Serum Total Antioxidant Capacity (TAC) and TAC/Lymphocyte Ratio as Promising Predictive Markers in COVID-19
Abstract
:1. Introduction
2. Results
2.1. Demographic and Clinical Data of the Enrolled Patients
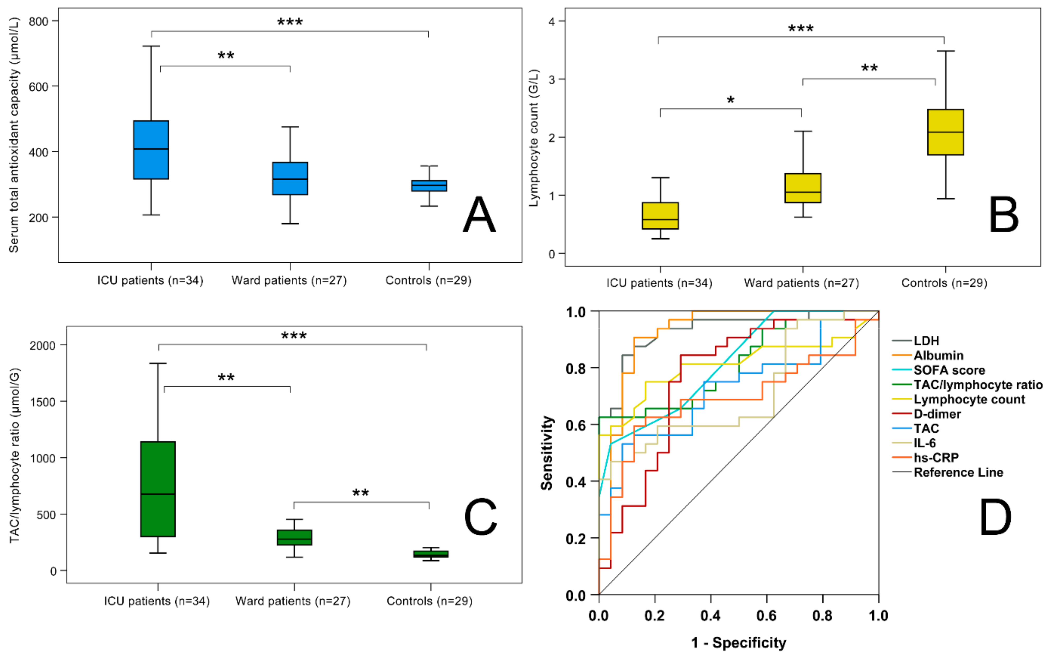
2.2. Admission Laboratory Parameters of COVID-19 Patients and Controls
2.3. Serum Total Antioxidant Capacity Levels and Total Antioxidant Capacity/Lymphocyte Ratios in COVID-19 Patients and Controls
2.4. Predictive Value of Admission Parameters Regarding the Severity of COVID-19
2.5. Diagnostic Capacity of the Studied Parameters Regarding Acute Respiratory Distress Syndrome
2.6. Diagnostic Capacity of the Studied Parameters Regarding Acute Kidney Injury
2.7. Predictive Values of the Investigated Markers Regarding Mortality of COVID-19 Patients
2.8. Spearman’s Correlation Results
3. Discussion
4. Materials and Methods
4.1. Type of Study
4.2. Patients
- Over 18 years of age.
- Proven SARS-CoV-2 infection (positive RT-PCR result from nasopharyngeal sample).
- Admission to the hospital primarily because of COVID-19.
- One or no organ failure in the case of mild symptoms (ward patients) and a minimum of two organ failures in case of moderate or severe symptoms (ICU patients).
- Increased levels of at least two of the following laboratory parameters: LDH, ferritin, D-dimer, IL-6, and high-sensitivity C-reactive protein (hs-CRP) [39].
- Vaccination against COVID-19.
- Presence of any autoimmune disease.
- Presence of microbiologically proven bacterial infection.
- Second or more hospital admission due to COVID-19.
- Therapy (antiviral therapy, steroids, vitamins) for COVID-19 prior to ICU or ward admission.
- Pregnancy.
- Withdrawal of consent.
- Apparently healthy volunteers with no medication, no symptoms of any current infection, physiological complete blood count, hs-CRP levels below the diagnostic laboratory’s reference limit.
- The exclusion criteria for control subjects were:
- Under 18 years of age.
- Inflammatory or infectious diseases, or any kind of internal medicine disorders.
4.3. Measurements
4.3.1. Sample Collection
4.3.2. Laboratory Measurements
4.3.3. Collection and Assessment of Clinical Parameters
4.3.4. Statistical Analysis
5. Conclusions
Author Contributions
Funding
Institutional Review Board Statement
Informed Consent Statement
Data Availability Statement
Acknowledgments
Conflicts of Interest
References
- Chan, J.F.; Yuan, S.; Kok, K.H.; To, K.K.; Chu, H.; Yang, J.; Xing, F.; Liu, J.; Yip, C.C.; Poon, R.W.; et al. A familial cluster of pneumonia associated with the 2019 novel coronavirus indicating person-to-person transmission: A study of a family cluster. Lancet 2020, 395, 514–523. [Google Scholar] [CrossRef] [PubMed]
- Collaborators, C.-E.M. Estimating excess mortality due to the COVID-19 pandemic: A systematic analysis of COVID-19-related mortality, 2020–2021. Lancet 2022, 399, 1513–1536. [Google Scholar] [CrossRef]
- Atri, D.; Siddiqi, H.K.; Lang, J.P.; Nauffal, V.; Morrow, D.A.; Bohula, E.A. COVID-19 for the Cardiologist: Basic Virology, Epidemiology, Cardiac Manifestations, and Potential Therapeutic Strategies. JACC Basic. Transl. Sci. 2020, 5, 518–536. [Google Scholar] [CrossRef] [PubMed]
- Pairo-Castineira, E.; Clohisey, S.; Klaric, L.; Bretherick, A.D.; Rawlik, K.; Pasko, D.; Walker, S.; Parkinson, N.; Fourman, M.H.; Russell, C.D.; et al. Genetic mechanisms of critical illness in COVID-19. Nature 2021, 591, 92–98. [Google Scholar] [CrossRef] [PubMed]
- Skevaki, C.; Fragkou, P.C.; Cheng, C.; Xie, M.; Renz, H. Laboratory characteristics of patients infected with the novel SARS-CoV-2 virus. J. Infect. 2020, 81, 205–212. [Google Scholar] [CrossRef] [PubMed]
- Bivona, G.; Agnello, L.; Ciaccio, M. Biomarkers for Prognosis and Treatment Response in COVID-19 Patients. Ann. Lab. Med. 2021, 41, 540–548. [Google Scholar] [CrossRef] [PubMed]
- Domingo, P.; Mur, I.; Pomar, V.; Corominas, H.; Casademont, J.; de Benito, N. The four horsemen of a viral Apocalypse: The pathogenesis of SARS-CoV-2 infection (COVID-19). EBioMedicine 2020, 58, 102887. [Google Scholar] [CrossRef]
- Cecchini, R.; Cecchini, A.L. SARS-CoV-2 infection pathogenesis is related to oxidative stress as a response to aggression. Med. Hypotheses 2020, 143, 110102. [Google Scholar] [CrossRef]
- Chaturvedi, R.; Lui, B.; Aaronson, J.A.; White, R.S.; Samuels, J.D. COVID-19 complications in males and females: Recent developments. J. Comp. Eff. Res. 2022, 11, 689–698. [Google Scholar] [CrossRef]
- Aykac, K.; Ozsurekci, Y.; Yayla, B.C.C.; Gurlevik, S.L.; Oygar, P.D.; Bolu, N.B.; Tasar, M.A.; Erdinc, F.S.; Ertem, G.T.; Neselioglu, S.; et al. Oxidant and antioxidant balance in patients with COVID-19. Pediatr. Pulmonol. 2021, 56, 2803–2810. [Google Scholar] [CrossRef]
- Chavarría, A.P.; Vázquez, R.R.V.; Cherit, J.G.D.; Bello, H.H.; Suastegui, H.C.; Moreno-Castañeda, L.; Alanís Estrada, G.; Hernández, F.; González-Marcos, O.; Saucedo-Orozco, H.; et al. Antioxidants and pentoxifylline as coadjuvant measures to standard therapy to improve prognosis of patients with pneumonia by COVID-19. Comput. Struct. Biotechnol. J. 2021, 19, 1379–1390. [Google Scholar] [CrossRef] [PubMed]
- Doğan, S.; Bal, T.; Çabalak, M.; Dikmen, N.; Yaqoobi, H.; Ozcan, O. Oxidative stress index can be a new marker related to disease severity in COVID-19. Turk. J. Biochem. 2021, 46, 349–357. [Google Scholar] [CrossRef]
- Golabi, S.; Ghasemi, S.; Adelipour, M.; Bagheri, R.; Suzuki, K.; Wong, A.; Seyedtabib, M.; Naghashpour, M. Oxidative Stress and Inflammatory Status in COVID-19 Outpatients: A Health Center-Based Analytical Cross-Sectional Study. Antioxidants 2022, 11, 606. [Google Scholar] [CrossRef]
- Karkhanei, B.; Talebi Ghane, E.; Mehri, F. Evaluation of oxidative stress level: Total antioxidant capacity, total oxidant status and glutathione activity in patients with COVID-19. New Microbes New Infect. 2021, 42, 100897. [Google Scholar] [CrossRef]
- Martín-Fernández, M.; Aller, R.; Heredia-Rodríguez, M.; Gómez-Sánchez, E.; Martínez-Paz, P.; Gonzalo-Benito, H.; Sánchez-de Prada, L.; Gorgojo, Ó.; Carnicero-Frutos, I.; Tamayo, E.; et al. Lipid peroxidation as a hallmark of severity in COVID-19 patients. Redox Biol. 2021, 48, 102181. [Google Scholar] [CrossRef]
- Mohajeri, M.; Horriatkhah, E.; Mohajery, R. The effect of glutamine supplementation on serum levels of some inflammatory factors, oxidative stress, and appetite in COVID-19 patients: A case-control study. Inflammopharmacology 2021, 29, 1769–1776. [Google Scholar] [CrossRef] [PubMed]
- Trassante, C.M.; Barboza, V.D.S.; Rocha, L.D.S.; Correa, P.M.; Luchese, C.; Wilhelm, E.A.; Pereira de Pereira, C.M.; Baldissera, M.D.; Rech, V.C.; Giongo, J.L.; et al. Detection of SARS-CoV-2 virus using an alternative molecular method and evaluation of biochemical, hematological, inflammatory, and oxidative stress in healthcare professionals. Microb. Pathog. 2021, 158, 104975. [Google Scholar] [CrossRef]
- Yaghoubi, N.; Youssefi, M.; Jabbari Azad, F.; Farzad, F.; Yavari, Z.; Zahedi Avval, F. Total antioxidant capacity as a marker of severity of COVID-19 infection: Possible prognostic and therapeutic clinical application. J. Med. Virol. 2022, 94, 1558–1565. [Google Scholar] [CrossRef]
- Kőszegi, T.; Sali, N.; Raknić, M.; Horváth-Szalai, Z.; Csepregi, R.; Končić, M.Z.; Papp, N.; Poór, M. A novel luminol-based enhanced chemiluminescence antioxidant capacity microplate assay for use in different biological matrices. J. Pharmacol. Toxicol. Methods 2017, 88, 153–159. [Google Scholar] [CrossRef] [PubMed]
- De Almeida-Pititto, B.; Dualib, P.M.; Zajdenverg, L.; Dantas, J.R.; de Souza, F.D.; Rodacki, M.; Bertoluci, M.C.; Brazilian Diabetes Society Study Group. Severity and mortality of COVID 19 in patients with diabetes, hypertension and cardiovascular disease: A meta-analysis. Diabetol. Metab. Syndr. 2020, 12, 75. [Google Scholar] [CrossRef]
- Suhail, S.; Zajac, J.; Fossum, C.; Lowater, H.; McCracken, C.; Severson, N.; Laatsch, B.; Narkiewicz-Jodko, A.; Johnson, B.; Liebau, J.; et al. Role of Oxidative Stress on SARS-CoV (SARS) and SARS-CoV-2 (COVID-19) Infection: A Review. Protein J. 2020, 39, 644–656. [Google Scholar] [CrossRef] [PubMed]
- Tang, Y.; Liu, J.; Zhang, D.; Xu, Z.; Ji, J.; Wen, C. Cytokine Storm in COVID-19: The Current Evidence and Treatment Strategies. Front. Immunol. 2020, 11, 1708. [Google Scholar] [CrossRef] [PubMed]
- Chen, N.; Zhou, M.; Dong, X.; Qu, J.; Gong, F.; Han, Y.; Qiu, Y.; Wang, J.; Liu, Y.; Wei, Y.; et al. Epidemiological and clinical characteristics of 99 cases of 2019 novel coronavirus pneumonia in Wuhan, China: A descriptive study. Lancet 2020, 395, 507–513. [Google Scholar] [CrossRef] [PubMed]
- Williamson, E.J.; Walker, A.J.; Bhaskaran, K.; Bacon, S.; Bates, C.; Morton, C.E.; Curtis, H.J.; Mehrkar, A.; Evans, D.; Inglesby, P.; et al. Factors associated with COVID-19-related death using OpenSAFELY. Nature 2020, 584, 430–436. [Google Scholar] [CrossRef]
- Qin, Z.; Sun, Y.; Zhang, J.; Zhou, L.; Chen, Y.; Huang, C. Lessons from SARS-CoV-2 and its variants (Review). Mol. Med. Rep. 2022, 26, 263. [Google Scholar] [CrossRef]
- Zhou, F.; Yu, T.; Du, R.; Fan, G.; Liu, Y.; Liu, Z.; Xiang, J.; Wang, Y.; Song, B.; Gu, X.; et al. Clinical course and risk factors for mortality of adult inpatients with COVID-19 in Wuhan, China: A retrospective cohort study. Lancet 2020, 395, 1054–1062. [Google Scholar] [CrossRef]
- Zhou, Y.; Ding, N.; Yang, G.; Peng, W.; Tang, F.; Guo, C.; Chai, X. Serum lactate dehydrogenase level may predict acute respiratory distress syndrome of patients with fever infected by SARS-CoV-2. Ann. Transl. Med. 2020, 8, 1118. [Google Scholar] [CrossRef]
- Huang, Y.; Guo, L.; Chen, J.; Wu, M.; Zhang, C.; Liu, Z.; Li, J.; Li, K.; Xiong, Z.; Wu, Q.; et al. Serum Lactate Dehydrogenase Level as a Prognostic Factor for COVID-19: A Retrospective Study Based on a Large Sample Size. Front. Med. 2021, 8, 671667. [Google Scholar] [CrossRef]
- Masana, L.; Correig, E.; Ibarretxe, D.; Anoro, E.; Arroyo, J.A.; Jericó, C.; Guerrero, C.; Miret, M.L.; Näf, S.; Pardo, A.; et al. Low HDL and high triglycerides predict COVID-19 severity. Sci. Rep. 2021, 11, 7217. [Google Scholar] [CrossRef]
- Soetedjo, N.N.M.; Iryaningrum, M.R.; Damara, F.A.; Permadhi, I.; Sutanto, L.B.; Hartono, H.; Rasyid, H. Prognostic properties of hypoalbuminemia in COVID-19 patients: A systematic review and diagnostic meta-analysis. Clin. Nutr. ESPEN 2021, 45, 120–126. [Google Scholar] [CrossRef]
- Lapenna, D. Regarding: Hypoalbuminemia in COVID-19. J. Intern. Med. 2022, 291, 388–389. [Google Scholar] [CrossRef] [PubMed]
- Huyut, M.T.; Huyut, Z. Forecasting of Oxidant/Antioxidant levels of COVID-19 patients by using Expert models with biomarkers used in the Diagnosis/Prognosis of COVID-19. Int. Immunopharmacol. 2021, 100, 108127. [Google Scholar] [CrossRef] [PubMed]
- Melo, A.K.G.; Milby, K.M.; Caparroz, A.L.M.A.; Pinto, A.C.P.N.; Santos, R.R.P.; Rocha, A.P.; Ferreira, G.A.; Souza, V.A.; Valadares, L.D.A.; Vieira, R.M.R.A.; et al. Biomarkers of cytokine storm as red flags for severe and fatal COVID-19 cases: A living systematic review and meta-analysis. PLoS ONE 2021, 16, e0253894. [Google Scholar] [CrossRef] [PubMed]
- Vollbracht, C.; Kraft, K. Oxidative Stress and Hyper-Inflammation as Major Drivers of Severe COVID-19 and Long COVID: Implications for the Benefit of High-Dose Intravenous Vitamin C. Front. Pharmacol. 2022, 13, 899198. [Google Scholar] [CrossRef] [PubMed]
- Battaglini, D.; Lopes-Pacheco, M.; Castro-Faria-Neto, H.C.; Pelosi, P.; Rocco, P.R.M. Laboratory Biomarkers for Diagnosis and Prognosis in COVID-19. Front. Immunol. 2022, 13, 857573. [Google Scholar] [CrossRef]
- Rozanovic, M.; Domokos, K.; Márovics, G.; Rohonczi, M.; Csontos, C.; Bogár, L.; Rendeki, S.; Kiss, T.; Rozanovic, M.N.; Loibl, C. Can we predict critical care mortality with non-conventional inflammatory markers in SARS-CoV-2 infected patients? Clin. Hemorheol. Microcirc. 2023, 84, 71–82. [Google Scholar] [CrossRef]
- Artero, A.; Madrazo, M.; Fernández-Garcés, M.; Muiño Miguez, A.; González García, A.; Crestelo Vieitez, A.; García Guijarro, E.; Fonseca Aizpuru, E.M.; García Gómez, M.; Areses Manrique, M.; et al. Severity Scores in COVID-19 Pneumonia: A Multicenter, Retrospective, Cohort Study. J. Gen. Intern. Med. 2021, 36, 1338–1345. [Google Scholar] [CrossRef]
- Cavallazzi, R.; Bradley, J.; Chandler, T.; Furmanek, S.; Ramirez, J.A. Severity of Illness Scores and Biomarkers for Prognosis of Patients with Coronavirus Disease 2019. Semin. Respir. Crit. Care Med. 2023, 44, 75–90. [Google Scholar] [CrossRef]
- Keddie, S.; Ziff, O.; Chou, M.K.L.; Taylor, R.L.; Heslegrave, A.; Garr, E.; Lakdawala, N.; Church, A.; Ludwig, D.; Manson, J.; et al. Laboratory biomarkers associated with COVID-19 severity and management. Clin. Immunol. 2020, 221, 108614. [Google Scholar] [CrossRef]
- Yang, R.; Li, X.; Liu, H.; Zhen, Y.; Zhang, X.; Xiong, Q.; Luo, Y.; Gao, C.; Zeng, W. Chest CT Severity Score: An Imaging Tool for Assessing Severe COVID-19. Radiol. Cardiothorac. Imaging 2020, 2, e200047. [Google Scholar] [CrossRef]
- Le Gall, J.R.; Lemeshow, S.; Saulnier, F. A new Simplified Acute Physiology Score (SAPS II) based on a European/North American multicenter study. JAMA 1993, 270, 2957–2963. [Google Scholar] [CrossRef] [PubMed]
- Vincent, J.L.; de Mendonça, A.; Cantraine, F.; Moreno, R.; Takala, J.; Suter, P.M.; Sprung, C.L.; Colardyn, F.; Blecher, S. Use of the SOFA score to assess the incidence of organ dysfunction/failure in intensive care units: Results of a multicenter, prospective study. Working group on “sepsis-related problems” of the European Society of Intensive Care Medicine. Crit. Care Med. 1998, 26, 1793–1800. [Google Scholar] [CrossRef] [PubMed]
- Ranieri, V.M.; Rubenfeld, G.D.; Thompson, B.T.; Ferguson, N.D.; Caldwell, E.; Fan, E.; Camporota, L.; Slutsky, A.S.; Force, A.D.T. Acute respiratory distress syndrome: The Berlin Definition. JAMA 2012, 307, 2526–2533. [Google Scholar] [CrossRef] [PubMed]
- Kellum, J.A.; Lameire, N.; Group, K.A.K.I.G.W. Diagnosis, evaluation, and management of acute kidney injury: A KDIGO summary (Part 1). Crit. Care 2013, 17, 204. [Google Scholar] [CrossRef]




| ICU Patients (n = 34) | Ward Patients (n = 27) | Controls (n =29) | Significance | ||
|---|---|---|---|---|---|
| Demography | Age (years) | 67 (57–74) | 56 (49–61) | 43 (36–57) | p < 0.01 a,b | 
| Male (%) | 19 (55.9%) | 19 (70.4%) | 12 (41.4%) | n.s. | |
| BMI | 30.91 (28.0–36.62) | 28.60 (26.88–32.69) | - | n.s. | |
| HT (%) | 29 (85%) | 10 (37%) | - | p < 0.001 | |
| DM (%) | 15 (44%) | 3 (11%) | - | p < 0.01 | |
| LOS (days) | 10 (5–15) | 8 (6–11) | - | n.s. | |
| Mortality (%) | 26 (76.5) | 0 (0) | - | p < 0.001 | |
| COVID-19 at home | Days at home | 5 (4–7) | 7 (4–10) | - | n.s. | 
| Pulmonary (%) | 23 (68) | 23 (85) | - | n.s. | |
| Gastrointestinal (%) | 6 (18) | 10 (37) | - | n.s. | |
| Others (%) | 8 (27) | 10 (37) | - | n.s. | |
| COVID-19 on admission | SAPS II score | 30 (21.75–42.50) | 13 (13–18) | - | p < 0.001 | 
| SOFA score | 4 (2–5.25) | 2 (1–3) | - | p < 0.001 | |
| CT score | 17.19 ± 7.30 | 10.78 ± 3.69 | - | p < 0.001 | |
| PaO2/FiO2 (mmHg) | 80.62 ± 56.19 | 280.79 ± 120.92 | - | p < 0.001 | |
| Clinical parameters | ARDS severe/moderate (%) | 32 (94.1) | 7 (25.9) | - | p < 0.001 | 
| ARDS mild (%) | 2 (5.9) | 8 (29.6) | - | p < 0.001 | |
| AKI (%) | 16 (47.1) | 0 (0) | - | p < 0.001 | 
| Parameters | ICU Patients (n = 34) | Ward Patients (n = 27) | Controls (n = 29) | Significance | 
|---|---|---|---|---|
| Leu (G/L) | 9.12 (6.71–12.43) | 6.25 (5.58–8.50) | 6.39 (5.65–7.43) | p < 0.05 a.c | 
| Ly (G/L) | 0.58 (0.42–0.92) | 1.05 (0.86–1.39) | 2.09 (1.68–2.50) | p < 0.05 a,b,c | 
| Platelets (G/L) | 177.50 (144–259) | 217 (146.75–290) | 256 (210–288) | p < 0.05 a | 
| Ferritin (µg/L) | 1157 (559–2266.50) | 1035 (534–1878) | - | n.s. | 
| D-dimer (µg/L) | 1924 (1292–6489) | 814 (610–1270) | - | p < 0.001 | 
| INR | 1.08 (1.03–1.24) | 1.09 (1.04–1.14) | - | n.s. | 
| IL-6 (pg/mL) | 140.75 (44.53–313.28) | 54.80 (24.90–88.40) | - | p < 0.01 | 
| hs-CRP (mg/L) | 131.40 (51–188.68) | 64 (43.10–102.50) | 1.08 (0.62–1.88) | p < 0.001 a,b | 
| LDH (U/L) | 903 (659.50–1361.50) | 419 (321.50–513) | 285 (170.25–335.75) | p < 0.05 a,b,c | 
| hs-TnT (ng/L) | 37.20 (19.16–93.58) | 8.42 (4.06–14.59) | - | p < 0.001 | 
| Total bilirubin (µmol/L) | 6.10 (2.90–7.75) | 6.20 (4.13–9.43) | 7.50 (5.83–11.98) | n.s. | 
| Albumin (g/L) | 30.55 (27.80–32.38) | 38.80 (35.45–40.33) | 48 (46.25–49.50) | p < 0.001 a,b,c | 
| Uric acid (µmol/L) | 348 (285.75–511.25) | 342.50 (257.50–425.50) | 259 (224.50–278.50) | p < 0.01 a,b | 
| Cholesterol (mmol/L) | 3.09 (1.88–3.51) | 3.43 (3.16–3.89) | 5.11 (4.43–5.80) | p < 0.001 a,b | 
| Triglyceride (mmol/L) | 1.73 (1.15–2.72) | 1.48 (1.28–1.91) | 1.02 (0.68–1.30) | p < 0.05 a,b | 
| Creatinine (µmol/L) | 112 (77.25–263) | 85 (75–100) | 74.50 (65.25–88.25) | p < 0.001 a | 
| Carbamide (mmol/L) | 13.66 (8.39–17.97) | 5.39 (4.37–6.90) | 4.60 (4.03–5.48) | p < 0.001 a,c | 
| TAC (µmol/L) | 407.88 (310.22–494.08) | 315.44 (266.15–368.49) | 296.60 (274.96–314.20) | p < 0.01 a,c | 
| Disclaimer/Publisher’s Note: The statements, opinions and data contained in all publications are solely those of the individual author(s) and contributor(s) and not of MDPI and/or the editor(s). MDPI and/or the editor(s) disclaim responsibility for any injury to people or property resulting from any ideas, methods, instructions or products referred to in the content. | 
© 2023 by the authors. Licensee MDPI, Basel, Switzerland. This article is an open access article distributed under the terms and conditions of the Creative Commons Attribution (CC BY) license (https://creativecommons.org/licenses/by/4.0/).
Share and Cite
Horváth-Szalai, Z.; Jakabfi-Csepregi, R.; Szirmay, B.; Ragán, D.; Simon, G.; Kovács-Ábrahám, Z.; Szabó, P.; Sipos, D.; Péterfalvi, Á.; Miseta, A.; et al. Serum Total Antioxidant Capacity (TAC) and TAC/Lymphocyte Ratio as Promising Predictive Markers in COVID-19. Int. J. Mol. Sci. 2023, 24, 12935. https://doi.org/10.3390/ijms241612935
Horváth-Szalai Z, Jakabfi-Csepregi R, Szirmay B, Ragán D, Simon G, Kovács-Ábrahám Z, Szabó P, Sipos D, Péterfalvi Á, Miseta A, et al. Serum Total Antioxidant Capacity (TAC) and TAC/Lymphocyte Ratio as Promising Predictive Markers in COVID-19. International Journal of Molecular Sciences. 2023; 24(16):12935. https://doi.org/10.3390/ijms241612935
Chicago/Turabian StyleHorváth-Szalai, Zoltán, Rita Jakabfi-Csepregi, Balázs Szirmay, Dániel Ragán, Gerda Simon, Zoltán Kovács-Ábrahám, Péter Szabó, Dávid Sipos, Ágnes Péterfalvi, Attila Miseta, and et al. 2023. "Serum Total Antioxidant Capacity (TAC) and TAC/Lymphocyte Ratio as Promising Predictive Markers in COVID-19" International Journal of Molecular Sciences 24, no. 16: 12935. https://doi.org/10.3390/ijms241612935
APA StyleHorváth-Szalai, Z., Jakabfi-Csepregi, R., Szirmay, B., Ragán, D., Simon, G., Kovács-Ábrahám, Z., Szabó, P., Sipos, D., Péterfalvi, Á., Miseta, A., Csontos, C., Kőszegi, T., & Tóth, I. (2023). Serum Total Antioxidant Capacity (TAC) and TAC/Lymphocyte Ratio as Promising Predictive Markers in COVID-19. International Journal of Molecular Sciences, 24(16), 12935. https://doi.org/10.3390/ijms241612935
 
        


 
       