Agricultural Applications of Superabsorbent Polymer Hydrogels
Abstract
1. Introduction
2. Superabsorbent Polymer Hydrogels
2.1. Formation Mechanisms and Properties of Polymer Hydrogels
2.2. Superabsorbents Based on Synthetic Polymers
2.2.1. SAPs Based on Cross-Linked Copolymers of Partially Neutralized Polyacrylic Acid
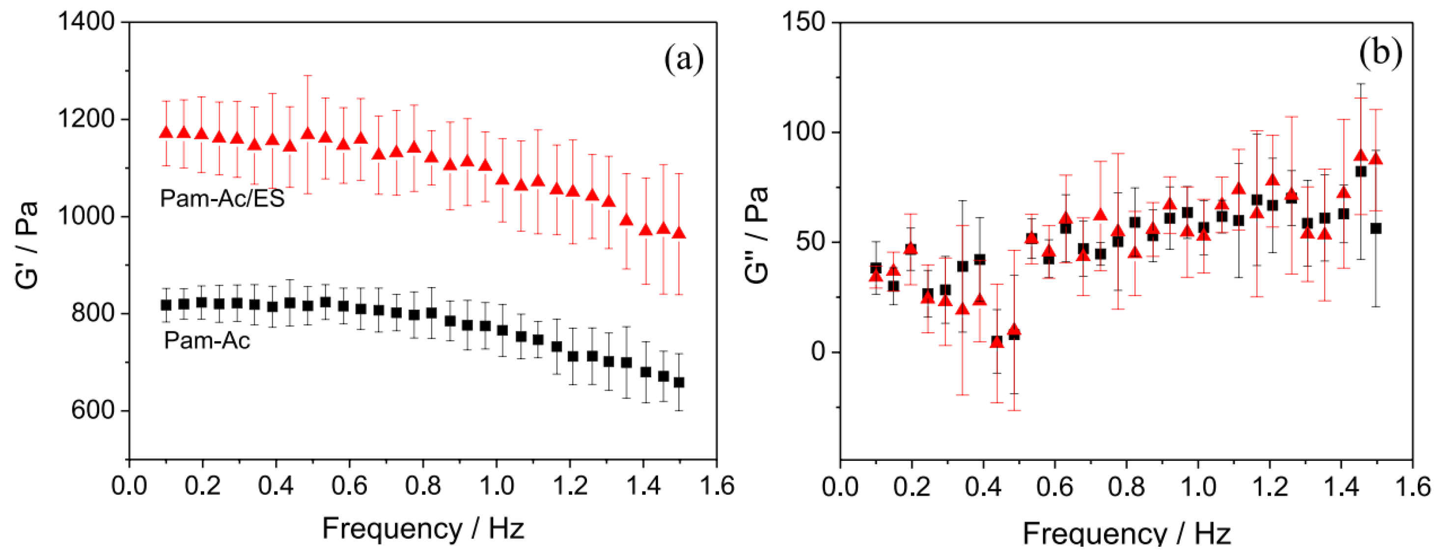
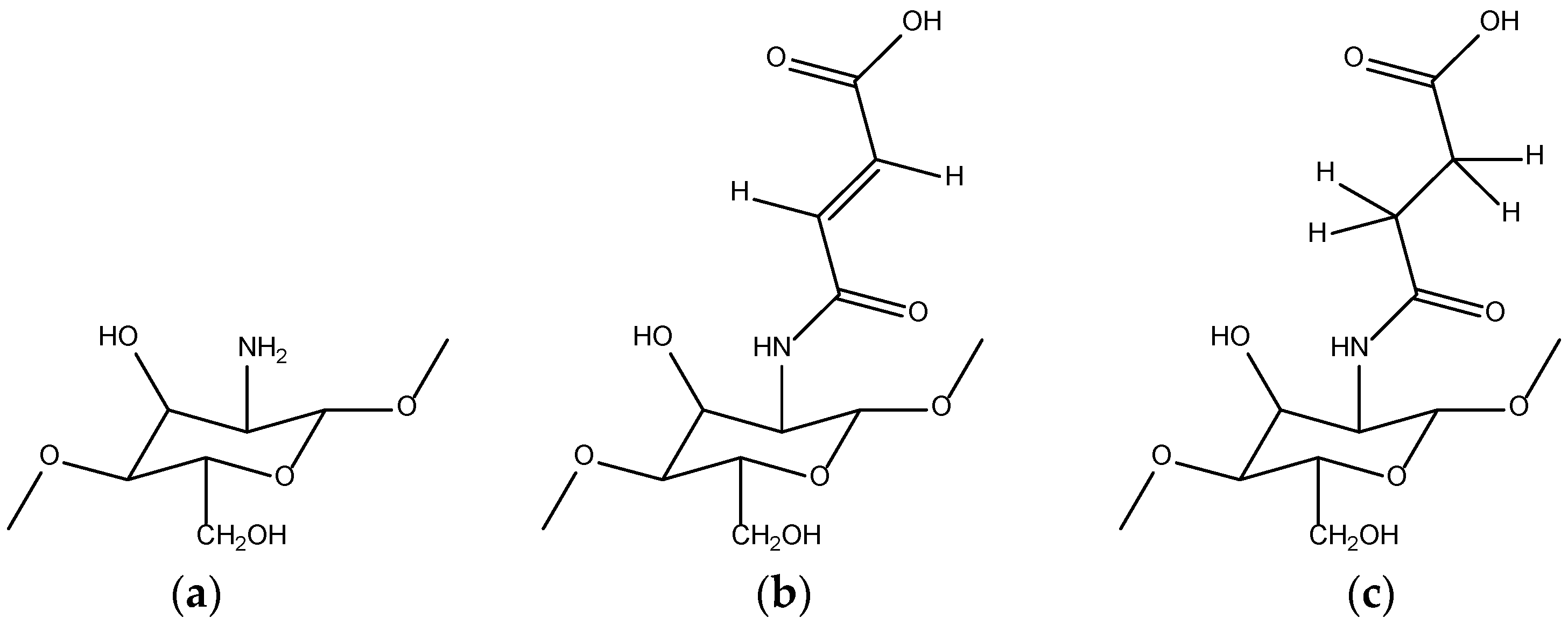
2.2.2. SAPs Based on Polyacrylamide and Other Poly(meth)acrylic Derivatives
2.2.3. Composite SAPs with Various Additives and Nanoparticles
2.2.4. Challenges for Agricultural Applications of Synthetic SAPs
2.3. Superabsorbents Based on Natural Polymers
2.4. Semi-Synthetic Superabsorbent Polymers
2.4.1. Semi-Synthetic SAPs Based on Cellulose
2.4.2. Semi-Synthetic SAPs Based on Starch
2.4.3. Semi-Synthetic SAPs Based on Chitosan
3. Conclusions
Author Contributions
Funding
Institutional Review Board Statement
Informed Consent Statement
Data Availability Statement
Conflicts of Interest
References
- Panova, G.G.; Udalova, O.R.; Kanash, E.V.; Galushko, A.S.; Kochetov, A.A.; Priyatkin, N.S.; Arkhipov, M.V.; Chernousov, I.N. Fundamentals of Physical Modeling of “Ideal” Agroecosystems. Tech. Phys. 2020, 65, 1563–1569. [Google Scholar] [CrossRef]
- Sikder, A.; Pearce, A.K.; Parkinson, S.J.; Napier, R.; O’Reilly, R.K. Recent Trends in Advanced Polymer Materials in Agriculture Related Applications. ACS Appl. Polym. Mater. 2021, 3, 1203–1217. [Google Scholar] [CrossRef]
- Durán, N.; Marcato, P.D. Nanobiotechnology perspectives. Role of nanotechnology in the food industry: A review. Int. J. Food Sci. Technol. 2013, 48, 1127–1134. [Google Scholar] [CrossRef]
- Udalova, O.R.; Anikina, L.M.; Khomyakov, Y.V.; Vertebniy, V.E.; Dubovitskaya, V.I.; Panova, G.G. Influence of thin-layer soil analogues on the production process of lettuce plants in intensive artificial-light culture. Veg. Crop. Russ. 2021, 2, 33–38. [Google Scholar] [CrossRef]
- Udalova, O.R.; Anikina, L.M.; Mirskaya, G.V.; Kononchuk, P.Y.; Panova, G.G. Low-volume and thin-layer panoponics in intensive artificial-light culture of cucumber: Basics and results of application. Veg. Crop. Russ. 2021, 2, 39–44. [Google Scholar] [CrossRef]
- Kuleshova, T.E.; Udalova, O.R.; Balashova, I.T.; Anikina, L.M.; Kononchuk, P.Y.; Mirskaya, G.V.; Panova, G.G. Influence of different light sources on the production process of tomato in intensive photoculture. Veg. Crop. Russ. 2021, 2, 65–70. [Google Scholar] [CrossRef]
- Panova, G.G.; Semenov, K.N.; Shilova, O.A.; Bityutskii, N.P.; Artem’eva, A.M.; Khamova, T.V.; Kornyukhin, D.L.; Yakkonen, K.L.; Kanash, E.V.; Udalova, O.R.; et al. New biologically active agents based on carbon and silicon nanostructures: The basis of creation and application in crop production. AIP Conf. Proc. 2022, 2390, 030070. [Google Scholar] [CrossRef]
- Shilova, O.A.; Khamova, T.V.; Panova, G.G.; Anikina, L.M.; Artem’eva, A.M.; Kornyukhin, D.L. Using the Sol–Gel Technology for the Treatment of Barley Seeds. Glas. Phys. Chem. 2018, 44, 26–32. [Google Scholar] [CrossRef]
- Khot, L.R.; Sankaran, S.; Maja, J.M.; Ehsani, R.; Schuster, E.W. Applications of nanomaterials in agricultural production and crop protection: A review. Crop Prot. 2012, 35, 64–70. [Google Scholar] [CrossRef]
- Krasnopeeva, E.L.; Melenevskaya, E.Y.; Shilova, O.A.; Nikolaev, A.M.; Yakimansky, A.V. Synthesis of core-shell titanium dioxide nanoparticles with water-soluble shell of poly(Methacrylic acid). Nanosyst. Phys. Chem. Math. 2021, 12, 336–345. [Google Scholar] [CrossRef]
- Shilova, O.A.; Khamova, T.V.; Panova, G.G.; Kornyukhin, D.L.; Anikina, L.M.; Artemyeva, A.M.; Udalova, O.R.; Galushko, A.S.; Baranchikov, A.E. Synthesis and Research of Functional Layers Based on Titanium Dioxide Nanoparticles and Silica Sols Formed on the Surface of Seeds of Chinese Cabbage. Russ. J. Appl. Chem. 2020, 93, 25–34. [Google Scholar] [CrossRef]
- Müller, A.H.E.; Borisov, O.V. (Eds.) Self Organized Nanostructures of Amphiphilic Block Copolymers I. In Advances in Polymer Science; Springer: Berlin/Heidelberg, Germany, 2011; Volume 241, pp. 1–253. [Google Scholar] [CrossRef]
- Müller, A.H.E.; Borisov, O.V. (Eds.) Self Organized Nanostructures of Amphiphilic Block Copolymers II. In Advances in Polymer Science; Springer: Berlin/Heidelberg, Germany, 2011; Volume 242, pp. 1–206. [Google Scholar] [CrossRef]
- Noreen, A.; Zia, K.M.; Tabasum, S.; Khalid, S.; Shareef, R. A Review on Grafting of Hydroxyethylcellulose for Versatile Applications. Int. J. Biol. Macromol. 2020, 150, 289–303. [Google Scholar] [CrossRef] [PubMed]
- Carvalho, L.T.; Vieira, T.A.; Zhao, Y.; Celli, A.; Medeiros, S.F.; Lacerda, T.M. Recent Advances in the Production of Biomedical Systems Based on Polyhydroxyalkanoates and Exopolysaccharides. Int. J. Biol. Macromol. 2021, 183, 1514–1539. [Google Scholar] [CrossRef] [PubMed]
- Rana, S.; Upadhyay, L.S.B. Microbial exopolysaccharides: Synthesis pathways, types and their commercial applications. Int. J. Biol. Macromol. 2020, 157, 577–583. [Google Scholar] [CrossRef] [PubMed]
- Varlamov, V.P.; Il’ina, A.V.; Shagdarova, B.T.; Lunkov, A.P.; Mysyakina, I.S. Chitin/Chitosan and Its Derivatives: Fundamental Problems and Practical Approaches. Biochemistry 2020, 85, 154–176. [Google Scholar] [CrossRef]
- Varlamov, V.P.; Mysyakina, I.S. Chitosan in Biology, Microbiology, Medicine, and Agriculture. Microbiology 2018, 87, 712–715. [Google Scholar] [CrossRef]
- Berninger, T.; Dietz, N.; González López, Ó. Water-Soluble Polymers in Agriculture: Xanthan Gum as Eco-Friendly Alternative to Synthetics. Microb. Biotechnol. 2021, 14, 1881–1896. [Google Scholar] [CrossRef]
- Zheng, F.; Chen, L.; Zhang, P.; Zhou, J.; Lu, X.; Tian, W. Carbohydrate Polymers Exhibit Great Potential as Effective Elicitors in Organic Agriculture: A Review. Carbohydr. Polym. 2020, 230, 115637. [Google Scholar] [CrossRef]
- Chang, L.; Xu, L.; Liu, Y.; Qiu, D. Superabsorbent polymers used for agricultural water retention. Polym. Test. 2021, 94, 115637. [Google Scholar] [CrossRef]
- Jahan, M.; Mahallati, M.N. Can Superabsorbent Polymers Improve Plants Production in Arid Regions? Adv. Polym. Technol. 2020, 2020, 7124394. [Google Scholar] [CrossRef]
- Mignon, A.; De Belie, N.; Dubruel, P.; Van Vlierberghe, S. Superabsorbent Polymers: A Review on the Characteristics and Applications of Synthetic, Polysaccharide-Based, Semi-Synthetic and ‘Smart’ Derivatives. Eur. Polym. J. 2019, 117, 165–178. [Google Scholar] [CrossRef]
- Liu, Y.; Wang, J.; Chen, H.; Cheng, D. Environmentally friendly hydrogel: A review of classification, preparation and application in agriculture. Sci. Total Environ. 2022, 846, 157303. [Google Scholar] [CrossRef] [PubMed]
- Zhang, W.; Wang, P.; Liu, S.; Chen, J.; Chen, R.; He, X.; Ma, G.; Lei, Z. Factors affecting the properties of superabsorbent polymer hydrogels and methods to improve their performance: A review. J. Mater. Sci. 2021, 56, 16223–16242. [Google Scholar] [CrossRef]
- Grabowska-Polanowska, B.; Garbowski, T.; Bar-Michalczyk, D.; Kowalczyk, A. The benefits of synthetic or natural hydrogels application in agriculture: An overview article. J. Water L. Dev. 2021, 51, 208–224. [Google Scholar] [CrossRef]
- Cheng, D.; Liu, Y.; Yang, G.; Zhang, A. Water- and Fertilizer-Integrated Hydrogel Derived from the Polymerization of Acrylic Acid and Urea as a Slow-Release N Fertilizer and Water Retention in Agriculture. J. Agric. Food Chem. 2018, 66, 5762–5769. [Google Scholar] [CrossRef]
- Ghehsareh, M.G.; Khosh-Khui, M.; Abedi-Koupai, J. Effects of superabsorbent polymer on water requirement and growth indices of ficus Benjamina L. «Starlight». J. Plant Nutr. 2010, 33, 785–795. [Google Scholar] [CrossRef]
- Rostampour, M.F.; Ghamari, M. The Effects of Water Deficit and Polymer on Some Physiological Traits in Corn (Zea mays L.). Entomol. Appl. Sci. Lett. 2014, 1, 31–39. [Google Scholar]
- Mohebi, A. Effects of Superabsorbents on Growth and Physiological Responses of Date Palm Seedling under Water Deficit Conditions. Int. J. Hortic. Sci. Technol. 2019, 6, 77–88. [Google Scholar] [CrossRef]
- El-Asmar, J.; Jaafar, H.; Bashour, I.; Farran, M.T.; Saoud, I.P. Hydrogel Banding Improves Plant Growth, Survival, and Water Use Efficiency in Two Calcareous Soils. Clean-Soil Air Water 2017, 45, 1700251. [Google Scholar] [CrossRef]
- Neethu, T.M.; Dubey, P.K.; Kaswala, A.R. Prospects and Applications of Hydrogel Technology in Agriculture. Int. J. Curr. Microbiol. Appl. Sci. 2018, 7, 3155–3162. [Google Scholar] [CrossRef]
- Albalasmeh, A.A.; Mohawesh, O.; Gharaibeh, M.A.; Alghamdi, A.G.; Alajlouni, M.A.; Alqudah, A.M. Effect of hydrogel on corn growth, water use efficiency, and soil properties in a semi-arid region. J. Saudi Soc. Agric. Sci. 2022. [Google Scholar] [CrossRef]
- Lejcuś, K.; Śpitalniak, M.; Dabrowska, J. Swelling behaviour of superabsorbent polymers for soil amendment under different loads. Polymers 2018, 10, 271. [Google Scholar] [CrossRef] [PubMed]
- Misiewicz, J.; Lejcuś, K.; Dąbrowska, J.; Marczak, D. The Characteristics of Absorbency Under Load (AUL) for Superabsorbent and Soil Mixtures. Sci. Rep. 2019, 9, 18098. [Google Scholar] [CrossRef] [PubMed]
- Misiewicz, J.; Datta, S.S.; Lejcuś, K.; Marczak, D. The Characteristics of Time-Dependent Changes of Coefficient of Permeability for Superabsorbent Polymer-Soil Mixtures. Materials 2022, 15, 4465. [Google Scholar] [CrossRef] [PubMed]
- Guvvali, T.; Thirupathaiah Guvvali, C. Hydrogel/superabsorbent polymer for water and nutrient management in horticultural crops-review Nirmala A and Thirupathaiah Guvvali. Int. J. Chem. Stud. 2019, 7, 787–795. [Google Scholar]
- Misiewicz, J.; Głogowski, A.; Lejcuś, K.; Marczak, D. The characteristics of swelling pressure for superabsorbent polymer and soil mixtures. Materials 2020, 13, 5071. [Google Scholar] [CrossRef]
- Śpitalniak, M.; Lejcuś, K.; Dabrowska, J.; Garlikowski, D.; Bogacz, A. The influence of a water absorbing geocomposite on soil water retention and soil matric potential. Water 2019, 11, 1731. [Google Scholar] [CrossRef]
- Yu, J.; Shi, J.G.; Ma, X.; Dang, P.F.; Yan, Y.L.; Mamedov, A.I.; Shainberg, I.; Levy, G.J. Superabsorbent Polymer Properties and Concentration Effects on Water Retention under Drying Conditions. Soil Sci. Soc. Am. J. 2017, 81, 889–901. [Google Scholar] [CrossRef]
- Hou, X.; Li, R.; He, W.; Dai, X.; Ma, K.; Liang, Y. Superabsorbent polymers influence soil physical properties and increase potato tuber yield in a dry-farming region. J. Soils Sediments 2018, 18, 816–826. [Google Scholar] [CrossRef]
- Kabir, M.H.; Ahmed, K.; Furukawa, H. A Low Cost Sensor Based Agriculture Monitoring System Using Polymeric Hydrogel. J. Electrochem. Soc. 2017, 164, B3107–B3112. [Google Scholar] [CrossRef]
- Smagin, A.; Panova, I.; Ilyasov, L.; Ogawa, K.; Adachi, Y.; Yaroslavov, A. Water retention in sandy substrates modified by cross-linked polymeric microgels and their complexes with a linear cationic polymer. J. Appl. Polym. Sci. 2021, 138, 50754. [Google Scholar] [CrossRef]
- Kuznetsov, V.A.; Selemenev, V.F.; Semenov, V.N.; Bakalova, M.V. Method for Obtaining Hydrophilic Cross-Linked Polymer with Superabsorbent Properties. RU2574722 C1, 10 February 2016. [Google Scholar]
- Semenov, V.N.; Zenischeva, A.V.; Selemenev, V.F.; Kuznetsov, V.A.; Lavlinskaya, M.S.; Loukine, A.A.; Sorokin, A.V. The study of hydration properties of the superabsobents used in agriculture. Sorbtsionnye I Khromatograficheskie Protsessy 2018, 18, 690–695. [Google Scholar] [CrossRef]
- Kuznetsov, V.A.; Lavlinskaya, M.S.; Ostankova, I.V.; Selemenev, V.F.; Semenov, V.N.; Loukine, A.L. Watersorption ability of rare cross-linked polymeric material with superabsorbent properties. Sorbtsionnye I Khromatograficheskie Protsessy 2017, 17, 484–489. [Google Scholar]
- Asamatdinov, A. New Water-Keeping Soil Additives. Mod. Chem. Appl. 2018, 6, 1000246. [Google Scholar] [CrossRef]
- Khodadadi Dehkordi, D.; Shamsnia, S.A. Application of Reclaimed Sodium Polyacrylate to Increase Soil Water Retention. Clean Soil Air Water 2020, 48, 2000068. [Google Scholar] [CrossRef]
- Oksińska, M.P.; Magnucka, E.G.; Lejcuś, K.; Pietr, S.J. Biodegradation of the cross-linked copolymer of acrylamide and potassium acrylate by soil bacteria. Environ. Sci. Pollut. Res. 2016, 23, 5969–5977. [Google Scholar] [CrossRef]
- Głowińska, A.; Trochimczuk, A.W.; Jakubiak-Marcinkowska, A. Novel acrylate/organophosphorus-based hydrogels for agricultural applications. New outlook and innovative concept for the use of 2-(methacryloyloxy)ethyl phosphate as a multi-purpose monomer. Eur. Polym. J. 2019, 110, 202–210. [Google Scholar] [CrossRef]
- Smagin, A.V.; Sadovnikova, N.B.; Smagina, M.V. Biodestruction of strongly swelling polymer hydrogels and its effect on the water retention capacity of soils. Eurasian Soil Sci. 2014, 47, 591–597. [Google Scholar] [CrossRef]
- Elhady, M.A.; Elnahas, H.; Meligi, G.; Ammar, A. Study of different methods to induce crosslinking of polyacrylamide for agriculture process. J. Part. Sci. Technol. 2019, 5, 1–11. [Google Scholar] [CrossRef]
- Feng, W.; Gao, J.; Cen, R.; Yang, F.; He, Z.; Wu, J.; Miao, Q.; Liao, H. Effects of polyacrylamide-based super absorbent polymer and corn straw biochar on the arid and semi-arid salinized soil. Agriculture 2020, 10, 519. [Google Scholar] [CrossRef]
- Dhiman, J.; Prasher, S.O.; ElSayed, E.; Patel, R.; Nzediegwu, C.; Mawof, A. Use of polyacrylamide superabsorbent polymers and plantain peel biochar to reduce heavy metal mobility and uptake by wastewater-irrigated potato plants. Trans. ASABE 2020, 63, 11–28. [Google Scholar] [CrossRef]
- Qi, Z.; Hu, X. Water absorbency of super absorbent polymer based on flexible polymeric network. Eur. Polym. J. 2022, 166, 111045. [Google Scholar] [CrossRef]
- Ghazali, S.; Jamar, S.; Noordin, N.; Tan, K.M. Properties of Controlled-Release-Water-Retention Fertilizer Coated with Carbonaceous-g-Poly(acrylic acid-co-acrylamide)Superabsorbent Polymer. Int. J. Chem. Eng. Appl. 2017, 8, 141–147. [Google Scholar] [CrossRef][Green Version]
- Queirós, M.V.A.; Bezerra, M.N.; Feitosa, J.P.A. Composite superabsorbent hydrogel of acrylic copolymer and eggshell: Effect of biofiller addition. J. Braz. Chem. Soc. 2017, 28, 2004–2012. [Google Scholar] [CrossRef]
- Pandey, P.; Giriraj; De, N. Halloysite Nanoclay Polymer Composite: Synthesis, Characterization and Effect on Water Retention Behaviour of Soil. Chem. Sci. Int. J. 2018, 23, 1–11. [Google Scholar] [CrossRef]
- Menceloǧlu, Y.; Menceloǧlu, Y.Z.; Seven, S.A. Triblock Superabsorbent Polymer Nanocomposites with Enhanced Water Retention Capacities and Rheological Characteristics. ACS Omega 2022, 7, 20486–20494. [Google Scholar] [CrossRef]
- Kenawy, E.R.; Seggiani, M.; Hosny, A.; Rashad, M.; Cinelli, P.; Saad-Allah, K.M.; El-Sharnouby, M.; Shendy, S.; Azaam, M.M. Superabsorbent composites based on rice husk for agricultural applications: Swelling behavior, biodegradability in soil and drought alleviation. J. Saudi Chem. Soc. 2021, 25, 101254. [Google Scholar] [CrossRef]
- Dhanapal, V.; Subhapriya, P.; Arunadevi, N.; Radjarejesri, S. Preparation and Evaluation of N, N1-Methylenebisacrylamide Crosslinked Polymer for the Controlled Release of Water and Fertilizer in Agriculture Sector. AIP Conf. Proc. 2021, 2352, 020054. [Google Scholar] [CrossRef]
- Li, Y.; Shi, H.; Zhang, H.; Chen, S. Amelioration of drought effects in wheat and cucumber by the combined application of super absorbent polymer and potential biofertilizer. PeerJ 2019, 2019, e6073. [Google Scholar] [CrossRef]
- Kalaleh, H.-A.; Atassi, Y. Up-scalable synthesis of high porous superabsorbent polymer via alkaline hydrolysis of acrylamide using microwave irradiation: Application in agriculture. J. Mater. Environ. Sci. 2018, 9, 955–963. [Google Scholar] [CrossRef]
- Zhang, W.; Wang, P.; Deng, Y.; He, X.; Yang, X.; Chen, R.; Lei, Z. Preparation of superabsorbent polymer gel based on PVPP and its application in water-holding in sandy soil. J. Environ. Chem. Eng. 2021, 9, 106760. [Google Scholar] [CrossRef]
- Suresh, R.; Prasher, S.O.; Patel, R.M.; Qi, Z.; Elsayed, E.; Schwinghamer, T.; Ehsan, A.M. Super absorbent polymer and irrigation regime effects on growth and water use efficiency of container-grown cherry tomatoes. Trans. ASABE 2018, 61, 523–531. [Google Scholar] [CrossRef]
- Singh, N.; Agarwal, S.; Jain, A.; Khan, S. 3-Dimensional Cross Linked Hydrophilic Polymeric Network “Hydrogels”: An Agriculture Boom. Agric. Water Manag. 2021, 253, 106939. [Google Scholar] [CrossRef]
- Chen, X.; Huang, L.; Mao, X.; Liao, Z.; He, Z. A Comparative Study of the Cellular Microscopic Characteristics and Mechanisms of Maize Seedling Damage from Superabsorbent Polymers. Pedosphere 2017, 27, 274–282. [Google Scholar] [CrossRef]
- Elshafie, H.S.; Camele, I. Applications of Absorbent Polymers for Sustainable Plant Protection and Crop Yield. Sustainability 2021, 13, 3253. [Google Scholar] [CrossRef]
- Bai, W.; Zhang, H.; Liu, B.; Wu, Y.; Song, J.Q. Effects of super-absorbent polymers on the physical and chemical properties of soil following different wetting and drying cycles. Soil Use Manag. 2010, 26, 253–260. [Google Scholar] [CrossRef]
- Pathak, V.; Ambrose, R.P.K. Starch-based biodegradable hydrogel as seed coating for corn to improve early growth under water shortage. J. Appl. Polym. Sci. 2020, 137, 48523. [Google Scholar] [CrossRef]
- Laftah, W.A.; Hashim, S.; Ibrahim, A.N. Polymer Hydrogels: A Review. Polym. Plast. Technol. Eng. 2011, 50, 1475–1486. [Google Scholar] [CrossRef]
- Wang, H.; Bai, W.; Peng, X.; Han, W.; He, J.; Song, J.; Lv, G. Effect of super absorbent polymer sodium polyacrylate on the bacterial community and associated chemistry of loessial soil. Arch. Agron. Soil Sci. 2020, 66, 70–82. [Google Scholar] [CrossRef]
- Li, S.; Chen, G. Agricultural Waste-Derived Superabsorbent Hydrogels: Preparation, Performance, and Socioeconomic Impacts. J. Clean. Prod. 2020, 251, 119669. [Google Scholar] [CrossRef]
- Sarkar, N.; Ghosh, S.K.; Bannerjee, S.; Aikat, K. Bioethanol Production from Agricultural Wastes: An Overview. Renew. Energy 2012, 37, 19–27. [Google Scholar] [CrossRef]
- Miljković, V.; Gajić, I.; Nikolić, L. Waste Materials as a Resource for Production of Cmc Superabsorbent Hydrogel for Sustainable Agriculture. Polymers 2021, 13, 4115. [Google Scholar] [CrossRef] [PubMed]
- Barajas-Ledesma, R.M.; Stocker, C.W.; Wong, V.N.L.; Little, K.; Patti, A.F.; Garnier, G. Biodegradation of a Nanocellulose Superabsorbent and Its Effect on the Growth of Spinach (Spinacea oleracea). ACS Agric. Sci. Technol. 2022, 2, 90–99. [Google Scholar] [CrossRef]
- Mendoza, L.; Hossain, L.; Downey, E.; Scales, C.; Batchelor, W.; Garnier, G. Carboxylated nanocellulose foams as superabsorbents. J. Colloid Interface Sci. 2019, 538, 433–439. [Google Scholar] [CrossRef] [PubMed]
- Barajas-Ledesma, R.M.; Patti, A.F.; Wong, V.N.L.; Raghuwanshi, V.S.; Garnier, G. Engineering nanocellulose superabsorbent structure by controlling the drying rate. Colloids Surfaces A Physicochem. Eng. Asp. 2020, 600, 124943. [Google Scholar] [CrossRef]
- Ang, S.; Haritos, V.; Batchelor, W. Cellulose nanofibers from recycled and virgin wood pulp: A comparative study of fiber development. Carbohydr. Polym. 2020, 234, 115900. [Google Scholar] [CrossRef] [PubMed]
- Diaz-Ramirez, J.; Urbina, L.; Eceiza, A.; Retegi, A.; Gabilondo, N. Superabsorbent bacterial cellulose spheres biosynthesized from winery by-products as natural carriers for fertilizers. Int. J. Biol. Macromol. 2021, 191, 1212–1220. [Google Scholar] [CrossRef]
- Molina-Ramírez, C.; Castro, M.; Osorio, M.; Torres-Taborda, M.; Gómez, B.; Zuluaga, R.; Gómez, C.; Gañán, P.; Rojas, O.J.; Castro, C. Effect of different carbon sources on bacterial nanocellulose production and structure using the low pH resistant strain Komagataeibacter medellinensis. Materials 2017, 10, 639. [Google Scholar] [CrossRef]
- Das, D.; Prakash, P.; Rout, P.K.; Bhaladhare, S. Synthesis and Characterization of Superabsorbent Cellulose-Based Hydrogel for Agriculture Application. Starch/Staerke 2021, 73, 1900284. [Google Scholar] [CrossRef]
- Guilherme, M.R.; Aouada, F.A.; Fajardo, A.R.; Martins, A.F.; Paulino, A.T.; Davi, M.F.T.; Rubira, A.F.; Muniz, E.C. Superabsorbent Hydrogels Based on Polysaccharides for Application in Agriculture as Soil Conditioner and Nutrient Carrier: A Review. Eur. Polym. J. 2015, 72, 365–385. [Google Scholar] [CrossRef]
- Berton, S.B.R.; de Jesus, G.A.M.; Sabino, R.M.; Monteiro, J.P.; Venter, S.A.S.; Bruschi, M.L.; Popat, K.C.; Matsushita, M.; Martins, A.F.; Bonafé, E.G. Properties of a commercial κ-carrageenan food ingredient and its durable superabsorbent hydrogels. Carbohydr. Res. 2020, 487, 107883. [Google Scholar] [CrossRef] [PubMed]
- Mujtaba, M.; Khawar, K.M.; Camara, M.C.; Carvalho, L.B.; Fraceto, L.F.; Morsi, R.E.; Elsabee, M.Z.; Kaya, M.; Labidi, J.; Ullah, H.; et al. Chitosan-Based Delivery Systems for Plants: A Brief Overview of Recent Advances and Future Directions. Int. J. Biol. Macromol. 2020, 154, 683–697. [Google Scholar] [CrossRef] [PubMed]
- Grenha, A. Chitosan nanoparticles: A survey of preparation methods. J. Drug Target. 2012, 20, 291–300. [Google Scholar] [CrossRef] [PubMed]
- Qu, B.; Luo, Y. Chitosan-Based Hydrogel Beads: Preparations, Modifications and Applications in Food and Agriculture Sectors—A Review. Int. J. Biol. Macromol. 2020, 152, 437–448. [Google Scholar] [CrossRef]
- Manikandan, A.; Sathiyabama, M. Preparation of Chitosan nanoparticles and its effect on detached rice leaves infected with Pyricularia grisea. Int. J. Biol. Macromol. 2016, 84, 58–61. [Google Scholar] [CrossRef]
- Saharan, V.; Sharma, G.; Yadav, M.; Choudhary, M.K.; Sharma, S.S.; Pal, A.; Raliya, R.; Biswas, P. Synthesis and in vitro antifungal efficacy of Cu-chitosan nanoparticles against pathogenic fungi of tomato. Int. J. Biol. Macromol. 2015, 75, 346–353. [Google Scholar] [CrossRef]
- Xing, K.; Shen, X.; Zhu, X.; Ju, X.; Miao, X.; Tian, J.; Feng, Z.; Peng, X.; Jiang, J.; Qin, S. Synthesis and in vitro antifungal efficacy of oleoyl-chitosan nanoparticles against plant pathogenic fungi. Int. J. Biol. Macromol. 2016, 82, 830–836. [Google Scholar] [CrossRef]
- Silveira, N.M.; Seabra, A.B.; Marcos, F.C.C.; Pelegrino, M.T.; Machado, E.C.; Ribeiro, R.V. Encapsulation of S-nitrosoglutathione into chitosan nanoparticles improves drought tolerance of sugarcane plants. Nitric Oxide Biol. Chem. 2019, 84, 38–44. [Google Scholar] [CrossRef]
- Perez, J.J.; Francois, N.J. Chitosan-starch beads prepared by ionotropic gelation as potential matrices for controlled release of fertilizers. Carbohydr. Polym. 2016, 148, 134–142. [Google Scholar] [CrossRef]
- Duquette, D.; Dumont, M.J. Comparative studies of chemical crosslinking reactions and applications of bio-based hydrogels. Polym. Bull. 2019, 76, 2683–2710. [Google Scholar] [CrossRef]
- Pourjavadi, A.; Kurdtabar, M.; Mahdavinia, G.R.; Hosseinzadeh, H. Synthesis and super-swelling behavior of a novel protein-based superabsorbent hydrogel. Polym. Bull. 2006, 57, 813–824. [Google Scholar] [CrossRef]
- Xu, S.; Li, X.; Wang, Y.; Hu, Z.; Wang, R. Characterization of slow-release collagen-g-poly(acrylic acid-co-2-acrylamido-2-methyl-1-propane sulfonic acid)–iron(III) superabsorbent polymer containing fertilizer. J. Appl. Polym. Sci. 2019, 136, 47178. [Google Scholar] [CrossRef]
- Ramli, R.A. Slow Release Fertilizer Hydrogels: A Review. Polym. Chem. 2019, 10, 6073–6090. [Google Scholar] [CrossRef]
- Zhang, W.; Liu, Q.; Guo, L.; Wang, P.; Liu, S.; Chen, J.; Lei, Z. White Cabbage (Brassica oleracea L.) waste, as biowaste for the preparation of novel superabsorbent polymer gel. J. Environ. Chem. Eng. 2021, 9, 106689. [Google Scholar] [CrossRef]
- Zhang, H.; Yang, M.; Luan, Q.; Tang, H.; Huang, F.; Xiang, X.; Yang, C.; Bao, Y. Cellulose Anionic Hydrogels Based on Cellulose Nanofibers as Natural Stimulants for Seed Germination and Seedling Growth. J. Agric. Food Chem. 2017, 65, 3785–3791. [Google Scholar] [CrossRef]
- El Salmawi, K.M.; Ibrahim, S.M. Characterization of superabsorbent carboxymethylcellulose/clay hydrogel prepared by electron beam irradiation. Macromol. Res. 2011, 19, 1029–1034. [Google Scholar] [CrossRef]
- Salmawi, K.M.E.; El-Naggar, A.A.; Ibrahim, S.M. Gamma Irradiation Synthesis of Carboxymethyl Cellulose/Acrylic Acid/Clay Superabsorbent Hydrogel. Adv. Polym. Technol. 2018, 37, 515–521. [Google Scholar] [CrossRef]
- Guo, Y.; Guo, R.; Shi, X.; Lian, S.; Zhou, Q.; Chen, Y.; Liu, W.; Li, W. Synthesis of cellulose-based superabsorbent hydrogel with high salt tolerance for soil conditioning. Int. J. Biol. Macromol. 2022, 209, 1169–1178. [Google Scholar] [CrossRef]
- Tanaka, F.N.; Ferreira, C.R., Jr.; de Moura, M.R.; Aouada, F.A. Water Absorption and Physicochemical Characterization of Novel Zeolite-PMAA-co-PAAm Nanocomposites. J. Nanosci. Nanotechnol. 2018, 18, 7286–7295. [Google Scholar] [CrossRef]
- Ye, X.; Peng, H.; Liu, X.; Xiong, H.; Wang, N.; Yang, F.; Kong, Y.; Yang, Z.; Lei, Z. Preparation and fertilizer retention/anti-leakage performances of superabsorbent composite based on hydroxypropyl methyl cellulose. Carbohydr. Polym. 2021, 274, 118636. [Google Scholar] [CrossRef]
- Zhang, H.; Luan, Q.; Huang, Q.; Tang, H.; Huang, F.; Li, W.; Wan, C.; Liu, C.; Xu, J.; Guo, P.; et al. A facile and efficient strategy for the fabrication of porous linseed gum/cellulose superabsorbent hydrogels for water conservation. Carbohydr. Polym. 2017, 157, 1830–1836. [Google Scholar] [CrossRef] [PubMed]
- Meng, Y.; Liu, X.; Li, C.; Liu, H.; Cheng, Y.; Lu, J.; Zhang, K.; Wang, H. Super-swelling lignin-based biopolymer hydrogels for soil water retention from paper industry waste. Int. J. Biol. Macromol. 2019, 135, 815–820. [Google Scholar] [CrossRef] [PubMed]
- Khushbu; Warkar, S.G.; Thombare, N. Controlled release and release kinetics studies of boron through the functional formulation of carboxymethyl tamarind kernel gum-based superabsorbent hydrogel. Polym. Bull. 2022, 79, 2287–2303. [Google Scholar] [CrossRef]
- Thombare, N.; Mishra, S.; Shinde, R.; Siddiqui, M.Z.; Jha, U. Guar gum based hydrogel as controlled micronutrient delivery system: Mechanism and kinetics of boron release for agricultural applications. Biopolymers 2021, 112, e23418. [Google Scholar] [CrossRef]
- Choudhary, S.; Sharma, K.; Bhatti, M.S.; Sharma, V.; Kumar, V. DOE-based synthesis of gellan gum-acrylic acid-based biodegradable hydrogels: Screening of significant process variables and in situ field studies. RSC Adv. 2022, 12, 4780–4794. [Google Scholar] [CrossRef]
- Songara, J.C.; Patel, J.N. Synthesis of guar gum-based hydrogel for sugarcane field solid conditioning. J. Indian Chem. Soc. 2021, 98, 100220. [Google Scholar] [CrossRef]
- Hasija, V.; Sharma, K.; Kumar, V.; Sharma, S.; Sharma, V. Green synthesis of agar/Gum Arabic based superabsorbent as an alternative for irrigation in agriculture. Vacuum 2018, 157, 458–464. [Google Scholar] [CrossRef]
- Saruchi; Kumar, V.; Mittal, H.; Alhassan, S.M. Biodegradable hydrogels of tragacanth gum polysaccharide to improve water retention capacity of soil and environment-friendly controlled release of agrochemicals. Int. J. Biol. Macromol. 2019, 132, 1252–1261. [Google Scholar] [CrossRef]
- Feng, D.; Bai, B.; Wang, H.; Suo, Y. Novel Fabrication of Biodegradable Superabsorbent Microspheres with Diffusion Barrier through Thermo-Chemical Modification and Their Potential Agriculture Applications for Water Holding and Sustained Release of Fertilizer. J. Agric. Food Chem. 2017, 65, 5896–5907. [Google Scholar] [CrossRef]
- Amaraweera, S.M.; Gunathilake, C.; Gunawardene, O.H.P.; Fernando, N.M.L.; Wanninayaka, D.B.; Dassanayake, R.S.; Rajapaksha, S.M.; Manamperi, A.; Fernando, C.A.N.; Kulatunga, A.K.; et al. Development of Starch-Based Materials Using Current Modification Techniques and Their Applications: A Review. Molecules 2021, 26, 6880. [Google Scholar] [CrossRef]
- Zhao, C.; Zhang, M.; Liu, Z.; Guo, Y.; Zhang, Q. Salt-Tolerant Superabsorbent Polymer with High Capacity of Water-Nutrient Retention Derived from Sulfamic Acid-Modified Starch. ACS Omega 2019, 4, 5923–5930. [Google Scholar] [CrossRef] [PubMed]
- Salimi, M.; Motamedi, E.; Motesharezedeh, B.; Hosseini, H.M.; Alikhani, H.A. Starch-g-poly(acrylic acid-co-acrylamide) composites reinforced with natural char nanoparticles toward environmentally benign slow-release urea fertilizers. J. Environ. Chem. Eng. 2020, 8, 103765. [Google Scholar] [CrossRef]
- Meng, Y.; Ye, L. Synthesis and swelling property of superabsorbent starch grafted with acrylic acid/2-acrylamido-2-methyl-1-propanesulfonic acid. J. Sci. Food Agric. 2017, 97, 3831–3840. [Google Scholar] [CrossRef] [PubMed]
- Meng, Y.; Ye, L. Synthesis and swelling property of the starch-based macroporous superabsorbent. J. Appl. Polym. Sci. 2017, 134, 44855. [Google Scholar] [CrossRef]
- Michalik, R.; Wandzik, I. A Mini-Review on Chitosan-Based Hydrogels with Potential for Sustainable Agricultural Applications. Polymers 2020, 12, 2425. [Google Scholar] [CrossRef] [PubMed]
- Ravishankar, K.; Dhamodharan, R. Advances in Chitosan-Based Hydrogels: Evolution from Covalently Crosslinked Systems to Ionotropically Crosslinked Superabsorbents. React. Funct. Polym. 2020, 149, 104517. [Google Scholar] [CrossRef]
- Cheng, B.; Pei, B.; Wang, Z.; Hu, Q. Advances in Chitosan-Based Superabsorbent Hydrogels. RSC Adv. 2017, 7, 42036–42046. [Google Scholar] [CrossRef]
- Wang, J.; Zhuang, S. Chitosan-Based Materials: Preparation, Modification and Application. J. Clean. Prod. 2022, 355, 131825. [Google Scholar] [CrossRef]
- Yu, J.; Wang, D.; Geetha, N.; Khawar, K.M.; Jogaiah, S.; Mujtaba, M. Current Trends and Challenges in the Synthesis and Applications of Chitosan-Based Nanocomposites for Plants: A Review. Carbohydr. Polym. 2021, 261, 117904. [Google Scholar] [CrossRef]
- Fatullayeva, S.; Tagiyev, D.; Zeynalov, N.; Mammadova, S.; Aliyeva, E. Recent advances of chitosan-based polymers in biomedical applications and environmental protection. J. Polym. Res. 2022, 29, 259. [Google Scholar] [CrossRef]
- Khan, A.; Alamry, K.A. Recent Advances of Emerging Green Chitosan-Based Biomaterials with Potential Biomedical Applications: A Review. Carbohydr. Res. 2021, 506, 108368. [Google Scholar] [CrossRef] [PubMed]
- Vildanova, R.R.; Sigaeva, N.N.; Kukovinets, O.S.; Kolesov, S.V. Preparation and rheological properties of hydrogels based on N-succinyl chitosan and hyaluronic acid dialdehyde. Polym. Test. 2021, 96, 107120. [Google Scholar] [CrossRef]
- Sorokin, A.; Lavlinskaya, M. Synthesis of the superabsobents enriched in chitosan derivatives with excellent water absorption properties. Polym. Bull. 2022, 79, 407–427. [Google Scholar] [CrossRef]
- Li, S.; Yang, F.; Xiang, K.; Chen, J.; Zhang, Y.; Wang, J.; Sun, J.; Li, Y.; Lvhong, D.J. A Multifunctional Microspheric Soil Conditioner Based on Chitosan Grafted Poly(Acrylamide-Co-Acrylic Acid)/Biochar. Langmuir 2022, 38, 5717–5729. [Google Scholar] [CrossRef] [PubMed]
- Tomadoni, B.; Salcedo, M.F.; Mansilla, A.Y.; Casalongué, C.A.; Alvarez, V.A. Macroporous alginate-based hydrogels to control soil substrate moisture: Effect on lettuce plants under drought stress. Eur. Polym. J. 2020, 137, 109953. [Google Scholar] [CrossRef]
- López-Velázquez, J.C.; Rodríguez-Rodríguez, R.; Espinosa-Andrews, H.; Qui-Zapata, J.A.; García-Morales, S.; Navarro-López, D.E.; Luna-Bárcenas, G.; Vassallo-Brigneti, E.C.; García-Carvajal, Z.Y. Gelatin–chitosan–PVA hydrogels and their application in agriculture. J. Chem. Technol. Biotechnol. 2019, 94, 3495–3504. [Google Scholar] [CrossRef]
- González Gómez, H.; Ramírez Godina, F.; Ortega Ortiz, H.; Benavides Mendoza, A.; Robledo Torres, V.; Cabrera De la Fuente, M. Use of Chitosan-PVA Hydrogels with Copper Nanoparticles to Improve the Growth of Grafted Watermelon. Molecules 2017, 22, 1031. [Google Scholar] [CrossRef]
- Essawy, H.A.; Ghazy, M.B.M.; El-Hai, F.A.; Mohamed, M.F. Superabsorbent hydrogels via graft polymerization of acrylic acid from chitosan-cellulose hybrid and their potential in controlled release of soil nutrients. Int. J. Biol. Macromol. 2016, 89, 144–151. [Google Scholar] [CrossRef]































| Polymer Network Type | Gelation Means | Mechanisms or Agents Involved |
|---|---|---|
| Chemical networks | Chemically induced free radical polymerization | Thermal initiation Redox initiation Photo (UV) initiation |
| Radiation induced free radical polymerization | γ-radiation Electron beam radiation | |
| Non-polymerizable cross-linking agents | Ethylenediamine tetraacetic dianhydride Citric acid anhydride Glutaraldehyde Ethylenediamine Epichlorohydrin Urea | |
| Physical networks | Electrostatic interactions | Multivalent metal ions (Ca2+, Cu2+, Mg2+, Fe2+, Ba2+, Al3+, Fe3+) Polyelectrolytes |
| Semi-interpenetrating network | Chain entanglements via hydrogen bonds and Van der Waals interactions |
| Structural Factor | Available Options | Affected Properties | |
|---|---|---|---|
| Chemical structure of the main polymer chain | Synthetic polymers, Natural polymers | Water absorption Biodegradability Biocompatibility Mechanical strength | |
| Monomer, constituting cross-linking chains | Non-ionic | Acrylamide | Water absorption Salinity tolerance Biocompatibility |
| Anionic | Acrylic acid Methacrylic acid 2-acrylamido-2-methyl-propane sulfonic acid | ||
| Cationic | N,N-dimethylaminoethyl methacrylate N,N-dimethylaminopropyl methacrylamide | ||
| Cross-linker structure | N,N′-methylene bisacrylamide Ethylene glycol dimethacrylate Polyethyleneglycol di(meth)acrylate | Elasticity Viscosity Mechanical strength Water absorption | |
| Neutralizing agent | Potassium hydroxide Sodium hydroxide | Water absorption Salinity tolerance Mechanical strength | |
| Hydrophilic groups | Non-ionic | Hydroxyl Amide | Water absorption Salinity tolerance |
| Anionic | Carboxyl Sulfonic acid Phosphoric acid | ||
| Cationic | Amino | ||
Publisher’s Note: MDPI stays neutral with regard to jurisdictional claims in published maps and institutional affiliations. |
© 2022 by the authors. Licensee MDPI, Basel, Switzerland. This article is an open access article distributed under the terms and conditions of the Creative Commons Attribution (CC BY) license (https://creativecommons.org/licenses/by/4.0/).
Share and Cite
Krasnopeeva, E.L.; Panova, G.G.; Yakimansky, A.V. Agricultural Applications of Superabsorbent Polymer Hydrogels. Int. J. Mol. Sci. 2022, 23, 15134. https://doi.org/10.3390/ijms232315134
Krasnopeeva EL, Panova GG, Yakimansky AV. Agricultural Applications of Superabsorbent Polymer Hydrogels. International Journal of Molecular Sciences. 2022; 23(23):15134. https://doi.org/10.3390/ijms232315134
Chicago/Turabian StyleKrasnopeeva, Elena L., Gaiane G. Panova, and Alexander V. Yakimansky. 2022. "Agricultural Applications of Superabsorbent Polymer Hydrogels" International Journal of Molecular Sciences 23, no. 23: 15134. https://doi.org/10.3390/ijms232315134
APA StyleKrasnopeeva, E. L., Panova, G. G., & Yakimansky, A. V. (2022). Agricultural Applications of Superabsorbent Polymer Hydrogels. International Journal of Molecular Sciences, 23(23), 15134. https://doi.org/10.3390/ijms232315134
