Next Article in Journal
Optimisation of Recombinant Myrosinase Production in Pichia pastoris
Next Article in Special Issue
Efficient In Vitro and In Vivo Anti-Inflammatory Activity of a Diamine-PEGylated Oleanolic Acid Derivative
Previous Article in Journal
Fenofibrate Regulates Visceral Obesity and Nonalcoholic Steatohepatitis in Obese Female Ovariectomized C57BL/6J Mice
Previous Article in Special Issue
Cytotoxic Potential of a-Azepano- and 3-Amino-3,4-SeCo-Triterpenoids
 
 
Font Type:
Arial Georgia Verdana
Font Size:
Aa Aa Aa
Line Spacing:
Column Width:
Background:
Review

Anticancer Potential of Betulonic Acid Derivatives

by
Adelina Lombrea
1,2,
Alexandra Denisa Scurtu
2,3,*,
Stefana Avram
1,2,
Ioana Zinuca Pavel
1,2,
Māris Turks
4,
Jevgeņija Lugiņina
4,
Uldis Peipiņš
5,
Cristina Adriana Dehelean
2,3,
Codruta Soica
2,6 and
Corina Danciu
1,2
1
Department of Pharmacognosy, “Victor Babes” University of Medicine and Pharmacy, Eftimie Murgu Square, No. 2, 300041 Timisoara, Romania
2
Research Centre for Pharmaco-Toxicological Evaluation, “Victor Babes” University of Medicine and Pharmacy, Eftimie Murgu Square, No. 2, 300041 Timisoara, Romania
3
Department of Toxicology, “Victor Babes” University of Medicine and Pharmacy, Eftimie Murgu Square, No. 2, 300041 Timisoara, Romania
4
Institute of Technology of Organic Chemistry, Faculty of Materials Science and Applied Chemistry, Riga Technical University, P. Valdena Str. 3, LV-1048 Riga, Latvia
5
Nature Science Technologies Ltd., Saules Str. 19, LV-3601 Ventspils, Latvia
6
Department of Pharmaceutical Chemistry, “Victor Babes” University of Medicine and Pharmacy, Eftimie Murgu Square, No. 2, 300041 Timisoara, Romania
*
Author to whom correspondence should be addressed.
Int. J. Mol. Sci. 2021, 22(7), 3676; https://doi.org/10.3390/ijms22073676
Submission received: 15 March 2021 / Revised: 29 March 2021 / Accepted: 29 March 2021 / Published: 1 April 2021

Abstract

Clinical trials have evidenced that several natural compounds, belonging to the phytochemical classes of alkaloids, terpenes, phenols and flavonoids, are effective for the management of various types of cancer. Latest research has proven that natural products and their semisynthetic variants may serve as a starting point for new drug candidates with a diversity of biological and pharmacological activities, designed to improve bioavailability, overcome cellular resistance, and enhance therapeutic efficacy. This review was designed to bring an update regarding the anticancer potential of betulonic acid and its semisynthetic derivatives. Chemical derivative structures of betulonic acid including amide, thiol, and piperidine groups, exert an amplification of the in vitro anticancer potential of betulonic acid. With the need for more mechanistic and in vivo data, some derivatives of betulonic acids may represent promising anticancer agents.

1. Introduction. Natural Compounds in the Management of Different Types of Cancer

The extensive research over the past decades has identified an increased number of natural compounds from various medicinal plants that elicit chemopreventive potential. These phytochemicals represent an important potential source of anticancer molecules as such or after various physico-chemical modulations, which can be successfully used in different therapeutic protocols [1,2]. The analysis of natural compounds has led to the design of novel therapeutics owing to their vast structural diversity, supported by the fact that plants are accessible resources. The main issues are the isolation and purification of bioactive derivatives [3].
Cancer is one of the largest causes of mortality in the world and due to its prevalence, the discovery of novel anticancer drugs has great importance. Plants, microorganisms, and marine organisms are considered valuable sources for the discovery of anticancer drugs [4,5].
Throughout history, natural products and their derivatives have proved to be useful for the development of chemotherapeutics, presenting a great structural diversity as well as molecular and pharmacological properties that favor such development [6].
Plants have a long history of use in the treatment of cancer. Numerous classes of natural compounds such as alkaloids, terpenes, phenols, and flavonoids have been shown to be effective in clinical trials [7]. Vinca alkaloids: vincristine, vinblastine, vindesine, and vinorelbine isolated from Vinca rosea L. (Apocynaceae), were the first agents to advance into clinical use. At low doses, they interrupt microtubular activity, whereas, at higher doses, they cause cell cycle arrest and apoptosis [8,9]. Vinca alkaloids have been licensed by the Food and Drug Administration (FDA) as a pharmaceutical treatment against different tumors (leukemia, Hodgkin’s lymphoma, lung cancer, breast cancer) [10]. Five vinca alkaloids are actually in clinical usage: vinblastine and vincristine were approved by the FDA in 1961 and 1963, respectively; the semi-synthetic derivatives vindesine and vinorelbine were approved by the FDA in 1994, and vinflunine, a synthetic derivative, was approved by EMA (European Medicines Agency) in 2012 for treatment of metastatic and advanced urothelial cancer [11,12]. Moreover, in 2019, World Health Organization included vincristine, vinblastine, and vinorelbine on the list of essential medicines for treating Hodgkin lymphoma, Kaposi sarcoma, testicular germ cell tumor, ovarian germ cell tumor, follicular lymphoma, retinoblastoma, rhabdomyosarcoma, Ewing sarcoma, acute lymphoblastic leukemia, non-small cell lung cancer, and metastatic breast cancer [13].
The alkaloid piperine, isolated from the fruits of Piper nigrum L. in combination with curcumin, is involved in an ongoing phase I clinical trial for the treatment of bladder cancer [14]. Also, camptothecin, a quinoline alkaloid isolated especially from the stem and bark of Camptotheca acuminata Decne, has completed phase III clinical trials for the treatment of pancreatic, ovarian, and colorectal cancers [15]. Currently, irinotecan and topotecan are the two FDA-licensed semi-synthetic camptothecin derivatives and are clinically active and less harmful than the parent compound. Irinotecan is used for advanced cancers of the large intestine and rectum. Topotecan is approved for the treatment of recurrent ovarian cancer, small cell lung cancer, and cancer of the cervix [16].
Terpenes are another class of natural compounds introduced in clinical trials. Ursolic acid, a pentacyclic triterpenoid widely found in different species of plants, has completed phase II clinical trials for the treatment of solid tumors [17]. Paclitaxel, a diterpenoid, isolated from the bark of Taxus brevifolia Nutt and its derivatives such as nanopaclitaxel and docetaxel have completed phases I, II, III, and IV of clinical trials for the treatment of breast, ovarian, and endometrial cancers [18,19]. The FDA approved paclitaxel for the treatment of refractory ovarian cancer in 1992, refractory breast cancer in 1994, Kaposi’s sarcoma in 1997, and non-small cell lung cancer in 1998. Docetaxel, a semi-synthetic derivative of paclitaxel, showed greater effectiveness than paclitaxel in certain instances. The FDA authorized docetaxel for the treatment of advanced breast cancer in 1996, non-small pulmonary cancer in 1999, metastatic hormone-refractory prostate cancer in 2004, and head and neck cancer in 2006 [20]. Several of the paclitaxel analogs, such as larotaxel, milataxel, ortataxel, and tesetaxel, are currently under investigation in clinical trials [16].
Lycopene, a carotenoid type terpene, majorly found in red fruits and vegetables, has completed phase II clinical trial for the treatment of hormone-resistant prostate cancer in combination with docetaxel [21,22]. Currently, lycopene is in phase II regarding its effectiveness to reduce skin toxicity in patients with colorectal carcinoma treated with panitumumab [23].
Among phenolic compounds, one of the largest classes of plant secondary metabolites, curcumin, isolated from Curcuma plant species, has completed phase I clinical trials for treating metastatic breast cancer in co-therapy with docetaxel [24]. Moreover, curcumin along with paclitaxel has demonstrated efficacy and safety in phase II clinical trials in patients with advanced, metastatic breast cancer [25]. Currently, this phenolic compound is involved in phase III clinical trials regarding its potential to reduce cancer progression in patients with low-risk prostate cancer under active surveillance [26]. Chlorogenic acid has passed phase I clinical study for treating malignant gliomas. The findings revealed that monotherapy of chlorogenic acid in patients with advanced malignancies was effective and well-tolerated for long-term use. Interestingly, for subjects treated with chlorogenic acid, the median overall survival with grade IV gliomas was 21.4 months, while the globally recognized median overall survival was just 3–4.6 months for subjects at this point [27].
Flavonoids are secondary metabolites commonly found in plants [28]. Flavonoids are usually found in citrus fruits, berries, legumes, green tea, as well as in red wine [29]. Genistein along with cholecalciferol has completed phase II clinical trials treating patients with early-stage prostate cancer [30]. Quercetin is classified as a flavonol and is currently involved in an ongoing phase I trial, which is evaluating its impact on green tea polyphenol absorption in the prostate tissue from patients with prostate cancer [31,32]. Moreover, quercetin is also involved in an ongoing phase II clinical trial regarding its chemopreventive activity in the development of squamous cell carcinoma in patients with Fanconi anemia [33].
Although there are many studies on betulin and betulinic acid [34,35], this review focuses on betulonic acid and, more specifically, on its derivatives, which have also shown important therapeutic effects, thus suggesting their further thorough research.

2. An Overview of the Biologic Activity of Pentacyclic Triterpenes

To date, more than 20,000 triterpenes have been isolated [36]. Triterpenoids are originally synthesized by plants as metabolites and are abundantly present in most medicinal plants in the form of free acids or aglycones. Triterpenes are a diverse group of natural compounds, classified into two main groups: tetracyclic and pentacyclic triterpenes. The class of tetracyclic triterpenes includes compounds such as: euphol, oleandrin, and cucurbitacin. The class of pentacyclic triterpenoids (PT) is richer in structures representative for their biological activity, lupane, oleane, and ursane scaffolds being the main groups of this class. Important phytocompounds due to their biological activity and belonging to the category of pentacyclic triterpenoids are: lupeol, betulin, betulinic acid, betulonic acid (lupane structure), oleanolic acid, maslinic acid (oleanane structure), ursolic acid, and uvaol (ursane structure) (Figure 1), nevertheless other such categories including hopane, serratane, friedelane, and taraxane can also be referred [37,38,39].
Secondary plant metabolites such as PT are generated through the cyclization of squalene [40]. Lupeol, oleanane, and ursane structures were found in a variety of plant parts such as bark, cork, leaf, or fruit cuticular wax [41]. Moreover, pentacyclic triterpenes have been detected in edibles such as mango, apple peel, strawberries, pear peel, green pepper, guava, mulberry, or olives, but also in herbal plants such as rosemary, oregano, basil, and lavender. The individual natural human consumption of triterpenes is reported to be approximately 250 mg per day in the Western world and 400 mg per day in Mediterranean countries [42]. However, small quantities, estimated to be under 0.1% of the dry weight of the plant organ, are found in plants. Even so, few plants are considered to have elevated amounts of pentacyclic triterpenes, above 1% of the dry weight of the plant. The highest pentacyclic terpene content has been noticed in the outer bark of the white birch tree (up to 34% [w/w] in betulin) [40]. Furthermore, the leaves from Rosmarinus officinalis L., Olea europaea L., Coffea arabica L., the sapling from Viscum album L., the bark from Platanus L., and the fruit peels from Malus domestica Mill. produce more than 1% (w/w) pentacyclic triterpenes. Due to this property, these plants are useful for obtaining triterpene dry extracts which contain 50–90% (w/w) triterpenes [43].
Natural PT have a broad range of biological activities. Intense pharmacological researches have been conducted on natural PT in order to exploit their medicinal value and mechanism of action. In general, the bioactivities of these phytocompounds have been shown to include antitumor [40,44,45], antiviral [46], antidiabetic [47], anti-inflammatory [48], antimicrobial [49], antiparasitic [39], cardio-protective [50], hepato-protective [51], wound healing properties [52], and others. For example, oleanolic acid, glycyrrhizin, glycyrrhetinic acid, ursolic acid, betulin, betulinic acid, and lupeol increase the absorption of glucose, enhance insulin secretion, boost glucose uptake in peripheral organs, and contribute to the treatment of diabetes and its vascular complications [53]. Zhang et al. tested the inhibitory activity of oleanane-, ursane- and lupane-type triterpenes against α-amylase and yeast α-glucosidase. Results have shown that, in comparison to the IC50 value of acarbose (5.3 µM), ursolic acid exerted the highest inhibition of α-amylase, with an IC50 value of 22.6 μM, followed by corosolic acid and oleanolic acid with IC50 values of 31.2 µM and 94.1 µM, respectively. Regarding the α-glucosidase inhibition, ursolic acid, betulinic acid, and corosolic acid displayed a stronger inhibitory activity than acarbose (IC50 = 2479 µM) with IC50 levels of 12.1 µM, 14.9 µM, and 17.2 µM, respectively. It appears that the variety of structural skeletons of pentacyclic triterpenes had a substantial effect on the inhibition of α-amylase activity. The fact that ursolic acid displayed stronger α-amylase inhibition than oleanolic acid may be attributted to the shift of the C-29 methyl group from C-20 to C-19. The study found that betulinic acid inhibited α-glucosidase with comparable effectiveness to ursolic acid, indicating that the disparity between ursane and lupane had no major effect on the enzyme inhibition [54]. Numerous experiments have shown that different PT have antidiabetic properties in healthy or diabetic animal models. Phanoside (a dammarane-type structure) at a dosage of up to 500 μM exerted significant effects on insulin secretion in rat pancreatic cells. In INS-1 832/13 pancreatic β-cells, oleanolic acid (50 μM) improved insulin secretion. Moreover, in isolated rat islets, oleanolic acid (30 μM) also improved insulin secretion, which was stimulated by high glucose levels [55,56]. The plasma insulin levels of Wistar rats were improved by ginsenoside Rh2 (1.0 mg/kg) and oleanolic acid (5, 10 and 20 mg/kg) by freeing acetylcholine (ACh) from nerve terminals and then activating M3 muscarinic receptors in pancreatic cells [57,58].
Furthermore, PT showed anti-inflammatory, antioxidant, anti-adiposity, and cardioprotective properties in high-carbohydrate high-fat diet-induced metabolic syndrome [59,60]. In addition, the weight-reducing effects of PT are due to the downregulation of pro-inflammatory cytokines, insulin resistance, oxidative stress, and total fatty acids, all of these contributing to a more efficient glycemic regulation [61]. In the study performed by Tang et al., they have demonstrated that betulin at 3 µg/mL incubated for 6 h suppressed the maturation of sterol regulatory element-binding proteins (SREBP) and reduced cholesterol and fatty acid biosynthesis in rat hepatocytes CRL-1601. At a dosage of 30 mg/kg/day for 6 weeks, betulin has lowered serum and tissue lipid levels, helped improve glucose tolerance, and tended to increase insulin sensitivity in C57BL/6J mice fed with Western-style diet. In addition, the application of betulin to the LDLR-knockout mice model of atherosclerosis disease has revealed its ability to decrease the size of the atherosclerotic plaques [62]. As well as betulin, betulinic acid (50 mg/kg for 15 weeks) lowered body weight, blood glucose, abdominal fat, plasma triglycerides, and total cholesterol levels in Swiss mice fed with a high-fat diet. Interestingly, betulinic acid treatment further decreased the circulating level of the orexigenic hormone ghrelin and increased the anorexigenic hormone leptin. The results showed that betulinic acid could represent a candidate to cure obesity through changes in fat and carbohydrate metabolisms [63].
Several in vitro and in vivo studies have shown that natural triterpenes such as lupeol, betulin, ursolic acid, and oleanolic acid are successful in reducing hepatotoxicity caused by carbon tetrachloride, acetaminophen, ethanol, and cadmium [64,65,66]. In vitro, betulinic acid has been shown to be a powerful antioxidant agent, which can suppress ethanol-induced activation of hepatic stellate cells mostly by the repression of reactive oxygen species (ROS) and tumor necrosis factor-α (TNF-α) [67]. In the in vivo experiments performed by Yi et al., the authors have highlighted the hepatoprotective effects of betulinic acid, when given orally (0.25, 0.5, and 1.0 mg/kg daily for 14 days) to Kunming mice with induced alcoholic liver disease. Betulinic acid increased hepatic glutathione, superoxide dismutase, glutathione peroxidase, and catalase levels, as well as the levels of malondialdehyde, thereby decreasing the liver’s microvesicular steatosis. In addition, the results of the study indicated that betulinic acid-treated mice showed reduced serum levels of triglycerides and total cholesterol, which was attributed to enhanced β-oxidation in the liver and energy consumption. Betulinic acid also reduced the accumulation of visceral adipose tissue in alcohol-treated mice. In particular, this may help prevent secondary complications emerging from elevated levels of hepatic lipids [68].
PT derived from natural products exhibit a wide variety of medicinal properties such as anti-oxidant [69], anti-tumor [70], anti-microbial [71], and anti-inflammatory [72]. It is assumed that the pathways involved in these bioactivities are caused by the regulation of the immune system. The immunomodulatory efficacy of botanical pentacyclic triterpenes extracted from a broad variety of medicinal plant species, based on different in vitro and in vivo experimental models, has been illustrated in several reports [73,74]. In the experiment conducted by Saaby et al., the immunomodulatory effects of various PT obtained from Rosa canina L. have been evaluated in vitro, on lipopolysaccharide (LPS)-activated Mono Mac 6 cells (an in vitro model for human macrophages). The findings showed that oleanolic, betulinic, and ursolic acid mixtures (30:49:21 w/w) inhibit the release of LPS-induced IL-6 in a stronger manner than individual compounds, with an IC50 value of 21 μmol/L [75]. In the study conducted by Ayatollahi et al., the authors investigated the impact of three phytocompounds (betulinic acid, oleanolic acid and ursolic acid), extracted from Euphorbia microsciadia Boiss, on T-cell proliferation. The T-lymphocytes were isolated from healthy volunteers and analysed using a liquid scintillation counter. Studies have shown that oleanolic acid induces T cell proliferation even at the concentration of 0.5 μg/mL. These findings indicated that oleanolic acid has an important immunostimulating action at very low concentration. Betulinic acid and ursolic acid, on the other hand, were able to suppress the proliferation of T cells with IC50 values above 50 μg/mL and 3 μg/mL, respectively [76]. Marquez-Martin et al. observed that, at concentrations of 10, 25, 50, and 100 μmol/L, some PT extracted from ‘orujo’ olive oil such as oleanolic acid and erythrodiol dose-dependently decreased the secretion of IL-1β and IL-6 isolated from peripheral mononuclear blood cells (PBMCs) of healthy volunteers. Erythrodiol exhibited the most potent inhibitory effect (p < 0.05) on the development of IL-1β and IL-6 PBMCs at all doses. At the maximum tested doses (50–100 μM), oleanolic acid substantially (p < 0.05) down-regulated IL-1β and IL-6 release [77].
The molecular mechanisms behind the different biological activities of PT, ranging from inhibition of acute and chronic inflammation, inhibition of tumor cell proliferation, activation of apoptosis, and suppression of angiogenesis and metastasis, have been identified in various research studies [40,78]. PT modulate a wide range of molecular targets (cytokines; chemokines; reactive oxygen intermediates; oncogenes; inflammatory enzymes; anti-apoptotic proteins; and transcription factors such as NF-jB, STAT3, AP-1, and CREB), which mediate tumor cell proliferation, transformation, invasion, angiogenesis, metastasis, chemoresistance, and radioresistance [78]. Previous studies have demonstrated that PT, in particular betulin, betulinic acid, lupeol, and ursolic acid, have caused apoptosis in various forms of cancer cells by stimulation of the mitochondrial pathway (intrinsic pathway) rather than the death receptor pathway (extrinsic way) [79,80].
Betulinic acid is highly promising due to its low toxicity in healthy cells and strong anti-proliferative effects against human melanoma cells (IC50 = 1.5–1.6 μg/mL) [81,82]; neuroblastoma (IC50 = 14–17 µg/mL); medulloblastoma (IC50 = 3–13.5 µg/mL); Ewing’s sarcoma; leukemia; brain-tumors; glioblastoma (IC50 = 2–17 μg/mL);colon carcinoma; ovarian cancer (IC50 = 1.8–4.5 μg/mL); lung cancer (IC50 = 1.5–4.2 μg/mL); breast, prostate, head and neck squamous cell carcinoma and hepatocellular; and renal and cervical cancers (IC50 = 1.8 μg/mL) [34]. In addition, cell death via the endoplasmic reticulum pathway and ROS-mediated mitochondrial pathway was observed in cervix adenocarcinoma cells (HeLa) treated with betulinic acid [83,84,85]. In nude mice xenografts bearing estrogen receptor-negative MDA-MB-231 cells, betulinic acid has prevented tumor growth by decreasing tumor size and reducing the expression of mRNA of Sp transcription factors, which control the expression of genes responsible for cancer growth (SP1, SP3, SP4, VEGFR, and miRNA-27) [86]. In another research study, betulinic acid along with vincristine was able to inhibit lung metastases in an experimental model including B16F10 murine melanoma cells injected in C57BL/6 mice strain [87].
Betulonic acid extracted from Toona sinensis (A Juss.) M.Roem and Belamcanda chinensis L. at 20 μmol/L has shown substantial antitumor activity against various types of cancer cells: human gastric cancer cell line MGC-803 (Inhibitory rate = 56% for Toona sinensis (A Juss.) and 68% for Belamcanda chinensis L.), prostatic cancer cell line PC3 (Inhibitory rate = 63% for Toona sinensis Juss and 52% for Belamcanda chinensis L.), and breast cancer cell line MCF-7 (Inhibitory rate = 51% for Toona sinensis Juss and 56% for Belamcanda chinensis L.) [83,88]. This antitumor activity includes the potential of betulonic acid to cause apoptosis through the mitochondrial signalling cascade, which involves the expression of caspases 3 and 9 and proteins p53 and Bax [83].

3. Betulonic Acid and Its Derivatives. An Overview of In Vitro and In Vivo Active Compounds

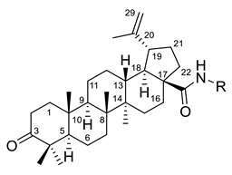
Betulin (lup-20(29)-ene-3β,28-diol) and betulonic acid (lup-20(29)-en-3-oxo-28-oic) (Figure 2) are the most important pentacyclic lupane-structure triterpenoids of natural origin. These compounds are found in a broad range of medicinal plants, but they are often extracted from birch bark through sublimation or extraction with organic solvents including ethanol, acetone, and chloroform [37,89]. Betulonic acid has a keto group at C-3 and a carboxyl group at C-28, with a terminal double bond at C-29; the only structural difference compared to betulinic acid lies at the C-3 position where betulonic acid bears a ketone instead of a β-configured hydroxyl [83].
Betulaceae family is the richest source of betulin, with the most important representatives being Betula alba L., Betula pendula Roth, Betula pubescens Ehrh. and Betula platyphylla Suk. [90]. Betulin has also been found in various species of the genera Syzygium (Myrtaceae) [91], Doliocarpus (Dilleniaceae) [92], Paeonia (Paeoniaceae) [93], and Ziziphus (Rhamnaceae) [94], being extracted from bark, leaves, roots, twigs, and fruits. Betulonic acid was traditionally isolated from the fruit of Liquidambar formosana Hance trees with an abundance of 13.4% [95].
The content of betulonic acid in plants is generally low, so it is frequently obtained by a semisynthetic process, which consists in the oxidation of betulin (Figure 2), the main constituent (22–30%) found in the outer part of birch bark [80].
Betulonic acid and its derivatives have been found to possess several medicinal properties, such as anti-viral [96,97,98], antimicrobial [99,100], anti-Human cytomegalovirus (HCMV) [3], anti-inflammatory [101,102,103] antioxidant [104], hepatoprotective [103,105], immunostimulant [106], and anticancer effects [107,108]. Modern research has proved that natural products and their semisynthetic variants may serve as the starting point of new drug candidates with a diversity of biological and pharmacological activities. From 1981–2014, natural products accounted for 25% of all newly licensed medicines [109,110]. Betulonic acid is an example of a natural compound that was found to be a promising candidate as an antitumor agent since it can inhibit the growth of different types of tumor cell lines [83]. Betulonic acid is soluble in organic solvents, but its solubility in water is weak. Chemical modifications are used to obtain derivatives with higher bioavailability and special selectivity to cellular targets [111]. Several derivatives were synthesized and examined against different cancer cell lines for antitumor activity (Table 1).
The group conducted by Shintyapina et al. examined the inhibitory action of selected amides of betulonic acid on the growth and potential apoptosis induction of MT-4, MOLT-4, CEM (lymphoblastic leukemia), and Hep G2 (liver cancer) tumor cell lines. Betulonic acid amides (compounds I (A–D)) inhibited cell growth at low concentrations (50% inhibition [ID50] = 4.2–32.0 µg/mL), as shown in Table 2. The length of the methylene moiety (CH2)n in the amide residue did not affect the inhibitory activity, however, the introduction of the second amide residue increased the inhibition of the tumor cell growth (I (D)). The apoptosis-inducing activity of betulonic acid amides was higher than that of betulonic acid for MT-4 and MOLT-4 cell lines. Thus, the introduction of amide function at the position C28 of PT led to the formation of effective inducers of apoptosis [112].
Yang et al. have pointed towards the in vitro antiproliferative ability of betulonic acid derivatives against A375 (malignant melanoma), PC3 (prostate cancer), MGC-803 (gastric cancer), MCF-7, and Bcap-37 (breast adenocarcinoma) cell lines. The compounds substituted with a bromoalkyl moiety (II (A), II (B)) demonstrated weak antitumor activity compared with the parent compound betulonic acid. Results have shown that (4-(piperidin-1-yl) butyl) 3-oxo-20(29)-lupen-28-oate (III) was one of the most active compounds, presenting IC50 values of 3.6–7.8 µM on the five screened cancer cell lines, whereas compounds substituted with fluorophenyl group (IV) exhibited high and moderate antiproliferative activities, as shown in Table 2. (4-(piperidin-1-yl)butyl) 3-oxo-20(29)-lupen-28-oate has also been shown to induce apoptosis of MGC-803 cells via the mitochondrial intrinsic pathway, which include suppression of the expressions p53, Bax, caspase 9, and caspase 3 [113].
In a similar approach, Ledeţi et al. described the cytotoxic effects (MTT assay) of four amino derivatives of betulonic acid against certain tumor cell lines, including HeLa (cervix adenocarcinoma), A431 (skin carcinoma), A2780 (ovarian carcinoma) and MCF-7 (breast adenocarcinoma), as shown in Table 2. Guanylhydrazone (V) had lower cytotoxic activity on all cell lines relative to betulin at both tested concentrations (10, 30 mM). The oxime (VI) was found to have strong cytotoxic effects on the A2780 cell line when used at elevated doses, whereas the cytotoxic effect on the A431 cells was almost negligible when the lower concentration was used. The strongest activity manifested at the lowest concentration of butyl imine (VII) occurred on HeLa cell lines, as opposed to the higher concentration that was relevant for A2780 cell line. Moreover, the thiosemicarbazone (VIII) demonstrated significant cytotoxic effects against HeLa, A2780, and MCF-7 cell lines included in this study, having a comparable inhibitory activity to betulin. Regarding the inhibitory activity against A431 cell line, there was no evidence of it [114].
The inhibitory effects of C(2)-C(3)-fused triazine derivatives of betulonic acid on the proliferation of murine leukemia cells (L1210), human cervix carcinoma cells (HeLa), and human T-lymphoblast cells (CEM) were evaluated by Dinh Ngoc et al. The 1,2,4-triazine derivative of betulonic acid (IX) did not elicit a significant cytostatic activity, while S-alkylated triazine derivatives (X, XI) strongly inhibited tumor cell proliferation, especially in case of human T-lymphoblast cells [3].
Kommera et al. demonstrated the in vitro cytotoxic activity of the betulonic acid derivative, 2-amino-3-hydroxy-2-(hydroxymethyl) propyl betulonate (XII), on eight different tumor cell lines: 518A2 (melanoma), A253 (head and neck tumor), A431 (cervical), A2780 (ovarian), A549 (lung), HT-29 (colon), MCF-7 (breast), and SW1736 (anaplastic thyroid tumor) using the sulforhodamine B colorimetric assay. As shown in Table 2, IC50 values were found to be in the range of 9.44–10.83 µM. A comparison regarding the cytotoxicity of betulonic acid and compound XII showed a loss of specificity towards some cancer cell lines presented by the parent compound. It has been observed that the derivate also induced apoptosis on HT-29 cell line, which has been confirmed by annexin V staining experiments and DNA fragmentation assay [115].
Following the study conducted by Saxena et al., it has been reported that N-Boc-lysinated-betulonic acid (XIII) elicits positive in vitro effects against prostate cancer cell lines (LNCaP, DU-145, PC-3). The growth of the LNCaP cells was inhibited by lysinated-betulonic acid at 10 μM following 72 h of incubation to 40%, whereas at a concentration of 100 μM, the inhibitory activity increased to 80% (for the compound dissolved in DMSO) and by 96% (for compound dissolved in phosphate-buffered saline [PBS]). Using the MTT assay and various incubation times, the research group showed a significant inhibitory effect on DU-145 and PC-3 cancer cells treated with 100 μM of lysinated-betulonic, as shown in Table 2 [116].
Antimonova et al. have synthesized and evaluated the in vitro cytotoxicity of betulonic acid bearing an 1,3,4-oxadiazole moiety in the C-17 position. The technique used for the preparation of the compounds involved the reaction of acid chlorides (betulonic acid chloride and 3-β-O-acetyl-betulinic acid chloride) with acid hydrazides accompanied by the cyclization of the resulting acylhydrazides (XIV (A–F)) and thus the synthesis of 1,3,4-oxadiazole derivatives (XV (A–F)). The cytotoxicity against human cancer cell line (MT-4), human T-cell leukemia (CEM-13), and human monocytes (U-937) was determined by MTT assay, and the results were expressed as ID50. Betulonic acid hydrazide (XIV (D)) with a 6-(trifluoromethyl)-2-fluoro-3-chlorophenyl substituent was the most powerful inhibitor of MT-4 (ID50 = 9 µM) and U-937 (ID50 = 12 µM) cells. This compound was slightly more active against U-937 human tumour cells than betulonic acid (ID50 =19 µM). Regarding the inhibitory activity against the CEM-13 cell line, mild cytotoxicity (ID50 = 32 µM) was noticed compared to betulonic acid (ID50 = 12 µM). The derivative with the substituent 4-Bromophenyl (XIV (E)) was the second hydrazide that has shown great inhibitory activity against MT-4 cell line (ID50 = 14 µM) and moderate cytotoxicity against U-937 and CEM-13 cell lines, with ID50 = 23 µM and ID50 = 23 µM, respectively. On the other hand, hydrazides with phenolic (XIV (B)) and pyridyl (XIV (F)) presented moderate cytotoxicity against MT-4 cell line and U-937 cell line; ID50 values were within 19–32 µM. Concerning the cytotoxicity against the CEM-13 cell line, ID50 values were high (ID50 = 57 µM for derivative (XIV (F)) and 72 µM for derivative (XIV (B)). In contrast, derivatives (XIV (A)) and (XIV (C)) exhibited low cytotoxicity against all cancer cell lines, with ID50 values ranging from 32–105 µM. Among the 1,3,4-oxadiazole derivatives, compounds (XV (E)) and (XV (F)) with p-bromophenyl or pyridyl substituents in the C-5 position had the strongest cytotoxicity against MT-4 (ID50 = 11 µM and ID50 =16 µM, respectively) and U-937 human cancer cells (ID50 = 17µM and ID50 =15 µM, respectively). The cytotoxic activity against CEM-13 cell line was moderate for both oxadiazole derivatives (ID50 = 33 µM for derivative (XV (E)) and ID50 = 37 µM derivative (XV (F)), respectively. Regarding the inhibitory activities of compounds (XV (A–F)), ID50 values were much higher than those of betulonic acid, suggesting that these derivatives had low cytotoxicity (ID50 ranged from 28 to 120 µM) as shown in Table 2.
The cytotoxicity of these compounds was significantly influenced by the nature of the substitutes at oxadiazole C-5 [117].
The cytotoxicity of betulonic acid conjugated with triphenylphosphonium salts (TPP) against human breast cancer (MCF-7), human prostate adenocarcinoma (PC-3), and normal human skin fibroblasts (HSF) was studied by Tsepaeva et al. Synthesis of betulonic acid-derived TPP salts was conducted by the reaction of halo alkyl esters with triphenylphosphine. According to MTT assay, after 72 h incubation, 9-triphenylphosphoniononyl 3-oxolup-20(29)-en-28-oate bromide (XVI) exhibited the highest inhibitory activity against MCF-7 cells (IC50 ≈ 0.3 µM), comparable to doxorubicin (IC50 ≈ 0.4 µM). In terms of anticancer activity against PC-3 cells, the 2-triphenylphosphonioethoxyethyl 3-oxolup-20(29)-en-28-oate bromide derivative (XVII) exerted the strongest cytotoxicity (IC50 ≈ 0.4 µM). This study has shown that these derivatives have improved the antiproliferative activity on cancer cells and not on normal HSF cells. Such selectivity may be due to the enhanced uptake of triterpenoids by cancer cells, presumably attributable to the TPP moiety [118].
The pro-apoptotic and cytotoxic activity of betulonic acid derivatives was reported by Csuk et al. The research groups have synthesized C(2)-methylene derivatives either by Mannich reactions, accompanied by β-elimination, or by aldol condensation reactions. Cytotoxicity was determined by sulforhodamine B assay for various human cancer cell lines: melanoma (518A2), cervical cancer (A431), head and neck tumor (A253, FADU), lung carcinoma (A549), ovarian cancer (A2780), colon cancer (DLD-1, HCT-8, HCT-116, HT-29, SW480), anaplastic thyroid cancer (8505c, SW1736), mammary carcinoma (MCF-7), liposarcoma (LIPO), and mouse fibroblasts (NiH3T3). According to the reported results, 2-methylene-3-oxolup-20(29)en-28-oic acid (XVIII) presented excellent cytotoxicity against all cancer cell lines, with IC50 values ranging from 0.2–0.6 μM after 96 h of exposure. The 2-methylene-28-oxo-28-thiomorpholin-4-yl-lup-20(29)en-3-one (XIX) compound also displayed promising results as an anticancer agent according to the IC50 values within the range of 1–2 μM. Moreover, in order to increase the bioavailability of the methyl 2-methylene-3-oxolup-20(29)en-28-oate (XX), the authors encapsulated the compound into soybean lecithin liposomes (XX (E)), thus leading to a threefold rise in cytotoxicity. 2-methylene-3-oxolup-20(29)en-28-oic acid (XVIII), methyl 2-methylene-3-oxolup-20(29)en-28-oate(XX) and methyl (2α)-2-{[(2-hydroxyethyl)thio]methyl}-3-oxolup- 20(29)en-28-oate (XXI) were also examined in terms of pro-apoptotic activity; they induced DNA fragmentation in colon cancer cell line SW480, thereby providing strong signs of apoptosis. In addition, acridine orange/ethidium bromide staining of A549 lung carcinoma cells treated with these derivatives also showed induced apoptosis [119].
Kazakova et al. have reported the biological activity of C-28-imidazolides of betulonic acid, containing 3-oxo-, 3-hydroxyimino-, and 2-cyano-2,3-seco-4(23)-ene fragments in cycle A. Firstly, they assessed the cytotoxicity of the imidazolides (cycle A) using different human tumor cell lines (lungs, colon, central nervous system, ovary, renal, prostate, mammary gland, melanoma, leukemia), dyed with sulforhodamine B, and treated with 10 μM of the derivatives for 48 h. The results have shown that the imidazolide of 3-hydroxyimino-lup-20(29)-en-28-carboxylic acid (cycle A) (XXII) was the most efficient in inhibiting the cell growth of all six lung cancer cell lines, all seven large intestine cancer cell lines, all six leukemia cell lines, all six melanoma cell lines, all four breast cancer cell lines, two nervous system cancer cell lines, one prostate cancer cell line, three ovarian cancer cell lines, and five renal cancer cell lines. The cell survival rates are depicted in Table 2. Moreover, cell death was found in three cell lines: lung cancer cell line (NCI-H460), colon cancer cell line (COLO 205), and leukemia cell line (HL-60[TB]) [107]. An overview of the anticancer activity of betulonic acid derivatives is presented in Figure 2.
Owing to the hydrophobic properties of betulonic acid, its in vivo anti-cancer effectiveness has not been intensively studied (Figure 3). In a research performed by Saxena et al., they investigated the in vivo activity of hydrophilic lysinated betulonic acid on LNcaP prostate cancer cells xenografts in athymic mice (Table 3). In contrast to the control group, the lysinated betulonic acid injected mice displayed a 92% inhibition of tumor development. Moreover, histological analyses of the tumors revealed the lack of dividing cells, demonstrating the anticancer activity of the lysinated-betulonic acid [116].
Based on the remarkable results obtained for the imidazolide of 3-hydroxyimino-lup-20(29)-en-28-carboxylic acid (XXII), Kazakova et al. have studied its antineoplastic activity in vivo on two ascites tumors (Ehrlich tumor and P388 lympholeukemia) and three solid tumors (breast adenocarcinoma [Ca755], colon adenocarcinoma [AKATOL], and Lewis lung cancer [LLC]) inoculated in BDF1 hybrids (DBA2 × C57B1/6J), BALB/C, and DBA mice. This chemical derivative injected intraperitoneally, five times daily at a dosage of 70 mg/kg, had no antineoplastic effect neither on the Ehrlich ascites tumor nor P388 lympholeukemia (at a dose of 30 and 50 mg/kg), respectively. Interestingly, the administration of 50 mg/kg through the same procedure suppressed the development of breast adenocarcinoma (Ca755) by 56–77%. The result was maintained without an improvement in life duration until day eight of the study. In mice with large intestinal adenocarcinoma treated by the same procedure, a 53% decrease in tumor growth was seen only after 5 days of therapy without any change in the mice’s lifespan [107].
The research study conducted by Zhukova et al. examined the effects of betulonic acid and its methyl esters derivatives on the pathological modifications in the kidneys of the C57BL/6 mice, presenting Lewis pulmonary adenocarcinoma. Compounds were administered intraperitoneally in a dosage of 50 mg/kg for 8 days. After 8 days, mice were decapitated under ethereal anesthesia and sections of the treated kidneys were analyzed using periodic acid–Schiff reaction-hematoxylin and eosin-orange G dyeing. These chemical derivatives had a beneficial impact on the course of paraneoplastic nephropathy; they decreased the volume density of epithelial cell necrosis at 56%. On average, the number of cells with edematic cytoplasm, vesicular lipid infiltrate, and disrupted brush lymbus fell by 8–13% in comparison to untreated tumoral cells [120].

4. Conclusions

Data presented in this work show that following structural modifications, which involved the introduction of amide, thiol, and piperidine groups, amplification of the in vitro anticancer potential of betulonic acid can be achieved. Studies published in the state of the art literature revealed that betulonic acid derivatives possess an important in vitro cytotoxic and pro-apoptotic activity. However, the number of in vivo studies is limited. The screening of scientific literature on this topic indicates a demand for in-depth in vivo data regarding the effect and mechanism of action of the betulonic acid derivatives in order to benefit from these structures in different therapeutic protocols designated for the management of various types of cancer.

Author Contributions

A.L., A.D.S., S.A., I.Z.P., C.A.D.—screening of the literature, selection of the presented information, writing, original draft preparation; M.T., J.L., U.P., C.S., C.D.—conceptualisation, visualisation, graphic design, review, editing. All authors have read and agreed to the published version of the manuscript.

Funding

This work was supported by an Internal grant at “Victor Babes” University of Medicine and Pharmacy, Grant 1EXP/1233/30.01.2020 LUPSKINPATH, Project Manager: C.S.; I.J.L. and M.T. thank the ERA.Net RUS Plus project # RUS_ST2017-139 “AnticancerBet” for financial support.

Institutional Review Board Statement

Not applicable.

Informed Consent Statement

Not applicable.

Data Availability Statement

No new data were created or analyzed in this study.

Conflicts of Interest

The authors declare no conflict of interest.

Abbreviations

AChAcetylcholine
DMSODimethyl sulfoxide
DNADeoxyribonucleic acid
EMAEuropean Medicines Agency
FDAFood and Drug Administration
HeLaCervical adenocarcinoma
IC50Half maximal inhibitory concentration
ID50Compound concentration inhibiting by 50% the tumor-cell viability
IL-1βInterleukin 1 beta
IL-6 Interleukin 6
MDA-MB-231Triple-negative breast cancer
miRNA-27Microrna
mRNAMessenger RNA
MTT3-(4,5-dimethylthiazol-2-yl)-2,5-diphenyl tetrazolium bromide
PBMCPeripheral mononuclear blood cells
PBSPhosphate-buffered saline
PTPentacyclic triterpenoids
ROSReactive oxygen species
SPSpecificity protein
SREBPSterol regulatory element-binding proteins
TNF-αTumor Necrosis Factor-α
TPPTriphenylphosphonium
VEGFRVascular endothelial growth factor

References

  1. Bonofiglio, D.; Giordano, C.; De Amicis, F.; Lanzino, M.; Andò, S. Natural Products as Promising Antitumoral Agents in Breast Cancer: Mechanisms of Action and Molecular Targets. Mini Rev. Med. Chem. 2016, 16, 596–604. [Google Scholar] [CrossRef] [PubMed]
  2. Bailon-Moscoso, N.; Cevallos-Solorzano, G.; Romero-Benavides, J.; Ramirez Orellana, M. Natural Compounds as Modulators of Cell Cycle Arrest: Application for Anticancer Chemotherapies. Curr. Genom. 2017, 18, 106–131. [Google Scholar] [CrossRef]
  3. Dinh Ngoc, T.; Moons, N.; Kim, Y.; De Borggraeve, W.; Mashentseva, A.; Andrei, G.; Snoeck, R.; Balzarini, J.; Dehaen, W. Synthesis of Triterpenoid Triazine Derivatives from Allobetulone and Betulonic Acid with Biological Activities. Bioorg. Med. Chem. 2014, 22, 3292–3300. [Google Scholar] [CrossRef]
  4. Majolo, F.; de Oliveira Becker Delwing, L.K.; Marmitt, D.J.; Bustamante-Filho, I.C.; Goettert, M.I. Medicinal Plants and Bioactive Natural Compounds for Cancer Treatment: Important Advances for Drug Discovery. Phytochem. Lett. 2019, 31, 196–207. [Google Scholar] [CrossRef]
  5. Matulja, D.; Wittine, K.; Malatesti, N.; Laclef, S.; Turks, M.; Kolympadi, M.; Ambrozic, G.; Marković, D. Marine Natural Products with High Anticancer Activities. Curr. Med. Chem. 2020, 27, 1243–1307. [Google Scholar] [CrossRef]
  6. Pan, L.; Chai, H.-B.; Kinghorn, A.D. Discovery of New Anticancer Agents from Higher Plants. Front. Biosci. Schol. Ed. 2012, 4, 142–156. [Google Scholar] [CrossRef] [PubMed]
  7. Bhavana, V.; Sudharshan, S.J.S.; Madhu, D. Natural anticancer compounds and their derivatives in clinical trials. In Anticancer Plants: Clinical Trials and Nanotechnology; Akhtar, M., Swamy, M., Eds.; Springer: Singapore, 2017; pp. 51–104. [Google Scholar]
  8. Bennouna, J.; Delord, J.P.; Campone, M.; Nguyen, L. Vinflunine: A New Microtubule Inhibitor Agent. Clin. Cancer Res. 2008, 14, 1625–1632. [Google Scholar] [CrossRef]
  9. Bates, D.; Eastman, A. Microtubule Destabilising Agents: Far More than Just Antimitotic Anticancer Drugs. Br. J. Clin. Pharmacol. 2017, 83, 255–268. [Google Scholar] [CrossRef]
  10. Lucas, D.M.; Still, P.C.; Pérez, L.B.; Grever, M.R.; Kinghorn, A.D. Potential of Plant-Derived Natural Products in the Treatment of Leukemia and Lymphoma. Curr. Drug Targets 2010, 11, 812–822. [Google Scholar] [CrossRef] [PubMed]
  11. Martino, E.; Casamassima, G.; Castiglione, S.; Cellupica, E.; Pantalone, S.; Papagni, F.; Rui, M.; Siciliano, A.M.; Collina, S. Vinca Alkaloids and Analogues as Anti-Cancer Agents: Looking Back, Peering Ahead. Bioorg. Med. Chem. Lett. 2018, 28, 2816–2826. [Google Scholar] [CrossRef] [PubMed]
  12. Gerullis, H.; Wawroschek, F.; Köhne, C.; Ecke, T.H. Vinflunine in the Treatment of Advanced Urothelial Cancer: Clinical Evidence and Experience. Therap. Adv. Urol. 2017, 28–36. [Google Scholar] [CrossRef]
  13. World Health Organization. Essential Medicines. Available online: https://www.who.int/topics/essential_medicines/en/ (accessed on 23 February 2021).
  14. Chinta, G.; Syed, S.B.; Coumar, M.; Periyasamy, L. Piperine: A Comprehensive Review of Pre-Clinical and Clinical Investigations. Curr. Bioact. Compd. 2015, 11, 156–169. [Google Scholar] [CrossRef]
  15. Venditto, V.J.; Eric, E. Simanek. Cancer Therapies Utilizing the Camptothecins: A Review of in Vivo Literature. Biophys. Chem. 2005, 257, 2432–2437. [Google Scholar] [CrossRef]
  16. Choudhari, A.S.; Mandave, P.C.; Deshpande, M.; Ranjekar, P.; Salomone, S. Phytochemicals in Cancer Treatment: From Preclinical Studies to Clinical Practice. Front. Pharmacol. 2020, 10, 1–17. [Google Scholar] [CrossRef]
  17. Wang, X.H.; Zhou, S.Y.; Qian, Z.Z.; Zhang, H.L.; Qiu, L.H.; Song, Z.; Zhao, J.; Wang, P.; Hao, X.S.; Wang, H.Q. Evaluation of Toxicity and Single-Dose Pharmacokinetics of Intravenous Ursolic Acid Liposomes in Healthy Adult Volunteers and Patients with Advanced Solid Tumors. Expert Opin. Drug Metab. Toxicol. 2013, 9, 117–125. [Google Scholar] [CrossRef] [PubMed]
  18. Ganguly, A.; Yang, H.; Cabral, F. Paclitaxel-Dependent Cell Lines Reveal a Novel Drug Activity. Mol. Cancer Ther. 2010, 9, 2914–2923. [Google Scholar] [CrossRef] [PubMed]
  19. Priyadarshini, K.; Keerthi, A.U. Paclitaxel Against Cancer: A Short Review. Med. Chem. 2012, 2, 139–141. [Google Scholar] [CrossRef]
  20. Ojima, I.; Lichtenthal, B.; Lee, S.; Wang, C.; Wang, X.; Brook, S.; Discovery, D.; Brook, S. Taxane Anticancer Agents: A Patent Perspective. Expert Opin. Therap. Patents 2017, 26, 1–20. [Google Scholar] [CrossRef] [PubMed]
  21. Wei, M.Y.; Giovannucci, E.L. Lycopene, Tomato Products, and Prostate Cancer Incidence: A Review and Reassessment in the Psa Screening Era. J. Oncol. 2012, 2012. [Google Scholar] [CrossRef]
  22. National Library of Medicine (USA). Available online: https://clinicaltrials.gov/ct2/show/results/NCT01882985?view=results (accessed on 7 February 2021).
  23. National Library of Medicine (USA). Available online: https://clinicaltrials.gov/ct2/show/NCT03167268 (accessed on 7 February 2021).
  24. Salem, M.; Rohani, S.; Gillies, E.R. Curcumin, a Promising Anti-Cancer Therapeutic: A Review of Its Chemical Properties, Bioactivity and Approaches to Cancer Cell Delivery. RSC Adv. 2014, 4, 10815–10829. [Google Scholar] [CrossRef]
  25. Saghatelyan, T.; Tananyan, A.; Janoyan, N.; Tadevosyan, A.; Petrosyan, H.; Hovhannisyan, A.; Hayrapetyan, L.; Arustamyan, M.; Arnhold, J.; Rotmann, A.-R.; et al. Efficacy and Safety of Curcumin in Combination with Paclitaxel in Patients with Advanced, Metastatic Breast Cancer: A Comparative, Randomized, Double-Blind, Placebo-Controlled Clinical Trial. Phytomedicine 2020, 70, 153218. [Google Scholar] [CrossRef] [PubMed]
  26. National Library of Medicine (USA). Available online: https://clinicaltrials.gov/ct2/show/NCT03769766 (accessed on 7 February 2021).
  27. Jiuzhang. Available online: http://en.jiuzhang.com.cn/Productview/54.html (accessed on 7 February 2021).
  28. Jiang, N.; Doseff, A.I.; Grotewold, E. Flavones: From Biosynthesis to Health Benefits. Plants 2016, 5, 27. [Google Scholar] [CrossRef]
  29. Guven, H.; Arici, A.; Simsek, O. Flavonoids in Our Foods: A Short Review. J. Basic Clin. Health Sci. 2019. [Google Scholar] [CrossRef]
  30. National Library of Medicine (USA). Available online: https://clinicaltrials.gov/ct2/show/results/NCT01325311?term=Genistein&draw=2&rank=9 (accessed on 7 February 2021).
  31. Li, Y.; Yao, J.; Han, C.; Yang, J.; Chaudhry, M.T.; Wang, S.; Liu, H.; Yin, Y. Quercetin, Inflammation and Immunity. Nutrients 2016, 8, 167. [Google Scholar] [CrossRef] [PubMed]
  32. National Library of Medicine (USA). Available online: https://clinicaltrials.gov/ct2/show/study/NCT01912820?term=quercetin&cond=Prostate+Cancer&draw=2&rank=2 (accessed on 7 February 2021).
  33. National Library of Medicine (USA). Available online: https://clinicaltrials.gov/ct2/show/NCT03476330?term=quercetin&cond=cancer&draw=3&rank=12 (accessed on 7 February 2021).
  34. Amiri, S.; Dastghaib, S.; Ahmadi, M.; Mehrbod, P.; Khadem, F.; Behrouj, H.; Aghanoori, M.-R.; Machaj, F.; Ghamsari, M.; Rosik, J.; et al. Betulin and Its Derivatives as Novel Compounds with Different Pharmacological Effects. Biotechnol. Adv. 2020, 38, 107409. [Google Scholar] [CrossRef]
  35. Mierina, I.; Vilskersts, R.; Turks, M. Delivery Systems for Birch-Bark Triterpenoids and Their Derivatives in Anticancer Research. Curr. Med. Chem. 2020, 27, 1308–1336. [Google Scholar] [CrossRef]
  36. Ghosh, S. Biosynthesis of Structurally Diverse Triterpenes in Plants: The Role of Oxidosqualene Cyclases. Proc. Indian Natl. Sci. Acad. 2016, 82, 1189–1210. [Google Scholar] [CrossRef]
  37. Jäger, S.; Trojan, H.; Kopp, T.; Laszczyk, M.N.; Scheffler, A. Pentacyclic Triterpene Distribution in Various Plants—Rich Sources for a New Group of Multi-Potent Plant Extracts. Molecules 2009, 14, 2016–2031. [Google Scholar] [CrossRef]
  38. Parmar, S.K.; Sharma, T.P.; Airao, V.B.; Bhatt, R.; Aghara, R.; Chavda, S.; So, R.; Ap, G. Neuropharmacological Effects of Triterpenoids. Phytopharmacology 2013, 4, 354–372. [Google Scholar]
  39. Isah, M.B.; Ibrahim, M.A.; Mohammed, A.; Aliyu, A.B.; Masola, B.; Coetzer, T.H.T. A Systematic Review of Pentacyclic Triterpenes and Their Derivatives as Chemotherapeutic Agents against Tropical Parasitic Diseases. Parasitology 2016, 143, 1219–1231. [Google Scholar] [CrossRef] [PubMed]
  40. Laszczyk, M.N. Pentacyclic Triterpenes of the Lupane, Oleanane and Ursane Group as Tools in Cancer Therapy. Planta Med. 2009, 75, 1549–1560. [Google Scholar] [CrossRef]
  41. Ekman, R. The Suberin Monomers and Triterpenoids from the Outer Bark of Betula Verrucosa Ehrh. Holzforschung 1983, 37, 205–211. [Google Scholar] [CrossRef]
  42. Banerjee, S.; Bose, S.; Mandal, S.C.; Dawn, S.; Sahoo, U.; Ramadan, M.A.; Mandal, S.K. Pharmacological Property of Pentacyclic Triterpenoids. Egypt. J. Chem. 2019, 62, 13–35. [Google Scholar] [CrossRef]
  43. Laszczyk, M.; Jäger, S.; Simon-Haarhaus, B.; Scheffler, A.; Schempp, C.M. Physical, Chemical and Pharmacological Characterization of a New Oleogel-Forming Triterpene Extract from the Outer Bark of Birch (Betulae Cortex). Planta Med. 2006, 72, 1389–1395. [Google Scholar] [CrossRef] [PubMed]
  44. Chudzik, M.; Korzonek-Szlacheta, I.; Król, W. Triterpenes as Potentially Cytotoxic Compounds. Molecules 2015, 20, 1610–1625. [Google Scholar] [CrossRef]
  45. Şoica, C.; Voicu, M.; Ghiulai, R.; Dehelean, C.; Racoviceanu, R.; Trandafirescu, C.; Roșca, O.-J.; Nistor, G.; Mioc, M.; Mioc, A. Natural Compounds in Sex Hormone-Dependent Cancers: The Role of Triterpenes as Therapeutic Agents. Front. Endocrinol. 2021, 11, 1042. [Google Scholar] [CrossRef] [PubMed]
  46. Xiao, S.; Tian, Z.; Wang, Y.; Si, L.; Zhang, L.; Zhou, D. Recent Progress in the Antiviral Activity and Mechanism Study of Pentacyclic Triterpenoids and Their Derivatives. Med. Res. Rev. 2018, 38, 951–976. [Google Scholar] [CrossRef]
  47. Lyu, H.; Chen, J.; Li, W.L. Natural Triterpenoids for the Treatment of Diabetes Mellitus: A Review. Nat. Prod. Commun. 2016, 11, 1579–1586. [Google Scholar] [CrossRef]
  48. Bai, L.; Meng, F.; Zhao, L.; Zhao, M. The Anti-Inflammatory Activity of Pentacyclic Triterpenes In Vitro. Appl. Mech. Mater. 2011, 138–139, 1174–1178. [Google Scholar] [CrossRef]
  49. Wang, C.-M.; Chen, H.-T.; Wu, Z.-Y.; Jhan, Y.-L.; Shyu, C.-L.; Chou, C.-H. Antibacterial and Synergistic Activity of Pentacyclic Triterpenoids Isolated from Alstonia Scholaris. Molecules 2016, 139. [Google Scholar] [CrossRef]
  50. Bakovic, M. Biologically Active Triterpenoids and Their Cardioprotective and Anti- Inflammatory Effects. J. Bioanal. Biomed. 2015, 01. [Google Scholar] [CrossRef]
  51. Prasad, S.; Kalra, N.; Shukla, Y. Hepatoprotective Effects of Lupeol and Mango Pulp Extract of Carcinogen Induced Alteration in Swiss Albino Mice. Mol. Nutr. Food Res. 2007, 51, 352–359. [Google Scholar] [CrossRef]
  52. Ghiulai, R.; Roşca, O.J.; Antal, D.S.; Mioc, M.; Mioc, A.; Racoviceanu, R.; Macaşoi, I.; Olariu, T.; Dehelean, C.; Creţu, O.M.; et al. Tetracyclic and Pentacyclic Triterpenes with High Therapeutic Efficiency in Wound Healing Approaches. Molecules 2020, 25, 5557. [Google Scholar] [CrossRef] [PubMed]
  53. Alqahtani, A.; Hamid, K.; Kam, A.; Wong, K.H.; Abdelhak, Z.; Razmovski-Naumovski, V.; Chan, K.; Li, K.M.; Groundwater, P.W.; Li, G.Q. The Pentacyclic Triterpenoids in Herbal Medicines and Their Pharmacological Activities in Diabetes and Diabetic Complications. Curr. Med. Chem. 2013, 20, 908–931. [Google Scholar]
  54. Zhang, B.W.; Xing, Y.; Wen, C.; Yu, X.X.; Sun, W.L.; Xiu, Z.L.; Dong, Y.S. Pentacyclic Triterpenes as α-Glucosidase and α-Amylase Inhibitors: Structure-Activity Relationships and the Synergism with Acarbose. Bioorg. Med. Chem. Lett. 2017, 27, 5065–5070. [Google Scholar] [CrossRef]
  55. Norberg, Å.; Nguyen, K.H.; Liepinsh, E.; Van Phan, D.; Nguyen, D.T.; Jörnvall, H.; Sillard, R.; Östenson, C.G. A Novel Insulin-Releasing Substance, Phanoside, from the Plant Gynostemma Pentaphyllum. J. Biol. Chem. 2004, 279, 41361–41367. [Google Scholar] [CrossRef]
  56. Teodoro, T.; Zhang, L.; Alexander, T.; Yue, J.; Vranic, M.; Volchuk, A. Oleanolic Acid Enhances Insulin Secretion in Pancreatic Beta-Cells. FEBS Lett. 2008, 582, 1375–1380. [Google Scholar] [CrossRef] [PubMed]
  57. Lee, W.-K.; Kao, S.-T.; Liu, I.-M.; Cheng, J.-T. Increase of Insulin Secretion by Ginsenoside Rh2 to Lower Plasma Glucose in Wistar Rats. Clin. Exp. Pharmacol. Physiol. 2006, 33, 27–32. [Google Scholar] [CrossRef]
  58. Hsu, J.-H.; Wu, Y.-C.; Liu, I.-M.; Cheng, J.-T. Release of Acetylcholine to Raise Insulin Secretion in Wistar Rats by Oleanolic Acid, One of the Active Principles Contained in Cornus Officinalis. Neurosci. Lett. 2006, 404, 112–116. [Google Scholar] [CrossRef] [PubMed]
  59. Maneesai, P.; Bunbupha, S.; Kukongviriyapan, U.; Prachaney, P.; Tangsucharit, P.; Kukongviriyapan, V.; Pakdeechote, P. Asiatic Acid Attenuates Renin-Angiotensin System Activation and Improves Vascular Function in High-Carbohydrate, High-Fat Diet Fed Rats. BMC Complement. Altern. Med. 2016, 16, 123. [Google Scholar] [CrossRef]
  60. Prabhakar, P.; Reeta, K.H.; Maulik, S.K.; Dinda, A.K.; Gupta, Y.K. α-Amyrin Attenuates High Fructose Diet-Induced Metabolic Syndrome in Rats. Appl. Physiol. Nutr. Metab. Physiol. Appl. Nutr. Metab. 2017, 42, 23–32. [Google Scholar] [CrossRef]
  61. Sharma, H.; Kumar, P.; Deshmukh, R.R.; Bishayee, A.; Kumar, S. Pentacyclic Triterpenes: New Tools to Fight Metabolic Syndrome. Phytomedicine 2018, 50, 166–177. [Google Scholar] [CrossRef]
  62. Tang, J.J.; Li, J.G.; Qi, W.; Qiu, W.W.; Li, P.S.; Li, B.L.; Song, B.L. Inhibition of SREBP by a Small Molecule, Betulin, Improves Hyperlipidemia and Insulin Resistance and Reduces Atherosclerotic Plaques. Cell Metab. 2011, 13, 44–56. [Google Scholar] [CrossRef]
  63. De Melo, C.L.; Queiroz, M.G.R.; Arruda Filho, A.C.V.; Rodrigues, A.M.; De Sousa, D.F.; Almeida, J.G.L.; Pessoa, O.D.L.; Silveira, E.R.; Menezes, D.B.; Melo, T.S.; et al. Betulinic Acid, a Natural Pentacyclic Triterpenoid, Prevents Abdominal Fat Accumulation in Mice Fed a High-Fat Diet. J. Agric. Food Chem. 2009, 57, 8776–8781. [Google Scholar] [CrossRef]
  64. Zheng, Z.-W.; Song, S.-Z.; Wu, Y.-L.; Lian, L.-H.; Wan, Y.; Nan, J.-X. Betulinic Acid Prevention of D-Galactosamine/Lipopolysaccharide Liver Toxicity Is Triggered by Activation of Bcl-2 and Antioxidant Mechanisms. J. Pharm. Pharmacol. 2011, 63, 572–578. [Google Scholar] [CrossRef] [PubMed]
  65. Szuster-Ciesielska, A.; Plewka, K.; Daniluk, J.; Kandefer-Szerszeń, M. Betulin and Betulinic Acid Attenuate Ethanol-Induced Liver Stellate Cell Activation by Inhibiting Reactive Oxygen Species (ROS), Cytokine (TNF-α, TGF-β) Production and by Influencing Intracellular Signaling. Toxicology 2011, 280, 152–163. [Google Scholar] [CrossRef] [PubMed]
  66. Sunitha, S.; Nagaraj, M.; Varalakshmi, P. Hepatoprotective Effect of Lupeol and Lupeol Linoleate on Tissue Antioxidant Defence System in Cadmium-Induced Hepatotoxicity in Rats. Fitoterapia 2001, 72, 516–523. [Google Scholar] [CrossRef]
  67. Szuster-Ciesielska, A.; Kandefer-Szerszeń, M. Protective Effects of Betulin and Betulinic Acid against Ethanol-Induced Cytotoxicity in HepG2 Cells. Pharmacol. Rep. 2005, 57, 588–595. [Google Scholar] [PubMed]
  68. Yi, J.; Xia, W.; Wu, J.; Yuan, L.; Wu, J.; Tu, D.; Fang, J.; Tan, Z. Betulinic Acid Prevents Alcohol-Induced Liver Damage by Improving the Antioxidant System in Mice. J. Vet. Sci. 2014, 15, 141–148. [Google Scholar] [CrossRef]
  69. Santiago, L.; Dayrit, K.; Correa, P.; Mayor, A.B. Comparison of Antioxidant and Free Radical Scavenging Activity of Triterpenes α-Amyrin, Oleanolic Acid and Ursolic Acid. J. Nat. Prod. 2014, 7, 29–36. [Google Scholar]
  70. Zhang, W.; Men, X.; Lei, P. Review on Anti-Tumor Effect of Triterpene Acid Compounds. J. Cancer Res. Ther. 2014, 10, C14–C19. [Google Scholar] [CrossRef]
  71. Wojnicz, D.; Tichaczek-Goska, D.; Korzekwa, K.; Kicia, M.; Hendrich, A. Anti-Enterococcal Activities of Pentacyclic Triterpenes. Adv. Clin. Exp. Med. 2017, 26, 483–490. [Google Scholar] [CrossRef]
  72. Lucetti, D.L.; Lucetti, E.C.; Bandeira, M.A.M.; Veras, H.N.; Silva, A.H.; Leal, L.K.A.; Lopes, A.A.; Alves, V.C.; Silva, G.S.; Brito, G.A.; et al. Anti-Inflammatory Effects and Possible Mechanism of Action of Lupeol Acetate Isolated from Himatanthus Drasticus (Mart.) Plumel. J. Inflamm. 2010, 7, 60. [Google Scholar] [CrossRef]
  73. Oladimeji, A.O.; Oladosu, I.A.; Jabeen, A.; Faheem, A.; Mesaik, M.A.; Ali, M.S. Immunomodulatory Activities of Isolated Compounds from the Root-Bark of Cussonia Arborea. Pharm. Biol. 2017, 55, 2240–2247. [Google Scholar] [CrossRef] [PubMed]
  74. Harun, N.H.; Septama, A.W.; Ahmad, W.A.N.W.; Suppian, R. Immunomodulatory Effects and Structure-Activity Relationship of Botanical Pentacyclic Triterpenes: A Review. Chin. Herb. Med. 2020, 12, 118–124. [Google Scholar] [CrossRef]
  75. Saaby, L.; Jäger, A.K.; Moesby, L.; Hansen, E.W.; Christensen, S.B. Isolation of Immunomodulatory Triterpene Acids from a Standardized Rose Hip Powder (Rosa canina L.). Phytother. Res. 2011, 25, 195–201. [Google Scholar] [CrossRef]
  76. Ayatollahi, A.M.; Ghanadian, M.; Afsharypour, S.; Abdella, O.M.; Mirzai, M.; Askari, G. Pentacyclic Triterpenes in Euphorbia Microsciadia with Their T-Cell Proliferation Activity. Iran. J. Pharm. Res. 2011, 10, 287–294. [Google Scholar]
  77. Marquez-Martin, A.; De La Puerta, R.; Fernandez-Arche, A.; Ruiz-Gutierrez, V.; Yaqoob, P. Modulation of Cytokine Secretion by Pentacyclic Triterpenes from Olive Pomace Oil in Human Mononuclear Cells. Cytokine 2006, 36, 211–217. [Google Scholar] [CrossRef] [PubMed]
  78. Shanmugam, M.K.; Nguyen, A.H.; Kumar, A.P.; Tan, B.K.H.; Sethi, G. Targeted Inhibition of Tumor Proliferation, Survival, and Metastasis by Pentacyclic Triterpenoids: Potential Role in Prevention and Therapy of Cancer. Cancer Lett. 2012, 320, 158–170. [Google Scholar] [CrossRef] [PubMed]
  79. Mullauer, F.B.; Kessler, J.H.; Medema, J.P. Betulin Is a Potent Anti-Tumor Agent That Is Enhanced by Cholesterol. PLoS ONE 2009, 4, e1. [Google Scholar] [CrossRef]
  80. Zhang, X.; Hu, J.; Chen, Y. Betulinic Acid and the Pharmacological Effects of Tumor Suppression (Review). Mol. Med. Rep. 2016, 14, 4489–4495. [Google Scholar] [CrossRef]
  81. Tan, Y.; Yu, R.; Pezzuto, J.M. Betulinic Acid-Induced Programmed Cell Death in Human Melanoma Cells Involves Mitogen-Activated Protein Kinase Activation. Clin. Cancer Res. Off. J. Am. Assoc. Cancer Res. 2003, 9, 2866–2875. [Google Scholar]
  82. Zuco, V.; Supino, R.; Righetti, S.C.; Cleris, L.; Marchesi, E.; Gambacorti-Passerini, C.; Formelli, F. Selective Cytotoxicity of Betulinic Acid on Tumor Cell Lines, but Not on Normal Cells. Cancer Lett. 2002, 175, 17–25. [Google Scholar] [CrossRef]
  83. Yang, S.; Zhao, Q.; Xiang, H.; Liu, M.; Zhang, Q.; Xue, W.; Song, B.; Yang, S. Antiproliferative Activity and Apoptosis-Inducing Mechanism of Constituents from Toona Sinensis on Human Cancer Cells. Cancer Cell Int. 2013, 13, 1. [Google Scholar] [CrossRef] [PubMed]
  84. Gheorgheosu, D.; Duicu, O.; Dehelean, C.; Soica, C.; Muntean, D. Betulinic Acid as a Potent and Complex Antitumor Phytochemical: A Minireview. Anticancer Agents Med. Chem. 2014, 14, 936–945. [Google Scholar] [CrossRef]
  85. Ali-Seyed, M.; Jantan, I.; Vijayaraghavan, K.; Bukhari, S.N.A. Betulinic Acid: Recent Advances in Chemical Modifications, Effective Delivery, and Molecular Mechanisms of a Promising Anticancer Therapy. Chem. Biol. Drug Des. 2016, 87, 517–536. [Google Scholar] [CrossRef] [PubMed]
  86. Mertens-Talcott, S.U.; Noratto, G.D.; Li, X.; Angel-Morales, G.; Bertoldi, M.C.; Safe, S. Betulinic Acid Decreases ER-Negative Breast Cancer Cell Growth in Vitro and in Vivo: Role of Sp Transcription Factors and MicroRNA-27a:ZBTB10. Mol. Carcinog. 2013, 52, 591–602. [Google Scholar] [CrossRef]
  87. Sawada, N.; Kataoka, K.; Kondo, K.; Arimochi, H.; Fujino, H.; Takahashi, Y.; Miyoshi, T.; Kuwahara, T.; Monden, Y.; Ohnishi, Y. Betulinic Acid Augments the Inhibitory Effects of Vincristine on Growth and Lung Metastasis of B16F10 Melanoma Cells in Mice. Br. J. Cancer 2004, 90, 1672–1678. [Google Scholar] [CrossRef]
  88. Liu, M.; Yeng, S.; Jin, L.; Hu, D.; Wu, Z.; Yang, S. Chemical Constituents of the Ethyl Acetate Extract of Belamcanda Chinensis (L.) DC Roots and Their Antitumor Activities. Molecules 2012, 17, 6156–6169. [Google Scholar] [CrossRef] [PubMed]
  89. Hordyjewska, A.; Ostapiuk, A.; Horecka, A.; Kurzepa, J. Betulin and Betulinic Acid: Triterpenoids Derivatives with a Powerful Biological Potential. Phytochem. Rev. 2019, 18, 929–951. [Google Scholar] [CrossRef]
  90. Dehelean, C.A.; Şoica, C.; Ledeţi, I.; Aluaş, M.; Zupko, I.; Gǎluşcan, A.; Cinta-Pinzaru, S.; Munteanu, M. Study of the Betulin Enriched Birch Bark Extracts Effects on Human Carcinoma Cells and Ear Inflammation. Chem. Cent. J. 2012, 6, 1–9. [Google Scholar] [CrossRef] [PubMed]
  91. Chang, C.W.; Wu, T.S.; Hsieh, Y.S.; Kuo, S.C.; Lee Chao, P.D. Terpenoids of Syzygium Formosanum. J. Nat. Prod. 1999, 62, 327–328. [Google Scholar] [CrossRef] [PubMed]
  92. De Oliveira, B.H.; Santos, C.A.M.; Espíndola, A.P.D.M. Determination of the Triterpenoid, Betulinic Acid, in Doliocarpus Schottianus by HPLC. Phytochem. Anal. 2002, 13, 95–98. [Google Scholar] [CrossRef]
  93. Lin, H.C.; Ding, H.Y.; Wu, Y.C. Two Novel Compounds from Paeonia Suffructicosa. J. Nat. Prod. 1998, 61, 343–346. [Google Scholar] [CrossRef]
  94. Su, B.N.; Cuendet, M.; Farnsworth, N.R.; Fong, H.H.S.; Pezzuto, J.M.; Kinghorn, A.D. Activity-Guided Fractionation of the Seeds of Ziziphus Jujuba Using a Cyclooxygenase-2 Inhibitory Assay. Planta Med. 2002, 68, 1125–1128. [Google Scholar] [CrossRef]
  95. Chien, S.C.; Xiao, J.H.; Tseng, Y.H.; Kuo, Y.H.; Wang, S.Y. Composition and Antifungal Activity of Balsam from Liquidambar Formosana Hance. Holzforschung 2013, 67, 345–351. [Google Scholar] [CrossRef]
  96. Pavlova, N.I.; Savinova, O.V.; Nikolaeva, S.N.; Boreko, E.I.; Flekhter, O.B. Antiviral Activity of Betulin, Betulinic and Betulonic Acids against Some Enveloped and Non-Enveloped Viruses. Fitoterapia 2003, 74, 489–492. [Google Scholar] [CrossRef]
  97. Shamsabadipour, S.; Ghanadian, M.; Saeedi, H.; Rahimnejad, M.R.; Mohammadi-Kamalabadi, M.; Ayatollahi, S.M.; Salimzadeh, L. Triterpenes and Steroids from Euphorbia Denticulata Lam. With Anti-Herpes Symplex Virus Activity. Iran. J. Pharm. Res. IJPR 2013, 12, 759–767. [Google Scholar] [PubMed]
  98. Flekhter, O.B.; Boreko, E.I.; Tret’iakova, E.V.; Pavlova, N.I.; Baltina, L.A.; Nikolaeva, S.N.; Savinova, O.V.; Eremin, V.F.; Galin, F.Z.; Tolstikov, G.A. Synthesis and antiviral activity of amides and conjugates of betulonic acid with amino acids. Bioorg. Khim. 2004, 30, 89–98. [Google Scholar] [CrossRef]
  99. Kazakova, O.B.; Giniyatullina, G.V.; Tolstikov, G.A.; Medvedeva, N.I.; Utkina, T.M.; Kartashova, O.L. Synthesis, Modification, and Antimicrobial Activity of the N-Methylpiperazinyl Amides of Triterpenic Acids. Russ. J. Bioorg. Chem. 2010, 36, 383–389. [Google Scholar] [CrossRef]
  100. Haque, S.; Nawrot, D.A.; Alakurtti, S.; Ghemtio, L.; Yli-Kauhaluoma, J.; Tammela, P. Screening and Characterisation of Antimicrobial Properties of Semisynthetic Betulin Derivatives. PLoS ONE 2014, 9, e102696. [Google Scholar] [CrossRef] [PubMed]
  101. Govdi, A.I.; Sokolova, N.V.; Sorokina, I.V.; Baev, D.S.; Tolstikova, T.G.; Mamatyuk, V.I.; Fadeev, D.S.; Vasilevsky, S.F.; Nenajdenko, V.G. Synthesis of New Betulinic Acid–Peptide Conjugates and in Vivo and in Silico Studies of the Influence of Peptide Moieties on the Triterpenoid Core Activity. Med. Chem. Commun. 2015, 6, 230–238. [Google Scholar] [CrossRef]
  102. Hsu, C.L.; Fang, S.C.; Huang, H.W.; Yen, G.C. Anti-Inflammatory Effects of Triterpenes and Steroid Compounds Isolated from the Stem Bark of Hiptage Benghalensis. J. Funct. Foods 2015, 12, 420–427. [Google Scholar] [CrossRef]
  103. Vasilevsky, S.F.; Govdi, A.I.; Shults, E.E.; Shakirov, M.M.; Sorokina, I.V.; Tolstikova, T.G.; Baev, D.S.; Tolstikov, G.A.; Alabugin, I.V. Efficient Synthesis of the First Betulonic Acid-Acetylene Hybrids and Their Hepatoprotective and Anti-Inflammatory Activity. Bioorg.Med. Chem. 2009, 17, 5164–5169. [Google Scholar] [CrossRef]
  104. Sorokina, I.V.; Tolstikova, T.G.; Zhukova, N.A.; Petrenko, N.I.; Schults, E.E.; Uzenkova, N.V.; Grek, O.R.; Pozdnyakova, S.V.; Tolstikov, G.A. Betulonic Acid and Derivatives, a New Group of Agents Reducing Side Effects of Cytostatics. Dokl. Biol. Sci. 2004, 399, 434–437. [Google Scholar] [CrossRef] [PubMed]
  105. Semenov, D.E.; Zhukova, N.A.; Ivanova, E.P.; Sorokina, I.V.; Baiev, D.S.; Nepomnyashchikh, G.I.; Tolstikova, T.G.; Biryukova, M.S. Hepatoprotective Properties of Betulonic Acid Amide and Heptral in Toxic Liver Injury Induced by Carbon Tetrachloride in Combination with Ethanol. Bull. Exp. Biol. Med. 2015, 158, 336–341. [Google Scholar] [CrossRef]
  106. Anikina, L.V.; Tolmacheva, I.A.; Vikharev, Y.B.; Grishko, V.V. The Immunotropic Activity of Lupane and Oleanane 2,3-Seco-Triterpenoids. Russ. J. Bioorg. Chem. 2010, 36, 240–244. [Google Scholar] [CrossRef] [PubMed]
  107. Kazakova, O.B.; Medvedeva, N.I.; Lopatina, T.V.; Apryshko, G.N.; Pugacheva, R.B.; Yavorskaya, N.P.; Golubeva, I.S.; Tolstikov, G.A. Synthesis and the Antineoplastic Activity of Imidazolides of Betulonic Acid. Russ. J. Bioorg. Chem. 2015, 41, 305–314. [Google Scholar] [CrossRef]
  108. Borkova, L.; Adamek, R.; Kalina, P.; Drašar, P.; Dzubak, P.; Gurska, S.; Rehulka, J.; Hajduch, M.; Urban, M.; Sarek, J. Synthesis and Cytotoxic Activity of Triterpenoid Thiazoles Derived from Allobetulin, Methyl Betulonate, Methyl Oleanonate, and Oleanonic Acid. ChemMedChem 2017, 12, 390–398. [Google Scholar] [CrossRef]
  109. Newman, D.J.; Cragg, G.M. Natural Products as Sources of New Drugs from 1981 to 2014. J. Nat. Prod. 2016, 79, 629–661. [Google Scholar] [CrossRef]
  110. Barnes, E.C.; Kumar, R.; Davis, R.A. The Use of Isolated Natural Products as Scaffolds for the Generation of Chemically Diverse Screening Libraries for Drug Discovery. Nat. Prod. Rep. 2016, 33, 372–381. [Google Scholar] [CrossRef]
  111. Sbârcea, L.; Ledeţi, A.; Udrescu, L.; Văruţ, R.M.; Barvinschi, P.; Vlase, G.; Ledeţi, I. Betulonic Acid—Cyclodextrins Inclusion Complexes. J. Therm. Anal. Calorim. 2019, 138, 2787–2797. [Google Scholar] [CrossRef]
  112. Shintyapina, A.B.; Shults, E.E.; Petrenko, N.I.; Uzenkova, N.V.; Tolstikov, G.A.; Pronkina, N.V.; Kozhevnikov, V.S.; Pokrovsky, A.G. Effect of Nitrogen-Containing Derivatives of the Plant Triterpenes Betulin and Glycyrrhetic Acid on the Growth of MT-4, MOLT-4, CEM, and Hep G2 Tumor Cells. Russ. J. Bioorg. Chem. 2007, 33, 579–583. [Google Scholar] [CrossRef]
  113. Yang, S.J.; Liu, M.C.; Zhao, Q.; Hu, D.Y.; Xue, W.; Yang, S. Synthesis and Biological Evaluation of Betulonic Acid Derivatives as Antitumor Agents. Eur. J. Med. Chem. 2015, 96, 58–65. [Google Scholar] [CrossRef]
  114. Ledeţi, I.; Avram, Ş.; Bercean, V.; Vlase, G.; Vlase, T.; Ledeţi, A.; Zupko, I.; Mioc, M.; Şuta, L.M.; Şoica, C.; et al. Solid-State Characterization and Biological Activity of Betulonic Acid Derivatives. Molecules 2015, 20, 22691–22702. [Google Scholar] [CrossRef]
  115. Kommera, H.; Kaluderović, G.N.; Kalbitz, J.; Dräger, B.; Paschke, R. Small Structural Changes of Pentacyclic Lupane Type Triterpenoid Derivatives Lead to Significant Differences in Their Anticancer Properties. Eur. J. Med. Chem. 2010, 45, 3346–3353. [Google Scholar] [CrossRef]
  116. Saxena, B.B.; Zhu, L.; Hao, M.; Kisilis, E.; Katdare, M.; Oktem, O.; Bomshteyn, A.; Rathnam, P. Boc-Lysinated-Betulonic Acid: A Potent, Anti-Prostate Cancer Agent. Bioorg. Med. Chem. 2006, 14, 6349–6358. [Google Scholar] [CrossRef] [PubMed]
  117. Antimonova, A.N.; Petrenko, N.I.; Shakirov, M.M.; Pokrovskii, M.A.; Pokrovskii, A.G.; Shul’ts, E.E. Synthesis and Cytotoxic Activity of Lupane Triterpenoids Containing 1,3,4-Oxadiazoles. Chem. Nat. Compd. 2014, 50, 1016–1023. [Google Scholar] [CrossRef]
  118. Tsepaeva, O.V.; Nemtarev, A.V.; Salikhova, T.I.; Abdullin, T.I.; Grigor`eva, L.R.; Khozyainova, S.A.; Mironov, V.F. Synthesis, Anticancer, and Antibacterial Activity of Betulinic and Betulonic Acid C-28-Triphenylphosphonium Conjugates with Variable Alkyl Linker Length. Anticancer Agents Med. Chem. 2019, 20, 286–300. [Google Scholar] [CrossRef] [PubMed]
  119. Csuk, R.; Stark, S.; Nitsche, C.; Barthel, A.; Siewert, B. Alkylidene Branched Lupane Derivatives: Synthesis and Antitumor Activity. Eur. J. Med. Chem. 2012, 53, 337–345. [Google Scholar] [CrossRef] [PubMed]
  120. Zhukova, N.A.; Sorokina, I.V.; Tolstikova, T.G.; Dolgikh, M.P.; Semenov, D.E. Effect of Betulonic Acid and Its Derivatives on the Morphology of Kidneys in the Animals with Transplanted Lewis Lung Carcinoma at the Background of Polychemotherapy and without It. Chem. Sustain. Dev. 2010, 18, 403–408. [Google Scholar]
Figure 1. Biologically active pentacyclic triterpenoids in the management of different types of cancer.
Figure 1. Biologically active pentacyclic triterpenoids in the management of different types of cancer.
Ijms 22 03676 g001
Figure 2. Semi-synthesis of betulonic acid.
Figure 2. Semi-synthesis of betulonic acid.
Ijms 22 03676 g002
Figure 3. A snap shot of the in vitro and in vivo anticancer effects of the most active derivatives of betulonic acid.
Figure 3. A snap shot of the in vitro and in vivo anticancer effects of the most active derivatives of betulonic acid.
Ijms 22 03676 g003
Table 1. Betulonic acid derivatives.
Table 1. Betulonic acid derivatives.
NumberDerivativeSubstituentReference
IIjms 22 03676 i001R = (CH2)7COOH (A)
R = (CH2)8COOH (B)
R = (CH2)10COOH (C)
R = (CH2)8CONHCH(Ph)CH2COOH (D)
[112]
IIIjms 22 03676 i002n = 2 (A)
n = 3 (B)
[113]
IIIIjms 22 03676 i003 [113]
IVIjms 22 03676 i004R = C6H5 (A)
R = 3-F-C6H4 (B)
[113]
VIjms 22 03676 i005 [114]
VIIjms 22 03676 i006 [114]
VIIIjms 22 03676 i007 [114]
VIIIIjms 22 03676 i008 [114]
IXIjms 22 03676 i009 [3]
XIjms 22 03676 i010 [3]
XIIjms 22 03676 i011 [3]
XIIIjms 22 03676 i012 [115]
XIIIIjms 22 03676 i013 [116]
XIVIjms 22 03676 i014R = COOEt (A)
R = C6H5 (B)
R = 3,4-OMe-C6H3 (C)
R = 2-F-3-Cl-6-CF3-C6H2 (D)
R =4-Br-C6H4 (E)
R = Py-4-yl (F)
[117]
XVIjms 22 03676 i015R = COOEt (A)
R = C6H5 (B)
R = 3,4-OMe-C6H3 (C)
R = 2-F-3-Cl-6-CF3-C6H2 (D)
R =4-Br-C6H4 (E)
R = Py-4-yl (F)
[117]
XVIIjms 22 03676 i016 [118]
XVIIIjms 22 03676 i017 [118]
XVIIIIjms 22 03676 i018 [119]
XIXIjms 22 03676 i019 [119]
XXIjms 22 03676 i020 [119]
XXIIjms 22 03676 i021 [119]
XXIIIjms 22 03676 i022 [107]
Table 2. Role of betulonic acid derivatives among various cancer cell lines.
Table 2. Role of betulonic acid derivatives among various cancer cell lines.
CompoundType Cancer Cell LineCell LineIn VitroConclusionReference
AT-cell leukemiaMT-4Compound concentration inhibiting by 50% the tumor-cell viability (ID50) ≈ 25 µg/mLBetulonic acid amides inhibited growth of tumor cells and induced apoptosis
Betulonic acid amides inhibited growth of tumor cells and induced apoptosis
[112]
MOLT-4ID50 ≈ 10 µg/mL
CEMID50 ≈ 9 µg/mL
Liver cancerHep G2ID50 ≈ 32 µg/mL[112]
I BT-cell leukemiaMT-4ID50 ≈ 20 µg/mL
MOLT-4ID50 ≈ 16 µg/mL
CEMID50 ≈ 13 µg/mL
Liver cancerHep G2ID50 ≈ 32 µg/mL
I CT-cell leukemiaMT-4ID50 ≈ 32 µg/mL
MOLT-4ID50 ≈ 10 µg/mL
CEMID50 ≈ 8 µg/mL
Liver cancerHep G2ID50 ≈ 32 µg/mL
I DT-cell leukemiaMT-4ID50 ≈ 4 µg/mL
MOLT-4ID50 ≈ 5 µg/mL
CEMID50 ≈ 7 µg/mL
Liver cancerHep G2ID50 ≈ 25 µg/mL
II AGastric carcinomaMGC-803Half maximal inhibitory concentration (IC50) = above 20 µM
Half maximal inhibitory concentration (IC50) = above 20 µM
Antiproliferative activity was significantly reduced
Antiproliferative activity was significantly reduced
[113]
Prostate carcinomaPC3
Breast carcinomaBcap-37
MCF-7
Malignant melanomaA375
II BGastric carcinomaMGC-803
Prostate carcinomaPC3
Breast carcinomaBcap-37[113]
MCF-7
Malignant melanomaA375
IIIGastric carcinomaMGC-803IC50 ≈ 4 µMDerivative inhibited cell proliferation and induced cell apoptosis[113]
Prostate carcinomaPC3IC50 ≈ 6 µM
Breast carcinomaBcap-37IC50 ≈ 4 µM
MCF-7IC50 ≈ 5 µM
Malignant melanomaA375IC50 ≈ 8 µM
IV AGastric carcinomaMGC-803IC50 ≈ 5 µMCompounds exhibited antiproliferative ability[113]
Prostate carcinomaPC3IC50 ≈ 4 µM
Breast carcinomaBcap-37IC50 ≈ 7 µM
MCF-7IC50 ≈ 5 µM
Malignant melanomaA375IC50 ≈ 6 µM
IV BGastric carcinomaMGC-803IC50 ≈ 5 µM
Prostate carcinomaPC3IC50 ≈ 7 µM
Breast carcinomaBcap-37IC50 ≈ 6 µM
MCF-7IC50 ≈ 5 µM
Malignant melanomaA375IC50 ≈ 8 µM
VCervix adenocarcinomaHeLaInhibition percentage (Inhib) = 60%Compound showed weak cytotoxic activity[114]
Skin carcinomaA431Inhib ≈ 20%
Ovarian carcinomaA2780Inhib ≈ 46%
Breast adenocarcinomaMCF-7Inhib = 40%
VICervix adenocarcinomaHeLaInhib ≈ 26%Compounds revealed a cytotoxic effect on HeLa, A431, A2780, MCF-T tumor cell lines, except for derivatives VI and VIII. They didn’t have cytotoxic activity on the A431 cell line.[114]
Skin carcinomaA431Inhib ≈ −21%
Ovarian carcinomaA2780Inhib ≈ 51%
Breast adenocarcinomaMCF-7Inhib ≈ 29%
VIICervix adenocarcinomaHeLaInhib ≈ 55%
Skin carcinomaA431Inhib ≈ 20%
Ovarian carcinomaA2780Inhib ≈ 41%
Breast adenocarcinomaMCF-7Inhib = 40%
VIIICervix adenocarcinomaHeLaInhib ≈ 71%
Skin carcinomaA431Inhib ≈ −6%
Ovarian carcinomaA2780Inhib ≈ 75%
Breast adenocarcinomaMCF-7Inhib ≈ 71%
IXMurine leukemiaL1210IC50 = 196 µMDerivative did not inhibit tumor cell proliferation.[3]
T-cell leukemiaCEMIC50 = 204 µM
Cervix carcinomaHeLaIC50 = 160 µM
XMurine leukemiaL1210IC50 ≈ 7 µMCompounds exhibited antiproliferative activity[3]
T-cell leukemiaCEMIC50 ≈ 3 µM
Cervix carcinomaHeLaIC50 ≈ 7 µM
XIMurine leukemiaL1210IC50 ≈ 5 µM
T-cell leukemiaCEMIC50 ≈ 1 µM
Cervix carcinomaHeLaIC50 ≈ 9 µM
XIIMelanoma518A2IC50 ≈ 11 µMCompound presented cytotoxic activity on all tumor cell lines and induced apoptosis on colon cancer cell line
Head and neck tumorA253IC50 ≈ 11 µM[115]
Cervical cancerA431IC50 ≈ 10 µM
Lung cancerA549IC50 ≈ 11 µM
Ovarian cancerA2780IC50 ≈ 10 µM
Colon cancerHT-29IC50 ≈ 9 µM
Breast carcinomaMCF-7IC50 ≈ 11 µM
Anaplastic thyroid tumorSW1736IC50 ≈ 10 µM
XIIIProstate cancerLNCaPInhib ≈ 96%Boc-lysinated-betulonic acid inhibited the growth of prostate cancer cells.[116]
DU-145Inhib ≈ 93%
PC3Inhib = 77%
XIV A Human tumor cells CEM-13 ID50 = 105 µM Betulonic acid hydrazides presented low cytotoxicity[117]
T-cell leukemiaMT-4ID50 = 80 µM
Human monocytesU-937ID50 = 33 µM
XIV BHuman tumor cellsCEM-13ID50 = 72 µM
T-cell leukemiaMT-4ID50 = 32 µM
Human monocytesU-937ID50 = 22 µM
XIV CHuman tumor cellsCEM-13ID50 = 41 µM
T-cell leukemiaMT-4ID50 = 44 µM
Human monocytesU-937ID50 = 32 µM
XIV DHuman tumor cellsCEM-13ID50 = 32 µMBetulonic acid hydrazides presented the highest cytotoxic activity in several cancer cell lines[117]
T-cell leukemiaMT-4ID50 = 9 µM
Human monocytesU-937ID50 = 12 µM
XIV EHuman tumor cellsCEM-13ID50 = 35 µM
T-cell leukemiaMT-4ID50 = 14 µM
Human monocytesU-937ID50 = 23 µM
XIV FHuman tumor cellsCEM-13ID50 = 57 µMBetulonic acid hydrazide presented moderate cytotoxic activity in several cancer cell line[117]
T-cell leukemiaMT-4ID50 = 19 µM
Human monocytesU-937ID50 = 24 µM
XV AHuman tumor cellsCEM-13ID50 = 120 µMThe 1,3,4-oxadiazole derivatives with ethoxycarbonyl, phenyl and methoxyphenyl substituents exhibited low cytotoxic activity in several cancer cell line[117]
T-cell leukemiaMT-4ID50 = 79 µM
Human monocytesU-937ID50 = 26 µM
XV BHuman tumor cellsCEM-13ID50 = 63 µM
T-cell leukemiaMT-4ID50 = 62 µM
Human monocytesU-937ID50 = 35 µM
XV CHuman tumor cellsCEM-13ID50 = 52 µM
T-cell leukemiaMT-4ID50 = 45 µM
Human monocytesU-937ID50 = 28 µM
XV EHuman tumor cellsCEM-13ID50 = 33 µMThe 1,3,4-oxadiazole derivatives with p-bromophenyl or pyridyl substituents exhibited the highest cytotoxic activity[117]
T-cell leukemiaMT-4ID50 ≈ 11 µM
Human monocytesU-937ID50 ≈ 19 µM
XV FHuman tumor cellsCEM-13ID50 = 37 µM
T-cell leukemiaMT-4ID50 ≈ 16 µM
Human tumor cellsCEM-13ID50 ≈ 15 µM
XVIBreast carcinomaMCF-7IC50 = 0.3 µMBetulonic acid C-28-triphenylphosphonium derivatives presented great cytotoxic activity in several cancer cell lines[118]
Prostate cancerPC-3IC50 ≈ 0.9 µM
XVIIBreast carcinomaMCF-7IC50 ≈ 0.9 µM
Prostate cancerPC-3IC50 ≈ 0.4 µM
XVIIIMelanoma518A2IC50 = 0.5 µMC (2)-methylene derivative presented cytotoxic activity on all tumor cell lines and also pro-apoptotic activity on SW480 and A549 cell lines
Cervical cancerA431IC50 = 0.2 µM
Head and neck tumorA253IC50 = 0.4 µM
FADUIC50 = 0.5 µM
Lung carcinomaA549IC50 = 0.6 µM[119]
Ovarian cancerA2780IC50 = 0.6 µM
Colon cancerDLD-1IC50 = 0.4 µM
HCT-8IC50 = 0.2 µM
HCT-116IC50 = 0.2 µM
HT-29IC50 = 0.4 µM
SW480IC50 = 0.4 µM
Anaplastic thyroid cancer8505cIC50 = 0.6 µM
SW1736IC50 = 0.4 µM
Breast carcinomaMCF-7IC50 = 0.3 µM
LiposarcomaLIPOIC50 = 0.6 µM
Mouse fibroblastsNiH3T3IC50 = 0.8 µM
XIXMelanoma518A2IC50 ≈ 2 µMC(2)-methylene derivative presented cytotoxic activity on all tumor cell lines[119]
Cervical cancerA431IC50 ≈ 1 µM
Head and neck tumorA253IC50 ≈ 1 µM
FADUIC50 ≈ 2 µM
Lung carcinomaA549IC50 ≈ 2 µM
Ovarian cancerA2780IC50 ≈ 1 µM
Colon cancerDLD-1IC50 ≈ 2 µM
HCT-8IC50 ≈ 2 µM
HCT-116IC50 ≈ 1 µM
HT-29IC50 ≈ 2 µM
SW480IC50 ≈ 2 µM
Anaplastic thyroid cancer8505cIC50 ≈ 2 µM
SW1736IC50 ≈ 2µM
Breast carcinomaMCF-7IC50 ≈ 1 µM
LiposarcomaLIPOIC50 ≈ 2 µM
Mouse fibroblastsNiH3T3IC50 ≈ 2 µM
XXMelanoma518A2IC50 ≈ 4 µMC (2)-methylene derivative presented a low cytotoxic activity on all tumor cell lines and also pro-apoptotic activity on SW480 and A549 cell lines[119]
Cervical cancerA431IC50 ≈ 5 µM
Head and neck tumorA253IC50 ≈ 4 µM
FADUIC50 ≈ 8 µM
Lung carcinomaA549IC50 ≈ 5 µM
Ovarian cancerA2780IC50 ≈ 5 µM
Colon cancerDLD-1IC50 ≈ 6 µM
HCT-8IC50 = 9 µM
HCT-116IC50 ≈ 5 µM
HT-29IC50 ≈ 6 µM
SW480IC50 ≈ 5 µM
Anaplastic thyroid cancer8505cIC50 ≈ 5 µM
SW1736IC50 ≈ 5 µM
Breast carcinomaMCF-7IC50 ≈ 4 µM
LiposarcomaLIPOIC50 ≈ 5 µM
Mouse fibroblastsNiH3T3IC50 ≈ 5 µM
XX EMelanoma518A2IC50 ≈ 2 µMC (2)-methylene derivative encapsulated in liposomes had a threefold rise in cytotoxic activity on all tumor cell lines compared to the non-encapsulated one
Cervical cancerA431IC50 ≈ 2 µM
Head and neck tumorA253IC50 ≈ 2 µM
FADUIC50 ≈ 3 µM
Lung carcinomaA549IC50 ≈ 2 µM
Ovarian cancerA2780IC50 ≈ 3 µM
Colon cancerDLD-1IC50 ≈ 3 µM
HCT-8IC50 ≈ 2 µM
HCT-116IC50 ≈ 2 µM[119]
HT-29IC50 ≈ 2 µM
SW480IC50 ≈ 2 µM
Anaplastic thyroid cancer8505cIC50 ≈ 2 µM
SW1736IC50 ≈ 2 µM
Breast carcinomaMCF-7IC50 ≈ 2 µM
LiposarcomaLIPOIC50 ≈ 2 µM
Mouse fibroblastsNiH3T3IC50 ≈ 2 µM
XXIILung cancerA549/ATCCSurvival rate = 0.05%The 3-hydroxyimino derivative of betulonic acid inhibited the cell growth and caused death of several cancer cell linesThe 3-hydroxyimino derivative of betulonic acid inhibited the cell growth and caused death of several cancer cell lines[107]
HOP-62Survival rate ≈ 26%
NCI-H23Survival rate ≈ 17%
NCI-H322MSurvival rate ≈ 20%
NCI-H460Survival rate ≈ −2%
NCI-H522Survival rate ≈ 7%
Colon cancerCOLO 205Survival rate ≈ −58%
HCC-2998Survival rate ≈ 7%
HCT-116Survival rate ≈ 5%
HCT-15Survival rate ≈ 16%
HT29Survival rate ≈ 13%
KM12Survival rate ≈ 21%[107]
SW-620Survival rate ≈ 23%
LeukemiaCCRF-CEMSurvival rate = 11%
HL-60(TB)Survival rate ≈ −15%
K-562Survival rate ≈ 5%
MOLT-4Survival rate ≈ 6%
RPMI-8226Survival rate ≈ 9%
SRSurvival rate ≈ 6%
MelanomaLOX IMVISurvival rate ≈ 3%
MDA-MB-435Survival rate ≈ 28%
SK-MEL-28Survival rate ≈ 28%
SK-MEL-5Survival rate ≈ 15%
UACC-257Survival rate ≈ 12%
UACC-62Survival rate ≈ 26%
Breast cancerMCF7Survival rate ≈ 2%
MDA-MB-231/ATCCSurvival rate ≈ 14%[107]
T-47DSurvival rate ≈ 25%
MDA-MB-468Survival rate ≈ 8%
Nervous system cancerSF-539Survival rate ≈ 22%
U251Survival rate ≈ 15%
Prostate cancerPC-3Survival rate ≈ 26%
Ovarian cancerOVCAR-3Survival rate ≈ 25%
OVCAR-8Survival rate ≈ 17%
NCI/ADR-RESSurvival rate ≈ 14%
Renal cancer786-0Survival rate ≈ 32%
CAKI-1Survival rate ≈ 13%
SN12CSurvival rate ≈ 19%
TK-10Survival rate ≈ 18%
UO-31Survival rate ≈ 10%
Table 3. In vivo studies of betulonic acid derivatives.
Table 3. In vivo studies of betulonic acid derivatives.
CompoundExperimental Animal ModelInjected Tumor CellsConcentrationConclusionReference
XIIIAthymic male miceHuman prostate LNCaP cells30 mg/kgBoc-lysinated-betulonic acid inhibited the growth of LNCaP xenograft tumors.[116]
XXIIBDF1 hybrids (DBA2 × C57B1/6J), BALB/C, and DBA Ehrlich tumor70 mg/kgImidazolide of betulonic acid had no antineoplastic effect on[107]
Lympholeukemia P38830 mg/kg and 50 mg/kg
Breast adenocarcinoma Ca75550 mg/kgImidazolide of betulonic acid inhibited the tumoral growth
Colon adenocarcinoma AKATOL50 mg/kg
Lewis lung cancer LLC50 mg/kgImidazolide of betulonic acid had no curative effect
XXIIIC57BL/6 miceLewis pulmonary adenocarcinoma50 mg/kgMethyl ester derivatives of betulonic acid decreased the volume density of epithelial cell necrosis at 56%[120]
Publisher’s Note: MDPI stays neutral with regard to jurisdictional claims in published maps and institutional affiliations.

Share and Cite

MDPI and ACS Style

Lombrea, A.; Scurtu, A.D.; Avram, S.; Pavel, I.Z.; Turks, M.; Lugiņina, J.; Peipiņš, U.; Dehelean, C.A.; Soica, C.; Danciu, C. Anticancer Potential of Betulonic Acid Derivatives. Int. J. Mol. Sci. 2021, 22, 3676. https://doi.org/10.3390/ijms22073676

AMA Style

Lombrea A, Scurtu AD, Avram S, Pavel IZ, Turks M, Lugiņina J, Peipiņš U, Dehelean CA, Soica C, Danciu C. Anticancer Potential of Betulonic Acid Derivatives. International Journal of Molecular Sciences. 2021; 22(7):3676. https://doi.org/10.3390/ijms22073676

Chicago/Turabian Style

Lombrea, Adelina, Alexandra Denisa Scurtu, Stefana Avram, Ioana Zinuca Pavel, Māris Turks, Jevgeņija Lugiņina, Uldis Peipiņš, Cristina Adriana Dehelean, Codruta Soica, and Corina Danciu. 2021. "Anticancer Potential of Betulonic Acid Derivatives" International Journal of Molecular Sciences 22, no. 7: 3676. https://doi.org/10.3390/ijms22073676

APA Style

Lombrea, A., Scurtu, A. D., Avram, S., Pavel, I. Z., Turks, M., Lugiņina, J., Peipiņš, U., Dehelean, C. A., Soica, C., & Danciu, C. (2021). Anticancer Potential of Betulonic Acid Derivatives. International Journal of Molecular Sciences, 22(7), 3676. https://doi.org/10.3390/ijms22073676

Note that from the first issue of 2016, this journal uses article numbers instead of page numbers. See further details here.

Article Metrics

Back to TopTop