R.; Heldt, J. Ground and excited state dipole moments of ortho derivatives of methyl p-dimethylaminobenzoate. J. Mol. Liq. 2010, 157, 61–66. [Google Scholar] [CrossRef]
- Józefowicz, M.; Aleksiejew, M.; Abramov, A.V.; Ling, S.; Gutowski, M.; Heldt, J.; Heldt, J.R. Influence of Prototropic Reactions on the Absorption and Fluorescence Spectra of Methyl p-dimethylaminobenzoate and Its Two Ortho Derivatives. J. Fluoresc. 2011, 21, 1749–1762. [Google Scholar] [CrossRef] [Green Version]
- Józefowicz, M.; Heldt, J.R.; Heldt, J. Experimental and theoretical studies of electronic transition dipole moments of methyl benzoate derivatives. Lumin. J. 2012, 132, 755–764. [Google Scholar] [CrossRef]
- Aleksiejew, M.; Heldt, J.; Heldt, J.R. Luminescence studies of o-hydroxy p-amino and p-dimethylamino methyl benzoate. J. Lumin. 2008, 128, 1307–1316. [Google Scholar] [CrossRef]
- Lazarowska, A.; Józefowicz, M.; Heldt, J.R.; Heldt, J. Spectroscopic studies of inclusion complexes of methyl-p-dimethylaminobenzoate and its ortho derivatives with α- and β-cyclodextrins. Spectroch. Acta A 2012, 86, 481–489. [Google Scholar] [CrossRef] [PubMed]
- Józefowicz, M. Effect of α- and β-cyclodextrins on the intramolecular charge transfer and intramolecular proton transfer fluorescence of methyl o-hydroxy p-dimethylaminobenzoate. Spectroch. Acta Part A 2012, 93, 169–175. [Google Scholar] [CrossRef] [PubMed]
- Baranowska, K.; Józefowicz, M. Spectroscopic studies of inclusion complexation between ortho derivatives of p-methylaminobenzoate and α- and γ-cyclodextrins. J. Mol. Liq. 2018, 265, 140–150. [Google Scholar] [CrossRef]
- Baranowska, K.; Bajorek, A.; Pietrzak, M.; Józefowicz, M. Preferential encapsulation of different conformers of ethyl 5-(4-dimethylaminophenyl)-3-amino-2,4-dicyanobenzoate in γ-cyclodextrins. J. Mol. Liq. 2020, 302, 112430. [Google Scholar] [CrossRef]
- Baranowska, K.; Mońka, M.; Kowalczyk, A.; Szpakowska, N.; Kaczyński, Z.; Bojarski, P.; Józefowicz, M. Spectroscopic studies of the excited-state intramolecular proton and electron transfer processes of methyl benzoate derivatives in cucurbit[7]uril nanocage. J. Mol. Liq. 2020, 318, 113921. [Google Scholar] [CrossRef]
- Lakowicz, J.R. Principles of Fluorescence Spectroscopy; Springer: New York, NY, USA, 2006. [Google Scholar]
- Maroncelli, M.; Fleming, G.R. Picosecond solvation dynamics of coumarin 153: The importance of molecular aspects of solvation. J. Phys. Chem. 1987, 86, 6221–6239. [Google Scholar] [CrossRef] [Green Version]
- Fee, R.S.; Maroncelli, M. Estimating the time-zero spectrum in time-resolved emission measurements of solvation dynamics. Chem. Phys. 1994, 184, 235–247. [Google Scholar] [CrossRef]
- Pal, S.K.; Mandal, D.; Sukul, D.; Sen, S.; Bhattacharyya, K. Solvation Dynamics of DCM in Human Serum Albumin. J. Phys. Chem. B. 2001, 105, 1438–1441. [Google Scholar] [CrossRef] [Green Version]
- Mandal, D.; Sen, S.; Sukul, D.; Bhattacharyya, K.; Mandal, A.K.; Banerjee, R.; Roy, S. Solvation Dynamics of a Probe Covalently Bound to a Protein and in an AOT Microemulsion: 4-(N-Bromoacetylamino)-Phthalimide. J. Phys. Chem. B. 2002, 106, 10741–10747. [Google Scholar] [CrossRef]
- Job, P. Formation and Stability of Inorganic Complexes in Solution. Ann. Chim. 1928, 9, 113–203. [Google Scholar]
- Heldt, J.; Gormin, D.; Kasha, M. A comparative picosecond spectroscopic study of the competitive triple fluorescence of aminosalicylates and benzanilides. Chem. Phys. 1989, 136, 321–334. [Google Scholar] [CrossRef]
- Gormin, D.; Kasha, M. Triple fluorescence in aminosalicylates. Modulation of normal, proton-transfer, and twisted intramolecular charge-transfer (TICT) fluorescence by physical and chemical perturbations. Chem. Phys. Lett. 1988, 153, 574–576. [Google Scholar] [CrossRef]
- Gormin, D.; Heldt, J.; Kasha, M. Molecular Phosphorescence Enhancement via Tunneling through Proton-Transfer Potentials. J. Phys. Chem. 1988, 94, 1185–1189. [Google Scholar] [CrossRef]
- Kubicki, A.A.; Bojarski, P.; Grinberg, M.; Sadownik, M.; Kukliński, B. Time-resolved streak camera system with solid state laser and optical parametric generator in different spectroscopic applications. Opt. Commun. 2006, 263, 275–280. [Google Scholar] [CrossRef]
- Hildebrand, J.H.; Benesi, H.A. A Spectrophotometric Investigation of the Interaction of Iodine with Aromatic Hydrocarbons. J. Am. Chem. Soc. 1949, 71, 2703–2707. [Google Scholar]
- Connors, K.A. Binding Constants: The Measurements of Molecular Complex Stability; Wiley: New York, NY, USA, 1987. [Google Scholar]
- Klotz, I.M. Physicochemical aspects of drug-protein interactions: General perspective. Acad. Sci. 1973, 226, 18–35. [Google Scholar] [CrossRef] [PubMed]
- Uversky, V.N. Methods in Protein Structure and Stability Analysis: Conformational Stability, Size, Shape and Surface of Protein Molecules; Nova Publishers: New York, NY, USA, 2007. [Google Scholar]
- van Holde, K.E.; Johnson, W.C.; Ho, P.S. Thermodynamics and biochemistry. In Principles of Physical Biochemistry, 2nd ed.; Prentice Hall: Upper Saddle River, NJ, USA, 2006; pp. 72–106. [Google Scholar]










| Molecule | BSA Concentration 10−5 (M) | τ1 (ns) | A1 (%) | τ2 (ns) | A2 (%) | τ3 (ns) | A3 (%) | r2 |
|---|---|---|---|---|---|---|---|---|
| I | 0 | 0.19 | 100 | 0.98 | ||||
| 0.1 | 0.20 | 7 | 4.49 | 93 | 0.99 | |||
| 0.2 | 0.30 | 3 | 5.36 | 97 | 0.99 | |||
| 0.4 | 0.30 | 2 | 5.18 | 98 | 0.99 | |||
| 0.6 | 0.32 | 1 | 5.57 | 99 | 0.99 | |||
| 0.8 | 5.51 | 100 | 0.99 | |||||
| 1.4 | 5.69 | 100 | 0.99 | |||||
| 2.0 | 5.78 | 100 | 0.99 | |||||
| II | 0 | 0.20 | 24 | 0.80 | 76 | 0.95 | ||
| 0.1 | 0.21 | 14 | 1.15 | 15 | 5.79 | 71 | 0.99 | |
| 0.2 | 0.19 | 5 | 1.19 | 17 | 5.56 | 78 | 0.99 | |
| 0.4 | 0.19 | 2 | 1.00 | 9 | 5.71 | 89 | 0.99 | |
| 0.6 | 0.18 | 1 | 1.00 | 6 | 5.23 | 93 | 0.99 | |
| 0.8 | 5.58 | 100 | 0.99 | |||||
| 1.4 | 5.52 | 100 | 0.99 | |||||
| 2.0 | 5.84 | 100 | 0.99 |
| Molecule | Trp Concentration 10−5 (M) | τ1 (ns) | A1 (%) | τ2 (ns) | A2 (%) | τ3 (ns) | A3 (%) | r2 |
|---|---|---|---|---|---|---|---|---|
| I | 0 | 0.19 | 100 | 0.97 | ||||
| 0.4 | 0.14 | 12 | 3.45 | 88 | 0.99 | |||
| 0.8 | 0.12 | 6 | 3.34 | 94 | 0.99 | |||
| 1.2 | 0.12 | 5 | 3.5 | 95 | 0.99 | |||
| 1.6 | 0.13 | 3 | 3.5 | 97 | 0.99 | |||
| 2.0 | 0.14 | 2 | 3.5 | 98 | 0.99 | |||
| II | 0 | 0.20 | 24 | 0.80 | 76 | 0.95 | ||
| 0.4 | 0.13 | 4 | 0.65 | 15 | 3.46 | 81 | 0.98 | |
| 0.8 | 0.11 | 3 | 0.87 | 7 | 3.71 | 90 | 0.99 | |
| 1.2 | 0.16 | 1 | 0.61 | 3 | 3.49 | 96 | 0.96 | |
| 1.6 | 2.90 | 100 | 0.98 | |||||
| 2.0 | 2.98 | 100 | 0.98 |
| Molecule | Temp. (K) | KSV 104 (M−1) | KBH 104 (M−1) | Kb 104 (M−1) | n | ΔH (kJ) | ΔS (J) | ΔG (kJ) |
|---|---|---|---|---|---|---|---|---|
| I | 278 | 2.4 | 2.6 | 3.5 | 1.07 | −25.66 | −4.86 | −24.308 |
| 288 | 2.1 | 2.4 | 2.7 | 1.04 | −24.260 | |||
| 298 | 1.9 | 2.0 | 2.1 | 1.00 | −24.211 | |||
| 303 | 1.5 | 1.3 | 1.3 | 0.93 | −24.187 | |||
| II | 278 | 2.6 | 3.6 | 3.5 | 1.07 | −25.12 | −2.17 | −24.512 |
| 288 | 2.2 | 3.0 | 3.0 | 1.05 | −24.491 | |||
| 298 | 1.8 | 2.7 | 2.7 | 1.02 | −25.469 | |||
| 303 | 1.5 | 1.8 | 1.3 | 0.99 | −25.458 |
| Molecule | Molecule Concentration 10−5 (M) | τ1 (ns) | A1 (%) | τ2 (ns) | A2 (%) | <τ> (ns) | r2 |
|---|---|---|---|---|---|---|---|
| I | 0 | 0.98 | 6.6 | 5.59 | 93.4 | 5.28 | 0.99 |
| 0.4 | 0.98 | 7.8 | 5.70 | 92.2 | 5.35 | 0.99 | |
| 0.8 | 0.93 | 10.4 | 5.64 | 89.6 | 5.15 | 0.99 | |
| 1.2 | 0.87 | 12.8 | 5.49 | 87.2 | 4.89 | 0.99 | |
| 1.6 | 0.91 | 10.8 | 5.55 | 89.2 | 5.05 | 0.99 | |
| 2.0 | 0.91 | 13.2 | 5.56 | 86.8 | 4.94 | 0.99 | |
| II | 0 | 0.98 | 6.6 | 5.59 | 93.4 | 5.28 | 0.99 |
| 0.4 | 0.97 | 7.2 | 5.58 | 92.8 | 5.25 | 0.99 | |
| 0.8 | 1.01 | 10.8 | 5.68 | 89.2 | 5.18 | 0.99 | |
| 1.2 | 0.96 | 11.5 | 5.53 | 88.5 | 5.02 | 0.99 | |
| 1.6 | 0.83 | 10.4 | 5.40 | 89.6 | 4.93 | 0.99 | |
| 2.0 | 0.97 | 9.6 | 5.70 | 90.4 | 5.24 | 0.99 |
Publisher’s Note: MDPI stays neutral with regard to jurisdictional claims in published maps and institutional affiliations. |
© 2021 by the authors. Licensee MDPI, Basel, Switzerland. This article is an open access article distributed under the terms and conditions of the Creative Commons Attribution (CC BY) license (https://creativecommons.org/licenses/by/4.0/).
Share and Cite
Baranowska, K.; Mońka, M.; Bojarski, P.; Józefowicz, M. Insight into Molecular Interactions of Two Methyl Benzoate Derivatives with Bovine Serum Albumin. Int. J. Mol. Sci. 2021, 22, 11705. https://doi.org/10.3390/ijms222111705
Baranowska K, Mońka M, Bojarski P, Józefowicz M. Insight into Molecular Interactions of Two Methyl Benzoate Derivatives with Bovine Serum Albumin. International Journal of Molecular Sciences. 2021; 22(21):11705. https://doi.org/10.3390/ijms222111705
Chicago/Turabian StyleBaranowska, Karolina, Michał Mońka, Piotr Bojarski, and Marek Józefowicz. 2021. "Insight into Molecular Interactions of Two Methyl Benzoate Derivatives with Bovine Serum Albumin" International Journal of Molecular Sciences 22, no. 21: 11705. https://doi.org/10.3390/ijms222111705
APA StyleBaranowska, K., Mońka, M., Bojarski, P., & Józefowicz, M. (2021). Insight into Molecular Interactions of Two Methyl Benzoate Derivatives with Bovine Serum Albumin. International Journal of Molecular Sciences, 22(21), 11705. https://doi.org/10.3390/ijms222111705

