Effects of Aging on Hair Color, Melanosomes, and Melanin Composition in Japanese Males and Their Sex Differences
Abstract
1. Introduction
2. Results
2.1. Age Dependence of Hair Color
2.2. Melanin Compositions
2.3. Melanosome Morphology
3. Discussion
3.1. Causes of Hair Color Change with Age in Male Hair
3.2. Sex Differences
3.2.1. Hair Color
3.2.2. Melanin Compositions
3.2.3. Melanosome Morphology
3.3. Factors Contributing to Hair Color (Analysis with the Mixed Data Set of Male and Female Hairs)
(R2 = 0.44, p = 8.8 × 10−9)
(R2 = 0.62, p = 3.5 × 10−13)
(R2 = 0.58, p = 6.6 × 10−12)
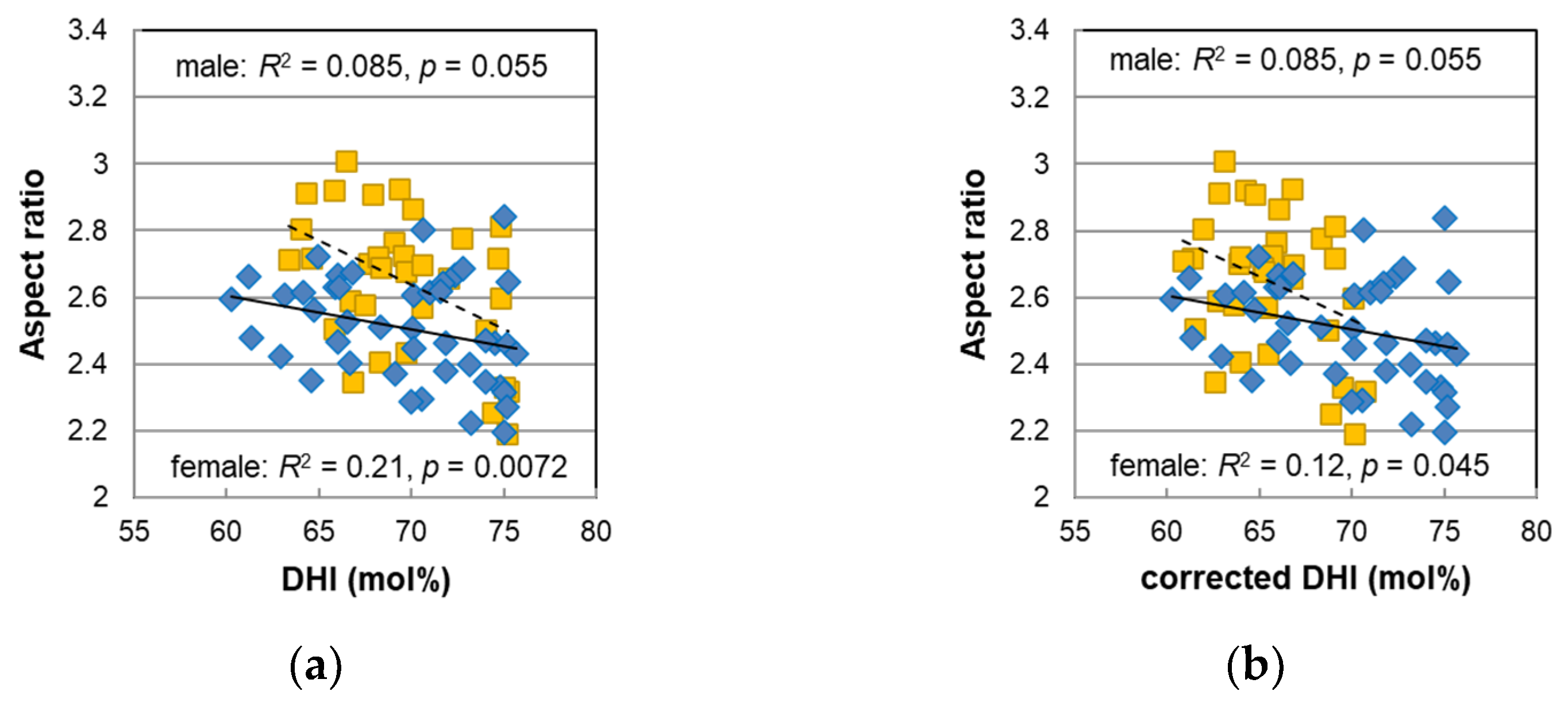
3.4. DHI Ratio and Its Relationship to Melanosome Morphology
4. Materials and Methods
4.1. Hair Samples
4.2. Chemicals
4.3. Colorimetric Measurement
4.4. Melanin Analyses
4.5. Preparation of Synthetic Melanin and Analyses
4.6. Isolation of Melanosomes and Morphology Measurement
4.7. Statistical Analyses
5. Conclusions
Supplementary Materials
Author Contributions
Funding
Informed Consent Statement
Acknowledgments
Conflicts of Interest
Abbreviations
| A500 | Absorbance at the wavelength of 500 nm |
| A650 | Absorbance at the wavelength of 650 nm |
| 4-AHP | 4-Amino-3-hydroxyphenylalanine |
| AHPO | Alkaline hydrogen peroxide oxidation |
| ANCOVA | Analysis of covariance |
| ANOVA | Analysis of variance |
| DHI | 5,6-Dihydroxyindole |
| DHICA | 5,6-Dihydroxyindole-2-carboxylic acid |
| HPLC | High-performance liquid chromatography |
| PDCA | Pyrrole-2,3-dicarboxylic acid |
| PTCA | Pyrrole-2,3,5-tricarboxylic acid |
| PTeCA | Pyrrole-2,3,4,5-tetracarboxylic acid |
| SEM | Scanning electron microscope |
| TDCA | Thiazole-4,5-dicarboxylic acid |
| TM | Total melanin amount |
| TTCA | Thiazole-2,4,5-tricarboxylic acid |
References
- Nagase, S.; Kajiura, Y.; Mamada, A.; Abe, H.; Shibuichi, S.; Satoh, N.; Itou, T.; Shinohara, Y.; Amemiya, Y. Changes in structure and geometric properties of human hair by aging. J. Cosmet. Sci. 2009, 60, 637–648. [Google Scholar] [CrossRef]
- Commo, S.; Wakamatsu, K.; Lozano, I.; Panhard, S.; Loussouarn, G.; Bernard, B.A.; Ito, S. Age-dependent changes in eumelanin composition in hairs of various ethnic origins. Int. J. Cosmet. Sci. 2012, 34, 102–107. [Google Scholar] [CrossRef]
- Maymone, M.B.C.; Laughter, M.; Pollock, S.; Khan, I.; Marques, T.; Abdat, R.; Goldberg, L.J.; Vashi, N.A. Hair aging in different races and ethnicities. J. Clin. Aesthet. Dermatol. 2021, 14, 38–44. [Google Scholar]
- Hamilton, J.B. Patterned loss of hair in man: Types and incidence. Ann. N. Y. Acad. Sci. 1951, 53, 708–728. [Google Scholar] [CrossRef]
- Lolli, F.; Pallotti, F.; Rossi, A.; Fortuna, M.C.; Caro, G.; Lenzi, A.; Sansone, A.; Lombardo, F. Androgenetic alopecia: A review. Endocrine 2017, 57, 9–17. [Google Scholar] [CrossRef]
- Kamakura, M. A study of the characteristics of trace elements in the hair of Japanese -Reference values and the trace elements patterns for determining normal levels. Nihon Eiseigaku Zasshi 1983, 38, 823–838. [Google Scholar] [CrossRef]
- Srettabunjong, S.; Patompakdeesakul, P.; Limawongpranee, S. Relative studies between hair index, hair area, and medullary index with age and sex in Thai scalp hair. Forensic Sci. Int. 2016, 267, 196–203. [Google Scholar] [CrossRef] [PubMed]
- Ootsuka, H.; Nemoto, T. Study on Japanese hair. Koshokaishi 1988, 12, 192–197. [Google Scholar]
- Reuer, E. Geschlechtsunterschiede bei haarfarben. Anthrop. Anz. 1977, 36, 27–35. [Google Scholar]
- Sitek, A.; Żądzińska, E.; Rosset, I.; Antoszewski, B. Is increased constitutive skin and hair pigmentation an early sign of puberty? HOMO 2013, 64, 205–214. [Google Scholar] [CrossRef] [PubMed]
- Commo, S.; Gaillard, O.; Bernard, B.A. Human hair greying is linked to a specific depletion of hair follicle melanocytes affecting both the bulb and the outer root sheath. Br. J. Dermatol. 2004, 150, 435–443. [Google Scholar] [CrossRef]
- d’Ischia, M.; Wakamatsu, K.; Cicoira, F.; Di Mauro, E.; Garcia-Borron, J.C.; Commo, S.; Galván, I.; Ghanem, G.; Koike, K.; Meredith, P.; et al. Melanins and melanogenesis: From pigment cells to human health and technological applications. Pigment Cell Melanoma Res. 2015, 28, 520–544. [Google Scholar] [CrossRef]
- Itou, T. Morphological changes in hair melanosomes by aging. Pigment Cell Melanoma Res. 2018, 31, 630–635. [Google Scholar] [CrossRef] [PubMed]
- Itou, T.; Ito, S.; Wakamatsu, K. Effects of aging on hair color, melanosome morphology, and melanin composition in Japanese females. Int. J. Mol. Sci. 2019, 20, 3739. [Google Scholar] [CrossRef]
- Ito, S.; Wakamatsu, K. Quantitative analysis of eumelanin and pheomelanin in humans, mice, and other animals: A comparative review. Pigment Cell Res. 2003, 16, 523–531. [Google Scholar] [CrossRef] [PubMed]
- Ito, S.; Wakamatsu, K. Chemistry of mixed melanogenesis—Pivotal roles of dopaquinone. Photochem. Photobiol. 2008, 84, 582–592. [Google Scholar] [CrossRef] [PubMed]
- Wakamatsu, K.; Zippin, J.H.; Ito, S. Chemical and biochemical control of skin pigmentation with special emphasis on mixed melanogenesis. Pigment Cell Melanoma Res. 2021, 34, 730–747. [Google Scholar] [CrossRef] [PubMed]
- Ito, S.; Miyake, S.; Maruyama, S.; Suzuki, I.; Commo, S.; Nakanishi, Y.; Wakamatsu, K. Acid hydrolysis reveals a low but constant level of pheomelanin in human black to brown hair. Pigment Cell Melanoma Res. 2018, 31, 393–403. [Google Scholar] [CrossRef] [PubMed]
- Ito, S.; Nakanishi, Y.; Valenzuela, R.K.; Brilliant, M.H.; Kolbe, L.; Wakamatsu, K. Usefulness of alkaline hydrogen peroxide oxidation to analyze eumelanin and pheomelanin in various tissue samples: Application to chemical analysis of human hair melanins. Pigment Cell Melanoma Res. 2011, 24, 605–613. [Google Scholar] [CrossRef]
- Ito, S.; Wakamatsu, K.; Glass, K.; Simon, J.D. High-performance liquid chromatography estimation of cross-linking of dihydroxyindole moiety in eumelanin. Anal. Biochem. 2013, 434, 221–225. [Google Scholar] [CrossRef]
- Panzella, L.; Gentile, G.; D’Errico, G.; Della Vecchia, N.F.; Errico, M.E.; Napolitano, A.; Carfagna, C.; d’Ischia, M. A typical structural and π-electron features of a melanin polymer that lead to superior free-radical-scavenging properties. Angew. Chem. Int. Ed. 2013, 52, 12684–12687. [Google Scholar] [CrossRef] [PubMed]
- Jacobsen, D.W.; Gatautis, V.J.; Green, R.; Robinson, K.; Savon, S.R.; Secic, M.; Ji, J.; Otto, J.M.; Taylor, L.M., Jr. Rapid HPLC determination of total homocysteine and other thiols in serum and plasma: Sex differences and correlation with cobalamin and folate concentrations in healthy subjects. Clin. Chem. 1994, 40, 873–881. [Google Scholar] [CrossRef] [PubMed]
- Liu, C.; Yang, J.; Qu, L.; Gu, M.; Liu, Y.; Gao, J.; Collaudin, C.; Loussouarn, G. Changes in Chinese hair growth along a full year. Int. J. Comet. Sci. 2014, 36, 531–536. [Google Scholar] [CrossRef]
- Miyamoto, I.; Hayashi, S.; Hamada, K.; Ogawa, T.; Hasunuma, K.; Yoneya, T. Quantitative studies on human hair growth (I)—Fundamental measurements and the evaluation of hair growers. J. Soc. Cosmet. Chem. Jpn. 1994, 27, 554–564. [Google Scholar] [CrossRef]
- Kidena, H.; Fukuda, R.; Soga, H.; Fuse, C.; Ito, N.; Sasajima, M.; Moriwaki, S. Hair changes with aging in Japanese females. Aesthet. Dermatol. 2009, 19, 264. [Google Scholar]
- Turner, G.A.; Paterson, S.E.; Baines, F.L.; Mayes, A.E.; Reilly, D.M.; Hudson, N.M.; Dadd, T.; Majumdar, A.; Kapoor, R.; Gu, J.; et al. The action of a cosmetic hair treatment on follicle function. bioRxiv 2018. [Google Scholar] [CrossRef]
- Liu, Y.; Hong, L.; Wakamatsu, K.; Ito, S.; Adhyaru, B.; Cheng, C.-Y.; Bowers, C.R.; Simon, J.D. Comparison of structural and chemical properties of black and red human hair melanosomes. Photochem. Photobiol. 2005, 81, 135–144. [Google Scholar] [CrossRef]
- Ito, S.; Del Bino, S.; Hirobe, T.; Wakamatsu, K. Improved HPLC conditions to determine eumelanin and pheomelanin contents in biological samples using an ion pair reagent. Int. J. Mol. Sci. 2020, 21, 5134. [Google Scholar] [CrossRef]
- Ito, S. The IFPCS presidential lecture: A chemist’s view of melanogenesis. Pigment Cell Res. 2003, 16, 230–236. [Google Scholar] [CrossRef]
- Ito, S.; Suzuki, N.; Takebayashi, S.; Commo, S.; Wakamatsu, K. Neutral pH and copper ions promote eumelanogenesis after the dopachrome stage. Pigment Cell Melanoma Res. 2013, 26, 817–825. [Google Scholar] [CrossRef]
- Palumbo, A.; Solano, F.; Misuraca, G.; Aroca, P.; Garcia-Borron, J.C.; Lozano, J.A.; Prota, G. Comparative action of dopachrome tautomerase and metal ions on the rearrangement of dopachrome. Biochim. Biophys. Acta 1991, 1115, 1–5. [Google Scholar] [CrossRef]
- Gordon, G.F. Sex and age related differences in trace element concentrations in hair. Sci. Total Environ. 1985, 42, 133–147. [Google Scholar] [CrossRef]
- d’Ischia, M.; Wakamatsu, K.; Napolitano, A.; Briganti, S.; Garcia-Borron, J.-C.; Kovacs, D.; Meredith, P.; Pezzella, A.; Picardo, M.; Sarna, T.; et al. Melanins and melanogenesis: Methods, standards, protocols. Pigment Cell Melanoma Res. 2013, 26, 616–633. [Google Scholar] [CrossRef]
- Chardon, A.; Cretois, I.; Hourseau, C. Skin colour typology and suntanning pathways. Int. J. Cosmet. Sci. 1991, 13, 191–208. [Google Scholar] [CrossRef] [PubMed]
- Ozeki, H.; Ito, S.; Wakamatsu, K.; Thody, A.J. Spectrophotometric characterization of eumelanin and pheomelanin in hair. Pigment Cell Res. 1996, 9, 265–270. [Google Scholar] [CrossRef] [PubMed]
- Wakamatsu, K.; Ito, S.; Rees, J.L. The usefulness of 4-amino-3-hydroxyphenylalanine as a specific marker of pheomelanin. Pigment Cell Res. 2002, 15, 225–232. [Google Scholar] [CrossRef]
- Ito, S.; Wakamatsu, K. Chemical degradation of melanins: Application to identification of dopamine-melanin. Pigment Cell Res. 1998, 11, 120–126. [Google Scholar] [CrossRef]
- Novellino, L.; Napolitano, A.; Prota, G. Isolation and characterization of mammalian eumelanins from hair and irides. Biochim. Biophys. Acta 2000, 1475, 295–306. [Google Scholar] [CrossRef]
- Rasband, W.S. ImageJ. U.S. National Institutes of Health: Bethesda, MD, USA, 1997–2022. Available online: https://imagej.nih.gov/ij/ (accessed on 11 June 2021).
- R Core Team. R: A Language and Environment for Statistical Computing; R Foundation for Statistical Computing: Vienna, Austria, 2022; Available online: https://www.R-project.org/ (accessed on 6 July 2022).








| Parameter | Hair Color | |||
|---|---|---|---|---|
| L* | a* | b* | ||
| Human | Age (year) | 0.0035 | 9.6 × 10−5 | 0.00020 |
| Melanin | Total melanin amount (µg/mg) | 0.0016 | 3.0 × 10−6 | 4.6 × 10−6 |
| A650/A500 1 | 0.66 | 0.15 | 0.35 | |
| DHI 2 (mol%) | 0.74 | 0.0039 | 0.011 | |
| Pheomelanin (mol%) | 0.42 | 0.028 | 0.040 | |
| PTCA 3 level (ng/mg) | 0.00041 | 8.1 × 10−5 | 6.2 × 10−5 | |
| PDCA 4 level (ng/mg) | 0.0088 | 2.2 × 10−7 | 6.2 × 10−7 | |
| PTeCA 5 level (ng/mg) | 0.0045 | 0.082 | 0.038 | |
| Melanosome | Major axis (µm) | 0.020 | 0.58 | 0.56 |
| Minor axis (µm) | 0.032 | 0.0099 | 0.0048 | |
| Aspect ratio | 0.57 | 0.0050 | 0.0013 | |
| Volume (µm3) | 0.039 | 0.037 | 0.017 | |
| Parameter | Parallelism | Statistic | p-Value | |
|---|---|---|---|---|
| Melanin | TM | No | ANOVA | 0.30 |
| A650/A500 | Yes | ANCOVA | 0.0058 | |
| DHI mol% | Yes | ANCOVA | 0.96 | |
| Pheomelanin mol% | Yes | ANCOVA | 5.3 × 10−7 | |
| Melanosome | Major axis | No | ANOVA | 0.00024 |
| Minor axis | Yes | ANCOVA | 6.0 × 10−9 | |
| Aspect ratio | No | ANOVA | 0.0019 | |
| Volume | Yes | ANCOVA | 7.1 × 10−7 | |
Publisher’s Note: MDPI stays neutral with regard to jurisdictional claims in published maps and institutional affiliations. |
© 2022 by the authors. Licensee MDPI, Basel, Switzerland. This article is an open access article distributed under the terms and conditions of the Creative Commons Attribution (CC BY) license (https://creativecommons.org/licenses/by/4.0/).
Share and Cite
Itou, T.; Ito, S.; Wakamatsu, K. Effects of Aging on Hair Color, Melanosomes, and Melanin Composition in Japanese Males and Their Sex Differences. Int. J. Mol. Sci. 2022, 23, 14459. https://doi.org/10.3390/ijms232214459
Itou T, Ito S, Wakamatsu K. Effects of Aging on Hair Color, Melanosomes, and Melanin Composition in Japanese Males and Their Sex Differences. International Journal of Molecular Sciences. 2022; 23(22):14459. https://doi.org/10.3390/ijms232214459
Chicago/Turabian StyleItou, Takashi, Shosuke Ito, and Kazumasa Wakamatsu. 2022. "Effects of Aging on Hair Color, Melanosomes, and Melanin Composition in Japanese Males and Their Sex Differences" International Journal of Molecular Sciences 23, no. 22: 14459. https://doi.org/10.3390/ijms232214459
APA StyleItou, T., Ito, S., & Wakamatsu, K. (2022). Effects of Aging on Hair Color, Melanosomes, and Melanin Composition in Japanese Males and Their Sex Differences. International Journal of Molecular Sciences, 23(22), 14459. https://doi.org/10.3390/ijms232214459

