DNA Damage Estimation after Chronic and Combined Exposure to Endocrine Disruptors: An In Vivo Real-Life Risk Simulation Approach
Abstract
1. Introduction
2. Results
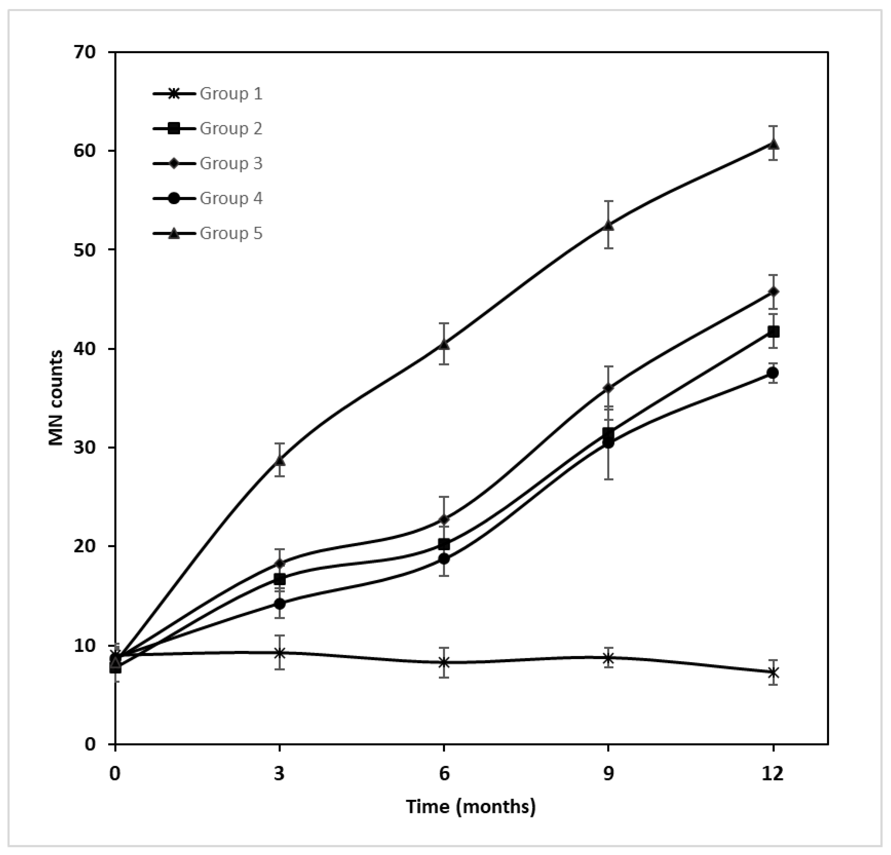
2.1. Micronuclei Counts
2.2. Tail Intensity
2.3. Correlation of Micronuclei and Comet Assay Results
3. Discussion
4. Materials and Methods
4.1. In Vivo Experiment
4.2. Reagents
4.3. Micronuclei Assay
4.4. Comet Assay
4.5. Statistical Methods
5. Conclusions
Author Contributions
Funding
Institutional Review Board Statement
Informed Consent Statement
Data Availability Statement
Conflicts of Interest
References
- Tsatsakis, A.M.; Docea, A.O.; Tsitsimpikou, C. New Challenges in Risk Assessment of Chemicals When Simulating Real Exposure Scenarios; Simultaneous Multi-Chemicals’ Low Dose Exposure. Food Chem. Toxicol. 2016, 96, 174–176. [Google Scholar] [CrossRef]
- Goumenou, M.; Djordjevic, A.B.; Vassilopoulou, L.; Tsatsakis, A.M. Chapter 14—Endocrine Disruption and Human Health Risk Assessment in the Light of Real-Life Risk Simulation. In Toxicological Risk Assessment and Multi-System Health Impacts from Exposure; Tsatsakis, A.M., Ed.; Academic Press: Cambridge, MA, USA, 2021; pp. 147–162. ISBN 978-0-323-85215-9. [Google Scholar]
- Tsatsakis, A.; Tyshko, N.V.; Docea, A.O.; Shestakova, S.I.; Sidorova, Y.S.; Petrov, N.A.; Zlatian, O.; Mach, M.; Hartung, T.; Tutelyan, V.A. The Effect of Chronic Vitamin Deficiency and Long Term Very Low Dose Exposure to 6 Pesticides Mixture on Neurological Outcomes—A Real-Life Risk Simulation Approach. Toxicol. Lett. 2019, 315, 96–106. [Google Scholar] [CrossRef]
- Hernández, A.F.; Docea, A.O.; Goumenou, M.; Sarigiannis, D.; Aschner, M.; Tsatsakis, A. Application of Novel Technologies and Mechanistic Data for Risk Assessment under the Real-Life Risk Simulation (RLRS) Approach. Food Chem. Toxicol. 2020, 137, 111123. [Google Scholar] [CrossRef] [PubMed]
- Koller, V.J.; Fürhacker, M.; Nersesyan, A.; Mišík, M.; Eisenbauer, M.; Knasmueller, S. Cytotoxic and DNA-Damaging Properties of Glyphosate and Roundup in Human-Derived Buccal Epithelial Cells. Arch. Toxicol. 2012, 86, 805–813. [Google Scholar] [CrossRef]
- Lopes, A.; Benvindo-Souza, M.; Carvalho, W.F.; Nunes, H.F.; de Lima, P.N.; Costa, M.S.; Benetti, E.J.; Guerra, V.; Saboia-Morais, S.M.T.; Santos, C.E.; et al. Evaluation of the Genotoxic, Mutagenic, and Histopathological Hepatic Effects of Polyoxyethylene Amine (POEA) and Glyphosate on Dendropsophus Minutus Tadpoles. Environ. Pollut. 2021, 289, 117911. [Google Scholar] [CrossRef]
- Van Bruggen, A.H.C.; He, M.M.; Shin, K.; Mai, V.; Jeong, K.C.; Finckh, M.R.; Morris, J.G. Environmental and Health Effects of the Herbicide Glyphosate. Sci. Total Environ. 2018, 616–617, 255–268. [Google Scholar] [CrossRef]
- Mikó, Z.; Hettyey, A. Toxicity of POEA-Containing Glyphosate-Based Herbicides to Amphibians Is Mainly Due to the Surfactant, Not to the Active Ingredient. Ecotoxicology 2023, 32, 150–159. [Google Scholar] [CrossRef]
- Nowak, K.; Ratajczak–Wrona, W.; Górska, M.; Jabłońska, E. Parabens and Their Effects on the Endocrine System. Mol. Cell. Endocrinol. 2018, 474, 238–251. [Google Scholar] [CrossRef] [PubMed]
- Weatherly, L.M.; Gosse, J.A. Triclosan Exposure, Transformation, and Human Health Effects. J. Toxicol. Environ. Health Part B 2017, 20, 447–469. [Google Scholar] [CrossRef] [PubMed]
- Rowdhwal, S.S.S.; Chen, J. Toxic Effects of Di-2-Ethylhexyl Phthalate: An Overview. BioMed Res. Int. 2018, 2018, 1750368. [Google Scholar] [CrossRef]
- Ma, Y.; Liu, H.; Wu, J.; Yuan, L.; Wang, Y.; Du, X.; Wang, R.; Marwa, P.W.; Petlulu, P.; Chen, X.; et al. The Adverse Health Effects of Bisphenol A and Related Toxicity Mechanisms. Environ. Res. 2019, 176, 108575. [Google Scholar] [CrossRef]
- Tzatzarakis, M.N.; Karzi, V.; Vakonaki, E.; Goumenou, M.; Kavvalakis, M.; Stivaktakis, P.; Tsitsimpikou, C.; Tsakiris, I.; Rizos, A.K.; Tsatsakis, A.M. Bisphenol A in Soft Drinks and Canned Foods and Data Evaluation. Food Addit. Contam. Part B 2017, 10, 85–90. [Google Scholar] [CrossRef] [PubMed]
- Amir, S.; Shah, S.T.A.; Mamoulakis, C.; Docea, A.O.; Kalantzi, O.-I.; Zachariou, A.; Calina, D.; Carvalho, F.; Sofikitis, N.; Makrigiannakis, A.; et al. Endocrine Disruptors Acting on Estrogen and Androgen Pathways Cause Reproductive Disorders through Multiple Mechanisms: A Review. Int. J. Environ. Res. Public Health 2021, 18, 1464. [Google Scholar] [CrossRef] [PubMed]
- Ayanda, O.I.; Tolulope, A.; Oniye, S.J. Mutagenicity and Genotoxicity in Juvenile African Catfish, Clarias Gariepinus Exposed to Formulations of Glyphosate and Paraquat. Sci. Prog. 2021, 104, 003685042110217. [Google Scholar] [CrossRef] [PubMed]
- Tsatsakis, A.; Docea, A.O.; Constantin, C.; Calina, D.; Zlatian, O.; Nikolouzakis, T.K.; Stivaktakis, P.D.; Kalogeraki, A.; Liesivuori, J.; Tzanakakis, G.; et al. Genotoxic, Cytotoxic, and Cytopathological Effects in Rats Exposed for 18 Months to a Mixture of 13 Chemicals in Doses below NOAEL Levels. Toxicol. Lett. 2019, 316, 154–170. [Google Scholar] [CrossRef]
- Ilyushina, N.A.; Egorova, O.V.; Masaltsev, G.V.; Averianova, N.S.; Revazova, Y.A.; Rakitskii, V.N.; Goumenou, M.; Vardavas, A.; Stivaktakis, P.; Tsatsakis, A. Genotoxicity of Mixture of Imidacloprid, Imazalil and Tebuconazole. Toxicol. Rep. 2020, 7, 1090–1094. [Google Scholar] [CrossRef]
- Li, X.; Yin, P.; Zhao, L. Effects of Individual and Combined Toxicity of Bisphenol A, Dibutyl Phthalate and Cadmium on Oxidative Stress and Genotoxicity in HepG 2 Cells. Food Chem. Toxicol. 2017, 105, 73–81. [Google Scholar] [CrossRef]
- Falfushynska, H.; Khatib, I.; Kasianchuk, N.; Lushchak, O.; Horyn, O.; Sokolova, I.M. Toxic Effects and Mechanisms of Common Pesticides (Roundup and Chlorpyrifos) and Their Mixtures in a Zebrafish Model (Danio Rerio). Sci. Total Environ. 2022, 833, 155236. [Google Scholar] [CrossRef]
- Dinca, V.; Docea, A.O.; Drocas, A.I.; Nikolouzakis, T.K.; Stivaktakis, P.D.; Nikitovic, D.; Golokhvast, K.S.; Hernandez, A.F.; Calina, D.; Tsatsakis, A. A Mixture of 13 Pesticides, Contaminants, and Food Additives below Individual NOAELs Produces Histopathological and Organ Weight Changes in Rats. Arch. Toxicol. 2023, 97, 1285–1298. [Google Scholar] [CrossRef]
- Al-Saleh, I.; Al-Rajudi, T.; Al-Qudaihi, G.; Manogaran, P. Evaluating the Potential Genotoxicity of Phthalates Esters (PAEs) in Perfumes Using in Vitro Assays. Environ. Sci. Pollut. Res. Int. 2017, 24, 23903–23914. [Google Scholar] [CrossRef]
- Stivaktakis, P.; Vlastos, D.; Giannakopoulos, E.; Matthopoulos, D.P. Differential Micronuclei Induction in Human Lymphocyte Cultures by Imidacloprid in the Presence of Potassium Nitrate. Sci. World J. 2010, 10, 80–89. [Google Scholar] [CrossRef]
- Ozcagli, E.; Alpertunga, B.; Fenga, C.; Berktas, M.; Tsitsimpikou, C.; Wilks, M.F.; Tsatsakis, A.M. Effects of 3-Monochloropropane-1,2-Diol (3-MCPD) and Its Metabolites on DNA Damage and Repair under in Vitro Conditions. Food Chem. Toxicol. 2016, 89, 1–7. [Google Scholar] [CrossRef]
- Vardavas, A.I.; Ozcagli, E.; Fragkiadaki, P.; Stivaktakis, P.D.; Tzatzarakis, M.N.; Alegakis, A.K.; Vasilaki, F.; Kaloudis, K.; Tsiaoussis, J.; Kouretas, D.; et al. The Metabolism of Imidacloprid by Aldehyde Oxidase Contributes to Its Clastogenic Effect in New Zealand Rabbits. Mutat. Res./Genet. Toxicol. Environ. Mutagen. 2018, 829–830, 26–32. [Google Scholar] [CrossRef] [PubMed]
- Duarte, N.d.A.A.; de Lima, L.E.; Maraslis, F.T.; Kundi, M.; Nunes, E.A.; Barcelos, G.R.M. Acute Toxicity and DNA Instability Induced by Exposure to Low Doses of Triclosan and Phthalate DEHP, and Their Combinations, in Vitro. Front. Genet. 2021, 12, 649845. [Google Scholar] [CrossRef] [PubMed]
- Yu, H.; Liu, Y. Impact of Extended and Combined Exposure of Bisphenol Compounds on Their Chromosome-Damaging Effect─Increased Potency and Shifted Mode of Action. Environ. Sci. Technol. 2023, 57, 498–508. [Google Scholar] [CrossRef] [PubMed]
- Mesnage, R.; Ferguson, S.; Brandsma, I.; Moelijker, N.; Zhang, G.; Mazzacuva, F.; Caldwell, A.; Halket, J.; Antoniou, M.N. The Surfactant Co-Formulant POEA in the Glyphosate-Based Herbicide RangerPro but Not Glyphosate Alone Causes Necrosis in Caco-2 and HepG2 Human Cell Lines and ER Stress in the ToxTracker Assay. Food Chem. Toxicol. 2022, 168, 113380. [Google Scholar] [CrossRef] [PubMed]
- Navarro, C.D.C.; Martinez, C.B.R. Effects of the Surfactant Polyoxyethylene Amine (POEA) on Genotoxic, Biochemical and Physiological Parameters of the Freshwater Teleost Prochilodus Lineatus. Comp. Biochem. Physiol. Part C Toxicol. Pharmacol. 2014, 165, 83–90. [Google Scholar] [CrossRef] [PubMed]
- Wang, F.; Xu, R.; Zheng, F.; Liu, H. Effects of Triclosan on Acute Toxicity, Genetic Toxicity and Oxidative Stress in Goldfish (Carassius auratus). Exp. Anim. 2018, 67, 219–227. [Google Scholar] [CrossRef]
- Güzel Bayülken, D.; Ayaz Tüylü, B.; Sinan, H.; Sivas, H. Investigation of Genotoxic Effects of Paraben in Cultured Human Lymphocytes. Drug Chem. Toxicol. 2019, 42, 349–356. [Google Scholar] [CrossRef]
- Oláh, M.; Farkas, E.; Székács, I.; Horvath, R.; Székács, A. Cytotoxic Effects of Roundup Classic and Its Components on NE-4C and MC3T3-E1 Cell Lines Determined by Biochemical and Flow Cytometric Assays. Toxicol. Rep. 2022, 9, 914–926. [Google Scholar] [CrossRef]
- Hemalatha, D.; Nataraj, B.; Rangasamy, B.; Shobana, C.; Ramesh, M. DNA Damage and Physiological Responses in an Indian Major Carp Labeo Rohita Exposed to an Antimicrobial Agent Triclosan. Fish Physiol. Biochem. 2019, 45, 1463–1484. [Google Scholar] [CrossRef]
- Martínez-Paz, P.; Morales, M.; Martínez-Guitarte, J.L.; Morcillo, G. Genotoxic Effects of Environmental Endocrine Disruptors on the Aquatic Insect Chironomus Riparius Evaluated Using the Comet Assay. Mutat. Res./Genet. Toxicol. Environ. Mutagen. 2013, 758, 41–47. [Google Scholar] [CrossRef]
- Gyimah, E.; Dong, X.; Qiu, W.; Zhang, Z.; Xu, H. Sublethal Concentrations of Triclosan Elicited Oxidative Stress, DNA Damage, and Histological Alterations in the Liver and Brain of Adult Zebrafish. Environ. Sci. Pollut. Res. 2020, 27, 17329–17338. [Google Scholar] [CrossRef]
- Ciniglia, C.; Cascone, C.; Giudice, R.L.; Pinto, G.; Pollio, A. Application of Methods for Assessing the Geno- and Cytotoxicity of Triclosan to C. Ehrenbergii. J. Hazard. Mater. 2005, 122, 227–232. [Google Scholar] [CrossRef] [PubMed]
- Durovcova, I.; Spackova, J.; Puskar, M.; Galova, E.; Sevcovicova, A. Bisphenol A as an Environmental Pollutant with Dual Genotoxic and DNA-Protective Effects. Neuro Endocrinol. Lett. 2018, 39, 294–298. [Google Scholar] [PubMed]
- Song, P.; Gao, J.; Li, X.; Zhang, C.; Zhu, L.; Wang, J.; Wang, J. Phthalate Induced Oxidative Stress and DNA Damage in Earthworms (Eisenia Fetida). Environ. Int. 2019, 129, 10–17. [Google Scholar] [CrossRef]
- Afzal, G.; Ahmad, H.I.; Hussain, R.; Jamal, A.; Kiran, S.; Hussain, T.; Saeed, S.; un Nisa, M. Bisphenol A Induces Histopathological, Hematobiochemical Alterations, Oxidative Stress, and Genotoxicity in Common Carp (Cyprinus carpio L.). Oxid. Med. Cell. Longev. 2022, 2022, 5450421. [Google Scholar] [CrossRef]
- Zheng, Y.; Zhou, K.; Tang, J.; Liu, C.; Bai, J. Impacts of Di-(2-Ethylhexyl) Phthalate on Folsomia Candida (Collembola) Assessed with a Multi-Biomarker Approach. Ecotoxicol. Environ. Saf. 2022, 232, 113251. [Google Scholar] [CrossRef]
- Kim, S.; Park, G.-Y.; Yoo, Y.J.; Jeong, J.S.; Nam, K.T.; Jee, S.-H.; Lim, K.-M.; Lee, Y.-S. Di-2-Ethylhexylphthalate Promotes Thyroid Cell Proliferation and DNA Damage through Activating Thyrotropin-Receptor-Mediated Pathways in Vitro and in Vivo. Food Chem. Toxicol. 2019, 124, 265–272. [Google Scholar] [CrossRef] [PubMed]
- Vardavas, A.I.; Stivaktakis, P.D.; Tzatzarakis, M.N.; Fragkiadaki, P.; Vasilaki, F.; Tzardi, M.; Datseri, G.; Tsiaoussis, J.; Alegakis, A.K.; Tsitsimpikou, C.; et al. Long-Term Exposure to Cypermethrin and Piperonyl Butoxide Cause Liver and Kidney Inflammation and Induce Genotoxicity in New Zealand White Male Rabbits. Food Chem. Toxicol. 2016, 94, 250–259. [Google Scholar] [CrossRef]
- Stivaktakis, P.D.; Kavvalakis, M.P.; Tzatzarakis, M.N.; Alegakis, A.K.; Panagiotakis, M.N.; Fragkiadaki, P.; Vakonaki, E.; Ozcagli, E.; Hayes, W.A.; Rakitskii, V.N.; et al. Long-Term Exposure of Rabbits to Imidaclorpid as Quantified in Blood Induces Genotoxic Effect. Chemosphere 2016, 149, 108–113. [Google Scholar] [CrossRef] [PubMed]
- Ghisi, N.d.C.; de Oliveira, E.C.; Prioli, A.J. Does Exposure to Glyphosate Lead to an Increase in the Micronuclei Frequency? A Systematic and Meta-Analytic Review. Chemosphere 2016, 145, 42–54. [Google Scholar] [CrossRef] [PubMed]
- Karzi, V.; Tzatzarakis, M.N.; Alegakis, A.; Vakonaki, E.; Fragkiadoulaki, I.; Kaloudis, K.; Chalkiadaki, C.; Apalaki, P.; Panagiotopoulou, M.; Kalliantasi, A.; et al. In Vivo Estimation of the Biological Effects of Endocrine Disruptors in Rabbits after Combined and Long-Term Exposure: Study Protocol. Toxics 2022, 10, 246. [Google Scholar] [CrossRef] [PubMed]
- Opinion on BPA|EFSA. Available online: https://www.efsa.europa.eu/en/efsajournal/pub/3978 (accessed on 27 April 2023).
- Opinion of the Scientific Panel on Food Additives, Flavourings, Processing Aids and Materials in Contact with Food (AFC) Related to Para Hydroxybenzoates (E 214-219)|EFSA. Available online: https://www.efsa.europa.eu/en/efsajournal/pub/83 (accessed on 27 April 2023).
- Update of the Risk Assessment of Di-butylphthalate (DBP), Butyl-benzyl-phthalate (BBP), Bis(2-ethylhexyl)Phthalate (DEHP), Di-isononylphthalate (DINP) and Di-isodecylphthalate (DIDP) for Use in Food Contact Materials|EFSA. Available online: https://www.efsa.europa.eu/en/efsajournal/pub/5838 (accessed on 27 April 2023).
- Glyphosate. Available online: https://food.ec.europa.eu/plants/pesticides/approval-active-substances/renewal-approval/glyphosate_en (accessed on 27 April 2023).
- Canada, H. Triclosan-Information Sheet. Available online: https://www.canada.ca/en/health-canada/services/chemical-substances/fact-sheets/chemicals-glance/triclosan.html (accessed on 27 April 2023).
- Fenech, M. The Cytokinesis-Block Micronucleus Technique: A Detailed Description of the Method and Its Application to Genotoxicity Studies in Human Populations. Mutat. Res. 1993, 285, 35–44. [Google Scholar] [CrossRef] [PubMed]
- Fenech, M. The Advantages and Disadvantages of the Cytokinesis-Block Micronucleus Method. Mutat. Res. 1997, 392, 11–18. [Google Scholar] [CrossRef]
- Surrallés, J.; Xamena, N.; Creus, A.; Catalán, J.; Norppa, H.; Marcos, R. Induction of Micronuclei by Five Pyrethroid Insecticides in Whole-Blood and Isolated Human Lymphocyte Cultures. Mutat. Res. 1995, 341, 169–184. [Google Scholar] [CrossRef]
- Singh, N.P.; McCoy, M.T.; Tice, R.R.; Schneider, E.L. A Simple Technique for Quantitation of Low Levels of DNA Damage in Individual Cells. Exp. Cell Res. 1988, 175, 184–191. [Google Scholar] [CrossRef]
- Garaj-Vrhovac, V.; Zeljezic, D. Evaluation of DNA Damage in Workers Occupationally Exposed to Pesticides Using Single-Cell Gel Electrophoresis (SCGE) Assay. Pesticide Genotoxicity Revealed by Comet Assay. Mutat. Res. 2000, 469, 279–285. [Google Scholar] [CrossRef]
- Ozcagli, E.; Sardas, S.; Biri, A. Assessment of DNA Damage in Postmenopausal Women under Hormone Replacement Therapy. Maturitas 2005, 51, 280–285. [Google Scholar] [CrossRef]
- Kumaravel, T.S.; Vilhar, B.; Faux, S.P.; Jha, A.N. Comet Assay Measurements: A Perspective. Cell Biol. Toxicol. 2009, 25, 53–64. [Google Scholar] [CrossRef]
- Improving Identification of Endocrine Disruptors|EURION. Available online: https://eurion-cluster.eu/ (accessed on 27 May 2023).



| Group | Dose | Substance | |
|---|---|---|---|
| 1 | Control | - | - | 
| 2 | Low-dose mix | 1 × ADI | GLY, BPA, MePB, PrPB, BuPB, TCS, DEHP | 
| 3 | High-dose mix | 10 × ADI | GLY, BPA, MePB, PrPB, BuPB, TCS, DEHP | 
| 4 | High-dose pure GLY | 10 × ADI | GLY | 
| 5 | High-dose commercial GLY | 10 × ADI | GLY | 
| Months | Group 1 | Group 2 | Group 3 | Group 4 | Group 5 | |||||
|---|---|---|---|---|---|---|---|---|---|---|
| Mean | ±SD | Mean | ±SD | Mean | ±SD | Mean | ±SD | Mean | ±SD | |
| 0 | 9.00 | 0.82 | 7.75 | 0.50 | 8.50 | 1.00 | 8.75 | 0.96 | 8.25 | 1.89 | 
| 3 | 9.25 | 1.71 | 16.75 | 1.26 | 18.25 | 1.50 | 14.25 | 1.50 | 28.75 | 1.71 | 
| 6 | 8.25 | 1.50 | 20.25 | 1.71 | 22.75 | 2.22 | 18.75 | 1.71 | 40.50 | 2.08 | 
| 9 | 8.75 | 0.96 | 31.50 | 1.29 | 36.00 | 2.16 | 30.50 | 3.70 | 52.50 | 2.38 | 
| 12 | 7.25 | 1.26 | 41.75 | 1.71 | 45.75 | 1.71 | 37.50 | 1.00 | 60.75 | 1.71 | 
| Total mean | 8.50 | 1.25 | 23.60 | 1.29 | 26.25 | 1.72 | 21.95 | 1.77 | 38.15 | 1.95 | 
| Group | Mean | ±SD | Quartile | LSD Test | ||||||
|---|---|---|---|---|---|---|---|---|---|---|
| 1st | Median | 3rd | Group 1 | Group 2 | Group 3 | Group 4 | Group 5 | |||
| 1 | 4.46 | 0.88 | 3.86 | 4.31 | 5.06 | 0.002 | <0.001 | <0.001 | 0.001 | |
| 2 | 8.67 | 1.10 | 7.88 | 8.75 | 9.46 | 0.002 | 0.003 | 0.449 | 0.655 | |
| 3 | 12.58 | 1.90 | 11.26 | 11.97 | 13.90 | <0.001 | 0.003 | 0.014 | 0.007 | |
| 4 | 9.52 | 1.66 | 8.37 | 9.50 | 10.67 | <0.001 | 0.449 | 0.014 | 0.752 | |
| 5 | 9.17 | 1.92 | 7.74 | 9.36 | 10.59 | 0.001 | 0.655 | 0.007 | 0.752 | |
| Spearman’s r | |||
|---|---|---|---|
| Months | Months | rs | p | 
| 0 | 3 | −0.350 | 0.130 | 
| 6 | −0.201 | 0.394 | |
| 9 | −0.285 | 0.223 | |
| 12 | −0.368 | 0.110 | |
| 3 | 6 | 0.874 | <0.001 | 
| 9 | 0.826 | <0.001 | |
| 12 | 0.940 | <0.001 | |
| 6 | 9 | 0.928 | <0.001 | 
| 12 | 0.887 | <0.001 | |
| 9 | 12 | 0.889 | <0.001 | 
| Disclaimer/Publisher’s Note: The statements, opinions and data contained in all publications are solely those of the individual author(s) and contributor(s) and not of MDPI and/or the editor(s). MDPI and/or the editor(s) disclaim responsibility for any injury to people or property resulting from any ideas, methods, instructions or products referred to in the content. | 
© 2023 by the authors. Licensee MDPI, Basel, Switzerland. This article is an open access article distributed under the terms and conditions of the Creative Commons Attribution (CC BY) license (https://creativecommons.org/licenses/by/4.0/).
Share and Cite
Karzi, V.; Ozcagli, E.; Tzatzarakis, M.N.; Vakonaki, E.; Fragkiadoulaki, I.; Kalliantasi, A.; Chalkiadaki, C.; Alegakis, A.; Stivaktakis, P.; Karzi, A.; et al. DNA Damage Estimation after Chronic and Combined Exposure to Endocrine Disruptors: An In Vivo Real-Life Risk Simulation Approach. Int. J. Mol. Sci. 2023, 24, 9989. https://doi.org/10.3390/ijms24129989
Karzi V, Ozcagli E, Tzatzarakis MN, Vakonaki E, Fragkiadoulaki I, Kalliantasi A, Chalkiadaki C, Alegakis A, Stivaktakis P, Karzi A, et al. DNA Damage Estimation after Chronic and Combined Exposure to Endocrine Disruptors: An In Vivo Real-Life Risk Simulation Approach. International Journal of Molecular Sciences. 2023; 24(12):9989. https://doi.org/10.3390/ijms24129989
Chicago/Turabian StyleKarzi, Vasiliki, Eren Ozcagli, Manolis N. Tzatzarakis, Elena Vakonaki, Irene Fragkiadoulaki, Aikaterini Kalliantasi, Christina Chalkiadaki, Athanasios Alegakis, Polychronis Stivaktakis, Aikaterini Karzi, and et al. 2023. "DNA Damage Estimation after Chronic and Combined Exposure to Endocrine Disruptors: An In Vivo Real-Life Risk Simulation Approach" International Journal of Molecular Sciences 24, no. 12: 9989. https://doi.org/10.3390/ijms24129989
APA StyleKarzi, V., Ozcagli, E., Tzatzarakis, M. N., Vakonaki, E., Fragkiadoulaki, I., Kalliantasi, A., Chalkiadaki, C., Alegakis, A., Stivaktakis, P., Karzi, A., Makrigiannakis, A., Docea, A. O., Calina, D., & Tsatsakis, A. (2023). DNA Damage Estimation after Chronic and Combined Exposure to Endocrine Disruptors: An In Vivo Real-Life Risk Simulation Approach. International Journal of Molecular Sciences, 24(12), 9989. https://doi.org/10.3390/ijms24129989
 
        




 
       