Transcriptomic and Metabolomic Analyses Reveal the Roles of Flavonoids and Auxin on Peanut Nodulation
Abstract
1. Introduction
2. Results
2.1. Phenotypic Variations between Peanut Plants That Do Not Nodulate and Those That Do
2.2. Differentially Expressed Genes (DEGs) in the Roots of W vs. Y Plants
2.3. Gene ontology (GO) and Kyoto Encyclopedia of Genes and Genomes (KEGG) Enrichment of DEGs
2.4. Widely Targeted Metabolic Profiling Assay in the Roots of W and Y Plants
2.5. Integrative Analysis of Transcriptomic and Metabolomic Data
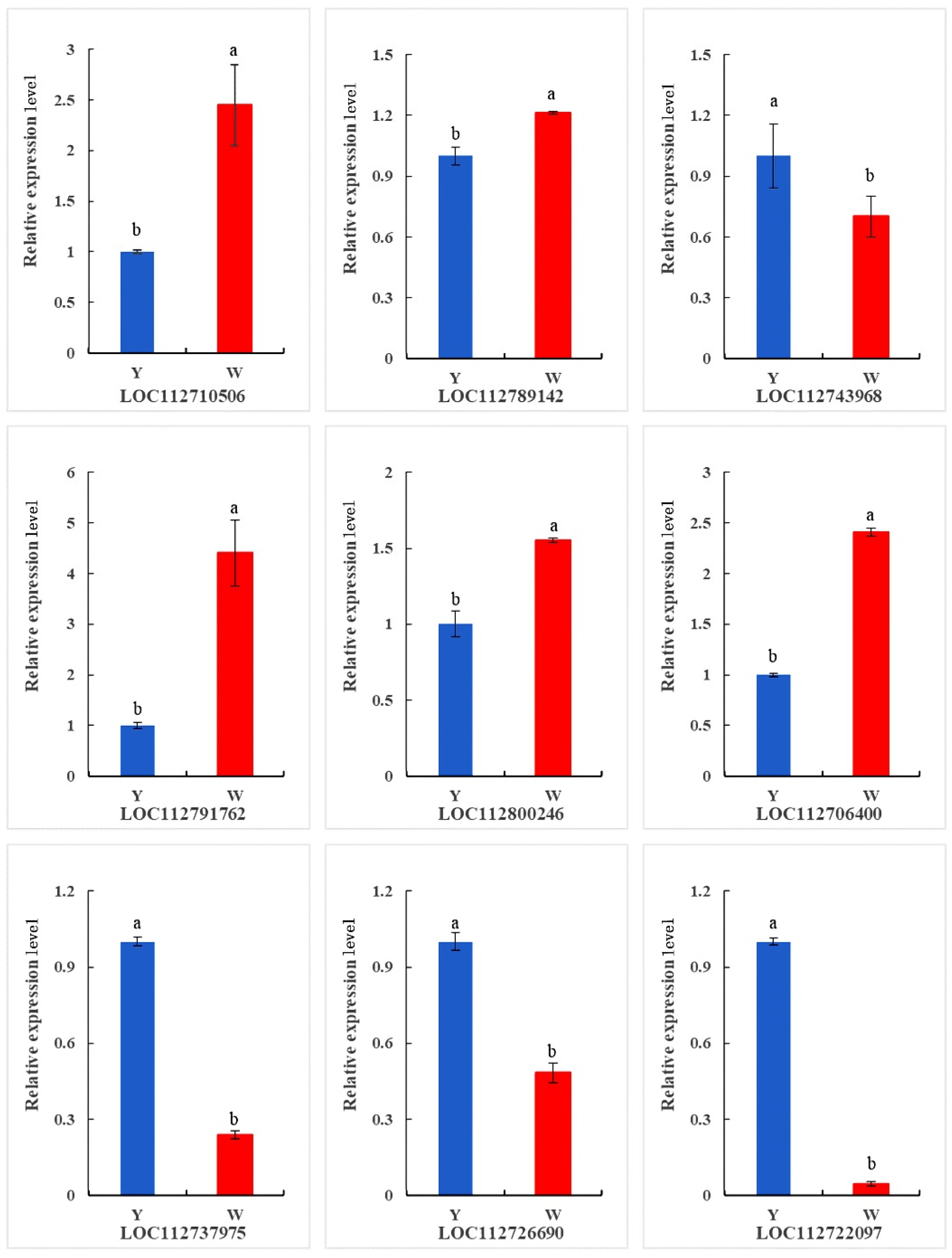
2.6. Validation of DEGs Using RT-qPCR
2.7. Determination of Auxin Content
3. Discussion
4. Materials and Methods
4.1. Plant Materials
4.2. RNA Isolation, cDNA Library Construction, and Sequencing
4.3. RNA-seq Data Analysis and Annotation
4.4. Extraction of Metabolites
4.5. UPLC–MS/MS Analysis
4.6. RT-qPCR
4.7. Auxin Measurement
4.8. Statistical Analysis
5. Conclusions
Supplementary Materials
Author Contributions
Funding
Institutional Review Board Statement
Informed Consent Statement
Data Availability Statement
Conflicts of Interest
References
- Oldroyd, G.; Murray, J.D.; Poole, P.S.; Downie, J.A. The rules of engagement in the legume-rhizobial symbiosis. Annu. Rev. Genet. 2011, 45, 119–144. [Google Scholar] [CrossRef] [PubMed]
- Lamouche, F.; Gully, D.; Chaumeret, A.; Nouwen, N.; Verly, C.; Pierre, O.; Sciallano, C.; Fardoux, J.; Jeudy, C.; Szücs, A.; et al. Transcriptomic dissection of Bradyrhizobium sp. strain ors in symbiosis with Aeschynomene spp. inducing different bacteroid morphotypes with contrasted symbiotic efficiency. Environ. Microbiol. 2018, 21, 3244–3258. [Google Scholar] [CrossRef] [PubMed]
- Goyal, R.K.; Mattoo, A.K.; Schmidt, M.A. Rhizobial–host interactions and symbiotic nitrogen fixation in legume crops toward agriculture sustainability. Front. Microbiol. 2021, 12, 669404. [Google Scholar] [CrossRef]
- Peoples, M.B.; Brockwell, J.; Herridge, D.F.; Rochester, I.J.; Alves, B.J.R.; Urquiaga, S.; Boddey, R.M.; Dakora, F.D.; Bhattarai, S.; Maskey, S.L.; et al. The contributions of nitrogen-fixing crop legumes to the productivity of agricultural systems. Symbiosis 2009, 48, 1–17. [Google Scholar] [CrossRef]
- Brewin, N.J.; Legocki, A.B. Biological nitrogen fixation for sustainable agriculture: A perspective. Trends Microbiol. 1996, 4, 476–477. [Google Scholar] [CrossRef]
- Mahmud, K.; Makaju, S.; Ibrahim, R.; Missaoui, A. Current progress in nitrogen fixing plants and microbiome research. Plants 2020, 9, 97. [Google Scholar] [CrossRef]
- Ferguson, B.J.; Mathesius, U. Signaling interactions during nodule development. J. Plant Growth Regul. 2003, 22, 47–72. [Google Scholar] [CrossRef]
- Singh, A.; Singh, N.B.; Yadav, V.; Bano, C.; Khare, S.; Yadav, R.K. Nod factor signaling in legume-Rhizobium symbiosis: Specificity and molecular genetics of nod factor signaling. In Abiotic Stress and Legumes; Academic Press: Cambridge, MA, USA, 2021; pp. 33–67. [Google Scholar]
- Zipfel, C.; Oldroyd, G.E. Plant signalling in symbiosis and immunity. Nature 2017, 543, 328–336. [Google Scholar] [CrossRef]
- Fu, B.L.; Xu, Z.P.; Lei, Y.T.; Dong, R.; Wang, Y.N.; Guo, X.L.; Zhu, H.; Cao, Y.R.; Yan, Z. A novel secreted protein, NISP1, is phosphorylated by soybean Nodulation Receptor Kinase to promote nodule symbiosis. J. Integr. Plant Biol. 2023, 65, 1297–1311. [Google Scholar] [CrossRef] [PubMed]
- Gao, J.P.; Xu, P.; Wang, M.X.; Zhang, X.W.; Yang, J.; Zhou, Y.; Murray, J.D.; Song, C.P.; Wang, E.T. Nod factor receptor complex phosphorylates GmGEF2 to stimulate ROP signaling during nodulation. Curr. Biol. 2021, 31, 3538–3550. [Google Scholar] [CrossRef] [PubMed]
- He, C.; Gao, H.; Wang, H.; Guo, Y.; He, M.; Peng, Y.; Wang, X. GSK3-mediated stress signaling inhibits legume–rhizobium symbiosis by phosphorylating GmNSP1 in soybean. Mol. Plant 2021, 14, 488–502. [Google Scholar] [CrossRef] [PubMed]
- Lin, J.S.; Frank, M.; Reid, D. No home without hormones: How plant hormones control legume nodule organogenesis. Plant Commun. 2020, 1, 100104. [Google Scholar] [CrossRef] [PubMed]
- Swarup, R.; Kramer, E.M.; Perry, P.; Knox, K.; Leyser, H.O.; Haseloff, J.; Beemster, G.T.; Bhalerao, R.; Bennett, M.J. Root gravitropism requires lateral root cap and epidermal cells for transport and response to a mobile auxin signal. Nat. Cell Biol. 2005, 7, 1057–1065. [Google Scholar] [CrossRef] [PubMed]
- Zhang, W.; Sun, K.; Shi, R.H.; Yuan, J.; Wang, X.J.; Dai, C.C. Auxin signalling of Arachis hypogaea activated by colonization of mutualistic fungus Phomopsis liquidambari enhances nodulation and N2-fixation. Plant Cell Environ. 2018, 41, 2093–2108. [Google Scholar] [CrossRef] [PubMed]
- Kohlen, W.; Ng, J.L.P.; Deinum, E.E.; Mathesius, U. Auxin transport, metabolism, and signalling during nodule initiation: Indeterminate and determinate nodules. J. Exp. Bot. 2018, 69, 229–244. [Google Scholar] [CrossRef]
- Takanashi, K.; Sugiyama, A.; Yazaki, K. Involvement of auxin distribution in root nodule development of Lotus japonicus. Planta 2011, 234, 73–81. [Google Scholar] [CrossRef]
- Subramanian, S.; Stacey, G.; Yu, O. Distinct, crucial roles of flavonoids during legume nodulation. Trends Plant Sci. 2007, 12, 282–285. [Google Scholar] [CrossRef]
- Wang, Y.; Li, K.; Chen, L.; Zou, Y.; Liu, H.; Tian, Y.; Li, X. MicroRNA167-directed regulation of the auxin response factors GmARF8a and GmARF8b is required for soybean nodulation and lateral root development. Plant Physiol. 2015, 168, 984–999. [Google Scholar] [CrossRef]
- Achom, M.; Roy, P.; Lagunas, B.; Picot, E.; Richards, L.; Bonyadi-Pour, R.; Pardal, A.J.; Baxter, L.; Richmond, B.; Aschauer, N.; et al. Plant circadian clock control of Medicago truncatula nodulation via regulation of Nodule Cysteine-Rich peptides. J. Exp. Bot. 2021, 73, 2142–2156. [Google Scholar] [CrossRef]
- Nadzieja, M.; Kelly, S.; Stougaard, J.; Reid, D. Epidermal auxin biosynthesis facilitates rhizobial infection in Lotus japonicus. Plant J. 2018, 95, 101–111. [Google Scholar] [CrossRef]
- Sharma, V.; Bhattacharyya, S.; Kumar, R.; Kumar, A.; Ibañez, F.; Wang, J.; Guo, B.; Sudini, H.K.; Gopalakrishnan, S.; DasGupta, M.; et al. Molecular basis of root nodule symbiosis between Bradyrhizobium and ‘crack-entry’ legume groundnut (Arachis hypogaea L.). Plants 2020, 9, 276. [Google Scholar] [CrossRef]
- Piromyou, P.; Nguyen, H.P.; Songwattana, P.; Boonchuen, P.; Teamtisong, K.; Tittabutr, P.; Boonkerd, N.; Tantasawat, P.A.; Göttfert, M.; Okazaki, S.; et al. The Bradyrhizobium diazoefficiens type III effector NopE modulates the regulation of plant hormones towards nodulation in Vigna radiata. Sci. Rep. 2021, 11, 16604. [Google Scholar] [CrossRef]
- Bosse, M.A.; da Silva, M.B.; de Oliveira, N.G.R.M.; de Araujo, M.A.; Rodrigues, C.; de Azevedo, J.P.; dos Reis, A.R. Physiological impact of flavonoids on nodulation and ureide metabolism in legume plants. Plant Physiol. Biochem. 2021, 166, 512–521. [Google Scholar] [CrossRef] [PubMed]
- Singh, S.; Kumar, V.; Datta, S.; Ramamurthy, P.C.; Singh, J. Molecular mechanism and signaling pathways interplay between plant hormones during plant-microbe crosstalk. In Microbial Management of Plant Stresses; Woodhead Publishing: Sawston, UK, 2021; pp. 93–105. [Google Scholar]
- Chen, W.; Wang, W.; Peng, M.; Gong, L.; Gao, Y.; Wan, J.; Wang, S.; Shi, L.; Zhou, B.; Li, Z.; et al. Comparative and parallel genome-wide association studies for metabolic and agronomic traits in cereals. Nat. Commun. 2016, 7, 12767. [Google Scholar] [CrossRef] [PubMed]
- Zuanazzi, J.A.S.; Clergeot, P.H.; Quirion, J.C.; Husson, H.P.; Kondorosi, A.; Ratet, P. Production of Sinorhizobium meliloti nod gene activator and repressor flavonoids from Medicago sativa roots. Mol. Plant-Microbe Interact. 1998, 11, 784–794. [Google Scholar] [CrossRef]
- Wang, H.W.; Ma, C.Y.; Xu, F.J.; Lu, F.; Zhang, W.; Dai, C.C. Root endophyte-enhanced peanut-rhizobia interaction is associated with regulation of root exudates. Microbiol. Res. 2021, 250, 126765. [Google Scholar] [CrossRef] [PubMed]
- Li, L.I.; Zhao, Y.; Jun-Lan, M.A. Recent progress on key enzymes: Pal, c4h,4cl of phenylalanine metabolism pathway. China J. Bioinform. 2007, 4, 187–189. [Google Scholar]
- Tong, Y.; Lyu, Y.; Xu, S.; Zhang, L.; Zhou, J. Optimum chalcone synthase for flavonoid biosynthesis in microorganisms. Crit. Rev. Biotechnol. 2021, 41, 1194–1208. [Google Scholar] [CrossRef]
- Hassan, S.; Mathesius, U. The role of flavonoids in root–rhizosphere signalling: Opportunities and challenges for improving plant–microbe interactions. J. Exp. Bot. 2012, 63, 3429–3444. [Google Scholar] [CrossRef]
- Falcone Ferreyra, M.L.; Rius, S.; Casati, P. Flavonoids: Biosynthesis, biological functions, and biotechnological applications. Front. Plant Sci. 2012, 3, 222. [Google Scholar] [CrossRef]
- Bontpart, T.; Cheynier, V.; Ageorges, A.; Terrier, N. BAHD or SCPL acyltransferase? what a dilemma for acylation in the world of plant phenolic compounds. New Phytol. 2015, 208, 695–707. [Google Scholar] [CrossRef]
- Zhang, C.M.; Zhong, Y.M.; Shen, D.H.; Chen, P. Recent progress in plant flavonoid Omethyltransferase. Acta Bot. Boreali-Occident. Sin. 2012, 32, 1274–1281. [Google Scholar]
- Kim, B.G.; Sung, S.H.; Chong, Y.; Lim, Y.; Ahn, J.H. Plant flavonoid O-methyltransferases: Substrate specificity and application. J. Plant Biol. 2010, 53, 321–329. [Google Scholar] [CrossRef]
- Buer, C.S.; Muday, G.K.; Djordjevic, M.A. Flavonoids are differentially taken up and transported long distances in Arabidopsis. Plant Physiol. 2007, 145, 478–490. [Google Scholar] [CrossRef] [PubMed]
- Liu, R.; Guo, Z.; Lu, S. Genome-Wide Identification and Expression Analysis of the Aux/IAA and Auxin Response Factor Gene Family in Medicago truncatula. Int. J. Mol. Sci. 2021, 22, 10494. [Google Scholar] [CrossRef] [PubMed]
- Lv, B.; Yu, Q.; Liu, J.; Wen, X.; Yan, Z.; Hu, K.; Li, H.; Kong, X.; Li, C.; Tian, H.; et al. Non-canonical AUX/IAA protein IAA 33 competes with canonical AUX/IAA repressor IAA 5 to negatively regulate auxin signaling. EMBO J. 2020, 39, e101515. [Google Scholar] [CrossRef]
- Kirolinko, C.; Hobecker, K.V.; Wen, J.; Mysore, K.; Niebel, A.; Blanco, F.A.; Zanetti, M.E. Auxin Response Factor 2 (ARF2), ARF3 and ARF4 mediate both lateral root and nitrogen fixing nodule development in Medicago truncatula. Front. Plant Sci. 2021, 12, 659061. [Google Scholar] [CrossRef]
- Chen, W.; Gong, L.; Guo, Z.; Wang, W.; Zhang, H.; Liu, X.; Yu, S.; Xiong, L.; Luo, J. A novel integrated method for large-scale detection, identification, and quantification of widely targeted metabolites: Application in the study of rice metabolomics. Mol. Plant 2013, 6, 1769–1780. [Google Scholar] [CrossRef]
- Livak, K.J.; Schmittgen, T.D. Analysis of relative gene expression data using real-time quantitative PCR and the 2(-Delta Delta C(T)) Method. Methods 2001, 25, 402–408. [Google Scholar] [CrossRef]








| Sample | Raw Reads | Clean Reads | Clean Bases (Gb) | Error Rate (%) | Q20 (%) | Q30 (%) | GC Content (%) | Reads Mapped | Unique Mapped | Multi Mapped |
|---|---|---|---|---|---|---|---|---|---|---|
| W1 | 43,695,792 | 42,125,346 | 6.32 | 0.03 | 97.86 | 93.83 | 43.66 | 40,827,293 (96.92%) | 36,659,116 (84.65%) | 6,532,025 (12.52%) |
| W2 | 47,912,986 | 46,155,764 | 6.92 | 0.03 | 97.86 | 93.84 | 43.94 | 44,736,326 (96.92%) | 38,879,339 (84.24%) | 7,145,385 (12.69%) |
| W3 | 44,948,048 | 43,304,136 | 6.5 | 0.02 | 98.06 | 94.32 | 43.96 | 42,182,757 (97.41%) | 36,659,116 (84.65%) | 6,801,200 (12.76%) |
| Y1 | 47,519,936 | 45,683,364 | 6.85 | 0.02 | 98.04 | 94.27 | 43.99 | 44,524,465 (97.46%) | 3,8478,645 (84.23%) | |
| Y2 | 47,099,980 | 45,145,906 | 6.77 | 0.02 | 98.05 | 94.30 | 43.77 | 43,799,436 (97.02%) | 37,955,896 (84.07%) | |
| Y3 | 44,867,488 | 42,092,504 | 6.31 | 0.03 | 97.95 | 94.06 | 43.79 | 40,907,322 (97.18%) | 34,907,249 (82.93%) |
| Auxin (mg/g) | W | Y |
|---|---|---|
| ICA | 5.74 a | 6.98 b |
| ICAld | 11.05 a | 10.92 a |
| IAA | 11.03 a | 34.92 b |
| IAN | 0.3 a | 0.26 a |
| IAA-Gly | 3.01 a | 2.82 a |
| IAA-Phe-Me | 0.34 a | 0.5 a |
| TRA | 0.63 a | 0.87 a |
| IAA-Glu | 24.51 a | 208.4 b |
| MEIAA | 1.39 a | 4.88 b |
| IPA | 8.97 b | 4.94 a |
| TRP | 5561.8 a | 6613.1 b |
| Total | 5628.77 a | 6888.59 b |
Disclaimer/Publisher’s Note: The statements, opinions and data contained in all publications are solely those of the individual author(s) and contributor(s) and not of MDPI and/or the editor(s). MDPI and/or the editor(s) disclaim responsibility for any injury to people or property resulting from any ideas, methods, instructions or products referred to in the content. |
© 2023 by the authors. Licensee MDPI, Basel, Switzerland. This article is an open access article distributed under the terms and conditions of the Creative Commons Attribution (CC BY) license (https://creativecommons.org/licenses/by/4.0/).
Share and Cite
Wang, J.; Diao, R.; Wu, Z.; Wan, S.; Yang, S.; Li, X. Transcriptomic and Metabolomic Analyses Reveal the Roles of Flavonoids and Auxin on Peanut Nodulation. Int. J. Mol. Sci. 2023, 24, 10152. https://doi.org/10.3390/ijms241210152
Wang J, Diao R, Wu Z, Wan S, Yang S, Li X. Transcriptomic and Metabolomic Analyses Reveal the Roles of Flavonoids and Auxin on Peanut Nodulation. International Journal of Molecular Sciences. 2023; 24(12):10152. https://doi.org/10.3390/ijms241210152
Chicago/Turabian StyleWang, Jianguo, Ruining Diao, Zhengfeng Wu, Shubo Wan, Sha Yang, and Xinguo Li. 2023. "Transcriptomic and Metabolomic Analyses Reveal the Roles of Flavonoids and Auxin on Peanut Nodulation" International Journal of Molecular Sciences 24, no. 12: 10152. https://doi.org/10.3390/ijms241210152
APA StyleWang, J., Diao, R., Wu, Z., Wan, S., Yang, S., & Li, X. (2023). Transcriptomic and Metabolomic Analyses Reveal the Roles of Flavonoids and Auxin on Peanut Nodulation. International Journal of Molecular Sciences, 24(12), 10152. https://doi.org/10.3390/ijms241210152
