Substrates of the Human Brain Proton-Organic Cation Antiporter and Comparison with Organic Cation Transporter 1 Activities
Abstract
:1. Introduction
2. Results
2.1. Testing 26 Possible Substrates by Applying 6 Criteria for H + OC Antiporter Substrates
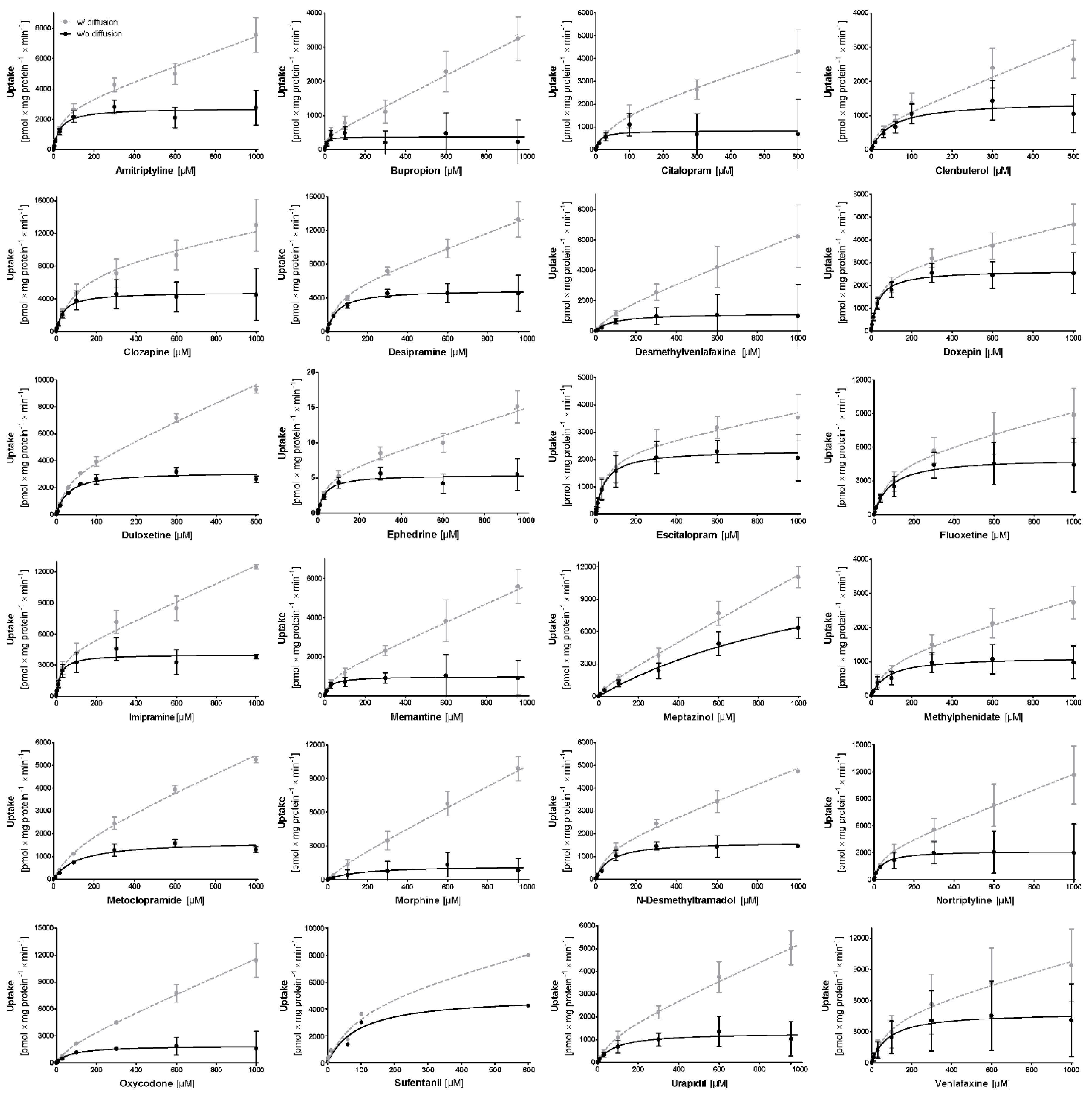
2.2. Testing Further 46 Possible Substrates by Antiport (Trans-Stimulation) Assays
2.3. Relationship between H + OC Antiporter Substrates and OCT1 Substrates
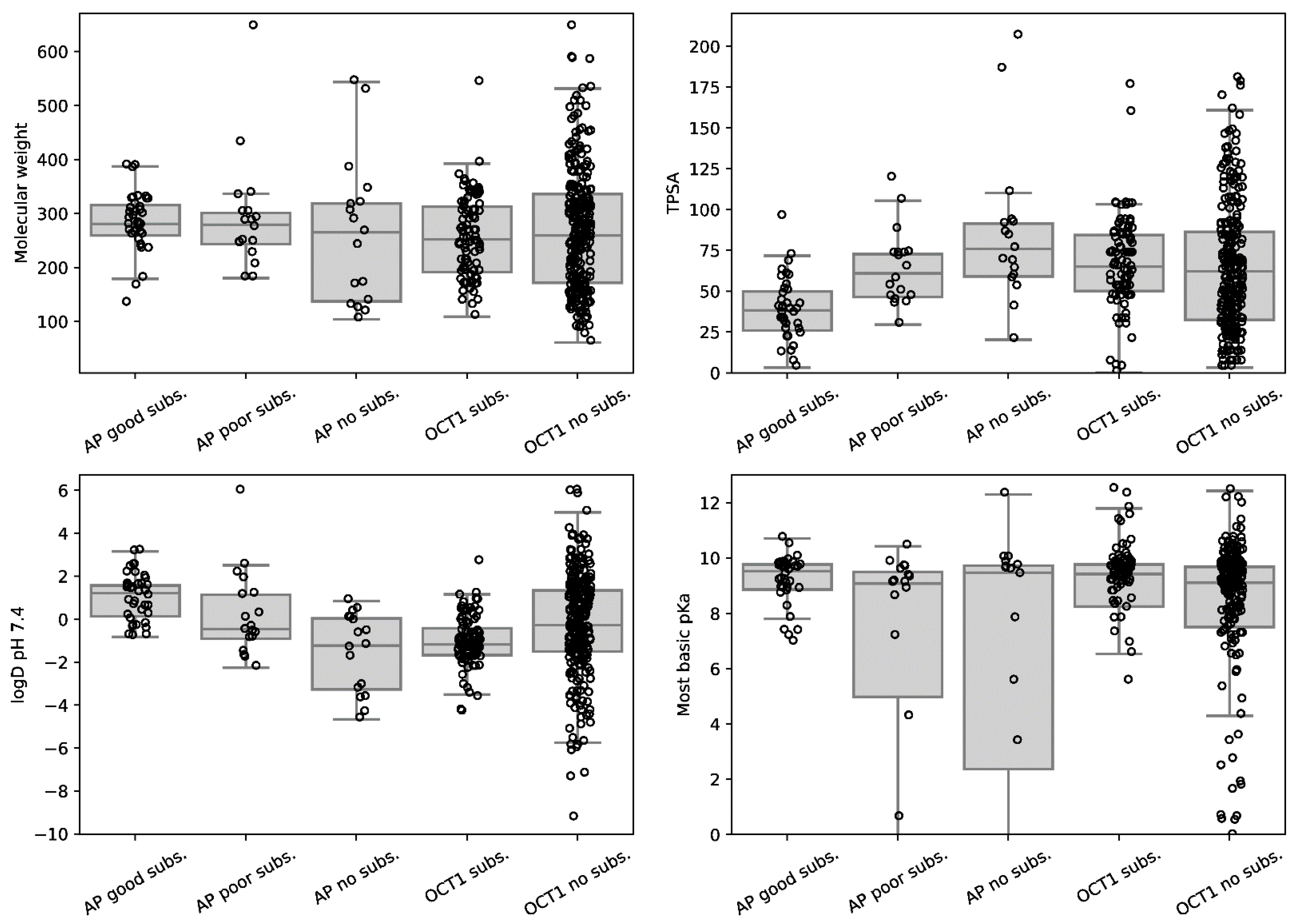
2.4. Chemical Characteristics of H + OC Antiporter Substrates
3. Discussion
4. Materials and Methods
Author Contributions
Funding
Institutional Review Board Statement
Data Availability Statement
Acknowledgments
Conflicts of Interest
References
- Jensen, O.; Brockmöller, J.; Dücker, C. Identification of Novel High-Affinity Substrates of OCT1 Using Machine Learning-Guided Virtual Screening and Experimental Validation. J. Med. Chem. 2021, 64, 2762–2776. [Google Scholar] [CrossRef]
- Jensen, O.; Gebauer, L.; Brockmöller, J.; Dücker, C. Relationships between Inhibition, Transport and Enhanced Transport via the Organic Cation Transporter 1. Int. J. Mol. Sci. 2022, 23, 2007. [Google Scholar] [CrossRef] [PubMed]
- Koepsell, H. Organic Cation Transporters in Health and Disease. Pharmacol. Rev. 2020, 72, 253–319. [Google Scholar] [CrossRef]
- Li, Y.; Zhou, Y.; Jiang, J.; Wang, X.; Fu, Y.; Gong, T.; Sun, X.; Zhang, Z. Mechanism of Brain Targeting by Dexibuprofen Prodrugs Modified with Ethanolamine-Related Structures. J. Cereb. Blood Flow Metab. 2015, 35, 1985–1994. [Google Scholar] [CrossRef] [PubMed]
- Goldberg, M.J.; Spector, R.; Chiang, C.K. Transport of Diphenhydramine in the Central Nervous System. J. Pharmacol. Exp. Ther. 1987, 240, 717–722. [Google Scholar]
- Yamazaki, M.; Fukuoka, H.; Nagata, O.; Kato, H.; Ito, Y.; Terasaki, T.; Tsuji, A. Transport Mechanism of an H1-Antagonist at the Blood-Brain Barrier: Transport mechanism of mepyramine using the carotid injection technique. Biol. Pharm. Bull. 1994, 17, 676–679. [Google Scholar] [CrossRef] [PubMed] [Green Version]
- Chapy, H.; Andre, P.; Decleves, X.; Scherrmann, J.M.; Cisternino, S. A Polyspecific Drug/Proton Antiporter Mediates Diphenhydramine and Clonidine Transport at the Mouse Blood-Retinal Barrier. Br. J. Pharmacol. 2015, 172, 4714–4725. [Google Scholar] [CrossRef] [PubMed]
- Tega, Y.; Yuzurihara, C.; Kubo, Y.; Akanuma, S.I.; Ehrhardt, C.; Hosoya, K.I. Functional Expression of Nicotine Influx Transporter in A549 Human Alveolar Epithelial Cells. Drug Metab. Pharmacokinet. 2016, 31, 99–101. [Google Scholar] [CrossRef] [PubMed]
- Mizuuchi, H.; Katsura, T.; Hashimoto, Y.; Inui, K. Transepithelial Transport of Diphenhydramine across Monolayers of the Human Intestinal Epithelial Cell Line Caco-2. Pharm. Res. 2000, 17, 539–545. [Google Scholar] [CrossRef] [PubMed]
- Zhou, F.; Tanaka, K.; Soares, M.J.; You, G. Characterization of an Organic Anion Transport System in a Placental Cell Line. Am. J. Physiol. Endocrinol. Metab. 2003, 285, E1103–E1109. [Google Scholar] [CrossRef] [Green Version]
- Wu, C.; Sun, X.; Feng, C.; Liu, X.; Wang, H.; Feng, F.; Zhang, J. Proton-Coupled Organic Cation Antiporter Contributes to the Hepatic Uptake of Matrine. J. Pharm. Sci. 2016, 105, 1301–1306. [Google Scholar] [CrossRef]
- Fischer, W.; Neubert, R.H.; Brandsch, M. Clonidine Accumulation in Human Neuronal Cells. Eur. J. Pharm. Sci. 2007, 32, 291–295. [Google Scholar] [CrossRef] [PubMed]
- Shimomura, K.; Okura, T.; Kato, S.; Couraud, P.O.; Schermann, J.M.; Terasaki, T.; Deguchi, Y. Functional Expression of a Proton-coupled Organic Cation (H+/OC) Antiporter in Human Brain Capillary Endothelial Cell Line hCMEC/D3, a Human Blood-Brain Barrier Model. Fluids Barriers CNS 2013, 10, 8. [Google Scholar] [CrossRef] [PubMed] [Green Version]
- Weksler, B.B.; Subileau, E.A.; Perriere, N.; Charneau, P.; Holloway, K.; Leveque, M.; Tricoire-Leignel, H.; Nicotra, A.; Bourdoulous, S.; Turowski, P.; et al. Blood-Brain Barrier-Specific Properties of a Human Adult Brain Endothelial Cell Line. FASEB J. 2005, 19, 1872–1874. [Google Scholar] [CrossRef]
- Chapy, H.; Smirnova, M.; Andre, P.; Schlatter, J.; Chiadmi, F.; Couraud, P.O.; Scherrmann, J.M.; Decleves, X.; Cisternino, S. Carrier-Mediated Cocaine Transport at the Blood-Brain Barrier as a Putative Mechanism in Addiction Liability. Int. J. Neuropsychopharmacol. 2014, 18, pyu001. [Google Scholar] [CrossRef] [Green Version]
- Sachkova, A.; Doetsch, D.A.; Jensen, O.; Brockmöller, J.; Ansari, S. How Do Psychostimulants Enter the Human Brain? Analysis of the Role of the Proton-Organic Cation Antiporter. Biochem. Pharmacol. 2021, 192, 114751. [Google Scholar] [CrossRef] [PubMed]
- Chapy, H.; Goracci, L.; Vayer, P.; Parmentier, Y.; Carrupt, P.A.; Decleves, X.; Scherrmann, J.M.; Cisternino, S.; Cruciani, G. Pharmacophore-Based Discovery of Inhibitors of a Novel Drug/Proton Antiporter in Human Brain Endothelial hCMEC/D3 Cell Line. Br. J. Pharmacol. 2015, 172, 4888–4904. [Google Scholar] [CrossRef] [PubMed]
- Tega, Y.; Tabata, H.; Kurosawa, T.; Kitamura, A.; Itagaki, F.; Oshitari, T.; Deguchi, Y. Structural Requirements for Uptake of Diphenhydramine Analogs into hCMEC/D3 Cells Via the Proton-Coupled Organic Cation Antiporter. J. Pharm. Sci. 2021, 110, 397–403. [Google Scholar] [CrossRef]
- Hitchcock, S.A.; Pennington, L.D. Structure-Brain Exposure Relationships. J. Med. Chem. 2006, 49, 7559–7583. [Google Scholar] [CrossRef]
- Meyer, M.J.; Neumann, V.E.; Friesacher, H.R.; Zdrazil, B.; Brockmöller, J.; Tzvetkov, M.V. Opioids as Substrates and Inhibitors of the Genetically Highly Variable Organic Cation Transporter OCT1. J. Med. Chem. 2019, 62, 9890–9905. [Google Scholar] [CrossRef] [PubMed]
- Hendrickx, R.; Johansson, J.G.; Lohmann, C.; Jenvert, R.M.; Blomgren, A.; Borjesson, L.; Gustavsson, L. Identification of Novel Substrates and Structure-Activity Relationship of Cellular Uptake Mediated by Human Organic Cation Transporters 1 and 2. J. Med. Chem. 2013, 56, 7232–7242. [Google Scholar] [CrossRef]
- Matthaei, J.; Brockmöller, J.; Steimer, W.; Pischa, K.; Leucht, S.; Kullmann, M.; Jensen, O.; Ouethy, T.; Tzvetkov, M.V.; Rafehi, M. Effects of Genetic Polymorphism in CYP2D6, CYP2C19, and the Organic Cation Transporter OCT1 on Amitriptyline Pharmacokinetics in Healthy Volunteers and Depressive Disorder Patients. Front. Pharmacol. 2021, 12, 688950. [Google Scholar] [CrossRef]
- Pizzagalli, M.D.; Bensimon, A.; Superti-Furga, G. A Guide to Plasma Membrane Solute Carrier Proteins. FEBS J. 2021, 288, 2784–2835. [Google Scholar] [CrossRef] [PubMed]
- Cong, J.; Ruan, Y.; Lyu, Q.; Qin, X.; Qi, X.; Liu, W.; Kang, L.; Zhang, J.; Wu, C. A Proton-Coupled Organic Cation Antiporter is Involved in the Blood-Brain Barrier Transport of Aconitum Alkaloids. J. Ethnopharmacol. 2020, 252, 112581. [Google Scholar] [CrossRef] [PubMed]
- Tun, T.; Kang, Y.S. Imperatorin is Transported through Blood-Brain Barrier by Carrier-Mediated Transporters. Biomol. Ther. 2017, 25, 441–451. [Google Scholar] [CrossRef] [PubMed] [Green Version]
- Urich, E.; Lazic, S.E.; Molnos, J.; Wells, I.; Freskgard, P.O. Transcriptional Profiling of Human Brain Endothelial Cells Reveals Key Properties Crucial for Predictive In Vitro Blood-Brain Barrier Models. PLoS ONE 2012, 7, e38149. [Google Scholar] [CrossRef] [PubMed] [Green Version]
- Hildebrandt, A.; Remmer, H.; Estabrook, R.W. Cytochrome P-450 of Liver Microsomes—One pigment or many. Biochem. Biophys. Res. Commun. 1968, 30, 607–612. [Google Scholar] [CrossRef]
- Kurosawa, T.; Higuchi, K.; Okura, T.; Kobayashi, K.; Kusuhara, H.; Deguchi, Y. Involvement of Proton-Coupled Organic Cation Antiporter in Varenicline Transport at Blood-Brain Barrier of Rats and in Human Brain Capillary Endothelial Cells. J. Pharm. Sci. 2017, 106, 2576–2582. [Google Scholar] [CrossRef] [PubMed] [Green Version]
- Faessel, H.; Ravva, P.; Williams, K. Pharmacokinetics, Safety, and Tolerability of Varenicline in Healthy Adolescent Smokers: A multicenter, randomized, double-blind, placebo-controlled, parallel-group study. Clin. Ther. 2009, 31, 177–189. [Google Scholar] [CrossRef]
- Agema, B.C.; Oosten, A.W.; Sassen, S.D.T.; Rietdijk, W.J.R.; van der Rijt, C.C.D.; Koch, B.C.P.; Mathijssen, R.H.J.; Koolen, S.L.W. Population Pharmacokinetics of Oxycodone and Metabolites in Patients with Cancer-Related Pain. Cancers 2021, 13, 2768. [Google Scholar] [CrossRef] [PubMed]
- Smirnova, M.; Goracci, L.; Cruciani, G.; Federici, L.; Decleves, X.; Chapy, H.; Cisternino, S. Pharmacophore-Based Discovery of Substrates of a Novel Drug/Proton-Antiporter in the Human Brain Endothelial hCMEC/D3 Cell Line. Pharmaceutics 2022, 14, 255. [Google Scholar] [CrossRef] [PubMed]
- Hiranaka, S.; Tega, Y.; Higuchi, K.; Kurosawa, T.; Deguchi, Y.; Arata, M.; Ito, A.; Yoshida, M.; Nagaoka, Y.; Sumiyoshi, T. Design, Synthesis, and Blood-Brain Barrier Transport Study of Pyrilamine Derivatives as Histone Deacetylase Inhibitors. ACS Med. Chem. Lett. 2018, 9, 884–888. [Google Scholar] [CrossRef] [PubMed]
- Smith, P.K.; Krohn, R.I.; Hermanson, G.T.; Mallia, A.K.; Gartner, F.H.; Provenzano, M.D.; Fujimoto, E.K.; Goeke, N.M.; Olson, B.J.; Klenk, D.C. Measurement of Protein Using Bicinchoninic Acid. Anal. Biochem. 1985, 150, 76–85. [Google Scholar] [CrossRef]
- Kim, S.; Chen, J.; Cheng, T.; Gindulyte, A.; He, J.; He, S.; Li, Q.; Shoemaker, B.A.; Thiessen, P.A.; Yu, B.; et al. PubChem in 2021: New data content and improved web interfaces. Nucleic Acids Res. 2021, 49, D1388–D1395. [Google Scholar] [CrossRef] [PubMed]






| Substance | MW | LogD at pH 7.4 | TPSA | Net Charge at pH 7.4 | Strongest Basic pKa |
|---|---|---|---|---|---|
| Amitriptyline | 277.4 | 2.5 | 3.24 | 1 | 9.8 |
| Bupropion | 239.7 | 2.4 | 29.1 | 1 | 8.2 |
| Citalopram | 324.4 | 1.4 | 36.26 | 1 | 9.8 |
| Clenbuterol | 277.2 | 0.1 | 58.28 | 1 | 9.6 |
| Clozapine | 326.8 | 3.1 | 30.87 | 0 | 7.4 |
| Desipramine | 266.4 | 1.4 | 15.27 | 1 | 10 |
| Desmethylvenlafaxine | 263.4 | 0.9 | 43.7 | 1 | 9 |
| Doxepin | 279.4 | 1.5 | 12.47 | 1 | 9.8 |
| Duloxetine | 297.4 | 1.9 | 21.26 | 1 | 9.7 |
| Ephedrine | 165.2 | −0.8 | 32.26 | 1 | 9.5 |
| Escitalopram | 324.4 | 1.4 | 36.26 | 1 | 9.8 |
| Fluoxetine | 309.3 | 1.8 | 21.26 | 1 | 9.8 |
| Imipramine | 280.4 | 2.5 | 6.48 | 1 | 9.2 |
| Memantine | 179.3 | −0.8 | 26.02 | 1 | 10.7 |
| Meptazinol | 233.4 | 1.6 | 23.47 | 1 | 9.2 |
| Methylphenidate | 233.3 | 0.6 | 38.33 | 1 | 9.1 |
| Metoclopramide | 299.8 | −0.3 | 67.59 | 1 | 9 |
| Metoprolol | 267.4 | −0.5 | 50.72 | 1 | 9.7 |
| Morphin | 285.3 | −0.6 | 52.93 | 1 | 9.1 |
| N-Desmethyltramadol | 249.4 | −0.4 | 41.49 | 1 | 9.9 |
| Nortriptyline | 263.4 | 1.6 | 12.03 | 1 | 10.5 |
| Oxycodone | 315.4 | −0.4 | 59 | 1 | 8.8 |
| Pyrazinamide | 123.1 | −1.2 | 68.87 | 0 | −0.6 |
| Sufentanil | 386.6 | 2.1 | 32.78 | 1 | 8.9 |
| Urapidil | 387.5 | 0.6 | 68.36 | 1 | 7.8 |
| Venlafaxine | 277.4 | 1.1 | 32.7 | 1 | 9.1 |
| Additional substrates tested by antiport (trans-stimulation) assays only | |||||
| Acebutolol | 336.4 | −0.7 | 87.66 | 1 | 9.7 |
| Acyclovir | 225.2 | −1.6 | 114.76 | 0 | 0.6 |
| Amiodaron | 645.3 | 6 | 42.68 | 1 | 9.1 |
| Atropin | 289.4 | −0.4 | 49.77 | 1 | 9.4 |
| Betaine | 117.1 | −3.7 | 40.13 | 0 | 14 |
| Bisoprolol | 325.4 | 0 | 59.95 | 1 | 9.7 |
| Buflomedil | 307.4 | 0.6 | 48.00 | 1 | 8.7 |
| Choline | 104.2 | −4.7 | 20.23 | 1 | 14 * |
| Daunorubicin | 527.5 | 0.9 | 185.8 | 1 | 10 |
| Dihydrocodeine | 301.4 | −0.4 | 41.93 | 1 | 9.3 |
| Dobutamine | 301.4 | 1.2 | 72.72 | 1 | 9.3 |
| Doxorubicin | 543.5 | 0 | 206.1 | 1 | 10 |
| Eletriptan | 382.5 | 1.6 | 53.17 | 1 | 9.6 |
| Ethambutol | 204.3 | −2.3 | 64.52 | 1 | 9.6 |
| Etomidate | 244.3 | 2.5 | 44.12 | 0 | 4.3 |
| Fenoterol | 303.4 | 0.3 | 92.95 | 1 | 9.6 |
| Formoterol | 344.4 | 0 | 90.82 | 1 | 9.8 |
| Frovatriptan | 243.3 | −1.7 | 70.91 | 1 | 10.4 |
| Hydrocodone | 299.4 | 0.2 | 38.77 | 1 | 9.2 |
| Hydromorphone | 285.3 | 0 | 49.77 | 1 | 9.1 |
| Ipratropium | 332.5 | −1.8 | 46.53 | 1 | 14 * |
| Isoniazid | 137.1 | −0.7 | 68.01 | 0 | 3.4 |
| Ketamine | 237.7 | 3.1 | 29.10 | 0 | 7.2 |
| Labetalol | 328.4 | 1.3 | 95.58 | 1 | 9.8 |
| Levetiracetam | 170.2 | −0.6 | 63.40 | 0 | −1.6 |
| Meropenem | 383.5 | −4.4 | 110.2 | 0 | 9.4 |
| Metformin | 129.2 | −3.7 | 91.49 | 1 | 12.3 |
| Methylscopolamin | 318.4 | −3.3 | 59.06 | 1 | 14 * |
| Milnacipran | 246.4 | −0.9 | 46.33 | 1 | 9.8 |
| Nortilidine | 259.3 | 1.5 | 38.33 | 1 | 8.9 |
| Ondansetron | 293.4 | 2.1 | 39.82 | 0 | 7.3 |
| Paraxanthine | 180.2 | 0.2 | 67.23 | 0 | −1.1 |
| Paroxetin | 329.4 | 0.8 | 39.72 | 1 | 9.8 |
| Phenylephrine | 167.2 | −1.4 | 52.49 | 1 | 9.7 |
| Pindolol | 248.3 | −0.5 | 57.28 | 1 | 9.7 |
| Pirbuterol | 240.3 | −1.8 | 85.61 | 1 | 9.6 |
| Piritramide | 430.6 | 1.9 | 73.36 | 1 | 8.9 |
| Propranolol | 259.3 | 0.4 | 41.49 | 1 | 9.7 |
| Ranitidin | 314.4 | 0.4 | 83.58 | 1 | 7.8 |
| Scopolamin | 303.4 | 0.8 | 62.30 | 0 | 7 |
| Theophyllin | 180.2 | −0.9 | 69.30 | 0 | −0.8 |
| Thiamine | 265.4 | −3.1 | 75.91 | 1 | 5.5 |
| Tilidine | 273.4 | 2.1 | 29.54 | 1 | 8.6 |
| Tranylcypromine | 133.2 | −0.8 | 26.02 | 1 | 9.6 |
| Trimethoprim | 290.3 | 1.1 | 105.5 | 1 | 7.2 |
| Zolmitriptan | 287.4 | −0.1 | 57.36 | 1 | 9.5 |
| Trans DPH * | Trans MDAI | Cis DPH | Cis Imip | Cis Mema | FCCP | |||||||
|---|---|---|---|---|---|---|---|---|---|---|---|---|
| Substance | M | SD | M | SD | M | SD | M | SD | M | SD | M | SD |
| Amitriptyline | 0.15 | 0.08 | 0.03 | 0.03 | 0.66 | 0.18 | 0.51 | 0.28 | 0.7 | 0.2 | 0.72 | 0.06 |
| Bupropion | 0.25 | 0.12 | 0.09 | 0.08 | 0.27 | 0.04 | 0.25 | 0.06 | 0.3 | 0.1 | 0.44 | 0.22 |
| Citalopram | 0.16 | 0.07 | 0.1 | 0.01 | 0.27 | 0.02 | 0.13 | 0.03 | 0.3 | 0 | 0.72 | 0.04 |
| Clenbuterol | 0.36 | 0.15 | 0.07 | 0.02 | 0.33 | 0.14 | 0.37 | 0.17 | 0.5 | 0.2 | 0.54 | 0.01 |
| Clozapin | 0.16 | 0.07 | 0.03 | 0.02 | 0.75 | 0.08 | 0.66 | 0.18 | 0.8 | 0.1 | 0.67 | 0.1 |
| Desipramine | 0.18 | 0.1 | 0.1 | 0.07 | 0.57 | 0.14 | 0.24 | 0.03 | 0.6 | 0.1 | 0.83 | 0.04 |
| Desmethylvenlafaxine | 0.49 | 0.08 | 0.61 | 0.34 | 0.82 | 0.23 | 0.67 | 0.26 | 1 | 0.1 | 0.87 | 0.14 |
| Doxepin | 0.13 | 0.06 | 0.1 | 0.01 | 0.33 | 0.03 | 0.15 | 0.03 | 0.4 | 0 | 0.76 | 0.05 |
| Duloxetin | 0.1 | 0.01 | 0.1 | 0.09 | 0.78 | 0.06 | 0.01 | 0 | 0.8 | 0.1 | 1 | 0.03 |
| Ephedrine | 0.36 | 0.03 | 0.24 | 0.16 | 0.46 | 0.08 | 0.34 | 0.08 | 0.6 | 0.3 | 0.74 | 0.16 |
| Escitalopram | 0.23 | 0.08 | 0.13 | 0.07 | 0.32 | 0.02 | 0.15 | 0.04 | 0.4 | 0.1 | 0.79 | 0.06 |
| Fluoxetine | 0.1 | 0.03 | 0.13 | 0.12 | 0.73 | 0.05 | 0.39 | 0.04 | 0.8 | 0 | 1.03 | 0.17 |
| Imipramine | 0.13 | 0.02 | 0 | 0 | 0.36 | 0.07 | NM | NM | 0.5 | 0.1 | 0.75 | 0.09 |
| Memantine | 0.24 | 0.01 | 0.14 | 0.06 | 0.23 | 0.11 | 0.2 | 0.13 | NM | NM | 0.64 | 0.12 |
| Meptazinol | 0.4 | 0.04 | 0.41 | 0.31 | 0.29 | 0.06 | 0.18 | 0.04 | 0.3 | 0 | - | - |
| Methylphenidate | 0.33 | 0.05 | 0.24 | 0.09 | 0.6 | 0.23 | 0.55 | 0.16 | 0.6 | 0.2 | 0.58 | 0.14 |
| Metoclopramide | 0.6 | 0.17 | 0.42 | 0.35 | 0.29 | 0.17 | 0.21 | 0.22 | 0.4 | 0.2 | 0.48 | 0.25 |
| Metoprolol | 0.44 | 0.09 | 0.31 | 0.1 | 0.81 | - | 0.52 | - | 0.5 | - | 0.81 | - |
| Morphine | 0.97 | 0.1 | 0.82 | 0.33 | 1.02 | 0.68 | 1.14 | 0.16 | 1.4 | 0.3 | 1.45 | 0.34 |
| N-Desmethyltramadol | 0.37 | 0.1 | 0.64 | 0.1 | 0.31 | - | 0.48 | 0 | 0.5 | 0 | 0.85 | - |
| Nortriptylin | 0.09 | 0.05 | 0.03 | 0.04 | 0.54 | 0.01 | 0.33 | 0.06 | 0.59 | 0.03 | 1.02 | 0 |
| Oxycodone | 0.57 | 0.17 | 0.39 | 0.07 | 0.31 | 0.01 | 0.23 | 0 | 0.29 | 0.07 | 0.51 | 0.04 |
| Pyrazinamide | 0.94 | 0.51 | 1.08 | 0.19 | 1.41 | - | 0.95 | - | 0.23 | - | 1.18 | - |
| Sufentanil | 0.24 | 0.07 | 0.03 | 0.05 | 0.29 | 0.02 | 0.21 | 0 | - | - | - | - |
| Urapidil | 0.6 | 0.03 | 0.68 | 0.42 | 0.52 | 0 | 0.39 | 0.09 | 0.4 | 0.13 | 0.54 | 0.13 |
| Venlafaxine | 0.38 | 0.07 | 0.24 | 0.04 | 0.55 | 0.2 | 0.44 | 0.25 | 0.56 | 0.32 | 0.77 | 0.1 |
| Substrate | KM (µM) | Vmax [pmol × mg Protein−1 × min−1] | Intrinsic Clearance [mL × Minute−1 × mg Protein−1] | |||
|---|---|---|---|---|---|---|
| M | SEM | M | SEM | M | SEM | |
| Amitriptyline | 285.6 | 91.9 | 8752 | 1023 | 30.6 | 13.4 |
| Bupropion | 6.6 | 14.5 | 374 | 139 | 56.7 | 145.6 |
| Citalopram | 12.9 | 27.6 | 838 | 372 | 65.0 | 167.8 |
| Clenbuterol | 51.1 | 32.4 | 1412 | 263 | 27.6 | 22.7 |
| Clozapine | 34.9 | 28.7 | 4784 | 814 | 137.1 | 136.0 |
| Desipramine | 50.0 | 25.6 | 4918 | 552 | 98.4 | 61.4 |
| DM venlafaxine * | 87.3 | 20.3 | 1173 | 671 | 13.4 | 38.9 |
| Doxepin | 36.3 | 15.7 | 2661 | 239 | 73.3 | 38.3 |
| Duloxetine | 27.7 | 5.6 | 3167 | 155 | 114.3 | 28.7 |
| Ephedrine | 33.5 | 17.2 | 5.5 | 0.6 | 0.2 | 0.1 |
| Escitalopram | 47.0 | 22.7 | 2356 | 259 | 50.1 | 29.7 |
| Fluoxetine | 80.2 | 57.0 | 5070 | 869 | 63.2 | 55.8 |
| Imipramine | 20.1 | 9.8 | 4031 | 392 | 200.5 | 117.3 |
| Memantine | 28.7 | 39.5 | 1002 | 276 | 34.9 | 57.7 |
| Meptazinol | 1461 | 894 | 15,759 | 6348 | 10.8 | 10.9 |
| Methylphenidate | 78.9 | 56.7 | 1142 | 197 | 14.5 | 12.9 |
| Metoclopramide | 117.9 | 36.2 | 1671 | 137 | 14.2 | 5.5 |
| Metoprolol | Only linear component of uptake observed | |||||
| Morphine | 153.4 | 283.2 | 1243 | 666 | 8.1 | 19.3 |
| N-DM tramadol ** | 69.5 | 22.7 | 1646 | 126 | 23.7 | 9.5 |
| Nortriptyline | 38.1 | 47.3 | 3205 | 833 | 84.1 | 126.3 |
| Oxycodone | 71.4 | 73.9 | 1900 | 462 | 26.6 | 34.0 |
| Pyrazinamide | Only linear component of uptake observed | |||||
| Sufentanil | 35.8 | 22.3 | 2983 | 489 | 83.3 | 65.6 |
| Urapidil | 82.5 | 80.4 | 1305 | 309 | 15.8 | 19.2 |
| Venlafaxine | 84.4 | 115.5 | 4874 | 1630 | 57.7 | 98.3 |
| Substrate | DPH Antiport | MDAI Antiport | OCT1 Ratio | ||
|---|---|---|---|---|---|
| Ratio | SD | Ratio | SD | ||
| Nortriptyline | 0.09 | 0.05 | 0.03 | 0.04 | 1.14 |
| Duloxetin | 0.10 | 0.01 | 0.10 | 0.09 | 1.20 |
| Fluoxetin | 0.10 | 0.03 | 0.13 | 0.12 | 1.10 |
| Propranolol | 0.12 | 0.04 | 0.08 | 0.07 | 1.10 |
| Doxepin | 0.13 | 0.06 | 0.10 | 0.01 | 1.30 |
| Paroxetin | 0.13 | 0.00 | 0.07 | 0.03 | 1.17 |
| Imipramine | 0.13 | 0.02 | 0.01 | 0.00 | 1.10 |
| Amitriptyline | 0.15 | 0.08 | 0.03 | 0.03 | 1.20 |
| Clozapin | 0.16 | 0.07 | 0.03 | 0.02 | 1.00 |
| Citalopram | 0.16 | 0.07 | 0.10 | 0.01 | 1.30 |
| Desipramine | 0.18 | 0.10 | 0.10 | 0.07 | 0.80 |
| Eletriptan | 0.21 | 0.05 | 0.46 | 0.09 | 1.20 |
| Ondansetron | 0.22 | 0.09 | 0.22 | 0.08 | 1.00 |
| Escitalopram | 0.24 | 0.08 | 0.13 | 0.07 | 1.20 |
| Memantine | 0.24 | 0.01 | 0.14 | 0.06 | 1.10 |
| Sufentanil | 0.24 | 0.07 | 0.03 | 0.05 | 1.10 |
| Bupropion | 0.25 | 0.12 | 0.09 | 0.08 | 0.90 |
| Tranylcypromine | 0.30 | 0.14 | 0.11 | 0.08 | 1.60 |
| Bisoprolol | 0.32 | 0.08 | 0.35 | 0.10 | 1.00 |
| Methylphenidat | 0.33 | 0.05 | 0.24 | 0.09 | 1.90 |
| Ketamine | 0.36 | 0.12 | 0.23 | 0.11 | 1.10 |
| Ephedrine | 0.36 | 0.03 | 0.24 | 0.16 | 1.50 |
| Clenbuterol | 0.36 | 0.15 | 0.07 | 0.02 | 1.10 |
| N-Desmethyl tramadol | 0.37 | 0.10 | 0.64 | 0.10 | 2.40 |
| Venlafaxine | 0.38 | 0.07 | 0.24 | 0.04 | 1.50 |
| Labetalol | 0.40 | 0.06 | 0.57 | 0.18 | 1.00 |
| Meptazinol | 0.40 | 0.04 | 0.41 | 0.31 | 3.20 |
| Metoprolol | 0.44 | 0.09 | 0.31 | 0.10 | 1.20 |
| Amiodaron | 0.49 | 0.16 | 0.82 | 0.13 | 1.20 |
| Desmethylvenlafaxine | 0.49 | 0.08 | 0.61 | 0.34 | 3.30 |
| Dihydrocodeine | 0.52 | 0.18 | 0.87 | 0.36 | 0.80 |
| Milnacipran | 0.53 | 0.20 | 0.84 | 0.03 | 6.30 |
| Buflomedil | 0.53 | 0.30 | 0.22 | 0.15 | 1.00 |
| Nortilidine | 0.53 | 0.00 | 0.52 | 0.00 | 1.62 |
| Tilidine | 0.54 | 0.33 | 0.80 | 0.19 | 1.30 |
| Oxycodone | 0.57 | 0.17 | 0.39 | 0.07 | 0.90 |
| Pindolol | 0.59 | 0.16 | 0.83 | 0.06 | 1.20 |
| Trimethoprim | 0.60 | 0.37 | 0.85 | 0.33 | 1.90 |
| Urapidil | 0.60 | 0.03 | 0.68 | 0.42 | 1.10 |
| Metoclopramide | 0.60 | 0.17 | 0.42 | 0.35 | 1.80 |
| Scopolamin | 0.63 | 0.22 | 0.44 | 0.04 | 1.10 |
| Dobutamin | 0.67 | 0.13 | 0.99 | 0.59 | 14.70 |
| Phenylephrine | 0.76 | 0.11 | 1.03 | 0.23 | 10.60 |
| Hydromorphone | 0.76 | 0.07 | 0.79 | 0.28 | 2.00 |
| Ipratropium | 0.77 | 0.33 | 0.93 | 0.18 | 41.90 |
| Metformin | 0.79 | 0.16 | 1.10 | 0.13 | 1.70 |
| Piritramide | 0.80 | 0.00 | 0.82 | 0.02 | 1.18 |
| Atropin | 0.80 | 0.42 | 0.64 | 0.05 | 3.60 |
| Frovatriptan | 0.83 | 0.44 | 0.88 | 0.14 | 33.10 |
| Acebutolol | 0.84 | 0.07 | 0.88 | 0.07 | 5.20 |
| Thiamine | 0.84 | 0.04 | 1.60 | 0.53 | 11.60 |
| Methylscopolamine | 0.84 | 0.34 | 1.02 | 0.20 | 39.20 |
| Etomidate | 0.85 | 0.15 | 0.87 | 0.14 | 0.94 |
| Daunorubicin | 0.86 | 0.07 | 1.29 | 0.24 | 1.10 |
| Acyclovir | 0.87 | 0.28 | 0.94 | 0.28 | 2.00 |
| Formoterol | 0.87 | 0.28 | 1.10 | 0.20 | 3.60 |
| Theophyllin | 0.90 | 0.30 | 0.86 | 0.34 | 1.00 |
| Doxorubicin | 0.94 | 0.26 | 1.46 | 0.51 | 1.10 |
| Pyrazinamide | 0.95 | 0.51 | 1.08 | 0.19 | 0.80 |
| Pirbuterol | 0.95 | 0.28 | 1.31 | 0.38 | 80.90 |
| Isoniazid | 0.96 | 0.09 | 1.51 | 0.42 | 0.94 |
| Morphin | 0.97 | 0.10 | 0.82 | 0.33 | 4.30 |
| Betaine | 0.98 | 0.17 | 1.09 | 0.39 | 1.00 |
| Ethambutol | 0.98 | 0.46 | 0.95 | 0.10 | 20.80 |
| Zolmitriptan | 1.03 | 0.58 | 1.45 | 0.60 | 10.00 |
| Choline | 1.04 | 0.15 | 1.27 | 0.27 | 1.50 |
| Paraxanthine | 1.13 | 0.22 | 0.93 | 0.19 | 1.00 |
| Levetiracetam | 1.17 | 0.28 | 1.19 | 0.24 | 1.00 |
| Meropenem | 1.20 | 0.10 | 1.00 | 0.06 | 1.10 |
| Ranitidin | 1.26 | 0.67 | 1.24 | 0.36 | 18.10 |
| Hydrocodone | 1.35 | 1.54 | 0.46 | 0.18 | 1.20 |
| Fenoterol | 1.47 | 0.41 | 1.16 | 0.23 | 13.90 |
| Q1 (Da) | Q3 (Da) | DP (V) | CE (V) | CXP (V) | Internal Standard | |
|---|---|---|---|---|---|---|
| Used as probe substances | ||||||
| Diphenhydramine | 256.2 | 167.0 (152.0) | 46 | 17 (49) | 10 (10) | Tamoxifen |
| Imipramine | 281.2 | 86.1 (58.1) | 90 | 23 (59) | 16 (10) | Duloxetine |
| MDAI | 178.0 | 161.0 (131.0) | 43 | 17 (27) | 10 (16) | Ranitidine-d6 |
| Memantine | 180.2 | 163.1 (107.0) | 46 | 21 (35) | 10 (6) | Fenoterol-d6 |
| Analyzed as possible substrates | ||||||
| Amitriptyline | 278.2 | 91.0 (117.1) | 36 | 36 (30) | 16 (8) | Amitriptyline-d6 |
| Bupropion | 240.1 | 183.9 (139.0) | 55 | 17 (35) | 12 (12) | Hydroxybupropion-d6 |
| Citalopram | 325.2 | 109.1 (262.2) | 100 | 34 (27) | 6 (18) | Doxepin |
| Clenbuterol | 277.1 | 203.0 (258.9) | 66 | 23 (15) | 14 (18) | Caffeine |
| Clozapine | 327.2 | 270.1 (192.2) | 101 | 31 (57) | 18 (12) | Fenoterol-d6 |
| Desipramine | 267.1 | 72.1 (44.2) | 787 | 30 (62) | 12 (8) | Duloxetine |
| Desmethylvenlafaxine | 264.3 | 58.1 (107.2) | 60 | 47 (50) | 10 (6) | Desmethylvenlafaxine-d6 |
| Doxepin | 280.1 | 107.1 (77.0) | 61 | 31 (75) | 6 (14) | Escitalopram |
| Duloxetine | 298.1 | 154.0 (44.1) | 43 | 9 (31) | 10 (8) | Imipramine |
| Ephedrine | 166.0 | 148.1 (133.0) | 41 | 17 (27) | 9 (8) | Ranitidine-d6 |
| Escitalopram | 325.2 | 109.1 (262.2) | 100 | 34 (27) | 6 (18) | Doxepin |
| Fluoxetine | 310.2 | 293.2 (148.1) | 56 | 9 (13) | 20 (10) | Duloxetine |
| Meptazinol | 234.5 | 133.1 (107.0) | 96 | 31 (35) | 12 (20) | Raniditine-d6 |
| Methylphenidat | 234.2 | 84.1 (91.1) | 71 | 27 (73) | 6 (8) | Hydroxybupropion-d6 |
| Metoclopramide | 300.2 | 227.0 (183.9) | 65 | 25 (42) | 14 (12) | Milnacipran |
| Metoprolol | 268.2 | 116.1 (74.0) | 86 | 27 (35) | 8 (14) | Fenoterol-d6 |
| Morphine | 286.2 | 201.1 (165.1) | 110 | 36 (54) | 10 (10) | Caffeine |
| N-Desmethyltramadol | 250.2 | 232.3 (44.1) | 55 | 12 (38) | 15 (10) | Atropine |
| Nortriptyline | 264.2 | 233.2 (91.1) | 46 | 21 (30) | 16 (6) | Amitriptyline-d6 |
| Oxycodone | 316.3 | 298.2 (256.2) | 91 | 27 (35) | 10 (8) | Raniditine-d6 |
| Pyrazinamide | 124.1 | 79.0 (107.1) | 56 | 25 (15) | 14 (20) | Ranitidine-d6 |
| Sufentanil | 387.2 | 238.1 (110.9) | 81 | 27 (53) | 8 (8) | Nalmefene |
| Urapidil | 388.3 | 233.1 (190.0) | 91 | 33 (47) | 16 (12) | Nalmefene |
| Venlafaxine | 278.2 | 121.0 (58.1) | 65 | 39 (47) | 15 (10) | Desmethylvenlafaxine-d6 |
| Internal standards | ||||||
| Amitriptyline-d6 | 284.3 | 91.0 | 71 | 34 | 7 | - |
| Atropine | 290.2 | 142.2 (124.2) | 100 | 45 (33) | 12 (12) | - |
| Caffeine | 195.2 | 138.1 (110.0) | 70 | 27 (32) | 8 (8) | - |
| Desmethylvenlafaxine-d6 | 270.3 | 64.2 (107.0) | 65 | 47 (48) | 11 (6) | - |
| Fenoterol-d6 | 310.3 | 109.1 (141.0) | 70 | 40 (26) | 12 (12) | - |
| Hydroxybupropion-d6 | 262.2 | 244.0 (138.9) | 61 | 17 (37) | 16 (10) | - |
| Milnacipran | 247.2 | 230.2 (100.1) | 51 | 17 (27) | 14 (8) | - |
| Nalmefene | 340.3 | 322.2 (55.1) | 61 | 29 (63) | 10 (10) | - |
| Ranitidine-d6 | 321.0 | 176.0 (130.1) | 65 | 25 (35) | 15 (15) | - |
| Tamoxifen | 372.2 | 71.9 (70.0) | 90 | 47 (75) | 14 (6) | - |
Publisher’s Note: MDPI stays neutral with regard to jurisdictional claims in published maps and institutional affiliations. |
© 2022 by the authors. Licensee MDPI, Basel, Switzerland. This article is an open access article distributed under the terms and conditions of the Creative Commons Attribution (CC BY) license (https://creativecommons.org/licenses/by/4.0/).
Share and Cite
Doetsch, D.A.; Ansari, S.; Jensen, O.; Gebauer, L.; Dücker, C.; Brockmöller, J.; Sachkova, A. Substrates of the Human Brain Proton-Organic Cation Antiporter and Comparison with Organic Cation Transporter 1 Activities. Int. J. Mol. Sci. 2022, 23, 8430. https://doi.org/10.3390/ijms23158430
Doetsch DA, Ansari S, Jensen O, Gebauer L, Dücker C, Brockmöller J, Sachkova A. Substrates of the Human Brain Proton-Organic Cation Antiporter and Comparison with Organic Cation Transporter 1 Activities. International Journal of Molecular Sciences. 2022; 23(15):8430. https://doi.org/10.3390/ijms23158430
Chicago/Turabian StyleDoetsch, David A., Salim Ansari, Ole Jensen, Lukas Gebauer, Christof Dücker, Jürgen Brockmöller, and Alexandra Sachkova. 2022. "Substrates of the Human Brain Proton-Organic Cation Antiporter and Comparison with Organic Cation Transporter 1 Activities" International Journal of Molecular Sciences 23, no. 15: 8430. https://doi.org/10.3390/ijms23158430
APA StyleDoetsch, D. A., Ansari, S., Jensen, O., Gebauer, L., Dücker, C., Brockmöller, J., & Sachkova, A. (2022). Substrates of the Human Brain Proton-Organic Cation Antiporter and Comparison with Organic Cation Transporter 1 Activities. International Journal of Molecular Sciences, 23(15), 8430. https://doi.org/10.3390/ijms23158430

