Chitin Biodegradation by Lytic Polysaccharide Monooxygenases from Streptomyces coelicolor In Vitro and In Vivo
Abstract
1. Introduction
2. Results and Discussion
2.1. Transcript Level of lpmo Genes in the Presence of Chitin
2.2. Expression and Activity Assay of ScLPMO10G
2.3. Effect of pH and Temperature on ScLPMO10G Activity and Stability
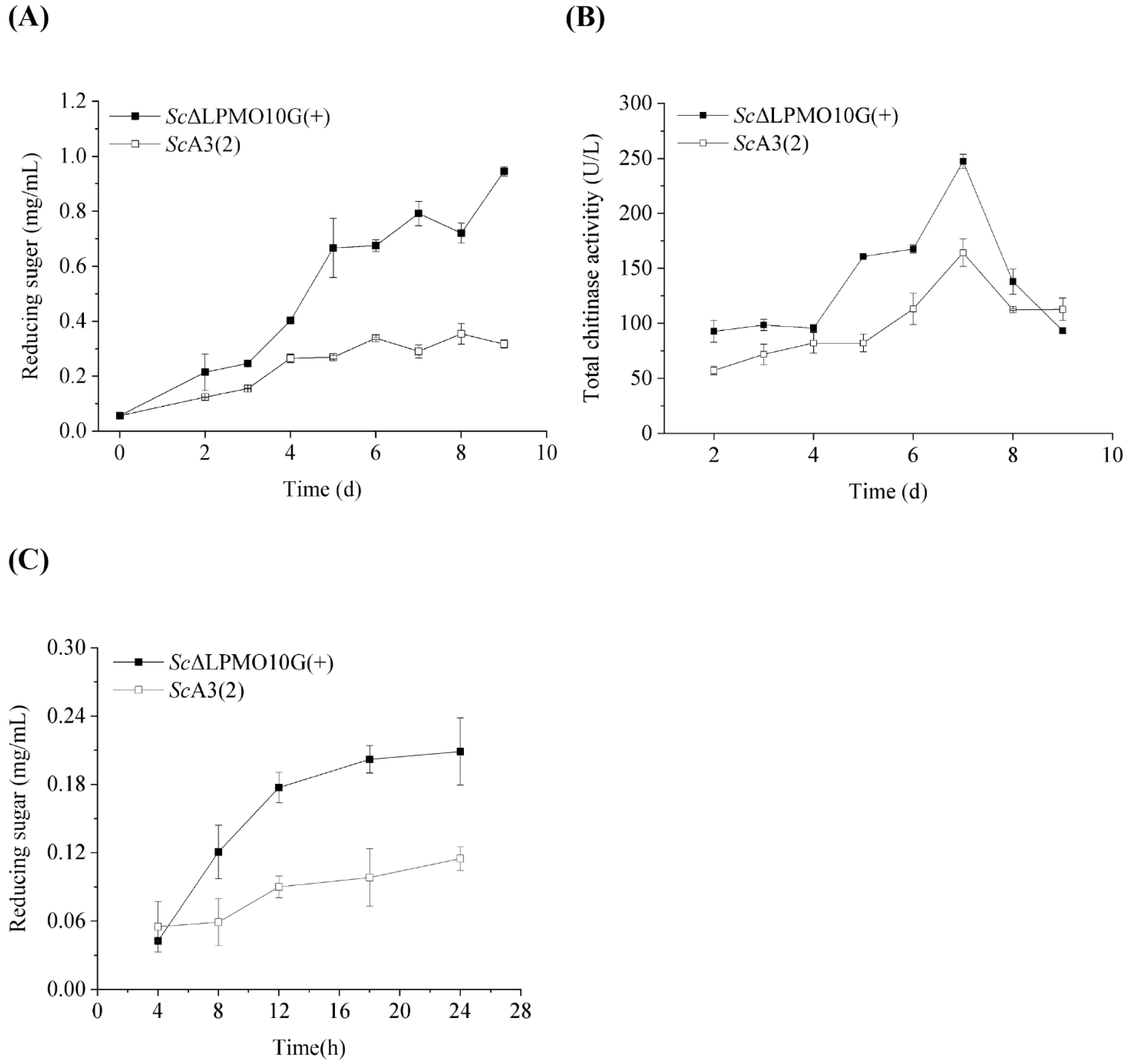
2.4. Chitin Degradation by the LPMO Overexpression Mutant Strain ScΔLPMO10G(+)
3. Materials and Methods
3.1. Plasmids, Strains, and Medium
3.2. The Relative Transcript Level of lpmo from S. coelicolor in Chitin Degradation
3.3. Expression and Purification of ScLPMO10G
3.4. Activity Assay of ScLPMO10G
3.5. Chitin Degradation by ScLPMO10G and Commercial Chitinase
3.6. Influence of Temperature and pH on Enzymatic Activity and Stability
3.7. Construction of LPMO Overexpression Mutant Strain
3.8. Chitin Degradation by the LPMO Overexpression Mutant Strain ScΔLPMO10G(+)
4. Conclusions
Supplementary Materials
Author Contributions
Funding
Institutional Review Board Statement
Informed Consent Statement
Data Availability Statement
Acknowledgments
Conflicts of Interest
References
- Fernando, L.D.; Widanage, M.C.D.; Penfield, J.; Lipton, A.S.; Washton, N.; Latgé, J.-P.; Wang, P.; Zhang, L.; Wang, T. Structural Polymorphism of Chitin and Chitosan in Fungal Cell Walls From Solid-State NMR and Principal Component Analysis. Front. Mol. Biosci. 2021, 8, 727053. [Google Scholar] [CrossRef] [PubMed]
- Blaak, H.; Schnellmann, J.; Walter, S.; Henrissat, B.; Schrempf, H. Characteristics of an exochitinase from Streptomyces oli-vaceoviridis, its corresponding gene, putative protein domains and relationship to other chitinases. Eur. J. Biochem. 1993, 214, 659–669. [Google Scholar] [CrossRef] [PubMed]
- Fujii, T.; Miyashita, K. Multiple domain structure in a chitinase gene (chiC) of Streptomyces lividans. J. Gen. Microbiol. 1993, 139, 677–686. [Google Scholar] [CrossRef] [PubMed][Green Version]
- Saito, A.; Fujii, T.; Yoneyama, T.; Redenbach, M.; Ohno, T.; Watanabe, T.; Miyashita, K. High-multiplicity of Chitinase genes in Streptomyces coelicolorA3(2). Biosci. Biotechnol. Biochem. 1999, 63, 710–718. [Google Scholar] [CrossRef] [PubMed]
- Saito, A.; Ishizaka, M.; Francisco, P.B., Jr.; Fujii, T.; Miyashita, K. Transcriptional co-regulation of five chitinase genes scattered on the Streptomyces coelicolor A3(2) chromosome. Microbiology 2000, 146, 2937–2946. [Google Scholar] [CrossRef]
- Saito, A.; Fujii, T.; Miyashita, K. Distribution and evolution of chitinase genes in Streptomyces species: Involvement of gene-duplication and domain-deletion. Antonie van Leeuwenhoek 2003, 84, 7–15. [Google Scholar] [CrossRef]
- Vaaje-Kolstad, G.; Westereng, B.; Horn, S.J.; Liu, Z.; Zhai, H.; Sørlie, M.; Eijsink, V.G.H. An Oxidative Enzyme Boosting the Enzymatic Conversion of Recalcitrant Polysaccharides. Science 2010, 330, 219–222. [Google Scholar] [CrossRef]
- Manavalan, T.; Stepnov, A.A.; Hegnar, O.A.; Eijsink, V.G.H. Sugar oxidoreductases and LPMOs – two sides of the same polysaccharide degradation story? Carbohydr. Res. 2021, 505, 108350. [Google Scholar] [CrossRef]
- Forsberg, Z.; Sørlie, M.; Petrović, D.; Courtade, G.; Aachmann, F.L.; Vaaje-Kolstad, G.; Bissaro, B.; Røhr, K.; Eijsink, V.G. Polysaccharide degradation by lytic polysaccharide monooxygenases. Curr. Opin. Struct. Biol. 2019, 59, 54–64. [Google Scholar] [CrossRef]
- Vaaje-Kolstad, G.; Horn, S.J.; van Aalten, D.M.; Synstad, B.; Eijsink, V.G. The Non-catalytic Chitin-binding Protein CBP21 from Serratia marcescens Is Essential for Chitin Degradation. J. Biol. Chem. 2005, 280, 28492–28497. [Google Scholar] [CrossRef]
- Harris, P.V.; Welner, D.; McFarland, K.C.; Re, E.; Navarro Poulsen, J.C.; Brown, K.; Salbo, R.; Ding, H.; Vlasenko, E.; Merino, S.; et al. Stimulation of lignocellulosic biomass hydrolysis by proteins of glycoside hy-drolase family 61: Structure and function of a large, enigmatic family. Biochemistry 2010, 49, 3305–3316. [Google Scholar] [CrossRef] [PubMed]
- Mekasha, S.; Tuveng, T.R.; Askarian, F.; Choudhary, S.; Schmidt-Dannert, C.; Niebisch, A.; Modregger, J.; Vaaje-Kolstad, G.; Eijsink, V.G.H. A trimodular bacterial enzyme combining hydrolytic activity with oxidative glycosidic bond cleavage efficiently degrades chitin. J. Biol. Chem. 2020, 295, 9134–9146. [Google Scholar] [CrossRef] [PubMed]
- Agger, J.W.; Isaksen, T.; Várnai, A.; Vidal-Melgosa, S.; Willats, W.G.T.; Ludwig, R.; Horn, S.J.; Eijsink, V.G.H.; Westereng, B. Discovery of LPMO activity on hemicelluloses shows the importance of oxidative processes in plant cell wall degradation. Proc. Natl. Acad. Sci. USA 2014, 111, 6287–6292. [Google Scholar] [CrossRef] [PubMed]
- Hemsworth, G.R.; Henrissat, B.; Davies, G.J.; Walton, P.H. Discovery and characterization of a new family of lytic polysac-charide monooxygenases. Nat. Chem. Biol. 2014, 10, 122–126. [Google Scholar] [CrossRef]
- Vu, V.V.; Beeson, W.T.; Span, E.A.; Farquhar, E.R.; Marletta, M.A. A family of starch-active polysaccharide monooxygenases. Proc. Natl. Acad. Sci. 2014, 111, 13822–13827. [Google Scholar] [CrossRef] [PubMed]
- Couturier, M.; Ladevèze, S.; Sulzenbacher, G.; Ciano, L.; Fanuel, M.; Moreau, C.; Villares, A.; Cathala, B.; Chaspoul, F.; Frandsen, K.E.; et al. Lytic xylan oxidases from wood-decay fungi unlock biomass degradation. Nat. Chem. Biol. 2018, 14, 306–310. [Google Scholar] [CrossRef] [PubMed]
- Sabbadin, F.; Hemsworth, G.R.; Ciano, L.; Henrissat, B.; Dupree, P.; Tryfona, T.; Marques, R.D.S.; Sweeney, S.T.; Besser, K.; Elias, L.; et al. An ancient family of lytic polysaccharide monooxygenases with roles in arthropod development and biomass digestion. Nat. Commun. 2018, 9, 1–12. [Google Scholar] [CrossRef] [PubMed]
- Filiatrault-Chastel, C.; Navarro, D.; Haon, M.; Grisel, S.; Herpoël-Gimbert, I.; Chevret, D.; Fanuel, M.; Henrissat, B.; Heiss-Blanquet, S.; Margeot, A.; et al. AA16, a new lytic polysaccharide monooxygenase family identified in fungal secretomes. Biotechnol. Biofuels 2019, 12, 1–15. [Google Scholar] [CrossRef] [PubMed]
- Floudas, D.; Binder, M.; Riley, R.; Barry, K.; Blanchette, R.A.; Henrissat, B.; Martínez, A.T.; Otillar, R.; Spatafora, J.W.; Yadav, J.S.; et al. The Paleozoic Origin of Enzymatic Lignin Decomposition Reconstructed from 31 Fungal Genomes. Science 2012, 336, 1715–1719. [Google Scholar] [CrossRef]
- Chater, K.F.; Biró, S.; Lee, K.J.; Palmer, T.; Schrempf, H. The complex extracellular biology of Streptomyces. FEMS Microbiol. Rev. 2010, 34, 171–198. [Google Scholar] [CrossRef]
- Hodgson, D.A. Primary metabolism and its control in streptomycetes: A most unusual group of bacteria. Adv. Microb. Physiol. 2000, 42, 47–238. [Google Scholar] [CrossRef] [PubMed]
- Forsberg, Z.; Mackenzie, A.K.; Sørlie, M.; Røhr, K.; Helland, R.; Arvai, A.S.; Vaaje-Kolstad, G.; Eijsink, V.G.H. Structural and functional characterization of a conserved pair of bacterial cellulose-oxidizing lytic polysaccharide monooxygenases. Proc. Natl. Acad. Sci. USA 2014, 111, 8446–8451. [Google Scholar] [CrossRef] [PubMed]
- Forsberg, Z.; Røhr, K.; Mekasha, S.; Andersson, K.K.; Eijsink, V.G.H.; Vaaje-Kolstad, G.; Sørlie, M. Comparative Study of Two Chitin-Active and Two Cellulose-Active AA10-Type Lytic Polysaccharide Monooxygenases. Biochemistry 2014, 53, 1647–1656. [Google Scholar] [CrossRef] [PubMed]
- Forsberg, Z.; Vaaje-Kolstad, G.; Westereng, B.; Bunaes, A.C.; Stenstrøm, Y.; MacKenzie, A.; Sørlie, M.; Horn, S.J.; Eijsink, V.G. Cleavage of cellulose by a CBM33 protein. Protein Sci. 2011, 20, 1479–1483. [Google Scholar] [CrossRef] [PubMed]
- Nakagawa, Y.S.; Kudo, M.; Loose, J.S.; Ishikawa, T.; Totani, K.; Eijsink, V.G.; Vaaje-Kolstad, G. A small lytic polysaccharide monooxygenase from Streptomyces griseus targeting alpha- and beta-chitin. FEBS J. 2015, 282, 1065–1079. [Google Scholar] [CrossRef] [PubMed]
- Chaplin, A.K.; Wilson, M.T.; Hough, M.A.; Svistunenko, D.A.; Hemsworth, G.R.; Walton, P.H.; Vijgenboom, E.; Worrall, J.A.R. Heterogeneity in the Histidine-brace Copper Coordination Sphere in Auxiliary Activity Family 10 (AA10) Lytic Poly-saccharide Monooxygenases. J. Biol. Chem. 2016, 291, 12838–12850. [Google Scholar] [CrossRef]
- Garda, A.L.; Fernández-Abalos, J.M.; Sánchez, P.; Ruiz-Arribas, A.; Santamaría, R.I. Two genes encoding an endoglucanase and a cellulose-binding protein are clustered and co-regulated by a TTA codon in Streptomyces halstedii JM8. Biochem. J. 1997, 324, 403–411. [Google Scholar] [CrossRef][Green Version]
- Nazari, B.; Saito, A.; Kobayashi, M.; Miyashita, K.; Wang, Y.; Fujii, T. High expression levels of chitinase genes in Streptomyces coelicolor A3(2) grown in soil. FEMS Microbiol. Ecol. 2011, 77, 623–635. [Google Scholar] [CrossRef]
- Saito, A.; Ebise, H.; Orihara, Y.; Murakami, S.; Sano, Y.; Kimura, A.; Sugiyama, Y.; Ando, A.; Fujii, T.; Miyashita, K. Enzymatic and genetic characterization of the DasD protein possessing N-acetyl-beta-d-glucosaminidase activity in Streptomyces coe-licolor A3(2). FEMS Microbiol. Lett. 2013, 340, 33–40. [Google Scholar] [CrossRef] [PubMed]
- Vaaje-Kolstad, G.; Bøhle, L.A.; Gåseidnes, S.; Dalhus, B.; Bjørås, M.; Mathiesen, G.; Eijsink, V.G. Characterization of the Chitinolytic Machinery of Enterococcus faecalis V583 and High-Resolution Structure of Its Oxidative CBM33 Enzyme. J. Mol. Biol. 2012, 416, 239–254. [Google Scholar] [CrossRef]
- Agrawal, D.; Basotra, N.; Balan, V.; Tsang, A.; Chadha, B.S. Discovery and Expression of Thermostable LPMOs from Ther-mophilic Fungi for Producing Efficient Lignocellulolytic Enzyme Cocktails. Appl. Biochem. Biotechnol. 2000, 191, 463–481. [Google Scholar] [CrossRef] [PubMed]
- Yu, M.-J.; Yoon, S.-H.; Kim, Y.-W. Overproduction and characterization of a lytic polysaccharide monooxygenase in Bacillus subtilis using an assay based on ascorbate consumption. Enzym. Microb. Technol. 2016, 93–94, 150–156. [Google Scholar] [CrossRef] [PubMed]
- Tuveng, T.R.; Jensen, M.S.; Fredriksen, L.; Vaaje-Kolstad, G.; Eijsink, V.G.H.; Forsberg, Z. A thermostable bacterial lytic polysaccharide monooxygenase with high operational stability in a wide temperature range. Biotechnol. Biofuels 2020, 13, 1–15. [Google Scholar] [CrossRef]
- Tang-um, J.; Niamsup, H. Chitinase production and antifungal potential of endophytic Streptomyces strain P4. Maejo Int. J. Sci. Tech. 2012, 6, 95–104. [Google Scholar]
- Loose, J.S.M.; Forsberg, Z.; Fraaije, M.W.; Eijsink, V.G.H.; Vaaje-Kolstad, G. A rapid quantitative activity assay shows that the Vibrio cholerae colonization factor GbpA is an active lytic polysaccharide monooxygenase. Febs. Lett. 2014, 588, 3435–3440. [Google Scholar] [CrossRef] [PubMed]
- Li, F.; Zhao, H.; Shao, R.; Zhang, X.; Yu, H. Enhanced Fenton Reaction for Xenobiotic Compounds and Lignin Degradation Fueled by Quinone Redox Cycling by Lytic Polysaccharide Monooxygenases. J. Agric. Food Chem. 2021, 69, 7104–7114. [Google Scholar] [CrossRef]
- Li, F.; Liu, Y.X.; Liu, Y.; Li, Y.J.; Yu, H.B. Heterologous expression and characterization of a novel lytic polysaccharide monooxy-genase from Natrialbaceae archaeon and its application for chitin biodegradation. Bioresour. Technol. 2022, 354, 127174. [Google Scholar] [CrossRef]
- Lever, M. A new reaction for colorimetric determination of carbohydrates. Anal. Biochem. 1972, 47, 273–279. [Google Scholar] [CrossRef]
- Breslmayr, E.; Hanžek, M.; Hanrahan, A.; Leitner, C.; Kittl, R.; Šantek, B.; Oostenbrink, C.; Ludwig, R. A fast and sensitive activity assay for lytic polysaccharide monooxygenase. Biotechnol. Biofuels 2018, 11, 79. [Google Scholar] [CrossRef]
- Kieser, T.; Bibb, M.J.; Buttner, M.J.; Chater, K.F.; Hopwood, D.A.; Charter, K.; Bib, M.J.; Bipp, M.; Keiser, T.; Butner, M.J.J.I.F. Practical Streptomyces Genetics; The John Innes Foundation: Norwich, UK, 2000. [Google Scholar]




| Primer | Nucleotide Sequence (5′→3′) | Description | 
|---|---|---|
| Sclpmo10A-qF | GTACTACGTCGGAGGTCAGC | Used to quantify Sclpmo10A transcripts | 
| Sclpmo10A-qR | GTTGACGTCGATGCAGGC | |
| Sclpmo10B-qF | ACGCTACAACTCCCTCGAC | Used to quantify Sclpmo10B transcripts | 
| Sclpmo10B-qR | ATCTCGTAGTTCTGGCTGGG | |
| Sclpmo10C-qF | GGACAGCCAGGAGAACTTCT | Used to quantify Sclpmo10C transcripts | 
| Sclpmo10C-qR | CTCCAGGAGTTCTCCACCG | |
| Sclpmo10D-qF | AAGGGCACGTTCAAGGTCTA | Used to quantify Sclpmo10D transcripts | 
| Sclpmo10D-qR | AAGGTGACGTCCGAGCAG | |
| Sclpmo10E-qF | ATCTGTTCCGCGGGACAC | Used to quantify Sclpmo10E transcripts | 
| Sclpmo10E-qR | AGGTTGTGGTTCTGGTTCCA | |
| Sclpmo10F-qF | TGGACTTCGGCGGGTTCAGC | Used to quantify Sclpmo10F transcripts | 
| Sclpmo10F-qR | GCAGGCGTAGAAGGCGTTGG | |
| Sclpmo10G-qF | CGGCAACGCCTTCTACTCCTG | Used to quantify Sclpmo10G transcripts | 
| Sclpmo10G-qR | CTTCCCAGACGCCCCATTCG | |
| SchrdB-qF | TCGACTACACCAAGGGCTACAA | Used to quantify SchrdB transcripts | 
| SchrdB-qR | ACCATGTGCACCGGGATAC | |
| Sclpmo10G-EF | CCGCGCGGCAGCCATATGATTGAAGGTCGTCACGGGTGGGTGACCTCGCCC | Used to amplify Sclpmo10G and insert the plasmid pET28a and pGM1190, respectively. The NdeI/EcoRI site is attached (underlined). Factor Xa cleavage site is indicated in bold. | 
| Sclpmo10G-SF | CCGCGCGGCAGCCATATGATGCGCACCAAGAGACGGGTGGC | |
| Sclpmo10G-R | TCGACGGAGCTCGAATTCTCACGCGGCCGCGCAGG | 
| Disclaimer/Publisher’s Note: The statements, opinions and data contained in all publications are solely those of the individual author(s) and contributor(s) and not of MDPI and/or the editor(s). MDPI and/or the editor(s) disclaim responsibility for any injury to people or property resulting from any ideas, methods, instructions or products referred to in the content. | 
© 2022 by the authors. Licensee MDPI, Basel, Switzerland. This article is an open access article distributed under the terms and conditions of the Creative Commons Attribution (CC BY) license (https://creativecommons.org/licenses/by/4.0/).
Share and Cite
Li, F.; Zhao, H.; Liu, Y.; Zhang, J.; Yu, H. Chitin Biodegradation by Lytic Polysaccharide Monooxygenases from Streptomyces coelicolor In Vitro and In Vivo. Int. J. Mol. Sci. 2023, 24, 275. https://doi.org/10.3390/ijms24010275
Li F, Zhao H, Liu Y, Zhang J, Yu H. Chitin Biodegradation by Lytic Polysaccharide Monooxygenases from Streptomyces coelicolor In Vitro and In Vivo. International Journal of Molecular Sciences. 2023; 24(1):275. https://doi.org/10.3390/ijms24010275
Chicago/Turabian StyleLi, Fei, Honglu Zhao, Yuxin Liu, Jiaqi Zhang, and Hongbo Yu. 2023. "Chitin Biodegradation by Lytic Polysaccharide Monooxygenases from Streptomyces coelicolor In Vitro and In Vivo" International Journal of Molecular Sciences 24, no. 1: 275. https://doi.org/10.3390/ijms24010275
APA StyleLi, F., Zhao, H., Liu, Y., Zhang, J., & Yu, H. (2023). Chitin Biodegradation by Lytic Polysaccharide Monooxygenases from Streptomyces coelicolor In Vitro and In Vivo. International Journal of Molecular Sciences, 24(1), 275. https://doi.org/10.3390/ijms24010275
 
        



 
                         
       