Development and Evaluation of Repurposed Etoricoxib Loaded Nanoemulsion for Improving Anticancer Activities against Lung Cancer Cells
Abstract
:1. Introduction
2. Materials and Methods
2.1. Materials
2.2. Formulation Design and Optimization of the Nanoemulsion System
2.2.1. Solubility Study
2.2.2. Phase Behavior Study
2.3. Preparation of Etoricoxib Loaded Nanoemulsion (ETO-NE)
2.4. Evaluation of ETO-NE
2.4.1. Thermodynamic Stability
2.4.2. Determination of Mean Droplet Size, Polydispersity Index (PDI), and Zeta Potential of ETO-NE
2.4.3. Droplet Morphology of Optimized ETO-NE
2.5. In Vitro Drug Release Study of ETO-NE
2.6. In Vitro Cell Line Study
2.6.1. MTT Assay to Determine Cell Viability
2.6.2. Cell Migration Assay
2.6.3. Apoptotic and Cell Cycle Activity by Flow Cytometry
2.6.4. Mitochondrial Membrane Potential Activity
2.6.5. Caspase-3, 9, and p53 Activity by ELISA
2.6.6. Effect of ETO-NE on Molecular Marker Using RT-PCR
2.7. Statistical Analysis
3. Results and Discussion
3.1. Formulation Design and Optimization of the Nanoemulsion System
3.1.1. Solubility Study
3.1.2. Phase Behavior Study
3.2. Characterization of ETO-NE
3.3. In Vitro Drug Release Study of ETO-NE
3.4. In Vitro Cell Line Study
3.4.1. Cell Viability Using MTT Assay
3.4.2. Cell Migration Assay
3.4.3. Apoptotic Activity by Flow Cytometry
3.4.4. Cell Cycle Analysis
3.4.5. Mitochondrial Membrane Potential Activity
3.4.6. Caspase-3, 9, and p53 Activity by ELISA Method
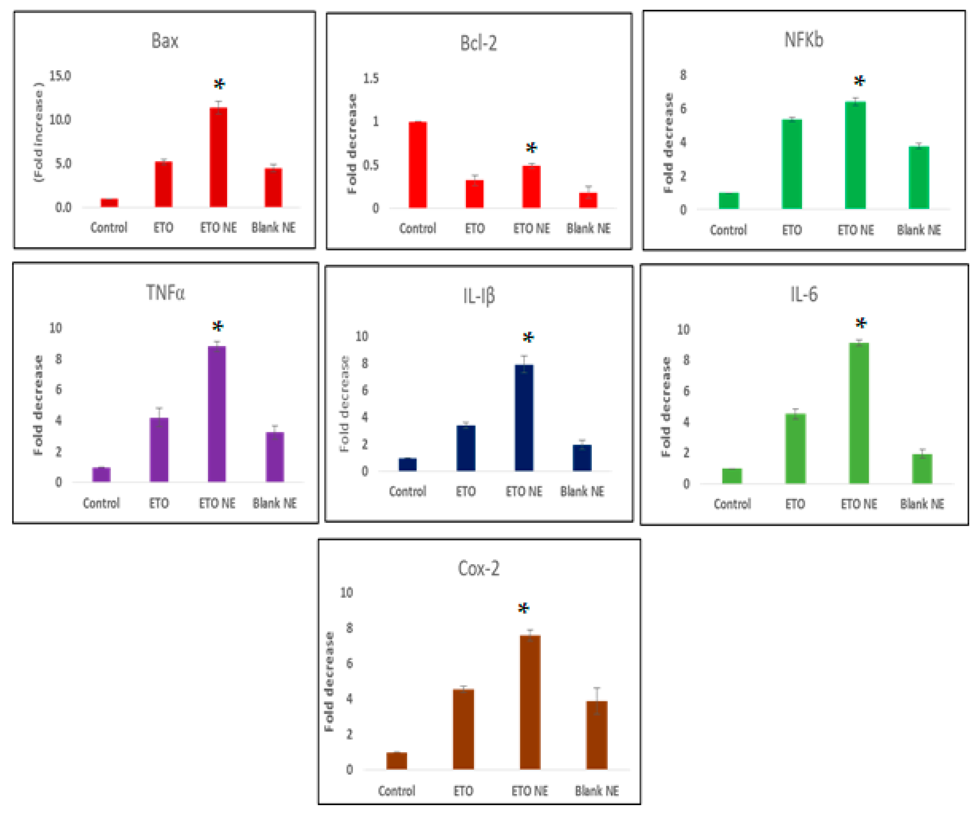
3.4.7. Effect of ETO-NE on Molecular Markers: Bax, Bcl-2, Nfkb, TNF, IL-B, IL-6, and COX-2 Using RT-PCR
4. Conclusions
Supplementary Materials
Author Contributions
Funding
Institutional Review Board Statement
Informed Consent Statement
Data Availability Statement
Conflicts of Interest
References
- Key Statistics for Lung Cancer. Available online: https://www.cancer.org/cancer/lung-cancer/about/key-statistics.html (accessed on 25 July 2021).
- Md, S.; Alhakamy, N.A.; Aldawsari, H.M.; Husain, M.; Kotta, S.; Abdullah, S.T.; Fahmy, U.A.; AlFaleh, M.A.; Asfour, H.Z. Formulation Design, Statistical Optimization, and In Vitro Evaluation of a Naringenin Nanoemulsion to Enhance Apoptotic Activity in A549 Lung Cancer Cells. Pharmaceutics 2020, 13, 152. [Google Scholar] [CrossRef] [PubMed]
- Muralidharan, R.; Babu, A.; Amreddyn, N.; Basalingappa, K.; Mehta, M.; Chen, A.; Zhao, Y.D.; Kompella, U.B.; Munshi, A.; Ramesh, R. Folate receptor-targeted nanoparticle delivery of HuR-RNAi suppresses lung cancer cell proliferation and migration. J. Nanobiotechnol. 2016, 14, 47. [Google Scholar] [CrossRef] [Green Version]
- Cruz–Correa, M.; Hylind, L.M.; Romans, K.E.; Booker, S.V.; Giardiello, F.M. Long-term treatment with sulindac in familial adenomatous polyposis: A prospective cohort study. Gastroenterology 2002, 122, 641–645. [Google Scholar] [CrossRef]
- Gill, S.; Sinicrope, F.A. Colorectal cancer prevention: Is an ounce of prevention worth a pound of cure? Semin. Oncol. 2005, 32, 24–34. [Google Scholar] [CrossRef]
- Ioele, G.; Grande, F.; De Luca, M.; Occhiuzzi, M.A.; Garofalo, A.; Ragno, G. Photodegradation of Anti-Inflammatory Drugs: Stability Tests and Lipid Nanocarriers for Their Photoprotection. Molecules 2021, 26, 5989. [Google Scholar] [CrossRef]
- Mabrouk, A.A.; Mina Tadros, M.I.; El-Refaiea, W.M. Improving the efficacy of Cyclooxegenase-2 inhibitors in the management of oral cancer: Insights into the implementation of nanotechnology and mucoadhesion. J. Drug Deliv. Sci. Technol. 2021, 61, 102240. [Google Scholar] [CrossRef]
- Kumar, H.; Saini, D.; Jain, S.; Jain, N. Pyrazole scaffold: A remarkable tool in the development of anticancer agents. Eur. J. Med. Chem. 2013, 70, 248–258. [Google Scholar] [CrossRef]
- Baroli, B.; López-Quintela, M.; Delgado-Charro, M.B.; Fadda, A.M.; Méndez, J.B. Microemulsions for topical delivery of 8-methoxsalen. J. Control. Release 2000, 69, 209–218. [Google Scholar] [CrossRef]
- Malviya, R.; Sharma, P.K.; Dubey, S.K. Efficiency of self-assembled etoricoxib containing polyelectrolyte complex stabilized cubic nanoparticles against human cancer cells. Precis. Med. Sci. 2020, 9, 9–22. [Google Scholar] [CrossRef]
- Akhter, S.; Anwar, M.; Siddiqui, M.A.; Ahmad, I.; Ahmad, J.; Ahmad, M.Z.; Bhatnagar, A.; Ahmad, F.J. Improving the topical ocular pharmacokinetics of an immunosuppressant agent with mucoadhesive nanoemulsions: Formulation development, in-vitro and in-vivo studies. Colloids Surf. B Biointerfaces 2016, 148, 19–29. [Google Scholar] [CrossRef]
- Xi, J.; Chang, Q.; Chan, C.K.; Meng, Z.Y.; Wang, G.N.; Sun, J.B.; Wang, Y.T.; Tong, H.H.Y.; Zheng, Y. Formulation Development and Bioavailability Evaluation of a Self-Nanoemulsified Drug Delivery System of Oleanolic Acid. AAPS PharmSciTech 2009, 10, 172–182. [Google Scholar] [CrossRef] [PubMed] [Green Version]
- AlGahtani, M.S.; Ahmad, M.Z.; Ahmad, J. Nanoemulgel for Improved Topical Delivery of Retinyl Palmitate: Formulation Design and Stability Evaluation. Nanomaterials 2020, 10, 848. [Google Scholar] [CrossRef] [PubMed]
- Alhakamy, N.; Kotta, S.; Ali, J.; Alam, S.; Hosny, K.; Shaik, R.; Eid, B.; Riadi, Y.; Asfour, H.; Ashy, N.; et al. Formulation Development, Statistical Optimization, In Vitro and In Vivo Evaluation of Etoricoxib-Loaded Eucalyptus Oil-Based Nanoemulgel for Topical Delivery. Appl. Sci. 2021, 11, 7294. [Google Scholar] [CrossRef]
- Alhakamy, N.A.; Md, S. Repurposing Itraconazole Loaded PLGA Nanoparticles for Improved Antitumor Efficacy in Non-Small Cell Lung Cancers. Pharmaceutics 2019, 11, 685. [Google Scholar] [CrossRef] [Green Version]
- Almeida, V.M.; Bezerra, M.A., Jr.; Nascimento, J.C.; Amorim, L.M.F. Anticancer drug screening: Standardization of in vitro wound healing assay. J. Bras. Patol. E Med. Lab. 2019, 55, 606–619. [Google Scholar] [CrossRef]
- Alhakamy, N.A.; Fahmy, U.A.; Badr-Eldin, S.M.; Ahmed, O.A.A.; Asfour, H.Z.; Aldawsari, H.M.; Algandaby, M.M.; Eid, B.G.; Abdel-Naim, A.B.; Awan, Z.A.; et al. Optimized Icariin Phytosomes Exhibit Enhanced Cytotoxicity and Apoptosis-Inducing Activities in Ovarian Cancer Cells. Pharmaceutics 2020, 12, 346. [Google Scholar] [CrossRef]
- Pfaffl, M.W. A new mathematical model for relative quantification in real-time RT-PCR. Nucleic Acids Res. 2001, 29, e45. [Google Scholar] [CrossRef]
- Tim, P.G.; Fennell, M.; Whittaker, R.; Curwen, J.; Jacobs, V.; Allen, J.; Logie, A.; Hargreaves, J.; Hickinson, D.M.; Wilkinson, R.W.; et al. Preclinical anticancer activity of the potent, oral Src inhibitor AZD0530. Mol. Oncol. 2009, 3, 248–261, ISSN 1574-7891. [Google Scholar]
- Rose-John, S.; Waetzig, G.H.; Scheller, J.; Grötzinger, J.; Seegert, D. The IL-6/sIL-6R complex as a novel target for therapeutic approaches. Expert Opin. Ther. Targ. 2007, 11, 613–624. [Google Scholar] [CrossRef]
- Min, J.; Shen, H.; Xi, W.; Wang, Q.; Yin, L.; Zhang, Y.; Yu, Y.; Yang, Q.; Wang, Z.-N. Synergistic Anticancer Activity of Combined Use of Caffeic Acid with Paclitaxel Enhances Apoptosis of Non-Small-Cell Lung Cancer H1299 Cells in Vivo and in Vitro. Cell. Physiol. Biochem. 2018, 48, 1433–1442. [Google Scholar] [CrossRef]
- Bahuguna, A.; Khan, I.; Bajpai, V.K.; Kang, S.C. MTT assay to evaluate the cytotoxic potential of a drug. Bangladesh J. Pharmacol. 2017, 12, 8–2017. [Google Scholar] [CrossRef]
- Kerr, J.F.R.; Wyllie, A.H.; Currie, A.R. Apoptosis: A basic biological phenomenon with wide-ranging implications in tissue kinetics. Br. J. Cancer 1972, 26, 239–257. [Google Scholar] [CrossRef] [PubMed] [Green Version]
- Fan, Y.; Chiu, J.-F.; Liu, J.; Deng, Y.; Xu, C.; Zhang, J.; Li, G. Resveratrol induces autophagy-dependent apoptosis in HL-60 cells. BMC Cancer 2018, 18, 581. [Google Scholar] [CrossRef] [Green Version]
- Galliera, E.; Corsi, M.M.; Bonecchi, R.; Locati, M.; Mantovani, A. Chemokines as Pharmacological Targets. Mini-Rev. Med. Chem. 2008, 8, 638–646. [Google Scholar] [CrossRef] [PubMed]
- Nelson, W.G.; De Marzo, A.; Deweese, T.L.; Isaacs, W.B. THE ROLE OF INFLAMMATION IN THE PATHOGENESIS OF PROSTATE CANCER. J. Urol. 2004, 172, 6–12. [Google Scholar] [CrossRef]
- Farrow, B.; Sugiyama, Y.; Chen, A.; Uffort, E.; Nealon, W.; Evers, B.M. Inflammatory Mechanisms Contributing to Pancreatic Cancer Development. Ann. Surg. 2004, 239, 763–771. [Google Scholar] [CrossRef]
- Strukov, A.I.; Paukov, V.S.; Orekhov, O.O. Morphology, pathogenesis and classification of interstitial lung diseases. Arkhiv Patol. 1984, 46, 3–14. [Google Scholar]
- Hofseth, L.J.; Ying, L. Identifying and defusing weapons of mass inflammation in carcinogenesis. Biochim. Biophys. Acta (BBA) Rev. Cancer 2006, 1765, 74–84. [Google Scholar] [CrossRef]
- Sarkar, D.; Fisher, P.B. Molecular mechanisms of aging-associated inflammation. Cancer Lett. 2006, 236, 13–23. [Google Scholar] [CrossRef]
- Lu, Y.; Cai, Z.; Galson, D.L.; Xiao, G.; Liu, Y.; George, D.E.; Melhem, M.F.; Yao, Z.; Zhang, J. Monocyte chemotactic protein-1 (MCP-1) acts as a paracrine and autocrine factor for prostate cancer growth and invasion. Prostate 2006, 66, 1311–1318. [Google Scholar] [CrossRef]
- Chavey, C.; Bibeau, F.; Gourgou-Bourgade, S.; Burlinchon, S.; Boissière, F.; Laune, D.; Roques, S.; Lazennec, G. Oestrogen receptor negative breast cancers exhibit high cytokine content. Breast Cancer Res. 2007, 9, R15. [Google Scholar] [CrossRef] [Green Version]
- Van Waes, C. Nuclear factor-κB in development, prevention, and therapy of cancer. Clin. Cancer Res. 2007, 13, 1076–1082. [Google Scholar] [CrossRef] [PubMed] [Green Version]
- Lee, J.M.; Yanagawa, J.; Peebles, K.A.; Sharma, S.; Mao, J.T.; Dubinett, S.M. Inflammation in lung carcinogenesis: New targets for lung cancer chemoprevention and treatment. Crit. Rev. Oncol. 2008, 66, 208–217. [Google Scholar] [CrossRef] [Green Version]
- Schönthal, A.H. Direct non-cyclooxygenase-2 targets of celecoxib and their potential relevance for cancer therapy. Br. J. Cancer 2007, 97, 1465–1468. [Google Scholar] [CrossRef] [PubMed]
- Jana, N.R. NSAIDs and apoptosis. Cell. Mol. Life Sci. 2008, 65, 1295–1301. [Google Scholar] [CrossRef]
- Javanshir, A.; Karimi, E.; Maragheh, A.D.; Tabrizi, M.H. The antioxidant and anticancer potential of Ricinus communis L. essential oil nanoemulsions. J. Food Meas. Charact. 2020, 14, 1356–1365. [Google Scholar] [CrossRef]











| Formulation Code | Smix Ratio | Oil (%) | Surfactant (%) | Co-Surfactant (%) | Water (%) |
|---|---|---|---|---|---|
| F1 | 1:1 | 17.5 | 26.25 | 26.25 | 30.0 |
| F2 | 2:1 | 17.5 | 35.0 | 17.5 | 30.0 |
| F3 | 3:1 | 17.5 | 39.37 | 13.13 | 30.0 |
| F4 | 4:1 | 17.5 | 42.0 | 10.5 | 30.0 |
| Formulation Code | Droplet Size ± SD | PDI ± SD | Zeta Potential ± SD |
|---|---|---|---|
| F1 | 154.1 ± 9.2 a | 0.34 ± 0.04 a | −4.78 ± 0.41 a |
| F2 | 124.8 ± 2.9 b | 0.24 ± 0.03 b | −8.19 ± 1.51 b |
| F3 | 178.3 ± 5.4 c | 0.38 ± 0.07 c | −13.60 ± 0.80 c |
| F4 | 272.0 ± 15.4 d | 0.50 ± 0.06 d | −14.94 ± 1.73 d |
Publisher’s Note: MDPI stays neutral with regard to jurisdictional claims in published maps and institutional affiliations. |
© 2021 by the authors. Licensee MDPI, Basel, Switzerland. This article is an open access article distributed under the terms and conditions of the Creative Commons Attribution (CC BY) license (https://creativecommons.org/licenses/by/4.0/).
Share and Cite
Md, S.; Alhakamy, N.A.; Alharbi, W.S.; Ahmad, J.; Shaik, R.A.; Ibrahim, I.M.; Ali, J. Development and Evaluation of Repurposed Etoricoxib Loaded Nanoemulsion for Improving Anticancer Activities against Lung Cancer Cells. Int. J. Mol. Sci. 2021, 22, 13284. https://doi.org/10.3390/ijms222413284
Md S, Alhakamy NA, Alharbi WS, Ahmad J, Shaik RA, Ibrahim IM, Ali J. Development and Evaluation of Repurposed Etoricoxib Loaded Nanoemulsion for Improving Anticancer Activities against Lung Cancer Cells. International Journal of Molecular Sciences. 2021; 22(24):13284. https://doi.org/10.3390/ijms222413284
Chicago/Turabian StyleMd, Shadab, Nabil A. Alhakamy, Waleed S. Alharbi, Javed Ahmad, Rasheed A. Shaik, Ibrahim M. Ibrahim, and Javed Ali. 2021. "Development and Evaluation of Repurposed Etoricoxib Loaded Nanoemulsion for Improving Anticancer Activities against Lung Cancer Cells" International Journal of Molecular Sciences 22, no. 24: 13284. https://doi.org/10.3390/ijms222413284
APA StyleMd, S., Alhakamy, N. A., Alharbi, W. S., Ahmad, J., Shaik, R. A., Ibrahim, I. M., & Ali, J. (2021). Development and Evaluation of Repurposed Etoricoxib Loaded Nanoemulsion for Improving Anticancer Activities against Lung Cancer Cells. International Journal of Molecular Sciences, 22(24), 13284. https://doi.org/10.3390/ijms222413284

