Abstract
Vitamin D plays a crucial role in regulation of the immune response. However, treatment of autoimmune diseases with 1,25-dihydroxyvitamin D3 [1,25(OH)2D3] doses sufficient to be effective is prohibitive due to its calcemic and toxic effects. We use the collagen-induced arthritis (CIA) model to analyze the efficacy of the noncalcemic analog of vitamin D, 20S-hydroxyvitamin D3 [20S(OH)D3], as well as 1,25(OH)2D3, to attenuate arthritis and explore a potential mechanism of action. Mice fed a diet deficient in vitamin D developed a more severe arthritis characterized by enhanced secretion of T cell inflammatory cytokines, compared to mice fed a normal diet. The T cell inflammatory cytokines were effectively suppressed, however, by culture of the cells with 20S(OH)D3. Interestingly, one of the consequences of culture with 1,25(OH)2D3 or 20S(OH)D3, was upregulation of the natural inhibitory receptor leukocyte associated immunoglobulin-like receptor-1 (LAIR-1 or CD305). Polyclonal antibodies which activate LAIR-1 were also capable of attenuating arthritis. Moreover, oral therapy with active forms of vitamin D suppressed arthritis in LAIR-1 sufficient DR1 mice, but were ineffective in LAIR-1−/− deficient mice. Taken together, these data show that the effect of vitamin D on inflammation is at least, in part, mediated by LAIR-1 and that non-calcemic 20S(OH)D3 may be a promising therapeutic agent for the treatment of autoimmune diseases such as Rheumatoid Arthritis.
1. Introduction
Human autoimmune arthritis causes significant joint damage due to dysregulated autoimmunity. The risk and progression of Rheumatoid Arthritis (RA) have been correlated with vitamin D deficiency (low serum 25-hydroxyvitamin D [25(OH)D]). However, attempts to treat RA with 1,25(OH)2D3 and its precursors, 25(OH)D3 have caused hypercalcemic toxicity when given chronically at the pharmacological doses needed to maximally suppress arthritis and autoimmunity [1]. This side effect limits the amounts that can be given chronically to patients with autoimmune diseases such as RA.
We have discovered a novel pathway of D3 metabolism operative in humans, initiated by cytochrome P450scc (CYP11A1), and with subsequent involvement of CYP27B1, which generates additional biologically active products [2,3,4,5]. These are at least as potent as classical 1,25(OH)2D3 when tested in vitro and in vivo in several model systems and, like 1,25(OH)2D3, bind to the vitamin D receptor (VDR) [6,7,8,9,10,11,12,13]. A major product of this pathway, 20S(OH)D3, is nontoxic (i.e., noncalcemic with limited effects on the hematopoietic system, liver, kidney, and heart) at doses as high as 60 µg/kg, while 25(OH)D3 or 1,25(OH)2D3 induce hypercalcemia at doses ≤2 μg/kg [14,15,16,17]. Importantly, 20S(OH)D3 has recently been found to be present in all 103 human serum samples analyzed, with a mean concentration of 0.27 ng/mL, which is 5 times higher than the mean concentration of 1,25(OH)2D3 in these samples [4,13,18]. Thus, 20S(OH)D3 is a natural product that has also been detected in honey [12].
The binding of 1,25(OH)2D3 to the intracellular VDR regulates multiple genes involved in many physiological processes [19]. In fact, the human genome contains over 23,000 VDR binding sites, most of which are cell-specific [20]. As such, vitamin D is now considered essential for the maintenance of physiological homeostasis. Its deficiency has been associated with a wide range of diseases and cardiovascular and metabolic disorders, including cancer, hypertension, and infectious and autoimmune diseases. The wide variety of vitamin D effects on the immune response suggests that vitamin D may hold therapeutic promise in many autoimmune diseases. In RA patients, serum 25(OH)D3 levels correlated negatively with disease activity [21], and each 10 ng/mL increase in serum 25(OH)D3 was associated with a 0.3-point decrease in mean DAS28 and a 25% decrease in serum C-reactive protein [21]. Moreover, in interventional trials, higher doses of supplementation with 1,25(OH)2D3 have been associated with decreased pain and significant declines in C-reactive protein levels together with a trend toward clinical efficacy [22,23,24,25].
We recently reported that 20(OH)D3 markedly reduces clinical signs of arthritis and joint damage in a mouse model of RA, by suppressing immune responses by T and B cells [26]. These results were related to reduction in CD4+ T cells, CD19+ B cells, anti-CII antibodies, and maintenance of CD4+CD24+FoxP3+ Tregs. In the current study, we have used the collagen-induced arthritis (CIA) model to investigate the effects of 1,25(OH)2D3 and non-calcemic 20S(OH)D3 with results revealing a new mechanism involving LAIR-1 by which they modulate T-cell function, and ultimately, autoimmune arthritis.
2. Results
2.1. Murine Autoimmune Arthritis and Vitamin D Decificency
Although vitamin D is known to play a critical role in calcium homeostasis, it also modulates the immune system [27]. To confirm that vitamin D plays a role in autoimmune arthritis, groups of DBA/1 mice were fed diets either deficient (VitD−) or sufficient in vitamin D (VitD+) beginning on day 21 when they were weaned. When mice were immunized with CII/CFA to induce arthritis, those fed diets deficient in vitamin D had significantly more severe arthritis than those fed a normal diet (Figure 1). The cytokine data in Table 1 support the arthritis data. When splenocytes from mice fed diets either vitamin D sufficient (D+) or vitamin D deficient (D−) were cultured with the immunodominant A2 peptide, cells from mice fed with the vitamin D deficient diet secreted greater T cell cytokine responses than those from mice fed the vitamin D sufficient diet. Although multiple CD4+ T cell lineages were affected, the inflammatory Th1 and Th17 responses were most pronounced, creating a relative shift toward an inflammatory profile (Table 1).
Figure 1.
Disease severity in mice fed a vitamin D deficient diet. DBA/1 mice were fed either a vitamin D deficient (Vit D−) or a vitamin D sufficient (VitD+) control diet beginning at three weeks of age. All animals were challenged with a dose of 100 µg of CII emulsified in CFA for the induction of disease. Mice were scored for arthritis severity (n = 6 per group). The severity scores are expressed as means ± SEM. Treated mice fed the Vit D− diet were significantly different from controls beginning at day 39 (p ≤ 0.05 using Mann and Whitney analysis).
Table 1.
Cytokine responses in splenic T cells from mice fed a vitamin D deficient diet. Splenocytes from DBA/1 mice fed either Vitamin D+ or Vitamin D− diet and previously immunized with CII/CFA were cultured with A2 peptide (3 µmol/mL) or no Ag, then supernatants were analyzed for cytokines (n = 3 for each group). Values indicated represent the mean ± SEM (pg/mL) of three separate experiments. * p ≤ 0.001.
2.2. Cytokine Responses Using 20S(OH)D3
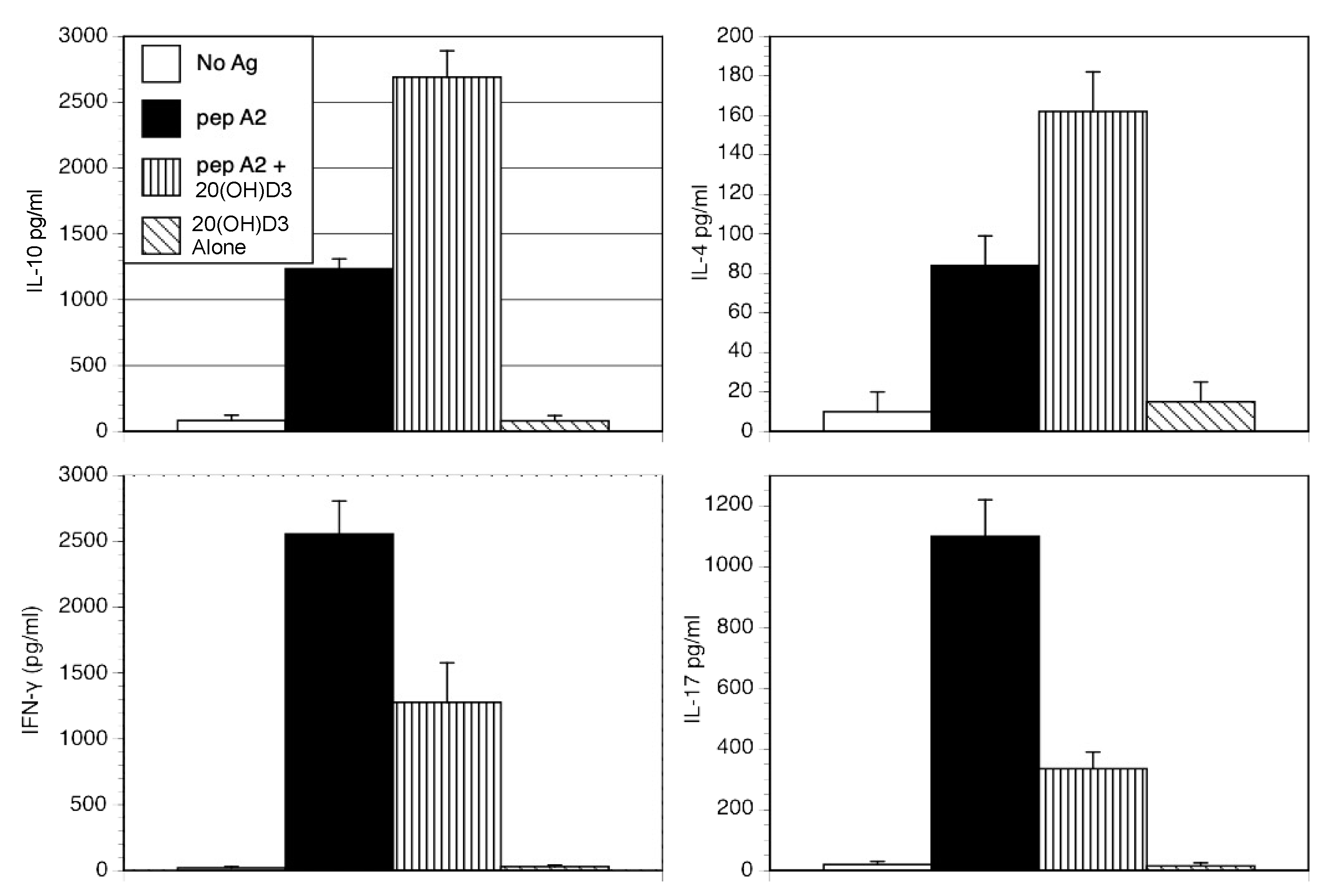
Since new safer noncalcemic secosteroids have been developed [28], it was important to test their effectiveness in attenuating in vitro murine T cell inflammatory responses. To this end, 20S(OH)D3 was selected. Splenocytes from DBAqCII24 mice were cultured with the immunodominant peptide A2 alone or in the presence of 20S(OH)D3. The resulting supernatants were evaluated for cytokine responses. As shown in Figure 2, 20S(OH)D3 significantly inhibited secretion of inflammatory cytokines (IFNγ and IL-17), while it increased the IL-4 and IL-10. The net result was a relative shift towards a Th2, non-inflammatory phenotype. The increase in Th2 cytokine responses induced by treatment with 20(OH)D3 is similar to observations made by others following treatment with 1,25(OH)2D3 [29], yet differs from the downregulation of all T cell cytokines noted in Table 1 in cells from mice given vitamin D sufficient diets. Although both conditions induce a relative shift away from an inflammatory T cell profile, diets sufficient in vitamin D expose the entire immune system of the animal to vitamin D, modifying a large number of T cells over several months, while treatment of normal cells with 20(OH)D3 in vitro reflects a much shorter exposure. We believe these varying conditions, as well as differences in the shifting B/T cell rations that vitamin D induces explain the differing results. These studies support our premise that 20S(OH)D3 will be an effective therapeutic alternative in autoimmunity [16].
Figure 2.
20S(OH)D3 modulates production of T cell cytokines. DBA/1qCII splenocytes were cultured with the immunodominant peptide A2 either alone or in the presence of 20S(OH) D3 (10−7 M). After 72 h supernatants were analyzed by a multiplexed ELISA to determine concentrations of selected cytokines. Concentrations of cytokines are pg/mL and represent the means of three separate analyses. Comparing pep A2 alone to pep A2 plus D3, p ≤ 0.01 for IL-4, IL-10 and IFN-γ and p ≤ 0.001 for IL-17.
2.3. Vitamin D Can Upregulate LAIR-1
One effective way to downregulate the inflammatory immune response is to activate inhibitory receptors. Since the expression of inhibitory receptors varies depending upon the activation or differentiation state of the cell during autoimmunity [30], it was of interest to determine how culture with the analog of vitamin D3 affected receptor expression. Selecting the natural inhibitory receptor leukocyte associated immunoglobulin-like receptor-1 (LAIR-1) for further testing, human PBMCs were cultured overnight with either 1,25(OH)2D3, 20S(OH)D3, or α1(II), the purified constituent polypeptide chain of type II collagen. When the cultured cells were lysed and analyzed by Western blotting using an anti- LAIR-1 antibody (Figure 3), results showed that LAIR-1 expression was appreciably increased by culture with either of the two active forms of vitamin D3, as well as α1(II), a natural ligand of LAIR-1. In a similar fashion, surface LAIR-1 on murine CD4+ cells was upregulated by culture with 1,25(OH)2D3 (Figure 3, lower panel). Taken together, these results demonstrate that LAIR-1 activation could help explain the resulting suppression of inflammation by 1,25(OH)2D3 and CYP11A1-derived 20S(OH)D3.
Figure 3.
Stimulation of the expression of LAIR-1 by active forms of vitamin D3. (Upper panel) Human PBMCs from normal volunteers were activated by Mock control (ethanol, 10−8 M), 1,25(OH)2D3 (10−8 M), 20S(OH)D3 (10−8 M), or αI(II) (100 μg/mL) for 12 h. Total proteins (400 μg/500 μL reaction volume) were immunoprecipitated with protein A/G bead conjugated with anti-LAIR-1 (R&D Systems) antibody. Expression of LAIR-1 was examined by Western blot analysis using the anti-LAIR-1 antibody. Actin was used as input control. This experiment is representative of three separate experiments. (Lower panel) Mouse splenocytes were cultured 12 h with either vehicle control (ethanol, 10−8 mol/L), (light grey line, mean fluorescence [MF] 388 ± 25)), or 1,25(OH)2D3 (10−8 mol/L) (black line, MF 1469 ± 42), and stained with anti-LAIR-1 for analysis by flow cytometry. The indicated panels were gated for CD4+ cells.
2.4. LAIR-1 Also Suppresses Arthritis
Since polyclonal anti-LAIR-1 antibodies predominately activate LAIR-1, we used the collagen-induced arthritis model to induce in vivo activation of LAIR-1 and examined the resulting autoimmune arthritis. Groups of mice were immunized with CII/CFA to induce arthritis, then were given interperitoneally either polyclonal anti-LAIR-1 antibodies or rabbit IgG. When mice were scored for severity of arthritis (Figure 4), as hypothesized, mice treated with α-LAIR-1 antibodies had significantly less severe arthritis than mice given the control IgG. These data confirm that activation of LAIR-1 can downregulate autoimmune arthritis.
Figure 4.
Treatment with Polyclonal antibody to LAIR-1. DR1 mice were immunized with CII/CFA to induce arthritis. Six mice were given intraperitoneal injections on day 0, 7, and 14 with 100 µg/dose of α-LAIR polyclonal IgG antibodies and seven mice were given 100 µg/dose of normal rabbit IgG as a control. Mice were scored for severity. The mice treated with antibody to LAIR-1 had significantly less arthritis severity than mice treated with control beginning on day 42 (p ≤ 0.05).
2.5. Vitamin D Treatment in CIA Using LAIR-−/− and LAIR-1+/+ Mice
To confirm that the suppressive effects of 1,25(OH)2D3 and 20S(OH)D3 were mediated by LAIR-1, both LAIR-1+/+ and LAIR-1−/− mice were immunized with CII/CFA to induce arthritis followed by treatment orally with either vehicle control or 1,25(OH)2D3. When the mean severity of arthritis scores for each group were calculated, the wild-type mice that received 1,25(OH)2D3 supplementation had a significant suppression of arthritis, having the lowest severity scores of any group (p < 0.05) compared to vehicle controls. Importantly, the data also show that LAIR-1−/− mice had severity scores that were not suppressed by 1,25(OH)2D3 treatment. An additional five LAIR-1−/− mice were treated by oral gavage with 20S(OH)D3 from days 13 to 44. Although these doses suppressed CIA in LAIR+/+ mice, the LAIR−/− mice fed 20S(OH)D3 had severity scores similar to the LAIR−/− vehicle controls (Figure 5, lower panel). Moreover, 20S(OH)D3, given at lower doses than 1,25(OH)2D3, decreased severity scores more potently than 1,25(OH)2D3. Taken together these data reveal that LAIR-1 is critical for the attenuation of inflammation induced by treatment with 1,25(OH)2D3 or 20S(OH)D3.

Figure 5.
Treatment of LAIR-1−/− mice with 1,25(OH)2D3 or 20S(OH)D3. (Upper Pane) Treatment with 1,25(OH)2D3. 20 DR1 LAIR-1+/+ and 20 DR1 LAIR-1−/− mice, were immunized with CII/CFA to induce an arthritic response and were observed for the development of arthritis. Each LAIR-1+/+ and LAIR-1−/− mouse was treated with an oral dose of either vehicle control (propylene glycol, 0.1 mL/dose) or 1,25(OH)2D3 (23 μg/dose). The mice were scored visually for severity of disease and the mean severity of arthritis scores for each group were calculated. (Lower Panel) Treatment with 20S(OH)D3. 10 DR1 LAIR-1+/+ and 10 DR1 LAIR-1−/− mice, were immunized with CII/CFA to induce arthritis. Beginning on day 13 and continuing to day 48, each LAIR-1+/+ and LAIR-1−/− mouse was treated with an oral dose of either vehicle control (propylene glycol, 0.1 mL/dose) or 20S(OH)D3 (15 μg/kg/dose). The mice were scored visually for severity of disease and the mean severity of arthritis scores for each group were calculated. Beginning on day 44 (p < 0.05) for LAIR-1+/+ mice that received either 1,25(OH)2D3 or 20S(OH)D3 supplementation compared to LAIR-1+/+ mice fed PG.
3. Discussion
To understand the mechanisms by which 1,25(OH)2D3 and its non-calcemic analog 20S(OH)D3 modulate T cell function and ultimately autoimmune arthritis, pre-clinical studies were performed using the collagen induced arthritis (CIA) model. CIA is an autoimmune arthritis model induced in genetically susceptible mice that leads to synovitis and both cartilage and bone erosion, similar to what is seen in human RA. Our data show that mice fed a diet deficient in vitamin D develop a more severe arthritis. Moreover, the mechanism for inhibiting inflammatory T cell cytokines and autoimmune arthritis with vitamin D involves the inhibitory receptor LAIR-1. These studies suggest a new mechanism by which active forms of vitamin D effectively modulate autoimmune arthritis.
Vitamin D is an extremely important current public health issue. In recent years, reports of potential health benefits of vitamin D outside its well-known role in bone and mineral metabolism, coupled with some evidence that portions of the population may be vitamin D-deficient, have generated both interest and controversy over the proper vitamin D target levels and how best to achieve them [31,32,33]. Although the most well-known function of vitamin D is in maintaining the right balance between calcium and phosphate serum levels, thus promoting bone health, other functions have been identified [19].
Considering that earlier studies demonstrated that 1,25(OH)2D3 inhibited arthritis in the CIA model in mice fed a low-calcium diet to protect against development of hypercalcemia [34], it is possible that vitamin D supplementation may have beneficial effects for patients with RA [35,36,37]. Unfortunately, supraphysiological doses of vitamin D3 would be required to obtain therapeutic concentrations in vivo. Increasing the vitamin D intake to diminish the incidence and severity of diseases such as RA, type 1 diabetes, IBD, and MS, and to obtain immunomodulating effects in vitro requires local concentrations of 1,25(OH)2D3 of about 10−10 M, which may be associated with an unacceptable level of hypercalcemia.
Several natural vitamin D analogs, including 20S(OH)D3, have been discovered which do not induce hypercalcemia and may have great therapeutic value [16,26]. The discovery of new secosteroidogenic pathways initiated by the action of CP11A1 led to the characterization of 20S(OH)D3 which has potent anti-proliferative and prodifferentiation effects. It has fewer side effects than other active vitamin D compounds because it is non-calcemic at concentrations as high as 60 µg/kg [17]. Importantly, 20S(OH)D3 and its direct metabolite 20S,23S(OH)2D3 act as potent inhibitors of NF-κB [9,28], RORα, and potentially RORγt [38,39]. Furthermore, since 20S(OH)D3 is produced in vivo by mitochondria in adrenal glands and other steroidogenic tissues [2,3], it is a natural product, even detectable in honey [12].
Vitamin D regulates both innate and adaptive immunity. Previous studies that examined the direct effect of vitamin D3 on T cells generally found it to be inhibitory for pro-inflammatory Th1 and Th17 cytokine production. Active forms of vitamin D primarily utilize the VDR (an intracellular transcription factor) to regulate gene expression in T cells [40]. Since CD4+ T cells from VDR−/− mice produce more IFNγ and less IL-4 and IL-5 compared to T cells from wild-type mice [41], it is believed that the addition of 1,25(OH)2D3 inhibits the Th1 and Th17 response by acting in the nucleus to inhibit RORγt and T-bet while upregulating GATA-3 [42,43,44]. In cell culture experiments, 1,25(OH)2D3 can induce Tregs in the presence of IL-2, by upregulating the transcription of Fox-P3 and CTLA4 [45,46]. We now propose a third mechanism, the upregulation of the inhibitory receptor LAIR-1.
Our data demonstrate a novel observation, that both 1,25(OH)2D3 and its non-calcemic analog 20S(OH)D upregulate LAIR-1 on T cells. We propose that the ability to upregulate LAIR-1 on lymphocytes is a critical step in its efficacy. Previous studies that examined the direct effect of 1,25(OH)2D3 on T cells generally found it to inhibit pro-inflammatory Th1 and Th17 cytokine production [47,48,49]. This effect can now be explained in part by upregulation of the inhibitory receptor LAIR-1.
LAIR-1 belongs to a family of immune inhibitory receptors that protect against autoimmune dysfunction and tissue damage [50,51]. Activation of the receptor inhibits many cellular processes that are important to properly functioning inflammatory cells [52,53]. Subsequently, loss of LAIR-1 expression from host inflammatory cell surfaces allows immune-mediated damage of the synovium. In this study, we show that upregulating natural inhibitory receptors presents a method for suppressing autoimmune arthritis. Their immunoreceptor tyrosine-based inhibition motif (ITIM) acts as a negative regulator of immune cell receptor signaling. In our previous studies, we found that LAIR-1 engagement by alpha chains of collagen or C1q [54] led to inhibition of TCR signaling and decreased activation levels of key components of the canonical T cell signaling pathway, including Lck, Lyn, Zap-70, and the three MAP Kinases (ERK1/2, JNK1/2 and p38). Given the vital role of LAIR-1 in mitigating the autoimmune destruction of host cells, it seems plausible that upregulation of these receptors can play a major role in mitigating autoimmune inflammation, possibly providing a new immunotherapeutic target which downregulates the T-cell cytokine response.
Limitations of this study: Our study highlights a potential role for 20S(OH)D3 in the treatment of autoimmune arthritis and demonstrates the importance of LAIR-1 in its mechanism of suppression. Our data are limited by the number of mice analyzed and treated with 20(OH)D3. We understand that studies using murine models of arthritis do not always reflect patient outcomes so we hope these studies will lead the way for future clinical trials.
4. Materials and Methods
4.1. Animals
DBA/1 mice were obtained from the Jackson Laboratories (Bar Harbor, ME, USA) and B6 mice expressing the chimeric (human/mouse) DRB1*0101 construct were obtained from Taconic Biosciences (Hudson, NY, USA). The chimeric DRB1*0101 construct has been previously described, as has the production of Tg mice expressing this construct [55]. Mice transgenic for a CII-specific TCR-Vα11.1/Vβ8.3 having a DBA/1 background, referred to as DBAqCII24 [56] were developed and bred in the animal core facility of the Rheumatic Diseases Research Core Center, University of Tennessee Health Science Center as described previously [57].
LAIR-1 KO (knockout) mice [58] were crossbred to B6.DR1 transgenic mice with a B6 background for 12 generations. Genomic DNA was obtained from blood samples and PCR used to identify mice homozygous for either the LAIR-1−/− or LAIR+/+ and expressing the DR1 transgene.
Mice were fed standard rodent chow (Ralston Purina Co., St. Louis, MO, USA) and water ad libitum. Sentinel mice were routinely tested for a panel of mouse pathogens. All animals were kept until the age of 7–10 weeks before being used for experiments. In some experiments, DBA/1 mice were fed either a vitamin D deficient (D−) or a vitamin D sufficient (D+) control diet (Teklad Diets, Harlan Envigo, Indianapolis, IN, USA) beginning at three weeks of age. Animal care and housing requirements set forth by the National Institutes of Health Committee on Care and Use of Laboratory Animals of the Institute of Laboratory Animal Resources were followed, and animal protocols were reviewed and approved by the Animal Care and Use Committees of the University of Tennessee Health Science Center (UTHSC) and the Memphis VA Medical Center.
4.2. Type I and Type II Collagen
Native type II collagen (CII) was solubilized from fetal calf articular cartilage and native type I collagen (CI) from bovine hides by limited pepsin-digestion and purification as described earlier [59]. The purified collagen was dissolved in cold 10 mM acetic acid at 4 mg/mL and stored frozen at −80 °C until used. In some experiments type I collage from Advanced Biomatrix (Carlsbad, CA, USA) was used. α1(II) and α1(I) represent the constituent protein chains of bovine CII and CI respectively, isolated by carboxymethyl-cellulose chromatography. The synthetic peptides were supplied by Biomolecules Midwest Inc. (Waterloo, IL, USA). A peptide representing the immunodominant determinant of CII (GIAGFKGEQGPKGEB) (IEDBID 109115), is referred to as A2 or wild type (WT).
4.3. Production and Purification of 20S(OH)D3
20S(OH)D3 was originally reported by using enzymatic hydroxylation of D3 catalyzed by CYP11A1 as previously described by our group [2,15,60]. We have subsequently developed synthetic chemistry methods for large-scale production and demonstrated that the chemically synthesized 20S(OH)D3 is identical to the biologically generated 20S(OH)D3 [61,62]. In this study, both biochemically and chemically generated 20S(OH)D3 were used in the experiments. For biochemical production of 20S(OH)D3, 10 mmol/L VitD3 in 45% 2-hydroxpropyl-β-cyclodextrin was prepared. A buffer was prepared containing 20 mmol/L HEPES (pH7.4), 100 mmol/L NaCl, 0.1 mmol/L dithiothreitol, 2 µmol/L human cytochrome P450 scc, 0.1 mM EDTA, 0.3 µM adrenodoxin reductase, 10 µmol/L adrenodoxin, 2 mmol/L glucose 6-phosphate, 2 U/mL glucose 6-phosphate dehydrogenase, and 50 µmol/L NADPH. Then, 12.5 mL of this buffer were mixed with 200 µL of the VitD3 stock solution giving a final VitD3 concentration of 200 µmol/L and 0.9% concentration of 2-hydroxypropyl-β-cyclodextrin. After an 8 min pre-incubation, the reactions were initiated by adding NADPH, after which the samples were incubated for 3 h at 37 °C with slow shaking. After the 3 h incubation, 20 mL of ice cold dichloromethane were added to stop the reactions, after which the reaction products were extracted with dichloromethane as previously described [60,63,64]. Chemical production of 20S(OH)D3 were performed following our well-established procedures [62]. Final purification of 20S(OH)D3 was carried out using preparative thin-layer chromatography, followed by preparative reverse phase high-performance liquid chromatography as previously described [64]. Aliquots of the purified 20S(OH)D3 were lyophilized and stored at −80 °C until used.
4.4. Immunizations and Arthritis Induction
Six-to-8-wk-old mice were immunized with CII for the induction of arthritis. CII was dissolved in 10 mM cold acetic acid and emulsified at a 1:1 (v/v) ratio with complete Freund’s Adjuvant (CFA) containing 4 mg/mL of M. tuberculosis strain H37 Ra (Difco Microbiology Products, Becton Dickinson, NJ, USA) as previously described [59]. Mice were immunized subcutaneously at the base of the tail with 100 µg of CII. In some experiments, mice were given intraperitoneal injections on day 0, 7, and 14 with either 100 µg/dose of α-LAIR polyclonal IgG antibodies (Invitrogen, Waltham, MA, USA) or 100 µg/dose of normal rabbit IgG (Cell Signaling Technology, Inc., Beverly, MA, USA) as a control. The ant-LAIR-1 polyclonal antibodies were developed by immunizing rabbits with a recombinant protein corresponding to murine LAIR-1 and purifying with antigen affinity chromatograph, Protein A. The polyclonal α-Lair-1 sera was tested on murine CD4+ T cells to confirm upregulation of surface LAIR-1 using flow cytometry. In other experiments mice were treated by oral gavage with either control (propylene glycol, 0.1 mL/dose) or 1,25(OH)2D3, (25 μg/dose) or 15 µg/kg/dose 20S(OH)D3. In one experiment, the oral gavage was given three times a week, beginning the day after immunization of mice with CII/CFA and continuing for the duration of the experiment. In another experiment the oral gavage was given daily beginning day 13 after immunization and continuing to day 44.
The severity of arthritis was determined by visually examining each forepaw and hindpaw and scoring them on a scale of 0–4 as described previously [59]. Scoring was conducted by two examiners, one of whom was unaware of the identity of the treatment groups. Each mouse was scored thrice weekly beginning three weeks post immunization and continuing for 8 weeks. The mean severity score (sum of the severity scores for the group on each day /total number of animals in the group) was recorded at each time point.
Preparation of Human PBMCs
Heparinized blood was obtained and diluted 1:3 with RPMI 1640 (#61870036) containing penicillin (100 µ/mL) and streptomycin (100 µg/mL) with 10% fetal calf serum (Thermo-Fischer Scientific, Memphis, TN, USA). The PBMC were isolated by Ficoll-Hypaque (Fischer Scientific, Memphis, TN, USA) by gently layering the diluted serum over an equal volume of Ficoll in a Falcon tube and centrifuging for 30–40 min at 400–500× g without a brake. The PBMCs were set up in culture overnight with vehicle control (ethanol, 10−8 mol/L), 1,25(OH)2D3 (10−8 mol/L), 20S(OH)D3 (10−8 mol/L), or αI(II) (100 µg/mL) overnight.
This study was conducted and approved by the University of Tennessee Health Science Center (UTHSC) at the Memphis Institutional Review Board. The Declaration of Helsinki protocols were followed and normal healthy donors gave their written informed consent. Adults (ages 18–70 years) were used in this study.
4.5. Cytokines
Splenocytes from DBA/1 mice which had been previously immunized with CII/CFA were cultured with A2 peptide (3 µmol/mL) or no Ag (n = 3 for each group). In some experiments, the cells were taken from mice that were either vitamin D sufficient or vitamin D deficient. In other experiments culture was done in the presence of 20S(OH) D3 (10−7 M). The experiments were run in triplicate and 72 h later supernatants were analyzed for the presence of IL-10, IL-4, IFN-γ, and IL-17A. The fluorescence was measured with a Bio-Plex MAGPIX Multiplex Reader (Bio-Rad, Hercules, CA, USA). Values are expressed as picograms per ml and represent the mean values for each group taken from three separate experiments.
4.6. Analysis of Protein Phosphorylation
Proteins in whole cell lysates were separated using SDS-PAGE gels and electrotransferred onto nitrocellulose membranes. After transfer, the membrane was blocked in tris buffered saline (TBS)-Tween 20 containing 5% BSA for 1 h and incubated 2 h with phospho- specific antibodies. The membrane was then incubated with a secondary antibody (Bio-Rad) for 1 hand subjected to Enhanced Chemiluminescence detection (ECL Western Blot Substrate, Pierce) according to the manufacturer’s protocol. To detect protein levels, the membranes were re-stripped and reblotted with non-phospho-specific antibodies.
4.7. Flow Cytometric Assessment of Lymphoid Cells
Murine spleens or lymph node cells were collected and the phenotype was determined by multiparameter flow cytometry using an SORP BD LSRII flow cytometer (BD Biosciences, San Jose, CA, USA). Some experiments were done following culture overnight with 1,25(OH)2D3 (10−8 M). Cells were labeled with fluorochrome antibodies including: PE (phycoerythrin)-conjugated anti-LAIR-1and FITC (fluorescein isothiocyanate)-conjugated anti-CD4. All were used according to the manufacturer’s recommendations. A minimum of 10,000 cells was analyzed from each sample and the final analysis was performed using FlowJo software (Tree Star, Ashland, OR, USA).
4.8. Statistical Analysis
Calculations to determine statistical significance of the tests were carried out using the programs SAS and GraphPad Prism 4. Depending on the data, a one-way ANOVA or student’s t test analysis was performed. Comparison of mean variable values with a distribution significantly different from normal in two unrelated groups was performed using the Mann–Whitney test, while in more than two unrelated groups using the Kruskal–Wallis test. p < 0.05 was considered statistically significant and p values are indicated in the figure legends.
5. Conclusions
We have performed pre-clinical studies using the collagen-induced arthritis (CIA) model. These reveal a new mechanism involving upregulating the expression of the inhibitory receptor LAIR-1 by which active forms of vitamin D effectively modulate autoimmune arthritis. Inflammatory cytokines from T cells as well as inflammation of autoimmune arthritis are attenuated by upregulation of the LAIR-1. The noncalcemic 20S(OH)D3 is as effective and less toxic than the classical form of vitamin D3 [1,25(OH)2D3]. These data will provide the basis for further research trials using non-calcemic analogs of vitamin D therapeutically to treat arthritis.
Author Contributions
Writing, investigation—L.K.M.; conceptualization, methodology, writing editor—A.T.S., A.E.P., J.M.S., A.H.K.; investigation—M.W., J.D.K., J.J.P., A.-K.Y., E.F.R., D.D.B.; writing editor, methodology and synthesized and purified 20S(OH)D3—R.C.T., W.L.; synthesized and purified 20S(OH)D3—S.Z. All authors have read and agreed to the published version of the manuscript.
Funding
The work was supported by NIH grants R01AR073004, R01AR071189, R21 AI149267, AR069010, AR064825, R21AR063242, VA merit grant 1I01BX004293-01A1 and program-directed funds from the Department of Veterans Affairs.
Institutional Review Board Statement
The human study was conducted according to the guidelines of the Declaration of Helsinki and approved by the Institutional Review Board of the University of Tennessee Health Science Center (995518, approved 1 November 2017). The animal protocols were reviewed and approved by the Animal Care and Use Committees of the University of Tennessee Health Science Center (UTHSC) (16-106.0-B, approved 12 October 2017) and the Memphis VA Medical Center (325541-19, approved 19 October 2018).
Informed Consent Statement
Informed consent was obtained from all subjects involved in the study.
Data Availability Statement
The datasets used and/or analyzed during the current study are available from the corresponding author on reasonable request.
Acknowledgments
The authors would like to dedicate this article to the late Arnold E. Postlethwaite, in loving memory of his humanity, humility, integrity, and his many contributions to the broad field of rheumatology for more than five decades. The authors would also like to acknowledge the excellent technical assistance of Michael Christopher Shaner and David L. Cullins.
Conflicts of Interest
The authors declare no conflict of interest.
References
- Tebben, P.J.; Singh, R.J.; Kumar, R. Vitamin D-Mediated Hypercalcemia: Mechanisms, Diagnosis, and Treatment. Endocr. Rev. 2016, 37, 521–547. [Google Scholar] [CrossRef] [PubMed]
- Slominski, A.; Semak, I.; Zjawiony, J.; Wortsman, J.; Li, W.; Szczesniewski, A.; Tuckey, R.C. The cytochrome P450scc system opens an alternate pathway of vitamin D3 metabolism. FEBS J. 2005, 272, 4080–4090. [Google Scholar] [CrossRef]
- Slominski, A.T.; Kim, T.K.; Shehabi, H.Z.; Semak, I.; Tang, E.K.; Nguyen, M.N.; Benson, H.A.; Korik, E.; Janjetovic, Z.; Chen, J.; et al. In vivo evidence for a novel pathway of vitamin D(3) metabolism initiated by P450scc and modified by CYP27B1. FASEB J. 2012, 26, 3901–3915. [Google Scholar] [CrossRef]
- Slominski, A.T.; Kim, T.K.; Li, W.; Postlethwaite, A.; Tieu, E.W.; Tang, E.K.Y.; Tuckey, R.C. Detection of novel CYP11A1-derived secosteroids in the human epidermis and serum and pig adrenal gland. Sci. Rep. 2015, 5, 14875. [Google Scholar] [CrossRef]
- Tuckey, R.C.; Cheng, C.Y.S.; Slominski, A.T. The serum vitamin D metabolome: What we know and what is still to discover. J. Steroid. Biochem. Mol. Biol. 2019, 186, 4–21. [Google Scholar] [CrossRef]
- Slominski, A.T.; Kim, T.K.; Li, W.; Yi, A.K.; Postlethwaite, A.; Tuckey, R.C. The role of CYP11A1 in the production of vitamin D metabolites and their role in the regulation of epidermal functions. J. Steroid Biochem. Mol. Biol. 2014, 144, 28–39. [Google Scholar] [CrossRef]
- Kim, T.K.; Wang, J.; Janjetovic, Z.; Chen, J.; Tuckey, R.C.; Nguyen, M.N.; Tang, E.K.; Miller, D.; Li, W.; Slominski, A.T. Correlation between secosteroid-induced vitamin D receptor activity in melanoma cells and computer-modeled receptor binding strength. Mol. Cell. Endocrinol. 2012, 361, 143–152. [Google Scholar] [CrossRef]
- Zbytek, B.; Janjetovic, Z.; Tuckey, R.C.; Zmijewski, M.A.; Sweatman, T.W.; Jones, E.; Nguyen, M.N.; Slominski, A.T. 20-Hydroxyvitamin D3, a product of vitamin D3 hydroxylation by cytochrome P450scc, stimulates keratinocyte differentiation. J. Investig. Dermatol. 2008, 128, 2271–2280. [Google Scholar] [CrossRef] [PubMed]
- Janjetovic, Z.; Tuckey, R.C.; Nguyen, M.N.; Thorpe, E.M., Jr.; Slominski, A.T. 20,23-dihydroxyvitamin D3, novel P450scc product, stimulates differentiation and inhibits proliferation and NF-kappaB activity in human keratinocytes. J. Cell Physiol. 2010, 223, 36–48. [Google Scholar]
- Slominski, A.; Janjetovic, Z.; Tuckey, R.C.; Nguyen, M.N.; Bhattacharya, K.G.; Wang, J.; Li, W.; Jiao, Y.; Gu, W.; Brown, M.; et al. 20S-hydroxyvitamin D3, noncalcemic product of CYP11A1 action on vitamin D3, exhibits potent antifibrogenic activity in vivo. J. Clin. Endocrinol. Metab. 2013, 98, E298–E303. [Google Scholar] [CrossRef] [PubMed]
- Skobowiat, C.; Oak, A.S.; Kim, T.K.; Yang, C.H.; Pfeffer, L.M.; Tuckey, R.C.; Slominski, A.T. Noncalcemic 20-hydroxyvitamin D3 inhibits human melanoma growth in in vitro and in vivo models. Oncotarget 2017, 8, 9823–9834. [Google Scholar] [CrossRef] [PubMed]
- Kim, T.K.; Atigadda, V.; Brzeminski, P.; Fabisiak, A.; Tang, E.K.Y.; Tuckey, R.C.; Slominski, A.T. Detection of 7-Dehydrocholesterol and Vitamin D3 Derivatives in Honey. Molecules 2020, 25, 2583. [Google Scholar] [CrossRef]
- Tongkao-On, W.; Carter, S.; Reeve, V.E.; Dixon, K.M.; Gordon-Thomson, C.; Halliday, G.M.; Tuckey, R.C.; Mason, R.S. CYP11A1 in skin: An alternative route to photoprotection by vitamin D compounds. J. Steroid Biochem. Mol. Biol. 2015, 148, 72–78. [Google Scholar] [CrossRef] [PubMed]
- Slominski, A.T.; Janjetovic, Z.; Fuller, B.E.; Zmijewski, M.A.; Tuckey, R.C.; Nguyen, M.N.; Sweatman, T.; Li, W.; Zjawiony, J.; Miller, D.; et al. Products of vitamin D3 or 7-dehydrocholesterol metabolism by cytochrome P450scc show anti-leukemia effects, having low or absent calcemic activity. PLoS ONE 2010, 5, e9907. [Google Scholar] [CrossRef]
- Chen, J.; Wang, J.; Kim, T.K.; Tieu, E.W.; Tang, E.K.; Lin, Z.; Kovacic, D.; Miller, D.D.; Postlethwaite, A.; Tuckey, R.C.; et al. Novel vitamin D analogs as potential therapeutics: Metabolism, toxicity profiling, and antiproliferative activity. Anticancer. Res. 2014, 34, 2153–2163. [Google Scholar]
- Slominski, A.T.; Kim, T.K.; Janjetovic, Z.; Tuckey, R.C.; Bieniek, R.; Yue, J.; Li, W.; Chen, J.; Nguyen, M.N.; Tang, E.K.; et al. 20-Hydroxyvitamin D2 is a noncalcemic analog of vitamin D with potent antiproliferative and prodifferentiation activities in normal and malignant cells. Am. J. Physiol. Cell Physiol. 2011, 300, C526–C541. [Google Scholar] [CrossRef] [PubMed]
- Wang, J.; Slominski, A.; Tuckey, R.C.; Janjetovic, Z.; Kulkarni, A.; Chen, J.; Postlethwaite, A.E.; Miller, D.; Li, W. 20-hydroxyvitamin D(3) inhibits proliferation of cancer cells with high efficacy while being non-toxic. Anticancer Res. 2012, 32, 739–746. [Google Scholar] [PubMed]
- Jenkinson, C.; Desai, R.; Slominski, A.T.; Tuckey, R.C.; Hewison, M.; Handelsman, D.J. Simultaneous measurement of 13 circulating vitamin D3 and D2 mono and dihydroxy metabolites using liquid chromatography mass spectrometry. Clin. Chem. Lab. Med. 2021, 59, 1642–1652. [Google Scholar] [CrossRef]
- Kongsbak, M.; Levring, T.B.; Geisler, C.; von Essen, M.R. The vitamin D receptor and T cell function. Front. Immunol. 2013, 4, 148. [Google Scholar] [CrossRef] [PubMed]
- Bikle, D.D. Vitamin D: Newer Concepts of Its Metabolism and Function at the Basic and Clinical Level. J. Endocr. Soc. 2020, 4, bvz038. [Google Scholar] [CrossRef] [PubMed]
- Patel, S.; Farragher, T.; Berry, J.; Bunn, D.; Silman, A.; Symmons, D. Association between serum vitamin D metabolite levels and disease activity in patients with early inflammatory polyarthritis. Arthritis Rheum. 2007, 56, 2143–2149. [Google Scholar] [CrossRef]
- Andjelkovic, Z.; Vojinovic, J.; Pejnovic, N.; Popovic, M.; Dujic, A.; Mitrovic, D.; Pavlica, L.; Stefanovic, D. Disease modifying and immunomodulatory effects of high dose 1 alpha (OH) D3 in rheumatoid arthritis patients. Clin. Exp. Rheumatol. 1999, 17, 453–456. [Google Scholar] [PubMed]
- Salesi, M.; Farajzadegan, Z. Efficacy of vitamin D in patients with active rheumatoid arthritis receiving methotrexate therapy. Rheumatol. Int. 2012, 32, 2129–2133. [Google Scholar] [CrossRef] [PubMed]
- Varenna, M.; Manara, M.; Cantatore, F.P.; Del Puente, A.; Di Munno, O.; Malavolta, N.; Minisola, G.; Adami, S.; Sinigaglia, L.; Rossini, M. Determinants and effects of vitamin D supplementation on serum 25-hydroxy-vitamin D levels in patients with rheumatoid arthritis. Clin. Exp. Rheumatol. 2012, 30, 714–719. [Google Scholar] [PubMed]
- Dehghan, A.; Rahimpour, S.; Soleymani-Salehabadi, H.; Owlia, M.B. Role of vitamin D in flare ups of rheumatoid arthritis. Z. Rheumatol. 2014, 73, 461–464. [Google Scholar] [CrossRef] [PubMed]
- Postlethwaite, A.E.; Tuckey, R.C.; Kim, T.K.; Li, W.; Bhattacharya, S.K.; Myers, L.K.; Brand, D.D.; Slominski, A.T. 20S-Hydroxyvitamin D3, a Secosteroid Produced in Humans, Is Anti-Inflammatory and Inhibits Murine Autoimmune Arthritis. Front. Immunol. 2021, 12, 678487. [Google Scholar] [CrossRef] [PubMed]
- Aranow, C. Vitamin D and the immune system. J. Investig. Med. 2011, 59, 881–886. [Google Scholar] [CrossRef]
- Janjetovic, Z.; Zmijewski, M.A.; Tuckey, R.C.; DeLeon, D.A.; Nguyen, M.N.; Pfeffer, L.M.; Slominski, A.T. 20-Hydroxycholecalciferol, product of vitamin D3 hydroxylation by P450scc, decreases NF-kappaB activity by increasing IkappaB alpha levels in human keratinocytes. PLoS ONE 2009, 4, e5988. [Google Scholar] [CrossRef]
- Sheikh, V.; Kasapoglu, P.; Zamani, A.; Basiri, Z.; Tahamoli-Roudsari, A.; Alahgholi-Hajibehzad, M. Vitamin D3 inhibits the proliferation of T helper cells, downregulate CD4(+) T cell cytokines and upregulate inhibitory markers. Human Immunol. 2018, 79, 439–445. [Google Scholar] [CrossRef]
- Verbrugge, A.; de Ruiter, T.; Geest, C.; Coffer, P.J.; Meyaard, L. Differential expression of leukocyte-associated Ig-like receptor-1 during neutrophil differentiation and activation. J. Leukoc. Biol. 2006, 79, 828–836. [Google Scholar] [CrossRef]
- Plum, L.A.; DeLuca, H.F. Vitamin D, disease and therapeutic opportunities. Nat. Rev. Drug Discov. 2010, 9, 941–955. [Google Scholar] [CrossRef]
- Wolpowitz, D.; Gilchrest, B.A. The vitamin D questions: How much do you need and how should you get it? J. Am. Acad Dermatol. 2006, 54, 301–317. [Google Scholar] [CrossRef] [PubMed]
- Abrams, S.A. Bone Health in School Age Children: Effects of Nutritional Intake on Outcomes. Front. Nutr. 2021, 8, 773425. [Google Scholar] [CrossRef] [PubMed]
- Cantorna, M.T.; Hayes, C.E.; DeLuca, H.F. 1,25-Dihydroxycholecalciferol inhibits the progression of arthritis in murine models of human arthritis. J. Nutr. 1998, 128, 68–72. [Google Scholar] [CrossRef] [PubMed]
- Soubrier, M.; Lambert, C.; Combe, B.; Gaudin, P.; Thomas, T.; Sibilia, J.; Dougados, M.; Dubost, J.J. A randomised, double-blind, placebo-controlled study assessing the efficacy of high doses of vitamin D on functional disability in patients with rheumatoid arthritis. Clin. Exp. Rheumatol. 2018, 36, 1056–1060. [Google Scholar]
- Chandrashekara, S.; Patted, A. Role of vitamin D supplementation in improving disease activity in rheumatoid arthritis: An exploratory study. Int. J. Rheum. Dis. 2017, 20, 825–831. [Google Scholar] [CrossRef]
- Sukharani, N.; Dev, K.; Rahul, F.; Bai, P.; Ali, A.; Avinash, F.; Kammawal, Y.; Kumar, N.; Rizwan, A. Association Between Rheumatoid Arthritis and Serum Vitamin D Levels. Cureus 2021, 13, e18255. [Google Scholar] [CrossRef]
- Slominski, A.T.; Kim, T.K.; Takeda, Y.; Janjetovic, Z.; Brozyna, A.A.; Skobowiat, C.; Wang, J.; Postlethwaite, A.; Li, W.; Tuckey, R.C.; et al. RORalpha and ROR gamma are expressed in human skin and serve as receptors for endogenously produced noncalcemic 20-hydroxy- and 20,23-dihydroxyvitamin D. FASEB J. 2014, 28, 2775–2789. [Google Scholar] [CrossRef]
- Slominski, A.T.; Kim, T.K.; Hobrath, J.V.; Oak, A.S.W.; Tang, E.K.Y.; Tieu, E.W.; Li, W.; Tuckey, R.C.; Jetten, A.M. Endogenously produced nonclassical vitamin D hydroxy-metabolites act as "biased" agonists on VDR and inverse agonists on RORalpha and RORgamma. J. Steroid Biochem. Mol. Biol. 2017, 173, 42–56. [Google Scholar] [CrossRef]
- Provvedini, D.M.; Manolagas, S.C. 1 Alpha,25-dihydroxyvitamin D3 receptor distribution and effects in subpopulations of normal human T lymphocytes. J. Clin. Endocrinol. Metab. 1989, 68, 774–779. [Google Scholar] [CrossRef]
- Froicu, M.; Weaver, V.; Wynn, T.A.; McDowell, M.A.; Welsh, J.E.; Cantorna, M.T. A crucial role for the vitamin D receptor in experimental inflammatory bowel diseases. Mol. Endocrinol. 2003, 17, 2386–2392. [Google Scholar] [CrossRef]
- Daniel, C.; Sartory, N.A.; Zahn, N.; Radeke, H.H.; Stein, J.M. Immune modulatory treatment of trinitrobenzene sulfonic acid colitis with calcitriol is associated with a change of a T helper (Th) 1/Th17 to a Th2 and regulatory T cell profile. J. Pharmacol. Exp. Ther. 2008, 324, 23–33. [Google Scholar] [CrossRef]
- Palmer, M.T.; Lee, Y.K.; Maynard, C.L.; Oliver, J.R.; Bikle, D.D.; Jetten, A.M.; Weaver, C.T. Lineage-specific effects of 1,25-dihydroxyvitamin D(3) on the development of effector CD4 T cells. J. Biol. Chem. 2011, 286, 997–1004. [Google Scholar] [CrossRef] [PubMed]
- Mittelstadt, P.R.; Yamaguchi, H.; Appella, E.; Ashwell, J.D. T cell receptor-mediated activation of p38{alpha} by mono-phosphorylation of the activation loop results in altered substrate specificity. J. Biol. Chem. 2009, 284, 15469–15474. [Google Scholar] [CrossRef]
- Jeffery, L.E.; Burke, F.; Mura, M.; Zheng, Y.; Qureshi, O.S.; Hewison, M.; Walker, L.S.; Lammas, D.A.; Raza, K.; Sansom, D.M. 1,25-Dihydroxyvitamin D3 and IL-2 combine to inhibit T cell production of inflammatory cytokines and promote development of regulatory T cells expressing CTLA-4 and FoxP3. J. Immunol. 2009, 183, 5458–5467. [Google Scholar] [CrossRef]
- Thorsen, S.U.; Collier, F.; Pezic, A.; O’Hely, M.; Clarke, M.; Tang, M.L.K.; Burgner, D.; Vuillermin, P.; Ponsonby, A.L.; Barwon Infant Study Investigator, G. Maternal and Cord Blood 25-Hydroxyvitamin D3 Are Associated with Increased Cord Blood and Naive and Activated Regulatory T Cells: The Barwon Infant Study. J. Immunol. 2021, 206, 874–882. [Google Scholar] [CrossRef]
- Barrat, F.J.; Cua, D.J.; Boonstra, A.; Richards, D.F.; Crain, C.; Savelkoul, H.F.; de Waal-Malefyt, R.; Coffman, R.L.; Hawrylowicz, C.M.; O’Garra, A. In vitro generation of interleukin 10-producing regulatory CD4(+) T cells is induced by immunosuppressive drugs and inhibited by T helper type 1 (Th1)- and Th2-inducing cytokines. J. Exp. Med. 2002, 195, 603–616. [Google Scholar] [CrossRef] [PubMed]
- Abou-Alfa, G.K.; Qin, S.; Ryoo, B.Y.; Lu, S.N.; Yen, C.J.; Feng, Y.H.; Lim, H.Y.; Izzo, F.; Colombo, M.; Sarker, D.; et al. Phase III randomized study of second line ADI-PEG 20 plus best supportive care versus placebo plus best supportive care in patients with advanced hepatocellular carcinoma. Ann. Oncol. 2018, 29, 1402–1408. [Google Scholar] [CrossRef] [PubMed]
- Ao, T.; Kikuta, J.; Ishii, M. The Effects of Vitamin D on Immune System and Inflammatory Diseases. Biomolecules 2021, 11, 1624. [Google Scholar] [CrossRef]
- Kim, S.; Easterling, E.R.; Price, L.C.; Smith, S.L.; Coligan, J.E.; Park, J.E.; Brand, D.D.; Rosloniec, E.F.; Stuart, J.M.; Kang, A.H.; et al. The Role of Leukocyte-Associated Ig-.-like Receptor-1 in Suppressing Collagen-Induced Arthritis. J. Immunol. 2017, 199, 2692–2700. [Google Scholar] [CrossRef] [PubMed]
- Guo, N.; Zhang, K.; Gao, X.; Lv, M.; Luan, J.; Hu, Z.; Li, A.; Gou, X. Role and mechanism of LAIR-1 in the development of autoimmune diseases, tumors, and malaria: A review. Curr. Res. Transl. Med. 2020, 68, 119–124. [Google Scholar] [CrossRef] [PubMed]
- Jin, J.; Wang, Y.; Ma, Q.; Wang, N.; Guo, W.; Jin, B.; Fang, L.; Chen, L. LAIR-1 activation inhibits inflammatory macrophage phenotype in vitro. Cell. Immunol. 2018, 331, 78–84. [Google Scholar] [CrossRef] [PubMed]
- Zhang, Y.; Li, J.; Rong, Q.; Xu, Z.; Ding, Y.; Cao, Q.; Ji, X.; Zhao, H.; Wu, Y.; Li, B. The regulatory role of C1q on Helicobacter pylori-induced inflammatory cytokines secretion in THP-1cells. Microb. Pathog. 2019, 131, 234–238. [Google Scholar] [CrossRef] [PubMed]
- Meyaard, L. The inhibitory collagen receptor LAIR-1 (CD305). J. Leukoc. Biol. 2008, 83, 799–803. [Google Scholar] [CrossRef] [PubMed]
- Rosloniec, E.F.; Brand, D.D.; Myers, L.K.; Whittington, K.B.; Gumanovskaya, M.; Zaller, D.M.; Woods, A.; Altmann, D.M.; Stuart, J.M.; Kang, A.H. An HLA-DR1 transgene confers susceptibility to collagen-induced arthritis elicited with human type II collagen. J. Exp. Med. 1997, 185, 1113–1122. [Google Scholar] [CrossRef] [PubMed]
- Myers, L.K.; Rosloniec, E.F.; Cremer, M.A.; Kang, A.H. Collagen-induced arthritis, an animal model of autoimmunity. Life Sci. 1997, 61, 1861–1878. [Google Scholar] [CrossRef]
- Tang, B.; Kim, S.; Hammond, S.; Cullins, D.L.; Brand, D.D.; Rosloniec, E.F.; Stuart, J.M.; Postlethwaite, A.E.; Kang, A.H.; Myers, L.K. Characterization of T cell phenotype and function in a double transgenic (collagen-specific TCR/HLA-DR1) humanized model of arthritis. Arthritis Res. Ther. 2014, 16, R7. [Google Scholar] [CrossRef] [PubMed]
- Tang, X.; Tian, L.; Esteso, G.; Choi, S.C.; Barrow, A.D.; Colonna, M.; Borrego, F.; Coligan, J.E. Leukocyte-associated Ig-like receptor-1-deficient mice have an altered immune cell phenotype. J. Immunol. 2012, 188, 548–558. [Google Scholar] [CrossRef]
- Rosloniec, E.F.; Cremer, M.; Kang, A.H.; Myers, L.K.; Brand, D.D. Collagen-induced arthritis. Curr. Protoc. Immunol. 2010, 89. [Google Scholar] [CrossRef]
- Tuckey, R.C.; Nguyen, M.N.; Slominski, A. Kinetics of vitamin D3 metabolism by cytochrome P450scc (CYP11A1) in phospholipid vesicles and cyclodextrin. Int. J. Biochem. Cell Biol. 2008, 40, 2619–2626. [Google Scholar] [CrossRef]
- Li, W.; Chen, J.; Janjetovic, Z.; Kim, T.K.; Sweatman, T.; Lu, Y.; Zjawiony, J.; Tuckey, R.C.; Miller, D.; Slominski, A. Chemical synthesis of 20S-hydroxyvitamin D3, which shows antiproliferative activity. Steroids 2010, 75, 926–935. [Google Scholar] [CrossRef]
- Wang, Q.; Lin, Z.; Kim, T.K.; Slominski, A.T.; Miller, D.D.; Li, W. Total synthesis of biologically active 20S-hydroxyvitamin D3. Steroids 2015, 104, 153–162. [Google Scholar] [CrossRef] [PubMed][Green Version]
- Tuckey, R.C.; Li, W.; Shehabi, H.Z.; Janjetovic, Z.; Nguyen, M.N.; Kim, T.K.; Chen, J.; Howell, D.E.; Benson, H.A.; Sweatman, T.; et al. Production of 22-hydroxy metabolites of vitamin d3 by cytochrome p450scc (CYP11A1) and analysis of their biological activities on skin cells. Drug Metab. Dispos. 2011, 39, 1577–1588. [Google Scholar] [CrossRef] [PubMed]
- Tuckey, R.C.; McKinley, A.J.; Headlam, M.J. Oxidized adrenodoxin acts as a competitive inhibitor of cytochrome P450scc in mitochondria from the human placenta. Eur. J. Biochem. 2001, 268, 2338–2343. [Google Scholar] [CrossRef] [PubMed]
Publisher’s Note: MDPI stays neutral with regard to jurisdictional claims in published maps and institutional affiliations. |
© 2021 by the authors. Licensee MDPI, Basel, Switzerland. This article is an open access article distributed under the terms and conditions of the Creative Commons Attribution (CC BY) license (https://creativecommons.org/licenses/by/4.0/).





