Abstract
The R2R3-MYB is a large gene family involved in various plant functions, including carotenoid biosynthesis. However, this gene family lacks a comprehensive analysis in wolfberry (Lycium barbarum L.) and other Solanaceae species. The recent sequencing of the wolfberry genome provides an opportunity for investigating the organization and evolutionary characteristics of R2R3-MYB genes in wolfberry and other Solanaceae species. A total of 610 R2R3-MYB genes were identified in five Solanaceae species, including 137 in wolfberry. The LbaR2R3-MYB genes were grouped into 31 subgroups based on phylogenetic analysis, conserved gene structures, and motif composition. Five groups only of Solanaceae R2R3-MYB genes were functionally divergent during evolution. Dispersed and whole duplication events are critical for expanding the R2R3-MYB gene family. There were 287 orthologous gene pairs between wolfberry and the other four selected Solanaceae species. RNA-seq analysis identified the expression level of LbaR2R3-MYB differential gene expression (DEGs) and carotenoid biosynthesis genes (CBGs) in fruit development stages. The highly expressed LbaR2R3-MYB genes are co-expressed with CBGs during fruit development. A quantitative Real-Time (qRT)-PCR verified seven selected candidate genes. Thus, Lba11g0183 and Lba02g01219 are candidate genes regulating carotenoid biosynthesis in wolfberry. This study elucidates the evolution and function of R2R3-MYB genes in wolfberry and the four Solanaceae species.
1. Introduction
Wolfberry (Lycium barbarum L., 2n = 2x = 24), of the genus Lycium within the Solanaceae family, is an important Chinese traditional herbal medicine [1]. The fruits are a rich source of carotenoids, flavonoids, and polysaccharides, contributing to wolfberry’s immune-enhancing, antioxidant, and anti-tumor effects [2,3,4]. The carotenoids are responsible for L. barbarum fruit colorations [5,6]. Moreover, fruit color is a key factor in wolfberry fruit quality. Fruit colorations involve complex biochemical changes due to genetic and environmental factors. Hence, understanding the genetic factors controlling carotenoid accumulation is valuable to wolfberry breeding to generate novel fruit phenotypes. Carotenoid biosynthetic genes (CBGs) have been cloned and characterized in various plant species [7,8,9], including wolfberry. However, the transcriptional regulatory mechanisms of carotenoids in wolfberry are unclear.
V-myb avian myeloblastosis viral oncogene homolog (MYB) transcription factors (TFs) are major regulators of plant genes containing a highly conserved MYB DNA binding domain, widely distributed in eukaryotes [10]. The MYB superfamily is grouped into four subfamilies: 1R-MYB (MYB-related and R3-MYB), R2R3-MYB, 3R-MYB (R1R2R3-MYB), and 4RMYB. R2R3-MYB is the largest subfamily, with some members regulating plant growth and developmental [11], primary and secondary metabolism [12,13,14,15,16,17], response to various biotic and abiotic stresses [18,19,20,21], hormone synthesis, and signal transduction [22]. In recent years, more studies focused on the R2R3-MYB TFs regulating carotenoid metabolism. For example, the first R2R3-MYB TF, RCP1, regulates carotenoid pigmentation in Mimulus lewisii flowers [23]. In tomato, SlMYB72 negatively regulates carotenoid biosynthesis by decreasing the expressions of phytoene synthase (PSY), 15-cis-ζ-carotene isomerase (ZISO), and lycopene β-cyclase (LCYB) genes [24]. In citrus, CrMYB68 directly represses the transformation of α-and β-carotene by regulating the expressions of CrBCH2 and CrNCED5 promoters [25]. AdMYB7 is overexpressed in kiwifruit, which regulates the LCY-β promoter, thus increasing carotenoid and chlorophyll pigment contents [26]. In Medicago truncatula, an R2R3-MYB TF, MtWP1 was identified in an alfalfa flower color-isolation population, and MtWP1 regulates carotenoid accumulation by combining MtTT8 and MtWD40-1 [27]. These studies revealed that R2R3-MYB TFs regulate carotenoid biosynthesis. However, very little is known about the R2R3-MYB TF regulation of carotenoid metabolism in wolfberry [5].
An increasing number of R2R3-MYB genes were recently identified in various plant species, including Arabidopsis (Arabidopsis thaliana), tomato (Solanum lycopersicum), pepper (Capsicum annuum), potato (Solanum tuberosum), plum (Prunus salicina), Chinese Bayberry (Morella rubra), tea (Camellia sinensis), Liriodendron, pineapple (Ananas comosus), Chinese pistache (Pistacia chinensis), and ginkgo (Ginkgo biloba) [28,29,30,31,32,33,34,35,36,37,38]. However, there are no reports about the R2R3-MYB gene family in wolfberry. Moreover, there is less information about R2R3-MYB than other Solanaceae genes where the R2R3-MYB gene family is identified, except wolfberry. This study first identified R2R3-MYB genes in wolfberry and performed a comprehensive analysis of the R2R3-MYB gene family in five Solanaceae species, including wolfberry, tomato, pepper, potato, and eggplant, to provide insights into the functional divergence among different species.
To date, genome sequences of five Solanaceae species have been sequenced and released, including wolfberry (L. barbarum), tomato (S. lycopersicum), pepper (C. annuum), potato (S. tuberosum), and eggplant (S. melongena) [39,40,41,42,43]. These genomic resources are informative for comparative analyses of the R2R3-MYB gene family among the Solanaceae species. Accordingly, this study involved genome-wide identification of R2R3-MYB genes in the five sequenced Solanaceae species. The evolutionary history of R2R3-MYB genes involved the comprehensive analysis of phylogeny, gene structure, conserved domains, and gene duplication events. Moreover, the study investigated the expression patterns of LbaR2R3-MYB genes by analyzing transcriptome data and quantitative-real time (qRT)-PCR analysis from fruit development stages. Furthermore, co-expression networks were constructed. The results indicate that two LbaR2R3-MYB genes probably regulate carotenoid metabolism. This study elucidates the evolutionary and functional roles of the R2R3-MYB family genes in wolfberry and other Solanaceae species.
2. Results
2.1. Identification and Sequence Analysis of R2R3-MYB Genes in Five Solanaceae Species
Members of the R2R3-MYB gene family were searched using two strategies: a BLASTP search using 124 AtR2R3-MYB sequences as queries and an Hidden Markov Model (HMM) search using the MYB domain file (PF00249). A total of 1326 MYB candidate genes were retrieved from the five Solanaceae species. The retrieved sequences were aligned to the SMART, Pfam, and CDD databases to identify R2 and R3 domains. The 716 sequences that lacked both R2 and R3 domains were removed. Thus, 610 R2R3-MYB genes were identified (Table 1) in wolfberry (137), tomato (133), pepper (108), potato (109), and eggplant (123) (Table S1).
Table 1.
Genomic information and identified R2R3-MYB gene numbers in five Solanaceae species.
The R2 and R3 amino acid sequences from the five Solanaceae species were used for multiple sequence alignments. In Figure S1, we observed different amino acid frequencies for each position of the R2 and R3 domains, confirming the conserved nature of these domains. All R2R3-MYB genes had three conserved tryptophans in the R2 domain and two in the R3 domain, where a hydrophobic amino acid replaced the first tryptophan. This observation is consistent with other studies of the R2R3-MYB gene family in potato, Japanese plum, and watermelon [31,32,44].
2.2. The Classification, Gene Structure, and Motif Composition of LbaR2R3-MYB Genes
A maximum-likelihood (ML) phylogenetic tree was constructed using full-length R2R3-MYB protein sequences from wolfberry and Arabidopsis to classify the wolfberry R2R3-MYB genes. This study employed Arabidopsis R2R3-MYB proteins as a reference to classify and categorize wolfberry R2R3-MYB members into 31 subgroups (designated C1 to C31) using sequence similarity (Figure 1a and Figure S2). The defined clades in Arabidopsis were labeled in the evolutionary tree. Previous studies with high bootstraps supported the largest subgroups (A1 and A3) in this study. Nevertheless, some subgroups (A7 and A31) were not retrieved from the phylogenetic tree of AtR2R3-MYB proteins. Twenty-five LbaR3-MYB proteins did not fit into any subgroup.
Figure 1.
Phylogenetic relationship, conserved protein motifs, and gene structure in LbaR2R3-MYB genes. (a) The maximum-likelihood (ML) phylogeny includes 137 R2R3-MYB proteins from wolfberry, grouped into 31 subgroups, sequentially designated as C1 to C31. The corresponding MYB subgroup names in Arabidopsis are also marked. (b) Gene structure of wolfberry R2R3-MYB genes. Yellow boxes indicate exons; black lines indicate introns. (c) The motif composition of wolfberry R2R3-MYB proteins. Twenty different motifs are displayed in different colored boxes. The length of proteins can be estimated using the scale at the bottom.
The exon–intron structure analysis of the 137 LbaR2R3-MYB genes indicated that introns disrupted most of their coding sequences, except for one gene from subgroup A25 and three from subgroup A26 (Figure 1b). The number of exons in LbaR2R3-MYB genes ranged from one to twelve, with an average of 3.0. Among these, 85 LbaR2R3-MYB genes had three exons, accounting for approximately 62% of the LbaR2R3-MYB gene family, whereas 14% of the LbaR2R3-MYB genes had more than three exons. Most LbaR2R3-MYB genes clustered in related groups with similar exon-intron structures, such as A1, A6, A9, A10, A21, and A22 (Figure 1b).
Subsequently, the MEME program identified 20 conserved motifs among wolfberry R2R3-MYB proteins (Table S2). Most of the LbaR2R3-MYB DNA-binding domains contained motifs 1, 2, 3, 4, 5, and 8 (Figure 1c). The R2R3-MYB domain is highly conserved; thus, R2R3-MYB members within the same subgroup usually have similar motif composition, but different subgroups vary greatly. Moreover, some subgroup-specific motifs were detected, probably required for subgroup-specific functions. For instance, motifs 17 and 18 were only found among subgroup A13, whereas motif 10 was unique to subgroup A31. These results indicate the divergence of LbaR2R3-MYB TFs.
2.3. Comparative Phylogenetic Analysis of the R2R3-MYB Family in Five Solanaceae Species
A maximum-likelihood phylogenetic tree was constructed using all R2R3-MYB protein sequences from Arabidopsis and the five Solanaceae species. Figure 2 and Figure S3 show the condensed and complete phylogenetic trees. The comparative phylogenetic analysis divided R2R3-MYB proteins from the six species into 36 subgroups (designed as C1 to C36). The tree topology showed that only subgroup C3 included R2R3-MYB proteins of all five Solanaceae species. Meanwhile, subgroup C35 included members from all Solanaceae species except wolfberry. There were no wolfberry-specific subgroups. Particularly, subgroup C18 was only present in Arabidopsis and not in Solanaceae species.
Figure 2.
A phylogenetic tree of R2R3-MYB proteins. A total of 137 proteins from wolfberry (Lba), 133 from tomato (Sl), 108 from pepper (Ca), 109 from potato (St), 123 from eggplant (Sme), and 124 from Arabidopsis (At) were used. The full-length amino acid sequences of R2R3-MYB proteins were aligned using Muscle and the phylogenetic tree was constructed using the maximum-likelihood method. R2R3-MYB proteins from the six species clustered into 36 subgroups (triangles) designated as C1 to C36. Four proteins did not fit well into subgroups (lines). The tables on the right indicate the number of subgroup members in each species. The uncompressed tree is available in Supplementary Figure S3.
Most clades included members from all six species, but the R2R3-MYB proteins were not equally represented in the six species within any given clade. Some subgroups (C4, C5, C6, C13, and C19) contained more abundant R2R3-MYB from Solanaceae species than from Arabidopsis, while several subgroups (C32 and C33) contained fewer Solanaceae R2R3-MYB proteins. Moreover, many clades from wolfberry had more R2R-MYB proteins than the other four Solanaceae species.
2.4. Analysis of Gene Duplication Events and Chromosomal Distributions of the R2R3-MYB Gene Family
Multigene families originate from gene duplication and are the proven prominent feature of plant genome evolution [45]. Five modes of gene duplication, including whole-genome duplication (WGD), tandem duplication (TD), proximal duplication (PD), transposed duplication (TRD), and dispersed duplication (DSD), were analyzed in the five Solanaceae species to investigate the origin of the R2R3-MYB family genes.
The study investigated different gene duplication events and identified their contributions to expanding the R2R3-MYB gene family. There were 842 duplicated gene pairs in the five Solanaceae species. DSDs (358 gene pairs), WGDs (213 gene pairs), and TRDs (159 gene pairs) were the maximum number of gene pairs, suggesting that the expansion of the R2R3-MYB gene family was mainly associated with DSD, WGD, and TRD events. In contrast, only 49 and 72 PDs and TDs were identified in the R2R3-MYB gene family. The number of WGD-pairs in wolfberry (63), tomato (54), and eggplant (51), which shared a recent lineage-specific WGD event, are greater than potato (21) and pepper (24). The disparity indicates the importance of WGD events in the R2R3-MYB family expansion in wolfberry, tomato, and eggplant. DSD and TRD events occurred more frequently in pepper, which had not experienced recent WGD events, suggesting the importance of single-gene duplications in expanding the R2R3-MYB family during the long-term evolution of these genomes (Figure 3 and Table S4).
Figure 3.
The number of R2R3-MYB gene pairs derived from different gene duplication events in the five Solanaceae species. (a) The phylogenetic relationship among the five Solanaceae species. (b) The number of different models of duplicated gene pairs in each species. The x-axis represents the number of duplicated gene pairs. The y-axis represents species. Whole-genome duplication (WGD), tandem duplication (TD), proximal duplication (PD), transposed duplication (TRD), and dispersed duplication (DSD).
The study also analyzed the distribution of R2R3-MYB genes on the chromosomes of five Solanaceae species. For wolfberry, 137 R2R3-MYB genes were randomly distributed on 12 chromosomes. The wolfberry chromosome 1 had the highest number of genes (21) compared with the other chromosomes. However, chromosome 10 had only four R2R3-MYB genes. There was no significant correlation between the chromosome length and the number of LbaR2R3-MYB genes (Figure S4). Similarly, the R2R3-MYB genes were randomly distributed in the other four Solanaceae species (Figure 4). The study further identified intra-genomic synteny blocks for each species. There were 153 syntenic gene pairs among the five Solanaceae species (Figure 4). Of these, wolfberry (Figure 4a), tomato (Figure 4b), pepper (Figure 4c), potato (Figure 4d), and eggplant had 48, 38, 16, 16, and 35 syntenic pairs, respectively (Figure 4e and Table S4).
Figure 4.
Gene location and collinearity analysis of the R2R3-MYB gene family. (a) Wolfberry; (b) tomato; (c) pepper; (d) potato; (e) eggplant. The R2R3-MYB genes in five Solanaceae species mapped on the different chromosomes. Red-colored lines joined gene pairs with a syntenic relationship.
The comparative syntenic map of wolfberry associated with Arabidopsis and four other Solanaceae species was constructed. The study also identified the orthologous R2R3-MYB genes to infer the evolutionary mechanisms of LbaR2R3-MYB genes (Figure 5). A total of 80, 26, 77, 87, and 17 orthologous gene pairs were identified between wolfberry and tomato, pepper, potato, eggplant, and Arabidopsis, respectively. Interestingly, some collinear gene pairs were only found between wolfberry and specific species. For example, the collinear gene pairs Lba08g01691-Solyc10g083900.2.1 and Lba11g00940-Capana07g001606 were only available between wolfberry and tomato and between wolfberry and pepper, respectively. Forty-one LbaR2R3-MYB genes had collinear relationships with other selected four Solanaceae species. However, 79 LbaR2R3-MYB genes were associated with Solanaceae-specific collinear gene pairs but absent between wolfberry and Arabidopsis (Table S5). The formation of these species-specific collinear gene pairs might be related to the evolutionary mechanism in Solanaceae species. Additionally, some LbaR2R3-MYB genes were associated with two or more orthologous gene pairs. For example, Lba02g02412 is orthologous to Solyc04g078420.1.1, PGSC0003DMT400008569, and Smechr0202641.1.
Figure 5.
Synteny analyses of R2R3-MYB genes between wolfberry and the five representative species. The gray lines in the background indicate the collinear block with wolfberry and other five plant species genomes, while red lines highlight syntenic R2R3-MYB gene pairs, respectively.
2.5. Nonsynonymous (Ka) and Synonymous (Ks) Substitutions per Site and Ka/Ks Analysis of the R2R3-MYB Family Genes
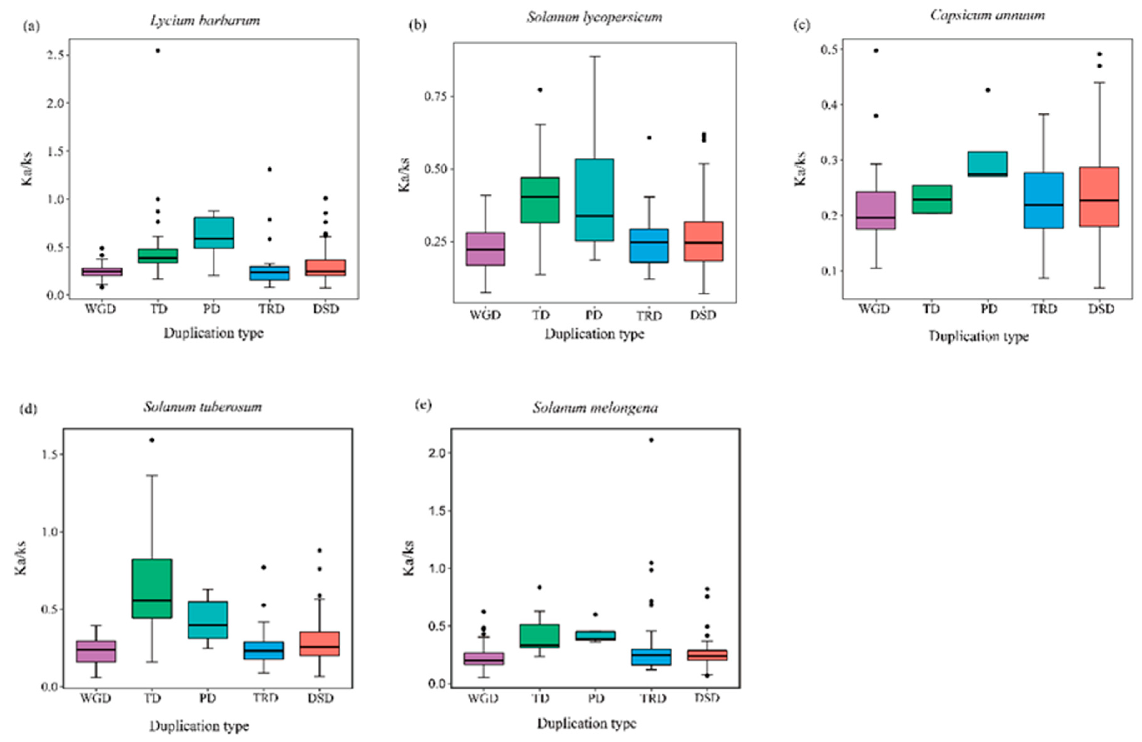
The Ks value estimates the evolutionary history of WGD events. The mean Ks values of WGD-derived gene pairs in wolfberry, tomato, pepper, potato, and eggplant were 1.14, 1.11, 1.36, 1.35, and 1.35, respectively. Lower Ks values of WGD-derived gene pairs in the five Solanaceae species suggested that the genes were duplicated and retained from recent WGD events (Figure S5). The Ka/Ks ratios of the duplicated gene pairs in wolfberry, tomato, pepper, potato, and eggplant were <1, indicating that R2R-MYB genes evolved under strong purifying selection. However, five gene pairs (Lba09g01300 and Lba09g01301 (Ka/Ks ~2.55), Lba06g00593 and Lba03g02818 (Ka/Ks ~1.31), PGSC0003DMT400015155 and PGSC0003DMT400015156 (Ka/Ks ~1.59), SmeSca00628.1 and SmeSca00696.1 (Ka/Ks ~1.05), and SmeSca00639.1 and SmeSca00696.1 (Ka/Ks ~2.11) in wolfberry, potato, and eggplant) had higher Ka/Ks ratios, suggesting a complicated evolutionary history. For wolfberry, the mean Ka/Ks values for WGD, TD, PD, TRD, and DSD gene pairs were 0.24, 0.54, 0.61, 0.31, and 0.30, respectively (Figure 6 and Table S6). The PD gene pairs had the highest Ka/Ks ratio compared with other types of duplicated gene pairs, indicating that PD evolved at a higher rate than the other gene pairs (Figure 6).
Figure 6.
Ka/Ks ratios of five Solanaceae species. The x-axis represents five different duplication types. WGD: whole-genome duplicates; TD: tandem duplicates; PD: proximal duplicates; TRD: transposed duplicates; DSD: dispersed duplicates. The y-axis indicates the Ka/Ks ratio. (a) Wolfberry; (b) tomato; (c) pepper; (d) potato; (e) eggplant.
2.6. Expression of Carotenoid-Biosynthetic Genes and R2R3-MYB DEGs in Wolfberry
RNA-seq data determined the expression profiles of LbaR2R3-MYB differentially expressed genes (DEGs) and carotenoid biosynthesis genes (CBGs) in RF fruits at five development stages: 12 (S1), 19 (S2), 25 (S3), 30 (S4), and 37 (S5) days after full bloom (DAF). A total of 45 (32.8%) DEGs of the LbaR2R3-MYB gene family (adjust p-value < 0.01, |log2-fold change| > 1) were identified and expressed in five developmental stages (Table S7). The expression values clustered the LbaR2R3-MYB DEGs into four main groups, I to IV (Figure 7a). Most genes in group I were highly expressed in all the fruit development stages. Except for two genes (Lba05g00371 and Lba05g00389): group II had a lower expression, while group III contained five LbaR2R3-MYB genes, which were highly expressed at 12 DAF and 19 DAF. The expression levels of ten LbaR2R3-MYB genes increased gradually with fruit development. These results suggest that LbaR2R3-MYB genes regulate wolfberry fruit development.
Figure 7.
A heatmap of LbaR2R3-MYB DEGs and CBGs in wolfberry. Expression profiles using RNA-seq Fragments Per Kilobase Million (FPKM) data in fruit development between 12 DAP and 37 DAP. (a) LbaR2R3-MYB DEGs expression level. (b) CBGs, including PSY: phytoene synthase; PDS: phytoene desaturase; ZDS: ζ-carotene desaturase; ZISO: 15-cis-ζ-carotene isomerase; CRTISO: carotenoid isomerase; LCYB: lycopene β-cyclase; LCYE: lycopene ε-cyclase; BCH: β-carotene hydroxylase; CYP97A: cytochrome P450-type β-hydroxylase; CYP97C: cytochrome P450-type monooxygenase; ZEP: zeaxanthin epoxidase; and VDE: violaxanthin de-epoxidase. Log2 (FPKM +1) values were displayed according to the color code (Top right). The red and blue colors represent the highest and lowest expression levels, respectively.
2.7. Co-Expression Analysis of Carotenoid-Biosynthetic Gene and LbaR2R3-MYBs
A co-expression network of carotenoid biosynthetic genes was constructed to investigate the potential of LbaR2R3-MYB TFs for regulating carotenoid biosynthesis in wolfberry (Figure 8). First, the expression levels of 45 LbaR2R3-MYB DEGs and 15 CBGs were used to calculate Pearson’s correlation coefficients (PCCs). Gene pairs with |PCCs| < 0.80 and p > 0.05 were removed, and the remaining gene pairs were used to construct the co-expression network. From the network, 15 CBGs, 32 LbaR2R3-MYB TFs, and 230 pairs were constructed a co-expression relationship (Table S9 and Figure S6). Several LbaR2R3-MYB TFs (8, 9, 8, 9, and 7) had a highly positive correlation with PSY1, BCH1, ZDS, PDS, and ZISO genes, respectively, whereas some of LbaR2R3-MYB TFs (11, 8, 12, 11, 13) had a highly negative with PSY1, BCH1, ZDS, PDS, and ZISO genes, respectively. These TFs might regulate the expression of five important genes for accumulating carotenoids. For example, gene BCH1 positively correlated with nine TFs and negatively correlated with eight TFs. The coefficients of eight positively correlated TFs were >0.900, while eight negatively correlated TFs were <−0.900 (Table S9).
Figure 8.
Co-expression networks of LbaR2R3-MYB DEGs and CBGs. Green boxes represent LbaR2R3-MYB DEGs, and purple boxes represent CBGs. The solid lines indicate positive correlations, and the dotted lines indicate negative correlations.
2.8. Gene Expression Analyses with qRT-PCR
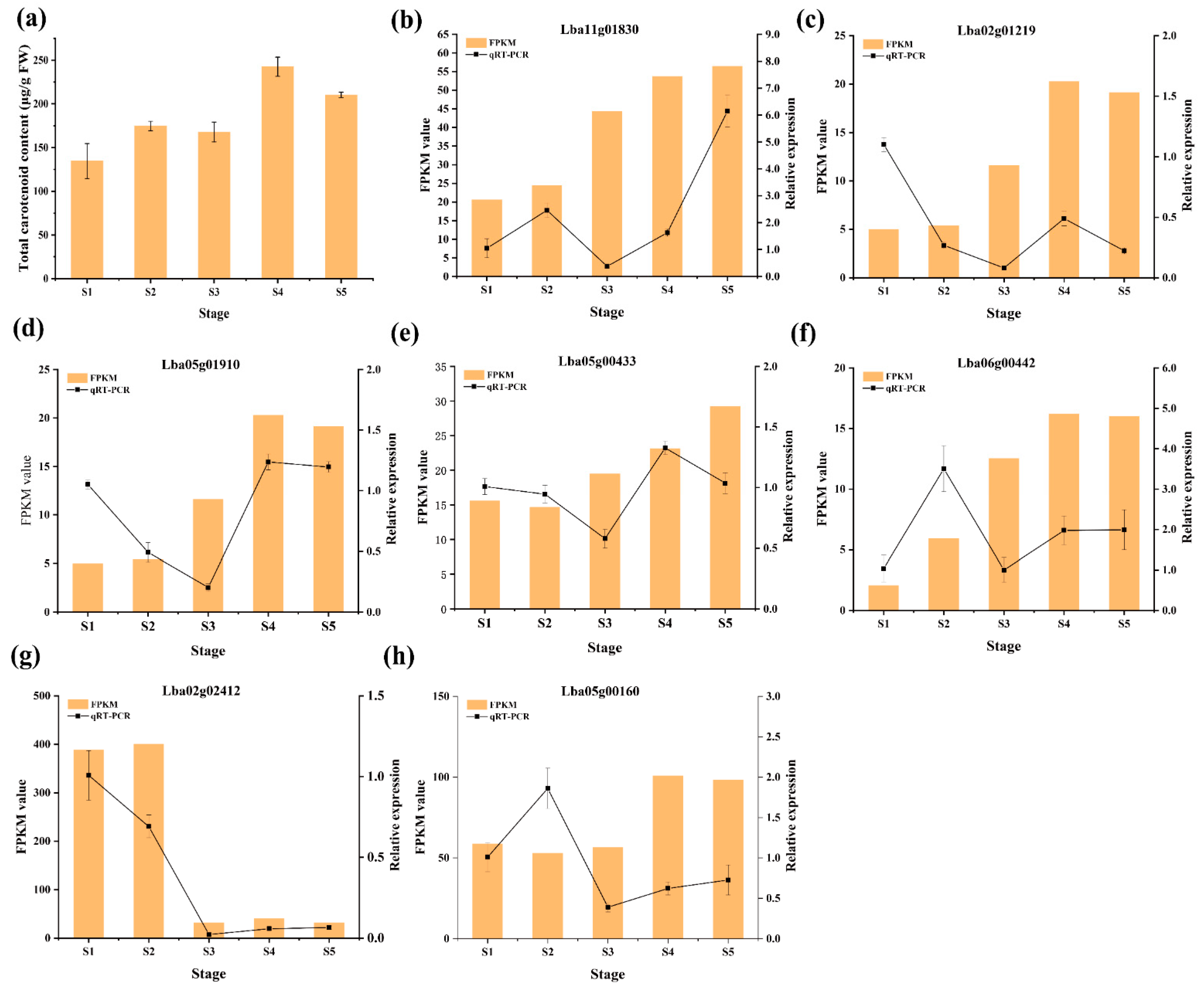
Seven candidate-LbaR2R3-MYB genes were selected for qRT-PCR validation. The results indicate that the expression of three LbaR2R3-MYB genes (Lba11g01830, Lba05g01910, and Lba02g01219) highly correlated with the content of total carotenoids during RF fruit development (Figure 9a). The expression of Lba11g01830 decreased from S1 (12 DAF) to S2 (19 DAF) and increased sharply from S3 (25 DAF) to S5 (37 DAF) (Figure 9b). Surprisingly, the relative expression, RNA-seq data, and the changes in total carotenoid contents correlated with Lba05g01910 and Lba02g01219 from S3 (25 DAF) to S5 (37 DAF) (Figure 9c,d).
Figure 9.
The relative expression levels of seven LbaR2R3-MYB genes at different stages. The x-axis indicates the five distinct periods. The y-axis indicates the relative expression and FPKM value. Data are presented as mean ± SDs (n = 3). (a) Carotenoid contents; (b) Lba11g01830; (c) Lba02g01219; (d) Lba05g01910; (e) Lba05g00433; (f) Lba06g00442; (g) Lba02g02412; (h) Lba05g00160.
We constructed a maximum-likelihood tree from three wolfberry R2R3-MYB genes and seven characterized R2R3-MYB genes from other species. Two LbaR2R3-MYB genes (Lba11g01830 and Lba02g01219) shared high sequence identity with the reported function-known R2R3-MYB genes (Figure 10). Altogether, we speculate that these two LbaR2R3-MYB genes are important in carotenoid biosynthesis.
Figure 10.
Phylogenetic analysis of candidate and seven function-known R2R3-MYB genes from other species. The maximum-likelihood method was used to construct the phylogenetic tree. The Genebank accession numbers are as follows: AdMYB7 (AXP34749.1), CrMYB68 (ASK51185.2), SIMYB72 (Solyc07g055000), EIRCP1 (KR053165.1), CpMYB1(XP_021903563.1), and MtWP1(Medtr0197s0010). Three candidate-LbaR2R3-MYB genes (Lba02g01219, Lba11g01830, and Lba05g01910) are marked with a red dot.
3. Discussion
The R2R3-MYB gene family is among the largest families in plants. To date, members of the R2R3-MYB gene family have been identified and analyzed in different land plant species, including four Solanaceae species: tomato, potato, pepper, and eggplant. The number and composition of the R2R3-MYB gene family differ in different plants [29,34,35]. Ancient polyploidy events (also known as WGDs) and additional recent lineage-specific WGDs have presumably caused varying numbers of R2R3-MYB genes within land plants [46]. A recent study sequenced and released the genome of the wolfberry (Lycium bararum L.), an economically important genus of the Solanaceae family [39]. However, this study identifies the first R2R3-MYB gene family from the wolfberry genome and reports a comparative analysis of the R2R3-MYB gene family in five Solanaceae species. The size of the R2R3-MYB gene family is diverse in the five Solanaceae genomes. Surprisingly, the number of R2R3-MYB genes in wolfberry (137) and tomato (133) is greater than pepper (108) and potato (109) (Table 1), suggesting that pepper, potato, and eggplant experienced more frequent gene losses. Wolfberry and tomato probably experienced lineage-specific WGD, while pepper, potato, and eggplant did not. Therefore, this recent WGD event likely generated different R2R3-MYB gene numbers in the investigated Solanaceae species.
Phylogenetic tree analysis displayed 610 R2R3-MYB proteins from the six analyzed species categorized into 36 subgroups (C1–C36). The 610 R2R3-MYB proteins included 137, 133, 108, 109, 123, and 124 proteins from wolfberry, tomato, pepper, eggplant, and Arabidopsis. Only Solanaceae contained the five species-specific subgroups (C1, C3, C34, C35, and C36), suggesting their species-specific role in Solanaceae. Altogether, these results indicate that wolfberry, tomato, pepper, potato, and eggplant are closely related to Arabidopsis. Subgroup C18 only contained Arabidopsis R2R3-MYB proteins, further establishing that the corresponding S12 subgroup of Arabidopsis was the Arabidopsis-specific subfamily regulating glucosinolates biosynthesis [28,47]. This subgroup C18 of the phylogenetic tree was similar to other species [48]. The unequal representation of R2R3-MYB proteins within the divided subgroups suggested that R2R3-MYB gene expansion events may be more active in certain plant species.
Gene duplication is a major source of new genes in evolution that involves whole genome/segmental duplication (WGD/SD), TD, PD, TRD, and DSD. Gene duplication is crucial for gene family expansion and evolution. For example, DSD and WGD events expanded the ADH, COMT, and SWEEET gene families [49,50,51], whereas TD events expanded the HSP gene family [52]. The present study showed that DSD, WGD, and TRD significantly expanded the R2R3-MYB gene family in the five Solanaceae species. Moreover, the Ka, Ks, and Ka/Ks analyses showed that the mean Ks values of WDG-derived gene pairs were much lower in wolfberry and tomato than pepper, potato, and eggplant. This observation supports a lineage-specific WGD event (~37 MYA) shared by wolfberry and tomato. Additionally, wolfberry TRD-pairs had a higher Ka/Ks ratio, indicating that TRD-derived R2R3-MYB genes experienced a rapid functional divergence.
Plant R2R3-MYB control diverse pathways, such as secondary metabolism (including the carotenoid biosynthesis pathway), plant growth and development, biotic and abiotic stresses [53]. For instance, tomato stamens and pistils predominately express the tomato SlMYB33 gene, which regulates tomato flowering and pollen maturity. SlMYB75 positively regulates the accumulation of anthocyanins by transcriptionally regulating downstream genes [54]. Meanwhile, SlMYB102 participates in stress tolerance by regulating several molecular and physiological processes [55]. Despite the diverse functions of the R2R3-MYB gene family, this study focused on the roles of R2R3-MYB in regulating carotenoid biosynthesis. The RNA-seq analysis identified 45 LbaR2R3-MYB genes and 15 carotenoid biosynthetic genes at various expression levels in the five stages of wolfberry fruit development. Subsequently, we constructed a co-expression network of carotenoid regulation. A comprehensive analysis of transcriptome and co-expression identified seven LbaR2R3-MYB genes that were validated by qRT-PCR. Previous studies demonstrated that the seven R2R3-MYB TFs regulate carotenoid biosynthesis [23,24,25,26,27]. Indeed, the qRT-PCR expression patterns of two LbaR2R3-MYB genes (Lba11g01830 and Lba02g01219) were consistent with the carotenoid accumulation trend in fruit development, indicating that these two genes may regulate carotenoid synthesis.
Therefore, a phylogenetic tree was constructed using full-length amino acids from the seven R2R3-MYB TFs and the three candidate-LbaR2R3-MYB TFs (Lba11g01830, Lba05g01910, and Lba02g01219). Lba11g01830 and Lba02g01219 were highly sequence identity with CrMYB68 and AdMYB7 proteins, indicating that these two LbaR2R3-MYB genes regulate carotenoid biosynthesis in wolfberry. Whether these R2R3-MYB TFs bind to promoter sequences of carotenoid biosynthetic genes (PSY, PDS, and ZDS) needs further analysis.
4. Materials and Methods
4.1. Plant Materials
All experimental materials were collected from the wolfberry germplasm of the Center of Wolfberry Engineering Technology Research, Yinchuan, Ningxia (38°38′49″ N, 106°9′10″ E), China. The fruits of L. chinense var. potaninii (RF) were collected at five different developmental stages, 12 (S1), 19 (S2), 25 (S3), 30 (S4), and 37 (S5) days after full bloom (DAF) (Figure S7). All samples were ground in liquid nitrogen and stored at −80 ℃ for further study.
4.2. Identification and Sequencing of R2R3-MYB Genes in Five Solanaceae Species
The sequence of 124 AtR2R3-MYB proteins was retrieved from the Arabidopsis Information Resource (https://www.arabidopsis.org/, accessed on 2 March 2021) to identify R2R3-MYB TF family genes. The genome sequence of wolfberry (Lycium barbarum) and genome annotation files were downloaded from the NCBI database (https://www.ncbi.nlm.nih.gov/, accessed on 3 July 2021) with accession number PRJNA640228 [32]. However, genome sequences of tomato (Solanum lycopersicum) and potato (Solanum tuberosum) were downloaded from the Solanaceae Genomics Network (https://solgenomics.net/, accessed on 2 July 2021). The genome sequence of Capsicum annuum-Zunla-1 was downloaded from the China National Genebank (https://db.cngb.org/cnsa/, accessed on 2 July 2021). Additionally, the genome sequence of eggplant ‘HQ-1315’ (Solanum melongena) was downloaded from the Eggplant Genome Database (http://eggplant-hq.cn/Eggplant/home/index, accessed on 2 July 2021).
The study used two strategies to search for candidate R2R3-MYB genes. First, sequences of 124 AtR2R3-MYB proteins were used as queries for BLASTP searches against local protein databases of the Solanaceae species with E-values < 1 × 10−10. Subsequently, the MYB domain (PF00249) obtained from the Pfam database (http://pfam.xfam.org/, accessed on 5 July 2021) was used to construct a hidden Markov model (HMM) for searching against protein databases with E-values < 1 × 10−10 using the HMMER v3.3.2 software [56]. Finally, three databases, including SMART (http://smart.embl-heidelberg.de/, accessed on 5 July 2021), Pfam (http://pfam.xfam.org/, accessed on 5 July 2021), and CD search (https://www.ncbi.nlm.nih.gov/Structure/cdd/wrpsb.cgi, accessed on 5 July 2021) confirmed the presence of the R2R3 domain [57,58,59]. The protein sequences without the R2R3 domain and redundant sequences were manually removed. The ProtParam tool (https://web.expasy.org/protparam/, accessed on 10 July 2021) predicted the isoelectric point (pI) and molecular weight (MW) of all R2R3-MYB proteins based on their deduced amino acid sequences.
4.3. Conserved Motif Analysis of R2R3-MYB Genes in Wolfberry
The Gene Structure Display Server (http://gsds.gao-lab.org/index.php, accessed on 10 August 2021) [41] graphically displayed the exon–intron organizations of the LbaR2R3-MYB genes using Generic Feature Format Version3 (GFF3) annotation files of LbaR2R3-MYB genes. The MEME suite (https://meme-suite.org/meme/, accessed on 10 August 2021) [60] predicted the conserved motifs of LbaR2R3-MYB genes using the following parameters: maximum numbers of different motifs, 20; minimum motif width, 6; and maximum motif width, 50. The results were visualized using iTOL (https://itol.embl.de/, accessed on 10 August 2021) [61].
4.4. Conserved Motif Analysis of R2R3-MYB Genes in Wolfberry
Complete amino acid sequences of wolfberry, Arabidopsis thaliana, and the other four Solanaceae species were aligned using the Muscle program with default parameters [62]. Then, a maximum-likelihood (ML) phylogenetic tree was constructed using IQ-TREE [63]. The best-fit substitution model, JTT+G, was determined by MEGA 6.06 [64] and incorporated in the IQ-TREE with 1000 bootstraps. OrthoFinder [65] constructed the taxonomy tree of the five Solanaceae species, which was visualized using the iTOL [61] online tool and Figtree v1.4.4 (https://tree.bio.ed.ac.uk/software/figtree/, accessed on 10 August 2021).
4.5. Identification of Gene Duplications, Chromosomal Location, and Collinearity Analysis
The DupGen_finder pipeline [66] further identified paralogous R2R3-MYB gene pairs derived from WGD, TD, PD, TRD, and DSD. Briefly, Arabidopsis thaliana was selected as the outgroup to identify duplicated gene pairs. Then, all of the species were subjected to a BLASTP search against Arabidopsis thaliana. The simplified Gff3 files were generated using Tbtools [67].
The genome annotation files provided the information on the chromosomal locations of the R2R3-MYB genes in Lycium barbarum, Solanum lycopersicum, Capsicum annuum, Solanum tuberosum, and Solanum melongena. Tbtools [67] analyzed collinear relationships between wolfberry and the other five plant species. First, the BLASTP algorithm detected potential homologous gene pairs between wolfberry and the other five plant species. Second, the BLASTP results and the gene location information were uploaded to Tbtools to identify and visualize syntenic chains. The syntenic gene pairs within each species were also identified following the above steps. Genes located on unanchored scaffolds were not included.
4.6. Ka and Ks Calculation
The nonsynonymous (Ka) and synonymous substitution rates (Ks) of syntenic gene pairs were calculated using Tbtools with the Nei–Gojobori (NG) method [67]. Briefly, the coding sequences and duplicated gene pairs were prepared first. The two files were deposited into Tbtools to acquire readable results, including Ka, Ks, Ka/Ks, and p-value.
4.7. Expression Profiling of LbaR2R3-MYB Genes with RNA-seq
The raw RNA-seq reads were deposited in the NCBI database. The adapter sequences, low-quality reads (quality score < 15), and poly (A/T) tails were removed from raw reads using fastp [68]. The Hisat2 [69] software aligned clean reads to the reference genome and feature counts estimated transcript abundances. The fragments per kilobase million (FPKM) measured the expression levels of the R2R3-MYB genes. The expression level of each R2R3-MYB gene was displayed in a heatmap using the R software (https://www.r-project.org/, accessed on 3 September 2021).
4.8. Quantitative Real-Time PCR Analysis
Total RNA was extracted from the fruits of two wolfberry cultivars using the TRNzol Universal Reagent (TIANGEN, Beijing, China) following the manufacturer’s instructions. The RNA was resolved on 1% agarose gel for quality assessment and quantified using Nanodrop one (Nanodrop Technologies, Wilmington, DE, USA). Genomic DNA was eliminated, and first-strand cDNA was synthesized using the Easycript one-step RT-PCR supermix (Transgen Bio, Inc., Beijing, China). The qRT-PCR was conducted on a CFX96 TouchTM Real-Time PCR Detection System (Bio-Rad, Hercules, CA, USA) using the perfectStartTM Green qPCR Supermix (Transgen Bio, Inc., Beijing, China). The qPCR conditions were as follows: 30 s at 95 °C, followed by 40 cycles of 5 s at 95 °C, 30 s at 60 °C, and 65–95 °C melting curve detection. Standard curve analysis of serially diluted cDNA estimated the qPCR efficiency, and LbACTIN was used for template normalization [5]. The relative abundance was calculated using the comparative Ct (2−ΔΔCt) method. All qRT-PCR primers were designed in Primer5.0 and listed in Table S10.
4.9. Total Carotenoid Extraction and Measurement
The extraction and determination of total carotenoids were performed as previously described [70], with some modifications. Briefly, ~5 mg of fresh fruits were ground into fine powder in liquid nitrogen and extracted three times using 150 mL tetrahydrofuran with 0.1% butylated hydroxytoluene (BHT) via ultrasonic treatment for 45 min at 7 W. After centrifugation (4000× g for 10 min at 4 °C), the extracts were combined into a 50 mL tube and mixed by shaking with 5 mL NaCl-saturated solution for 1 min, and the supernatant was collected. The petroleum ether extraction solution was merged and condensed by vacuum rotary evaporation at 35 °C. The concentrated carotenoids residue was dissolved using methylene chloride. The absorbance of the solution against the black at 450 nm was determined using UV-vis spectrophotometry (UV-1800, Shimadzu Co., Ltd., Kyoto, Japan).
4.10. Construction of Co-Expression Network
The co-expression network was constructed based on RNA-seq data and carotenoid contents to investigate the regulatory network between structural genes of carotenoid biosynthesis and R2R3-MYB TFs. First, Pearson’s correlation coefficients (PCCs) were calculated to select the positive and negative correlations between the structural genes and R2R3-MYB TFs. PCC values < 0.8 were removed, and the networks were visualized in Cytoscape v3.8.2 [71].
4.11. Statistical Analysis
The experiments involved three biological replicates. Statistical significance (Student’s t-tests) was analyzed using the R software, and a p < 0.05 was considered statistically significant.
5. Conclusions
In the present study, genome-wide identification and bioinformatic analyses of R2R3-MYB genes in wolfberry (Lycium barbarum L.) and four other Solanaceae Species were performed. A total of 610 homologous R2R3-MYB genes were identified. Among them, 137 belonged to wolfberry. The R2R3-MYB genes are divided into 36 large clades following the classification results from model plants. DSD, WGD, and TRD were the primary forces driving the R2R3-MYB gene family expansion. Purifying selection was the main evolutionary force on R2R3-MYB genes except for a gene pair with Ka/Ks values >1. In addition, integrated bioinformatics analysis and experimental verification identified two candidate-LbaR2R3-MYB genes (Lba11g01830 and Lba02g01219) related to carotenoids accumulation. These results provide insights into the evolutionary history and a foundation for understanding the molecular mechanisms underlying carotenoid biosynthesis.
Supplementary Materials
The following are available online at https://www.mdpi.com/article/10.3390/ijms23042259/s1.
Author Contributions
Y.Y. performed bioinformatics analysis and drafted the manuscript. C.G. performed gene expression analysis. H.S. and J.Z. contributed to collect the public dataset. F.M. performed bioinformatics analysis. W.A. contributed to collect materials. X.H. and Q.L. contributed to collect samples. Y.C. and X.Z. contributed to reviewing drafts of the paper and approved the final draft. All authors have read and agreed to the published version of the manuscript.
Funding
This research was funded by the Natural Science Foundation of China (No. 31760218), the Natural Science Foundation of Ningxia (2020AAC03284), the Special Foundation for Agricultural Breeding of the Ningxia Hui Autonomous Region (2013NYYZ0101), Employee Innovation Project of All-China Federation of Trade Unions (2018300002), and Key Research and Development Plan of Shaanxi Province (2020ZDLNY01-03).
Institutional Review Board Statement
Not applicable.
Informed Consent Statement
Not applicable.
Data Availability Statement
The raw data of the transcriptome analysis used in this study were submitted to the Sequence Read Archive (SRA) at NCBI under Project ID PRJNA788208.
Conflicts of Interest
The authors declare no conflict of interest.
Abbreviations
| DEGs | Differential gene expression |
| CBGs | Carotenoid biosynthesis genes |
| qRT-PCR | Quantitative reverse transcription polymerase chain reaction |
| WGD | Whole-genome duplication |
| TD | Tandem duplication |
| PD | Proximal duplication |
| TRD | Transposed duplication |
| DSD | Dispersed duplication |
| RNA-seq | RNA sequencing |
| PCCs | Pearson’s correlation coefficients |
| FPKM | Fragments per kilobase of transcript per million fragments mapped |
| DAF | Days after full bloom |
| MW | Molecular weight |
| pI | Isoelectric point |
| BHT | Butylated hydroxytoluene |
| ML | Maximum likelihood |
| HMM | Hidden Markov Model |
References
- Amagase, H.; Farnsworth, N.R. A review of botanical characteristics, phytochemistry, clinical relevance in efficacy and safety of Lycium barbarum fruit (Goji). Food Res. Int. 2011, 44, 1702–1717. [Google Scholar] [CrossRef]
- Zhou, Z.Q.; Xiao, J.; Fan, H.X.; Yu, Y.; He, R.R.; Feng, X.L.; Kurihara, H.; So, K.F.; Yao, X.S.; Gao, H. Polyphenols from wolfberry and their bioactivities. Food Chem. 2017, 214, 644–654. [Google Scholar] [CrossRef] [PubMed]
- Gao, H.; Lv, Y.; Liu, Y.; Li, J.; Wang, X.; Zhou, Z.; Tipoe, G.L.; Ouyang, S.; Guo, Y.; Zhang, J.; et al. Wolfberry-Derived Zeaxanthin Dipalmitate Attenuates Ethanol-Induced Hepatic Damage. Mol. Nutr. Food Res. 2019, 63, e1801339. [Google Scholar] [CrossRef] [PubMed]
- Toh, D.W.K.; Lee, W.Y.; Zhou, H.; Sutanto, C.N.; Lee, D.P.S.; Tan, D.; Kim, J.E. Wolfberry (Lycium barbarum) Consumption with a Healthy Dietary Pattern Lowers Oxidative Stress in Middle-Aged and Older Adults: A Randomized Controlled Trial. Antioxidants 2021, 10, 567. [Google Scholar] [CrossRef]
- Liu, Y.; Zeng, S.; Sun, W.; Wu, M.; Hu, W.; Shen, X.; Wang, Y. Comparative analysis of carotenoid accumulation in two goji (Lycium barbarum L. and L. ruthenicum Murr.) fruits. BMC Plant Biol. 2014, 14, 269. [Google Scholar] [CrossRef] [Green Version]
- Zeng, S.; Huang, S.; Yang, T.; Ai, P.; Li, L.; Wang, Y. Comparative proteomic and ultrastructural analysis shed light on fruit pigmentation distinct in two Lycium species. Ind. Crops Prod. 2020, 147, 112267. [Google Scholar] [CrossRef]
- Yuan, H.; Zhang, J.; Nageswaran, D.; Li, L. Carotenoid metabolism and regulation in horticultural crops. Hortic. Res. 2015, 2, 15036. [Google Scholar] [CrossRef] [Green Version]
- Sathasivam, R.; Radhakrishnan, R.; Kim, J.K.; Park, S.U. An update on biosynthesis and regulation of carotenoids in plants. South Afr. J. Bot. 2020, 140, 290–302. [Google Scholar] [CrossRef]
- Li, C.; Ji, J.; Wang, G.; Li, Z.; Wang, Y.; Fan, Y. Over-Expression of LcPDS, LcZDS, and LcCRTISO, Genes from Wolfberry for Carotenoid Biosynthesis, Enhanced Carotenoid Accumulation, and Salt Tolerance in Tobacco. Front. Plant Sci. 2020, 11, 119. [Google Scholar] [CrossRef]
- Martin, C.; Paz-Ares, J. MYB transcription factors in plants. Trends Genet. TIG 1997, 13, 67–73. [Google Scholar] [CrossRef]
- Zhang, Y.; Zhang, B.; Yang, T.; Zhang, J.; Liu, B.; Zhan, X.; Liang, Y. The GAMYB-like gene SlMYB33 mediates flowering and pollen development in tomato. Hortic. Res. 2020, 7, 133. [Google Scholar] [CrossRef] [PubMed]
- Anwar, M.; Yu, W.; Yao, H.; Zhou, P.; Allan, A.C.; Zeng, L. NtMYB3, an R2R3-MYB from Narcissus, Regulates Flavonoid Biosynthesis. Int. J. Mol. Sci. 2019, 20, 5456. [Google Scholar] [CrossRef] [PubMed] [Green Version]
- Liu, J.; Osbourn, A.; Ma, P. MYB Transcription Factors as Regulators of Phenylpropanoid Metabolism in Plants. Mol. Plant 2015, 8, 689–708. [Google Scholar] [CrossRef] [PubMed] [Green Version]
- Zhang, Y.; Xu, S.; Ma, H.; Duan, X.; Gao, S.; Zhou, X.; Cheng, Y. The R2R3-MYB gene PsMYB58 positively regulates anthocyanin biosynthesis in tree peony flowers. Plant Physiol. Biochem. 2021, 164, 279–288. [Google Scholar] [CrossRef] [PubMed]
- Yan, S.; Chen, N.; Huang, Z.; Li, D.; Zhi, J.; Yu, B.; Liu, X.; Cao, B.; Qiu, Z. Anthocyanin Fruit encodes an R2R3-MYB transcription factor, SlAN2-like, activating the transcription of SlMYBATV to fine-tune anthocyanin content in tomato fruit. New Phytol. 2020, 225, 2048–2063. [Google Scholar] [CrossRef]
- Zhu, L.; Guan, Y.; Zhang, Z.; Song, A.; Chen, S.; Jiang, J.; Chen, F. CmMYB8 encodes an R2R3 MYB transcription factor which represses lignin and flavonoid synthesis in chrysanthemum. Plant Physiol. Biochem. 2020, 149, 217–224. [Google Scholar] [CrossRef]
- Song, L.; Wang, X.; Han, W.; Qu, Y.; Wang, Z.; Zhai, R.; Yang, C.; Ma, F.; Xu, L. PbMYB120 Negatively Regulates Anthocyanin Accumulation in Pear. Int. J. Mol. Sci. 2020, 21, 1528. [Google Scholar] [CrossRef] [Green Version]
- Fang, Q.; Jiang, T.; Xu, L.; Liu, H.; Mao, H.; Wang, X.; Jiao, B.; Duan, Y.; Wang, Q.; Dong, Q.; et al. A salt-stress-regulator from the Poplar R2R3 MYB family integrates the regulation of lateral root emergence and ABA signaling to mediate salt stress tolerance in Arabidopsis. Plant Physiol. Biochem. 2017, 114, 100–110. [Google Scholar] [CrossRef]
- Gao, F.; Zhou, J.; Deng, R.Y.; Zhao, H.X.; Li, C.L.; Chen, H.; Suzuki, T.; Park, S.U.; Wu, Q. Overexpression of a tartary buckwheat R2R3-MYB transcription factor gene, FtMYB9, enhances tolerance to drought and salt stresses in transgenic Arabidopsis. J. Plant Physiol. 2017, 214, 81–90. [Google Scholar] [CrossRef]
- Zhao, Y.; Yang, Z.; Ding, Y.; Liu, L.; Han, X.; Zhan, J.; Wei, X.; Diao, Y.; Qin, W.; Wang, P.; et al. Over-expression of an R2R3 MYB Gene, GhMYB73, increases tolerance to salt stress in transgenic Arabidopsis. Plant Sci. 2019, 286, 28–36. [Google Scholar] [CrossRef]
- Song, Y.; Yang, W.; Fan, H.; Zhang, X.; Sui, N. TaMYB86B encodes a R2R3-type MYB transcription factor and enhances salt tolerance in wheat. Plant Sci. 2020, 300, 110624. [Google Scholar] [CrossRef] [PubMed]
- Ke, Y.; Abbas, F.; Zhou, Y.; Yu, R.; Fan, Y. Auxin-Responsive R2R3-MYB Transcription Factors HcMYB1 and HcMYB2 Activate Volatile Biosynthesis in Hedychium coronarium Flowers. Front. Plant Sci. 2021, 12, 710826. [Google Scholar] [CrossRef] [PubMed]
- Sagawa, J.M.; Stanley, L.E.; LaFountain, A.M.; Frank, H.A.; Liu, C.; Yuan, Y.W. An R2R3-MYB transcription factor regulates carotenoid pigmentation in Mimulus lewisii flowers. New Phytol. 2016, 209, 1049–1057. [Google Scholar] [CrossRef] [PubMed]
- Wu, M.; Xu, X.; Hu, X.; Liu, Y.; Cao, H.; Chan, H.; Gong, Z.; Yuan, Y.; Luo, Y.; Feng, B.; et al. SlMYB72 Regulates the Metabolism of Chlorophylls, Carotenoids, and Flavonoids in Tomato Fruit. Plant Physiol. 2020, 183, 854–868. [Google Scholar] [CrossRef] [PubMed]
- Zhu, F.; Luo, T.; Liu, C.; Wang, Y.; Yang, H.; Yang, W.; Zheng, L.; Xiao, X.; Zhang, M.; Xu, R.; et al. An R2R3-MYB transcription factor represses the transformation of alpha- and beta-branch carotenoids by negatively regulating expression of CrBCH2 and CrNCED5 in flavedo of Citrus reticulate. New Phytol. 2017, 216, 178–192. [Google Scholar] [CrossRef] [PubMed] [Green Version]
- Ampomah-Dwamena, C.; Thrimawithana, A.H.; Dejnoprat, S.; Lewis, D.; Espley, R.V.; Allan, A.C. A kiwifruit (Actinidia deliciosa) R2R3-MYB transcription factor modulates chlorophyll and carotenoid accumulation. New Phytol. 2019, 221, 309–325. [Google Scholar] [CrossRef] [Green Version]
- Meng, Y.; Wang, Z.; Wang, Y.; Wang, C.; Zhu, B.; Liu, H.; Ji, W.; Wen, J.; Chu, C.; Tadege, M.; et al. The MYB Activator WHITE PETAL1 Associates with MtTT8 and MtWD40-1 to Regulate Carotenoid-Derived Flower Pigmentation in Medicago truncatula. Plant Cell 2019, 31, 2751–2767. [Google Scholar] [CrossRef] [Green Version]
- Stracke, R.; Werber, M.; Weisshaar, B. The R2R3-MYB gene family in Arabidopsis thaliana. Curr. Opin. Plant Biol. 2001, 4, 447–456. [Google Scholar] [CrossRef]
- Zhao, P.; Li, Q.; Li, J.; Wang, L.; Ren, Z. Genome-wide identification and characterization of R2R3MYB family in Solanum lycopersicum. Mol. Genet. Genom. 2014, 289, 1183–1207. [Google Scholar] [CrossRef]
- Wang, J.; Liu, Y.; Tang, B.; Dai, X.; Xie, L.; Liu, F.; Zou, X. Genome-Wide Identification and Capsaicinoid Biosynthesis-Related Expression Analysis of the R2R3-MYB Gene Family in Capsicum annuum L. Front. Genet. 2020, 11, 598183. [Google Scholar] [CrossRef]
- Li, Y.; Lin-Wang, K.; Liu, Z.; Allan, A.C.; Qin, S.; Zhang, J.; Liu, Y. Genome-wide analysis and expression profiles of the StR2R3-MYB transcription factor superfamily in potato (Solanum tuberosum L.). Int. J. Biol. Macromol. 2020, 148, 817–832. [Google Scholar] [CrossRef] [PubMed]
- Liu, C.; Hao, J.; Qiu, M.; Pan, J.; He, Y. Genome-wide identification and expression analysis of the MYB transcription factor in Japanese plum (Prunus salicina). Genomics 2020, 112, 4875–4886. [Google Scholar] [CrossRef] [PubMed]
- Cao, Y.; Jia, H.; Xing, M.; Jin, R.; Grierson, D.; Gao, Z.; Sun, C.; Chen, K.; Xu, C.; Li, X. Genome-Wide Analysis of MYB Gene Family in Chinese Bayberry (Morella rubra) and Identification of Members Regulating Flavonoid Biosynthesis. Front. Plant Sci. 2021, 12, 691384. [Google Scholar] [CrossRef] [PubMed]
- Chen, X.; Wang, P.; Gu, M.; Lin, X.; Hou, B.; Zheng, Y.; Sun, Y.; Jin, S.; Ye, N. R2R3-MYB transcription factor family in tea plant (Camellia sinensis): Genome-wide characterization, phylogeny, chromosome location, structure and expression patterns. Genomics 2021, 113, 1565–1578. [Google Scholar] [CrossRef] [PubMed]
- Yang, L.; Liu, H.; Hao, Z.; Zong, Y.; Xia, H.; Shen, Y.; Li, H. Genome-Wide Identification and Expression Analysis of R2R3-MYB Family Genes Associated with Petal Pigment Synthesis in Liriodendron. Int. J. Mol. Sci. 2021, 22, 11291. [Google Scholar] [CrossRef]
- Liu, C.; Xie, T.; Chen, C.; Luan, A.; Long, J.; Li, C.; Ding, Y.; He, Y. Genome-wide organization and expression profiling of the R2R3-MYB transcription factor family in pineapple (Ananas comosus). BMC Genom. 2017, 18, 503. [Google Scholar] [CrossRef] [Green Version]
- Song, X.; Yang, Q.; Liu, Y.; Li, J.; Chang, X.; Xian, L.; Zhang, J. Genome-wide identification of Pistacia R2R3-MYB gene family and function characterization of PcMYB113 during autumn leaf coloration in Pistacia chinensis. Int. J. Biol. Macromol. 2021, 192, 16–27. [Google Scholar] [CrossRef]
- Yang, X.; Zhou, T.; Wang, M.; Li, T.; Wang, G.; Fu, F.F.; Cao, F. Systematic investigation and expression profiles of the GbR2R3-MYB transcription factor family in ginkgo (Ginkgo biloba L.). Int. J. Biol. Macromol. 2021, 172, 250–262. [Google Scholar] [CrossRef]
- Cao, Y.L.; Li, Y.L.; Fan, Y.F.; Li, Z.; Yoshida, K.; Wang, J.Y.; Ma, X.K.; Wang, N.; Mitsuda, N.; Kotake, T.; et al. Wolfberry genomes and the evolution of Lycium (Solanaceae). Commun. Biol. 2021, 4, 671. [Google Scholar] [CrossRef]
- Tomato Genome Consortium. The tomato genome sequence provides insights into fleshy fruit evolution. Nature 2012, 485, 635–641. [Google Scholar] [CrossRef] [Green Version]
- Qin, C.; Yu, C.; Shen, Y.; Fang, X.; Chen, L.; Min, J.; Cheng, J.; Zhao, S.; Xu, M.; Luo, Y.; et al. Whole-genome sequencing of cultivated and wild peppers provides insights into Capsicum domestication and specialization. Proc. Natl. Acad. Sci. USA 2014, 111, 5135–5140. [Google Scholar] [CrossRef] [PubMed] [Green Version]
- Diambra, L.A. Genome sequence and analysis of the tuber crop potato. Nature 2011, 475, 189–195. [Google Scholar] [CrossRef] [Green Version]
- Wei, Q.; Wang, J.; Wang, W.; Hu, T.; Hu, H.; Bao, C. A high-quality chromosome-level genome assembly reveals genetics for important traits in eggplant. Hortic. Res. 2020, 7, 153. [Google Scholar] [CrossRef]
- Xu, Q.; He, J.; Dong, J.; Hou, X.; Zhang, X. Genomic Survey and Expression Profiling of the MYB Gene Family in Watermelon. Hortic. Plant J. 2018, 4, 1–15. [Google Scholar] [CrossRef]
- Moore, R.C.; Purugganan, M.D. The early stages of duplicate gene evolution. Proc. Natl. Acad. Sci. USA 2003, 100, 15682–15687. [Google Scholar] [CrossRef] [Green Version]
- Jiang, C.K.; Rao, G.Y. Insights into the Diversification and Evolution of R2R3-MYB Transcription Factors in Plants. Plant Physiol. 2020, 183, 637–655. [Google Scholar] [CrossRef]
- Seo, M.S.; Jin, M.; Chun, J.H.; Kim, S.J.; Park, B.S.; Shon, S.H.; Kim, J.S. Functional analysis of three BrMYB28 transcription factors controlling the biosynthesis of glucosinolates in Brassica rapa. Plant Mol. Biol. 2016, 90, 503–516. [Google Scholar] [CrossRef] [Green Version]
- Liu, H.; Xiong, J.-S.; Jiang, Y.-T.; Wang, L.; Cheng, Z.-M. Evolution of the R2R3-MYB gene family in six Rosaceae species and expression in woodland strawberry. J. Integr. Agric. 2019, 18, 2753–2770. [Google Scholar] [CrossRef]
- Zeng, W.; Qiao, X.; Li, Q.; Liu, C.; Wu, J.; Yin, H.; Zhang, S. Genome-wide identification and comparative analysis of the ADH gene family in Chinese white pear (Pyrus bretschneideri) and other Rosaceae species. Genomics 2020, 112, 3484–3496. [Google Scholar] [CrossRef]
- Liu, Y.; Wang, Y.; Pei, J.; Li, Y.; Sun, H. Genome-wide identification and characterization of COMT gene family during the development of blueberry fruit. BMC Plant Biol. 2021, 21, 5. [Google Scholar] [CrossRef]
- Li, J.; Qin, M.; Qiao, X.; Cheng, Y.; Li, X.; Zhang, H.; Wu, J. A New Insight into the Evolution and Functional Divergence of SWEET Transporters in Chinese White Pear (Pyrus bretschneideri). Plant Cell Physiol. 2017, 58, 839–850. [Google Scholar] [CrossRef] [PubMed] [Green Version]
- Krsticevic, F.J.; Arce, D.P.; Ezpeleta, J.; Tapia, E. Tandem Duplication Events in the Expansion of the Small Heat Shock Protein Gene Family in Solanum lycopersicum (cv. Heinz 1706). G3 Genes Genomes Genet. 2016, 6, 3027–3034. [Google Scholar] [CrossRef] [PubMed] [Green Version]
- Cao, Y.; Li, K.; Li, Y.; Zhao, X.; Wang, L. MYB Transcription Factors as Regulators of Secondary Metabolism in Plants. Biology 2020, 9, 61. [Google Scholar] [CrossRef] [PubMed] [Green Version]
- Jian, W.; Cao, H.; Yuan, S.; Liu, Y.; Lu, J.; Lu, W.; Li, N.; Wang, J.; Zou, J.; Tang, N.; et al. SlMYB75, an MYB-type transcription factor, promotes anthocyanin accumulation and enhances volatile aroma production in tomato fruits. Hortic. Res. 2019, 6, 22. [Google Scholar] [CrossRef] [Green Version]
- Zhang, X.; Chen, L.; Shi, Q.; Ren, Z. SlMYB102, an R2R3-type MYB gene, confers salt tolerance in transgenic tomato. Plant Sci. 2020, 291, 110356. [Google Scholar] [CrossRef]
- Johnson, L.S.; Eddy, S.R.; Portugaly, E. Hidden Markov model speed heuristic and iterative HMM search procedure. BMC Bioinform. 2010, 11, 431. [Google Scholar] [CrossRef] [Green Version]
- Letunic, I.; Khedkar, S.; Bork, P. Smart: Recent updates, new developments and status in 2020. Nucleic Acids Res. 2021, 49, D458–D460. [Google Scholar] [CrossRef]
- Mistry, J.; Chuguransky, S.; Williams, L.; Qureshi, M.; Salazar, G.A.; Sonnhammer, E.L.L.; Tosatto, S.C.E.; Paladin, L.; Raj, S.; Richardson, L.J.; et al. Pfam: The protein families database in 2021. Nucleic Acids Res. 2021, 49, D412–D419. [Google Scholar] [CrossRef]
- Lu, S.; Wang, J.; Chitsaz, F.; Derbyshire, M.K.; Geer, R.C.; Gonzales, N.R.; Gwadz, M.; Hurwitz, D.I.; Marchler, G.H.; Song, J.S.; et al. CDD/SPARCLE: The conserved domain database in 2020. Nucleic Acids Res. 2020, 48, D26–D268. [Google Scholar] [CrossRef] [Green Version]
- Bailey, T.L.; Boden, M.; Buske, F.A.; Frith, M.; Grant, C.E.; Clementi, L.; Ren, J.; Li, W.W.; Noble, W.S. Meme Suite: Tools for motif discovery and searching. Nucleic Acids Res. 2009, 37, W202–W208. [Google Scholar] [CrossRef]
- Letunic, I.; Bork, P. Interactive Tree Of Life (iTOL) v5: An online tool for phylogenetic tree display and annotation. Nucleic Acids Res. 2021, 49, W293–W296. [Google Scholar] [CrossRef]
- Edgar, R.C. Muscle: A multiple sequence alignment method with reduced time and space complexity. BMC Bioinform. 2004, 5, 113. [Google Scholar] [CrossRef] [PubMed] [Green Version]
- Minh, B.Q.; Schmidt, H.A.; Chernomor, O.; Schrempf, D.; Woodhams, M.D.; von Haeseler, A.; Lanfear, R. IQ-TREE 2: New Models and Efficient Methods for Phylogenetic Inference in the Genomic Era. Mol. Biol. Evol. 2020, 37, 1530–1534. [Google Scholar] [CrossRef] [PubMed] [Green Version]
- Tamura, K.; Stecher, G.; Peterson, D.; Filipski, A.; Kumar, S. MEGA6: Molecular Evolutionary Genetics Analysis version 6.0. Mol. Biol. Evol. 2013, 30, 2725–2729. [Google Scholar] [CrossRef] [PubMed] [Green Version]
- Emms, D.M.; Kelly, S. OrthoFinder: Phylogenetic orthology inference for comparative genomics. Genome Biol. 2019, 20, 238. [Google Scholar] [CrossRef] [PubMed] [Green Version]
- Qiao, X.; Li, Q.; Yin, H.; Qi, K.; Li, L.; Wang, R.; Zhang, S.; Paterson, A.H. Gene duplication and evolution in recurring polyploidization-diploidization cycles in plants. Genome Biol. 2019, 20, 38. [Google Scholar] [CrossRef] [PubMed] [Green Version]
- Chen, C.; Chen, H.; Zhang, Y.; Thomas, H.R.; Frank, M.H.; He, Y.; Xia, R. TBtools: An Integrative Toolkit Developed for Interactive Analyses of Big Biological Data. Mol. Plant 2020, 13, 1194–1202. [Google Scholar] [CrossRef]
- Chen, S.; Zhou, Y.; Chen, Y.; Gu, J. FASTP: An ultra-fast all-in-one FASTQ preprocessor. Bioinformatics 2018, 34, i884–i890. [Google Scholar] [CrossRef]
- Kim, D.; Langmead, B.; Salzberg, S.L. HISAT: A fast spliced aligner with low memory requirements. Nat. Methods 2015, 12, 357–360. [Google Scholar] [CrossRef] [Green Version]
- Zhao, D.; Wei, J.; Hao, J.; Han, X.; Ding, S.; Yang, L.; Zhang, Z. Effect of sodium carbonate solution pretreatment on drying kinetics, antioxidant capacity changes, and final quality of wolfberry (Lycium barbarum) during drying. LWT 2019, 99, 254–261. [Google Scholar] [CrossRef]
- Shannon, P.; Markiel, A.; Ozier, O.; Baliga, N.S.; Wang, J.T.; Ramage, D.; Amin, N.; Schwikowski, B.; Ideker, T. Cytoscape: A software environment for integrated models of biomolecular interaction networks. Genome Res. 2003, 13, 2498–2504. [Google Scholar] [CrossRef] [PubMed]
Publisher’s Note: MDPI stays neutral with regard to jurisdictional claims in published maps and institutional affiliations. |
© 2022 by the authors. Licensee MDPI, Basel, Switzerland. This article is an open access article distributed under the terms and conditions of the Creative Commons Attribution (CC BY) license (https://creativecommons.org/licenses/by/4.0/).









