Abstract
Semi-synthetic triterpenoids, holding an amino substituted seven-membered A-ring (azepano-ring), which could be synthesized from triterpenic oximes through a Beckmann type rearrangement followed by a reduction of lactame fragment, are considered to be novel promising agents exhibiting anti-microbial, alpha-glucosidase, and butyrylcholinesterase inhibitory activities. In this study, in an attempt to develop new antitumor candidates, a series of A-ring azepano- and 3-amino-3,4-seco-derivatives of betulin, oleanolic, ursolic, and glycyrrhetinic acids were evaluated for their cytotoxic activity against five human cancer cell lines and non-malignant mouse fibroblasts by means of a colorimetric sulforhodamine assay. Azepanoallobetulinic acid amide derivative 11 was the most cytotoxic compound of this series but showed little selectivity between the different human tumor cell lines. Flow cytometry experiments showed compound 11 to act mainly by apoptosis (44.3%) and late apoptosis (21.4%). The compounds were further screened at the National Cancer Institute towards a panel of 60 cancer cell lines. It was found that compounds 3, 4, 7, 8, 9, 11, 15, 16, 19, and 20 showed growth inhibitory (GI50) against the most sensitive cell lines at submicromolar concentrations (0.20–0.94 μM), and their cytotoxic activity (LC50) was also high (1–6 μM). Derivatives 3, 8, 11, 15, and 16 demonstrated a certain selectivity profile at GI50 level from 5.16 to 9.56 towards K-562, CCRF-CEM, HL-60(TB), and RPMI-8226 (Leukemia), HT29 (Colon cancer), and OVCAR-4 (Ovarian cancer) cell lines. Selectivity indexes of azepanoerythrodiol 3 at TGI level ranged from 5.93 (CNS cancer cell lines SF-539, SNB-19 and SNB-75) to 14.89 for HCT-116 (colon cancer) with SI 9.56 at GI50 level for the leukemia cell line K-562. The present study highlighted the importance of A-azepano-ring in the triterpenic core for the development of novel antitumor agents, and a future aim to increase the selectivity profile will thus lie in the area of modifications of azepano-triterpenic acids at their carboxyl group.
1. Introduction
Demographic changes such as the growth of the world population combined with an increase in life expectancy led to an increasing number of patients suffering from oncological diseases. Thus, cancer is a one of the leading causes of death worldwide, and the number of new cases of diseases caused by cancer is expected to rise by about 70% over the next two decades [1]. Therefore, there is an urgent need of novel antitumor agents acting by novel modes of action. A promising strategy is to generate new antitumor agents from natural products. This seems particularly interesting for two reasons: On the one hand, pharmaceuticals derived from natural substances have already proven to be very effective in many cases [2], and on the other hand, this strategy results in sustainability in the sense of a green, ecologically oriented chemistry.
Natural products remain an excellent source of drugs; for example, from 1980s to date, nearly 50% of all drugs are of natural product origin. Pentacyclic triterpenoids, which are naturally occurring secondary metabolites widespread in plants, marine invertebrates, and fungi, were recently reconsidered as model compounds for the development of innovative anticancer agents. Their activity against proteins involved in tumor development enhances the opportunity to exploit these compounds as new multi-target therapeutic agents [3].
Over the past years, a large number of triterpenoids have been chemically modified in order to improve their bioactivity and bioavailability and to enhance their protective and/or therapeutic effects. Many studies reported triterpenoids including betulin and betulinic acid, oleanolic, ursolic, boswellic, maslinic, and glycyrrhetinic acids to exhibit a broad spectrum of biological activities, such as anti-inflammatory, anticancer, antimicrobial, or antidiabetic [4,5,6,7,8,9].
As far as cytotoxic properties are concerned, the presence of further functional groups seems to be necessary for pentacyclic triterpene carboxylic acid derivatives to achieve sufficiently low EC50 values. Thus, the presence of an amino substituent in ring A leads to cytotoxic but unselective compounds [10]. Simple carboxylic acid amides are often cytotoxic in micro polar concentrations and highly selective [11,12,13,14], whereas rhodamine B conjugates can reach EC50 values in the nano-molar concentration range but hold the risk of being highly cytotoxic for all types of cells [15,16].
Among these derivatives, triterpenoids, which could be synthesized from triterpenic oximes through a Beckmann type rearrangement followed by a subsequent reduction reaction holding an A-azepane ring or a 3-amino-3,4-seco-4(24)-en-fragment are a group of new and promising modifications exhibiting anti-microbial [17,18,19,20], anticancer [21,22,23,24,25,26], alpha-glucosidase [27,28] as well as butyrylcholinesterase [29] inhibitory activities.
2. Results and Discussion
2.1. Chemistry
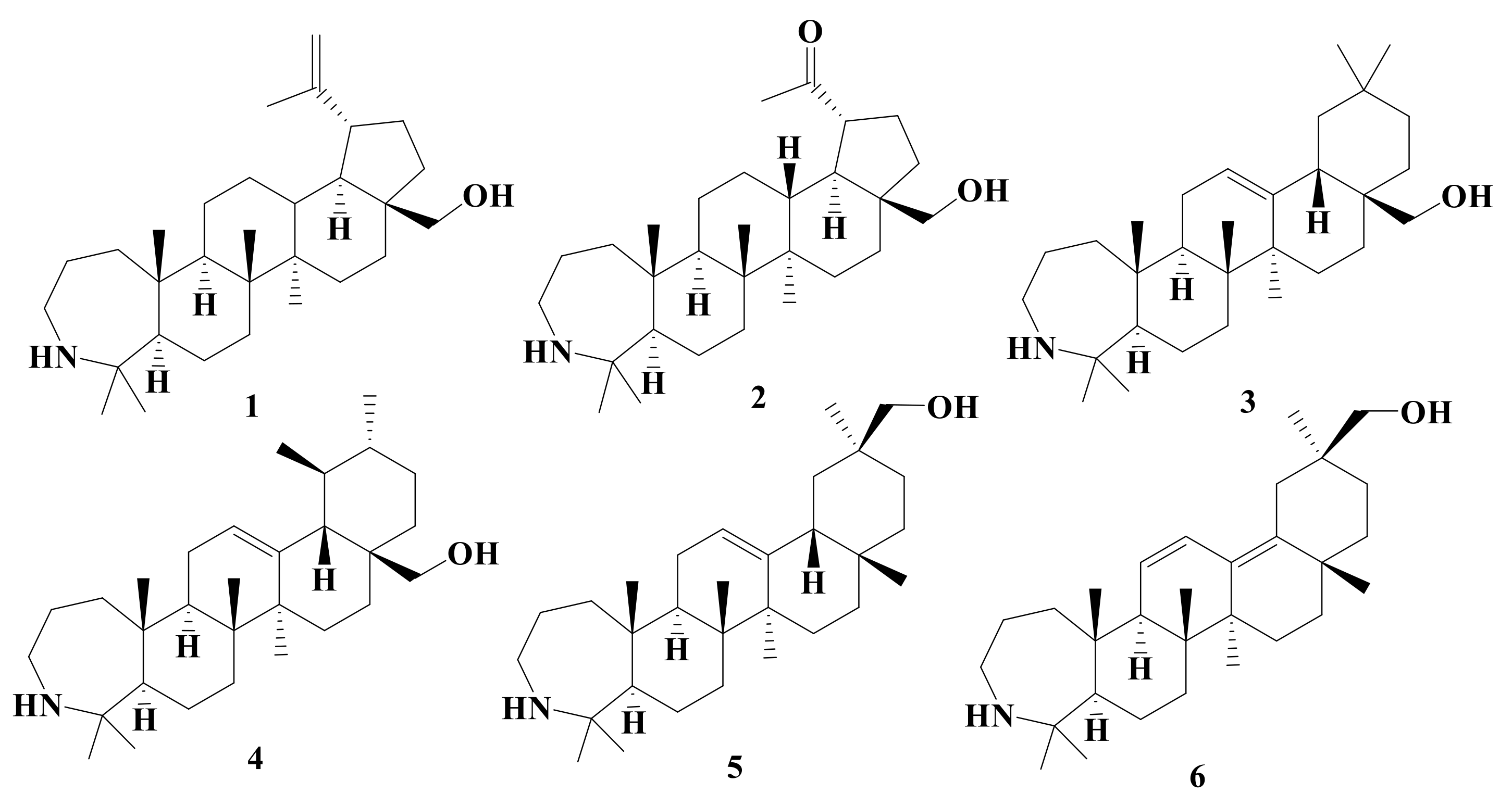
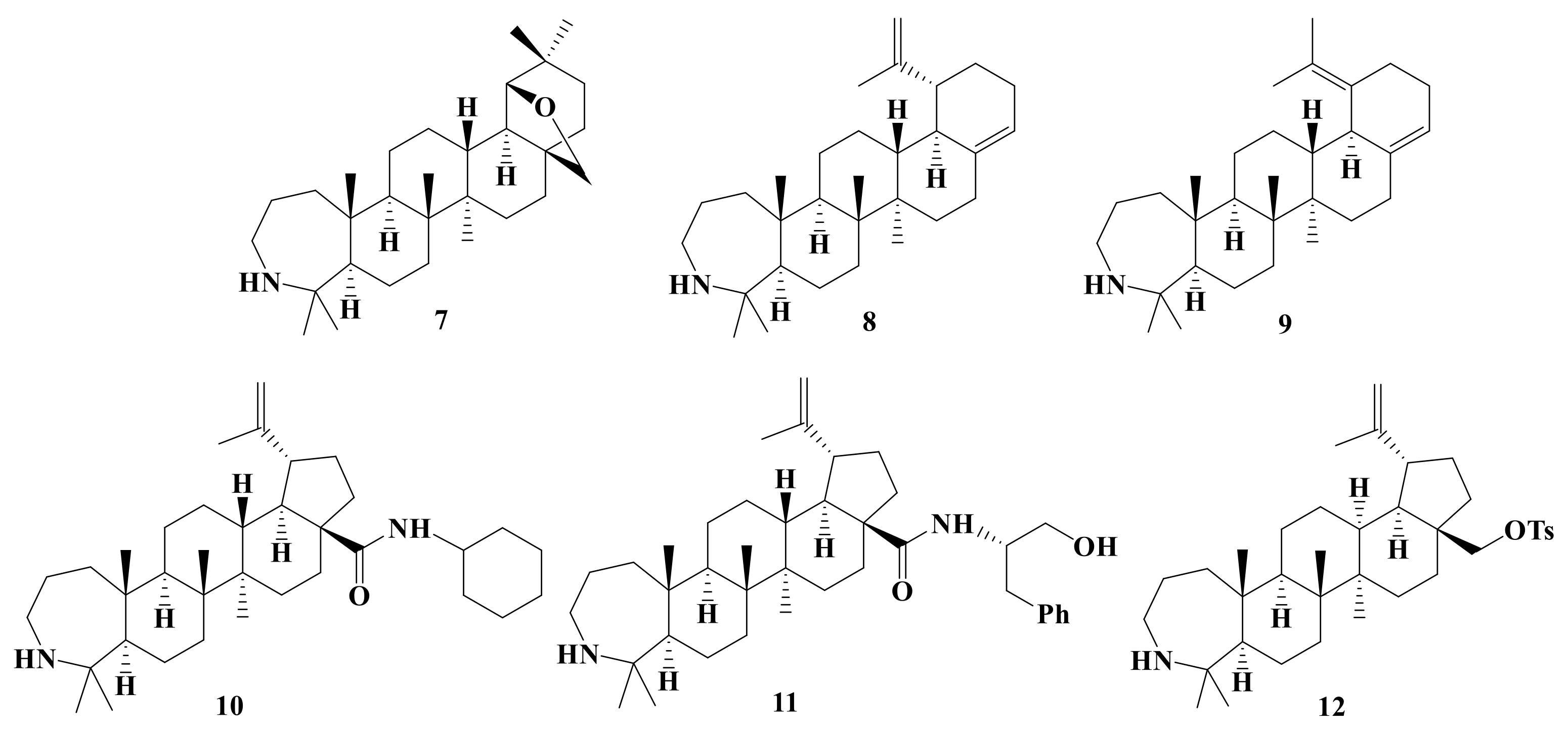
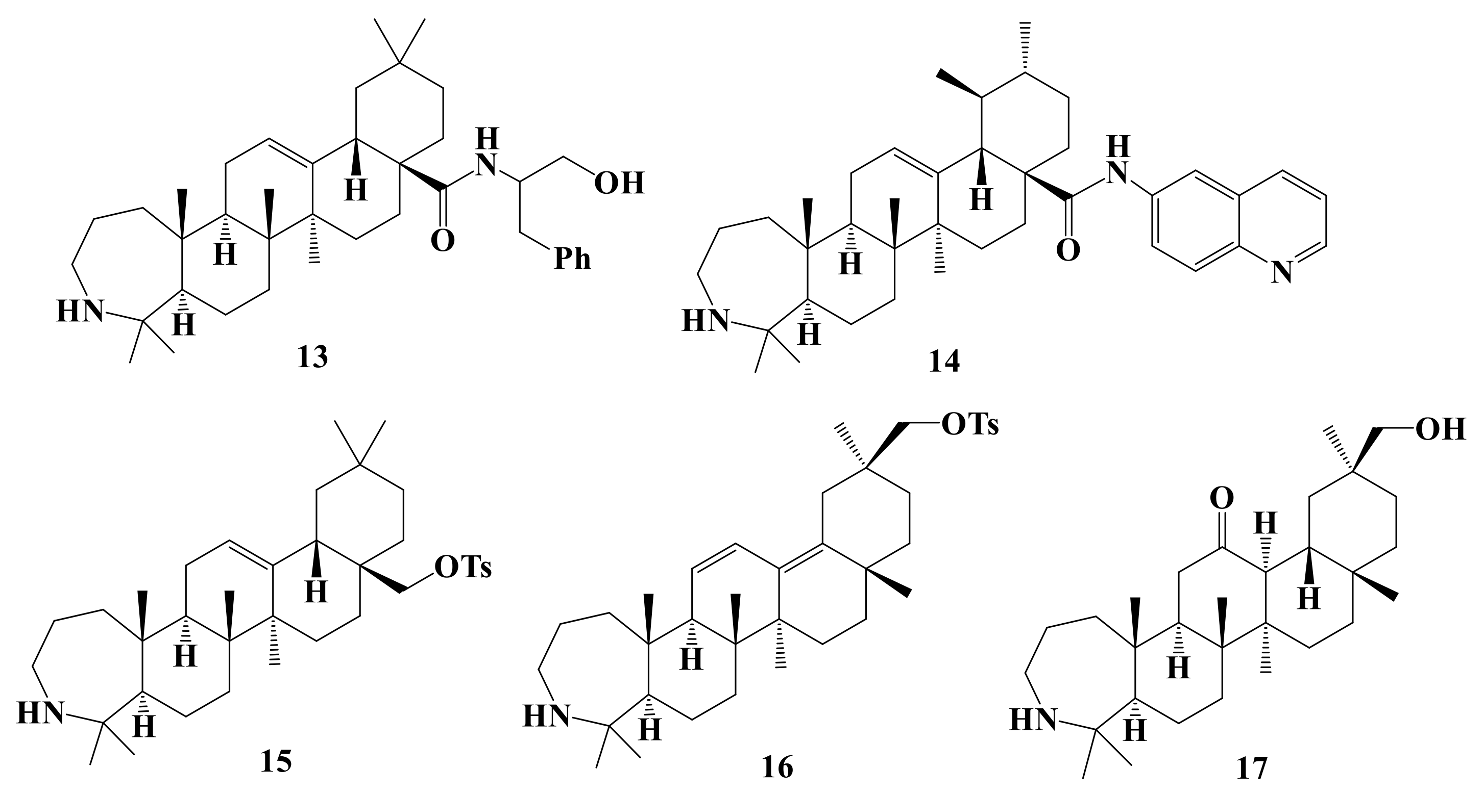
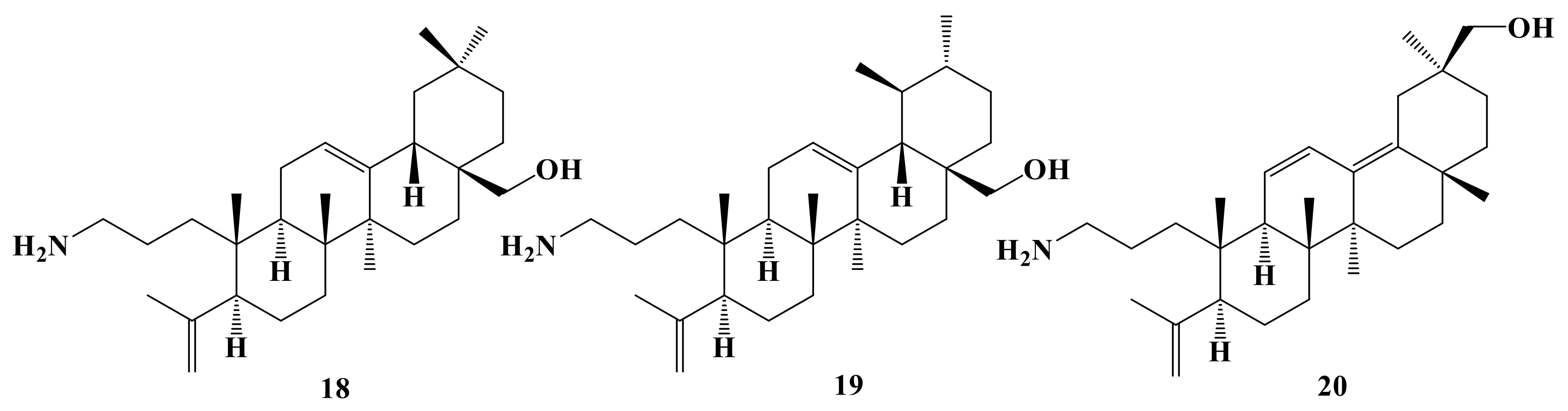
In this study, a total of 20 A-ring azepano- 1–17 and 3-amino-3,4-seco- 18–20 triterpenoids were synthesized from betulin, oleanolic, ursolic, and glycyrrhetinic acids according to methods described earlier [17,18,19,21,22,26,29]. Their structures are presented at Figure 1, Figure 2, Figure 3 and Figure 4.
Figure 1.
Azepanotriterpenic alcohols: Azepanobetulin 1, azepanomessagenin 2, azepanoerythrodiol 3, azepanouvaol 4, azepano-glycyrrhetols 5 and 6.
Figure 2.
E-ring and C28 azepanobetulin derivatives: Azepanoallobetulin 7, abeo-lupanes 8 and 9, amides 10 and 11, tosylate 12.
Figure 3.
Azepanoerythrodiol, azepanouvaol, and azepano-glycyrrhetol derivatives: Amides 13 and 14, tosylates 15 and 16, 12-ketone 17.
Figure 4.
3-Amino-3,4-seco-4(23)-en triterpenic derivatives of erythrodiol 18, uvaol 19 and glycyrrhetol-dien 20.
2.2. Biological Evaluation
2.2.1. Cytotoxic Activities on Tumor Cell Cultures (A375, HT29, MCF-7, A2780, FaDu, and NIH 3T3)
The cytotoxicity of compounds 1–20 was evaluated by means of a colorimetric sulforhodamine B (SRB) assay. For all compounds, the EC50 values were determined for the human tumor cell lines A375 (malignant melanoma), HT29 (colorectal carcinoma), MCF-7 (breast carcinoma), A2780 (ovarian carcinoma), FaDu (hypopharyngeal carcinoma), and NIH 3T3 (non-malignant mouse fibroblasts). The results are compiled in the Table 1.
Table 1.
Cytotoxicity * of compounds 1–20 against the human cancer cell lines A375, HT29, MCF-7, A2780, FaDu, and non-malignant mouse fibroblasts NIH 3T3.
The results from the SRB assays showed all compounds of good cytotoxicity with EC50 values ranging between 0.88 µM (compound 11 for FaDu cells) and 7.92 µM (compound 2 for A375 cells). Compound 11 was the most cytotoxic of this series, but this compound showed little selectivity between the different human tumor cell lines as well as to non-malignant fibroblasts. Compound 6, however, was most cytotoxic for A2780 ovarian cancer cells (EC50 = 3.93 µM) but significantly less cytotoxic for non-malignant fibroblasts (NIH 3T3, 11.68 µM) thus resulting in a selectivity factor S (EC50 (NIH 3T3)/EC50 (A2780) of approximately 3 (Table 2).
Table 2.
Selectivity * of compounds 1, 2, 4–6, 8–20.
2.2.2. Cell Cycle Analysis
Due to its good cytotoxic properties, compound 11 was subjected to flow cytometric measurements (Annexin V/PI assay). Thereby, A375 cells were treated with 2 × EC50 concentrations of 11 for 48 h, and the results from these experiments are depicted in Figure 5.
Figure 5.
Annexin V/PI flow cytometry of 11 employing A375 cells (48 h of incubation, 2 × EC50 concentration); control experiment (left), incubation with 11 (right); R1 necrotic cells, R2 late apoptotic cells, R3 viable cells, and R4 apoptotic cells.
Thereby, the BL1-A signal corresponds to the FITC signal for annexin V (x-axis) while PI is detected at BL3-A (y-axis). Thus, cells in R1 correspond to necrotic cells, those in R2 to late apoptosis, cells in R3 are viable cells, and cells in R4 have died from apoptosis. Thus, from the 48 h incubation of 11, 44.3% of the A375 cells have died by apoptosis and 21.4% by late apoptosis. The number of necrotic cells remained small (1.1%).
2.2.3. NCI-60 Anticancer Drug Screening
Taking into account the results of cytotoxicity of triterpenoids 1–20 against the five human cancer cell lines and non-malignant mouse fibroblasts, they were subjected to the NCI-60 Anticancer Drug Screening. Compounds 1–9, 11–17, 19, and 20 were selected by National Cancer Institute (NCI, Bethesda, Rockville, MD, USA) Developmental Therapeutic Program (DTP) and tested at one dose assay (10−5 M) towards a panel of approximately 60 cancer cell lines representing different cancer types: Leukemia, melanoma, lung, colon, CNS, ovarian, renal, prostate, and breast cancers. Primary anticancer assays were performed according to the NCI protocol as described elsewhere (see e.g., http://dtp.nci.nih.gov (accessed on 16 October 2019)) [30,31,32,33,34]. The compounds were added at a single concentration and the cell cultures were incubated for 48 h. The end point determinations were made with a protein binding dye, sulforhodamine B (SRB). The results for each compound are reported as the percent growth (GP %) of treated cells compared to untreated control cells (negative numbers indicate cell kill). The range of percent growth shows the lowest and the highest percent growth found among the different cancer cell lines (Table 3 and Figures S1–S18 Supporting Material).
Table 3.
Anticancer screening data in concentration 10 µM.
The anticancer activity results showed that the cytotoxic effect of the studied azepano derivatives was directly dependent on the type of triterpenic core. So, the azepanomessagenin 2 did not show antiproliferative activity, while the azepanobetulin 1 and azepanoerythrodiol 3 were effective for 28 and 30 cancer cell lines. The anticancer activity of the azepano-glycyrretols was strongly influenced by the presence of an additional double bond in the triterpene core—thus, azepano-glycyrretol 5 was active only towards 8 human tumor cell lines, while diene 6 demonstrated a pronounced antiproliferative effect against the whole NCI-60 cancer cell line panel. Azepanouvaol 4 was also highly active against 57 cell lines. The transformation of azepanobetulin 1 into azepanoallobetulin 7 led to a significant increase in activity against 52 cancer cell lines, whereas the anticancer effect of abeo-lupanes 8 and 9 influenced by the position of the double bond. Thus, abeo-lupane 8 effectively acted against 55 cell lines, while its regio-isomer 9 was active only towards 36 lines. Modification at the C28 position of azepanobetulin derivatives increased the activity of the initial compounds—the introduction of a tosyl fragment (compound 12) led to activity against 39 cancer cell lines, and the amide fragment (compound 11) was effective against the all NCI-60 cancer cell line panel. At the same time, the introduction of amide fragments into the C28 position of the azepanotriterpenic alcohols 4 and 5 led to a general decrease of anticancer effect-amide 13 was active only towards 6 tumor cell lines, and amide 14-against 45 cell lines. Replacement of the hydroxyl group to tosyl as in compounds 15 and 16 also led to a decrease in antiproliferative activity-these compounds inhibited 22 and 40 cell lines, respectively. Oxidation of the double bond to a 12-oxo group (compound 17) led to a complete loss of cytotoxic activity, whereas 3-amino-3,4-seco-4(23)-en triterpenic derivatives of uvaol 19 and glycyrrhetol 20 showed an activity against 45 and 52 cancer cell lines, respectively.
Finally, 15 A-azepano- 1, 3, 4, 6, 7–9, 11, 12, 14–16, and 3-amino-3,4-seco-triterpenoids 19, 20 were selected in an advanced assay against a panel of approximately sixty tumor cell lines at 10-fold dilutions of five concentrations (100 µM, 10 µM, 1 µM, 0.1 µM, and 0.01 µM). The percentage of growth was evaluated spectrophotometrically versus controls not treated with the test agents after 48-h exposure and using SRB protein assay to estimate cell viability or growth. Three antitumor activity dose-response parameters were calculated for each cell line: GI50—molar concentration of the compound that inhibits 50% net cell growth; TGI—molar concentration of the compound leading to the total inhibition; and LC50—molar concentration of the compound leading to 50% net cell death (presented in negative logarithm). Furthermore, mean graph midpoints (MG_MID) were calculated for each of the parameters, giving an average activity parameter over all cell lines for the tested compound. For the MG_MID calculation, insensitive cell lines were included with the highest concentration tested (see the Supporting Material Figures S19–S32 and Tables S1–S3).
Thus, all compounds exhibited significant antiproliferative effect towards human cancer cell lines, and among them, the highest cytotoxic activity in five-dose testing mode screening was observed for compounds 3, 4, 7, 8, 9, 11, 15, 16, 19, and 20 with growth inhibitory (GI50) against the most sensitive cell lines at submicromolar concentrations (0.20–0.94 μM). Cytotoxic activity (LC50) of these compounds against the most sensitive cancer cell lines was also high (1–6 μM). The compounds 3 and 19 showed a broad spectrum of growth inhibition activity (GI50 < 10 μM) against all human tumor cells with average GI50/TGI/LC50 values of 3.83/15.49/39.56 µM (3), and 1.42/3.89/16.97 µM (20), respectively. Compounds 1, 4, 7, 8, 9, 11, 12, 14, 16, and 20 inhibited the growth of all tested cancer cell lines and showed inhibition activity (GI50 < 3 μM) against all human tumor cell lines with average GI50/TGI/LC50 values of 1.70/3.34/17.48 μM (1), 1.65/3.31/7.64 µM (4), 1.68/3.64/17.17 µM (7), 1.73/3.53/16.89 µM (8), 1.75/3.35/6.43 µM (9), 1.29/2.64/5.62 µM (11), 1.77/3.43/5.84 µM (12), 1.72/3.35/6.52 µM (14), 1.72/3.52/19.43 µM (16), and 1.66/3.36/17.30 µM (20), respectively. Compounds 6 and 15 demonstrated growth inhibition activity (GI50 < 15 μM) towards all cancer cell lines with average GI50/TGI/LC50 values of 4.21/13.17/41.94 µM (6) and 1.99/3.80/29.02 µM (15) (Tables S1–S3 Supporting Material). Mean GI50 values for these compounds in comparison with standard anticancer agent’s doxorubicin and 5-fluorouracil [35] are given at Table S3 Supporting Material.
The selectivity index (SI) was calculated by dividing the full panel MG_MID60 (μM) of the compounds 1, 3, 4, 6–9, 11, 12, 14–16, 19, and 20 by their individual subpanel MG_MID of the cell line (μM) and is to be considered as a measure of the compounds’ selectivity (Table 4). Ratios between 3 and 6 mean moderate selectivity, ratios greater than 6 indicate high selectivity towards the corresponding cell line, while compounds not meeting either of these criteria are rated nonselective [36]. In this context, the compounds 4, 6–9, 12, 14, and 20 in the present study were found to be nonselective at all the GI50, TGI, and LC50 levels (selectivity indexes 0.57–1.59, 0.66–1.52 and 0.17–2.95, respectively). Based on the selectivity ratio, compound 11 in the study was found to be moderate selective for a growth inhibition regarding the leukemia subpanel with a selectivity ratio at GI50 level of 3.79, otherwise, it was found lower selective against other cell panels. Compound 3 was moderately selective at the TGI and LC50 levels towards colon, CNS, prostate cancer, and melanoma (selectivity indexes 3.59–4.69 and 3.18–4.63, respectively), as well as compounds 1, 15, 16, and 19 at the LC50 level (selectivity indexes 3.09–4.81).
Table 4.
The selectivity indexes of compounds 1, 3, 4, 6, 7–9, 11, 12, 14–16, 19, and 20 on the growth of tumor cell lines subpanel at the GI50, TGI, and LC50 levels.
Furthermore, derivatives 3, 8, 11, 15, and 16 demonstrated a certain selectivity profile towards some individual cell lines at GI50 and TGI levels. GI50 level was from 5.16 to 6.45 for HL (60)-TB, K-562, CCRF-CEM, RPMI-8226 (leukemia), HT29 (colon cancer), and OVCAR-4 (ovarian cancer). At the same time, TGI level of moderate selectivity was observed for compound 11 towards leukemia cell line HL(60)-TB (SI = 5.74). Selectivity indexes of compound 3 at TGI level was 5.93–14.89 for HCT-116 (colon cancer), SF-539, SNB-19, and SNB-75 (CNS cancer). However, for compound 3 high selectivity at GI50 level was observed only for leukemia cell line K-562 (SI = 9.56) (Table 5).
Table 5.
The selectivity indexes of compounds 3, 8, 11, 15, and 16 on the growth of individual tumor cell lines at the GI50 and TGI levels (SI (GI50) ≥ 5.00).
A raw comparison of the activities of studied compounds with respect to the activity reported for the standard drugs doxorubicin and 5-fluorouracil, used by NCI as control [35] reflects that the activity displayed for these compounds was lower than for doxorubicin except for colon cancer HCT-15 and ovarian cancer NCI/ADR-RES (compound 11). Comparison of the compounds 1, 3, 4, 6, 7–9, 11, 12, 14–16, 19, and 20 activities with 5-fluorouracil showed that the studied compounds were more active against cell lines of leukemia CCRF-CEM, HL(60)-TB (exception compound 4), K-562; NSCL cancer HOP-92, NCI-H226, and NCI-H522; CNS cancer SNB-75 (exception compounds 3 and 6); melanoma SK-MEL-2 and UACC-257; ovarian cancer OVCAR-4 (exception 3 and 6), OVCAR-5, and SK-OV-3; renal cancer RXF 393 (exception 3); prostate cancer PC-3 (exception 1); breast cancer MDA-MB-31/ATCC, HS 578T, BT-549, and T-47D. Furthermore, compound 11 also showed the best inhibition of colon cancer SW-620, CNS cancer SF-268, melanoma M14, ovarian cancer OVCAR-8, renal cancer 786-0 cell lines; compound 15—renal cancer TK-10; compound 19—CNS cancer SF-268, melanoma M14, SK-MEL-28, ovarian cancer IGROV1, OVCAR-8, renal cancer TK-10; compound 20—CNS cancer SF-268 and renal cancer TK-10 (Table S1 Supporting Material).
3. Materials and Methods
3.1. Pharmacological Studies
3.1.1. SRB Assay
In short, exponentially growing cells were seeded into 96-well plates on day 0 at the appropriate cell densities to prevent confluence of the cells during the period of experiment. After 24 h, the cells were treated with serial dilutions of the compounds (0–30 µM) for 72 h. The final concentration of DMSO never exceeded 0.5%, which was non-toxic to the cells. After a 72 h treatment, the supernatant medium from the 96-well plates was discarded, and the cells were fixed with 10% TCA. For a thorough fixation, the plates were allowed to rest at 4 °C. After fixation, the cells were washed in a strip washer. The washing was done four times with water using alternate dispensing and aspiration procedures. The plates were then dyed with 100 µL of 0.4% SRB for about 20 min. After dying, the plates were washed with 1% acetic acid to remove the excess of the dye and allowed to air-dry overnight. Tris base solution (200 µL, 10 mM) was added to each well and absorbance was measured at λ = 570 nm (using a 96 well plate reader, Tecan Spectra, Crailsheim, Germany). The percentages of surviving cells relative to untreated controls were determined. The EC50 values were averaged from three independent experiments performed each in triplicate calculated from semi logarithmic dose response curves applying a non-linear 4P Hills-slope equation (GraphPad Prism5; the variables top and bottom were set to 100 and 0, respectively).
3.1.2. Annexin V/PI Assay
Approximately 600,000 cells (A375) were seeded in cell culture flasks and were allowed to grow for 1 day. After removing of the medium, the substance loaded medium was added, and the flasks were incubated for 48 h. All cells were harvested, centrifuged (1200 rpm, 5 min), and washed twice (PBS (w/w)). Approximately 100,000 cells were washed with annexin V bounding buffer (BD Biosciences®) and treated with a propidium iodide solution (3 μL, 1 mg/mL) and annexin V (5 μL, BD Biosciences®) for 15 min at room temperature in the dark. After adding annexin V bounding buffer (400 μL) the suspension was submitted to a FACS measurement. Calculation was performed as suggested from the supplier (BD Biosciences®).
3.1.3. In Vitro Cancer Screen in NCI, USA
The screening is a two-stage process, beginning with the evaluation of all compounds against the 60 cell lines at a single dose of 10−5 M. Compounds that exhibit significant growth inhibition are evaluated against the 60-cell panel at five concentration levels. The human tumor cell lines of the cancer-screening panel are grown in RPMI 1640 medium containing 5% fetal bovine serum and 2 mM L-glutamine. For a typical screening experiment, cells are inoculated into 96-well micro titer plates in 100 mL at plating densities ranging from 5000 to 40,000 cells/well depending on the doubling time of individual cell lines. After cell inoculation, the micro titer plates are incubated at 37 °C, 5% CO, 95% air, and 100% relative humidity for 24 h prior to addition of experimental drugs. After 24 h, two plates of each cell line are fixed in situ with TCA, to represent a measurement of the cell population for each cell line at the time of drug addition (Tz). Experimental drugs are solubilized in dimethylsulfoxide at 400-fold the desired final maximum test concentration and stored frozen prior to use. At the time of drug addition, an aliquot of frozen concentrate is dissolved and diluted to twice the desired final maximum test concentration with complete medium containing 50 mg/mL gentamicin. Additional four, 10-fold, or ½ log serial dilutions are made to provide a total of five drug concentrations plus control. Aliquots of 100 mL of these different drug dilutions are added to the appropriate micro titer wells already containing 100 mL of medium, resulting in the required final drug concentrations. Following drug addition, the plates are incubated for an additional 48 h at 37 °C, 5% CO2, 95% air, and 100% relative humidity. For adherent cells, the assay is terminated by the addition of cold TCA. Cells are fixed in situ by the gentle addition of 50 mL of cold 50% TCA (final concentration, 10% TCA) and incubated for 60 min at 4 °C. The supernatant is discarded, and the plates are washed five times with tap water and air dried. Sulforhodamine B (SRB) solution (100 mL) at 0.4% in 1% acetic acid is added to each well, and plates are incubated for 10 min at room temperature. After staining, unbound dye is removed by washing five times with 1% acetic acid and the plates are air dried. Bound stain is subsequently solubilized with 10 mM Trizma base, and the absorbance is read on an automated plate reader at a wavelength of 515 nM. For suspension cells, the methodology is the same except that the assay is terminated by fixing settled cells at the bottom of the wells by gently adding 50 mL of 80% TCA (final concentration, 16% TCA). Using the seven absorbance measurements [time zero (Tz), control growth (C), and test growth in the presence of drug at the five concentration levels (Ti)], the percentage growth is calculated at each of the drug concentrations levels. Percentage growth inhibition is calculated as:
- [(Ti_Tz)/(C_Tz)]_100 for concentrations for which Ti_Tz
- [(Ti_Tz)/Tz]_100 for concentrations for which Ti < Tz
Three dose response parameters are calculated for each experimental agent. Growth inhibition of 50% (GI50) is calculated from [(Ti_Tz)/(C_Tz)]_100 ¼ 50, which is the drug concentration resulting in a 50% reduction in the net protein increase (as measured by SRB staining) in control cells during the drug incubation. The drug concentration resulting in total growth inhibition (TGI) is calculated from (Ti ¼ Tz). The LC50 (concentration of drug resulting in a 50% reduction in the measured protein at the end of the drug treatment as compared to that at the beginning) indicating a net loss of cells following treatment is calculated from
- [(Ti_Tz)/Tz]_100¼_50
Values are calculated for each of these three parameters if the level of activity is reached; however, if the effect is not reached or is exceeded, the value for that parameter is expressed as greater or less than the maximum or minimum concentration tested [30,31,32,33,34].
4. Conclusions
In summary, a series of A-ring azepano- and 3,4-seco-derivatives of betulin, oleanolic, ursolic, and glycyrrhetinic acids were evaluated as cytotoxic agents. Azepanoallobetulinic acid amide derivative 11 was the most cytotoxic compound of this series but showed little selectivity between the different human tumor cell lines, while azepano-glycyrrhetol-diene 6 was most cytotoxic for A2780 ovarian cancer cells (EC50 = 3.93 µM) but significantly less cytotoxic for non-malignant fibroblasts (NIH 3T3, 11.68 µM) thus resulting in a selectivity factor S (EC50 (NIH 3T3)/EC50 (A2780) of approximately 3. Flow cytometry experiments showed compound 11 to act mainly by apoptosis (44.3%) and late apoptosis (21.4%). The further screening toward the NCI-60 cancer cell panel showed submicromolar level of GI50 for compounds 3, 4, 7, 8, 9, 11, 15, 16, 19, and 20 (range from 0.20 to 0.94 μM) against the most sensitive cell lines, while LC50 was also high (1–6 μM). Derivatives 3, 8, 11, 15, and 16 demonstrated a certain selectivity profile from 5.16 to 9.56 toward individual cell lines of Leukemia, Colon cancer and Ovarian cancer. Selectivity of a leader compound azepanoerythrodiol 3 at TGI level ranged from 5.93 for SF-539, SNB-19, and SNB-75 (CNS cancer) to 14.89 for HCT-116 (colon cancer). Thus, A-ring-azepano triterpenoids are interesting starting structures for the synthesis of biologically active molecules, especially of cytotoxic agents.
Supplementary Materials
The following are available online at https://www.mdpi.com/1422-0067/22/4/1714/s1, Figures S1–S32: Anticancer screening data of compounds 1–9, 11–17, 19 and 20, Table S1–S3: Influence of compounds 1, 3, 4, 6, 7–9, 11, 12, 14–16, 19, 20 on the growth of individual tumor cell panel.
Author Contributions
O.K. and R.C. brought the idea, managed the research, and prepared the manuscript; I.S. prepared compounds for screening, E.T. draft preparation, S.H. and L.F. conducted biological experiments. All authors have read and agreed to the published version of the manuscript.
Funding
We acknowledge the financial support within the funding program Open Access Publishing by the German Research Foundation (DFG). This work was supported by Federal program AAAA-A20-120012090023-8.
Institutional Review Board Statement
Not applicable.
Informed Consent Statement
Not applicable.
Acknowledgments
We thank the National Cancer Institute for the screening of cytotoxicity of compounds 1–9, 11–17, 19 and 20.
Conflicts of Interest
The authors declare no conflict of interest.
References
- World Health Organization (WHO). 2017. Available online: http://www.who.int/mediacentre/factsheets/fs297/en/ (accessed on 20 November 2017).
- Newman, D.J.; Cragg, G.M. Natural products as sources of new drugs from 1981 to 2014. J. Nat. Prod. 2016, 79, 629–661. [Google Scholar] [CrossRef] [PubMed]
- Peron, G.; Marzaro, G.; Dall, S.A. Known triterpenes and their derivatives as scaffolds for the development of new therapeutic agents for cancer. Curr. Med. Chem. 2018, 25, 1259–1269. [Google Scholar] [CrossRef]
- Kamble, S.M.; Goyal, S.N.; Patil, C.R. Multifunctional pentacyclic triterpenoids as adjuvants in cancer chemotherapy: A review. RSC Adv. 2014, 4, 33370–33382. [Google Scholar] [CrossRef]
- Ren, Y.; Kinghorn, A.D. Natural product triterpenoids and their semi-synthetic derivatives with potential anticancer activity. Planta Med. 2019, 85, 802–814. [Google Scholar] [CrossRef]
- Csuk, R.; Deigner, H.P. The potential of click reactions for the synthesis of bioactive triterpenes. Bioorg. Med. Chem. Lett. 2019, 29, 949–958. [Google Scholar] [CrossRef]
- Hodon, J.; Borkova, L.; Pokorny, J.; Kazakova, A.; Urban, M. Design and synthesis of pentacyclic triterpene conjugates and their use in medicinal research. Eur. J. Med. Chem. 2019, 182, 111653. [Google Scholar] [CrossRef] [PubMed]
- Amiri, S.; Dastghaib, S.; Ahmadi, M.; Mehrbod, P.; Khadem, F.; Behrouj, H.; Aghanoori, M.R.; Machaj, F.; Ghamsari, M.; Rosik, J.; et al. Betulin and its derivatives as novel compounds with different pharmacological effects. Biotech. Adv. 2019. [Google Scholar] [CrossRef]
- Salvador, J.A.R.; Leal, A.S.; Valdeira, A.S.; Gonçalves, B.M.F.; Alho, D.P.S.; Figueiredo, S.A.C.; Silvestre, S.M.; Mendes, V.I.S. Oleanane-, ursane-, and quinone methide friedelane-type triterpenoid derivatives: Recent advances in cancer treatment. Eur. J. Med. Chem. 2017, 142, 95–130. [Google Scholar] [CrossRef]
- Sahn, M.; Grupe, A.; Al-Harrasi, A.; Csuk, R. Synthesis and cytotoxicity of 3-amino-glycyrrhetinic acid derivatives. Mediterran. J. Chem. 2018, 7, 39–55. [Google Scholar] [CrossRef]
- Kahnt, M.; Loesche, A.; Serbian, I.; Hoenke, S.; Fischer, L.; Al-Harrasi, A.; Csuk, R. The cytotoxicity of oleanane derived aminocarboxamides depends on their aminoalkyl substituents. Steroids 2019, 149, 108422. [Google Scholar] [CrossRef]
- Hoenke, S.; Heise, N.V.; Kahnt, N.; Deigner, H.-P.; Csuk, R. Betulinic acid derived amides are highly cytotoxic, apoptotic and selective. Eur. J. Med. Chem. 2020, 207, 112815. [Google Scholar] [CrossRef]
- Sommerwerk, S.; Heller, L.; Kuhfs, J.; Csuk, R. Selective killing of cancer cells with triterpenoic acid amides – the substantial role of an aromatic moiety alignment. Eur. J. Med. Chem. 2016, 122, 452–464. [Google Scholar] [CrossRef]
- Siewert, B.; Pianowski, E.; Obernauer, A.; Csuk, R. Towards cytotoxic and selective derivatives of maslinic acid. Bioorg. Med. Chem. 2014, 22, 594–615. [Google Scholar] [CrossRef]
- Hoenke, S.; Serbian, I.; Deigner, H.-P.; Csuk, R. Mitocanic di- and triterpenoid rhodamine B conjugates. Molecules 2020, 25, 5443. [Google Scholar] [CrossRef] [PubMed]
- Sommerwerk, S.; Heller, L.; Kerzig, C.; Kramell, A.E.; Csuk, R. Rhodamine B conjugates of triterpenoic acids are cytotoxic mitocans even at nanomolar concentrations. Eur. J. Med. Chem. 2017, 127, 1–9. [Google Scholar] [CrossRef] [PubMed]
- Medvedeva, N.I.; Kazakova, O.B.; Lopatina, T.V.; Smirnova, I.E.; Giniyatullina, G.V.; Baikova, I.P.; Kataev, V.E. Synthesis and antimycobacterial activity of triterpenic A-ring azepanes. Eur. J. Med. Chem. 2018, 143, 464–472. [Google Scholar] [CrossRef]
- Kazakova, O.B.; Rubanik, L.V.; Smirnova, I.E.; Savinova, O.V.; Petrova, A.V.; Poleschuk, N.N.; Khusnutdinova, E.F.; Boreko, E.I.; Kapustsina, Y.M. Synthesis and in vitro activity of oleanane type derivatives against Chlamydia trachomatis. Org. Commun. 2019, 12, 169–175. [Google Scholar] [CrossRef]
- Kazakova, O.B.; Brunel, J.M.; Khusnutdinova, E.F.; Negrel, S.; Giniyatullina, G.V.; Lopatina, T.V.; Petrova, A.V. A-ring modified triterpenoids and their spermidine-aldimines with strong antibacterial activity. Molbank 2019, M1078. [Google Scholar] [CrossRef]
- Kazakova, O.; Lopatina, T.; Giniyatullina, G.; Mioc, M.; Soica, C. Antimycobacterial activity of azepanobetulin and its derivative: In vitro, in vivo, ADMET and docking studies. Bioorg. Chem. 2020, 104, 104209. [Google Scholar] [CrossRef] [PubMed]
- Kazakova, O.B.; Giniyatullina, G.V.; Medvedeva, N.I.; Lopatina, T.V.; Baikova, I.P.; Tolstikov, G.A.; Apryshko, G.N. Synthesis and cytotoxicity of triterpenoids seven membered cyclic amines. Russ. J. Bioorg. Chem. 2014, 40, 217–225. [Google Scholar] [CrossRef] [PubMed]
- Lopatina, T.V.; Medvedeva, N.I.; Baikova, I.P.; Iskhakov, A.S.; Kazakova, O.B. Synthesis and cytotoxicity of O- and N-acyl derivatives of azepanobetulin. Russ. J. Bioorg. Chem. 2019, 45, 292–301. [Google Scholar] [CrossRef]
- Giniyatullina, G.V.; Kazakova, O.B.; Baikova, I.P.; Yamansarov, E.Y.; Osterman, I.A.; Komarova, E.S.; Skvortsov, D.A.; Saltikova, I.V.; Majouga, A.G.; Ivanenkov, Y.A. Synthesis and cytotoxicity of N-methylpiperazinylamide azepanobetulinic acid. Nat. Prod. Comm. 2019, 14, 1–5. [Google Scholar] [CrossRef]
- Smirnova, I.E.; Petrova, A.V.; Kazakova, O.B. Synthesis and cytotoxicity of A-azepanodammaradiene. Chem. Nat. Compd. 2019, 55, 883–889. [Google Scholar] [CrossRef]
- Kazakova, O.B.; Lopatina, T.V.; Baikova, I.P.; Zileeva, Z.R.; Vakhitova, Y.V.; Suponitsky, K.Y. Synthesis, evaluation of cytotoxicity, and antimicrobial activity of A-azepano- and A-seco-3-amino-C28-aminolupanes. Med. Chem. Res. 2020, 29, 1507–1519. [Google Scholar] [CrossRef]
- Giniyatullina, G.V.; Mustafin, A.G.; Kazakova, O.B. Synthesis and Antitumor Activity of 3-Amino-3,4-Seco-Lupa-4(23),20(29)-Diene Derivatives. Chem. Nat. Comp. 2020, 1, 84–88. [Google Scholar] [CrossRef]
- Khusnutdinova, E.F.; Smirnova, I.E.; Giniyatullina, G.V.; Medvedeva, N.I.; Yamansarov, E.Y.; Kazakov, D.V.; Kazakova, O.B.; Linh, P.T.; Viet, Q.; Huong, D.T. Inhibition of alpha-glucosidase by synthetic derivatives of lupane, oleanane, ursane and dammarane triterpenoids. Nat. Prod. Comm. 2016, 11, 33–35. [Google Scholar] [CrossRef]
- Kazakova, O.B.; Giniyatullina, G.V.; Mustafin, A.G.; Babkov, D.A.; Sokolova, E.V.; Spasov, A.A. Evaluation of Cytotoxicity and α-Glucosidase Inhibitory Activity of Amide and Polyamino-Derivatives of Lupane Triterpenoids. Molecules 2020, 25, 4833. [Google Scholar] [CrossRef] [PubMed]
- Kazakova, O.; Smirnova, I.; Lopatina, T.; Giniyatullina, G.; Petrova, A.; Khusnutdinova, E.; Csuk, R.; Serbian, I.; Loesche, A. Synthesis and cholinesterase inhibiting potential of A-ring azepano- and 3-amino-3,4-seco-triterpenoids. Bioorg. Chem. 2020, 101, 104001. [Google Scholar] [CrossRef]
- Grever, M.R.; Schepartz, S.A.; Chabner, B.A. The National Cancer Institute: Cancer drug discovery and development program. Semin. Oncol. 1992, 19, 622–638. [Google Scholar]
- Boyd, M.R.; Paull, K.D. Some practical considerations and applications of the National Cancer Institute in vitro anticancer drug discovery screen. Drug Rev. Res. 1995, 34, 91–109. [Google Scholar] [CrossRef]
- Monks, A.; Scudiero, D.; Skehan, P.; Shoemaker, R.; Paull, K.; Vistica, D.; Hose, C.; Jangley, J.; Cronisie, P.; Viagro-Wolff, A.; et al. Feasibility of a highflux anticancer drug screen using a diverse panel of cultured human tumor cell lines. J. Natl. Cancer Inst. 1991, 83, 757–766. [Google Scholar] [CrossRef] [PubMed]
- Monks, A.; Scudiero, D.A.; Johnson, G.S.; Paull, K.D.; Sausville, E.A. The NCI anti-cancer drug screen: A smart screen to identify effectors of novel targets. Anti Cancer Drug Des. 1997, 12, 533–541. [Google Scholar]
- Weinstein, J.N.; Myers, T.G.; O’Connor, P.M.; Friend, S.H., Jr.; Fornace, A.J.; Kohn, K.W.; Fojo, T.; Bates, S.E.; Rubinstein, L.V.; Anderson, N.L.; et al. An Information-Intensive Approach to the Molecular Pharmacology of Cancer. Science 1997, 275, 343–349. [Google Scholar] [CrossRef] [PubMed]
- DTP Databases and Search Tools. 2018. Available online: https://dtp.cancer.gov/databases_tools/data_search.htm (accessed on 1 November 2018).
- Rostom, S.A.F. Synthesis and in vitro antitumor evaluation of some indeno[1,2-c]pyrazol(in)es substituted with sulfonamide, sulfonylurea(-thiourea) pharmacophores, and some derived thiazole ring systems. Bioorg. Med. Chem. 2006, 14, 6475–6485. [Google Scholar] [CrossRef] [PubMed]
Publisher’s Note: MDPI stays neutral with regard to jurisdictional claims in published maps and institutional affiliations. |
© 2021 by the authors. Licensee MDPI, Basel, Switzerland. This article is an open access article distributed under the terms and conditions of the Creative Commons Attribution (CC BY) license (http://creativecommons.org/licenses/by/4.0/).




