Enhancing Giardicidal Activity and Aqueous Solubility through the Development of “RetroABZ”, a Regioisomer of Albendazole: In Vitro, In Vivo, and In Silico Studies †
Abstract
:1. Introduction
2. Results and Discussion
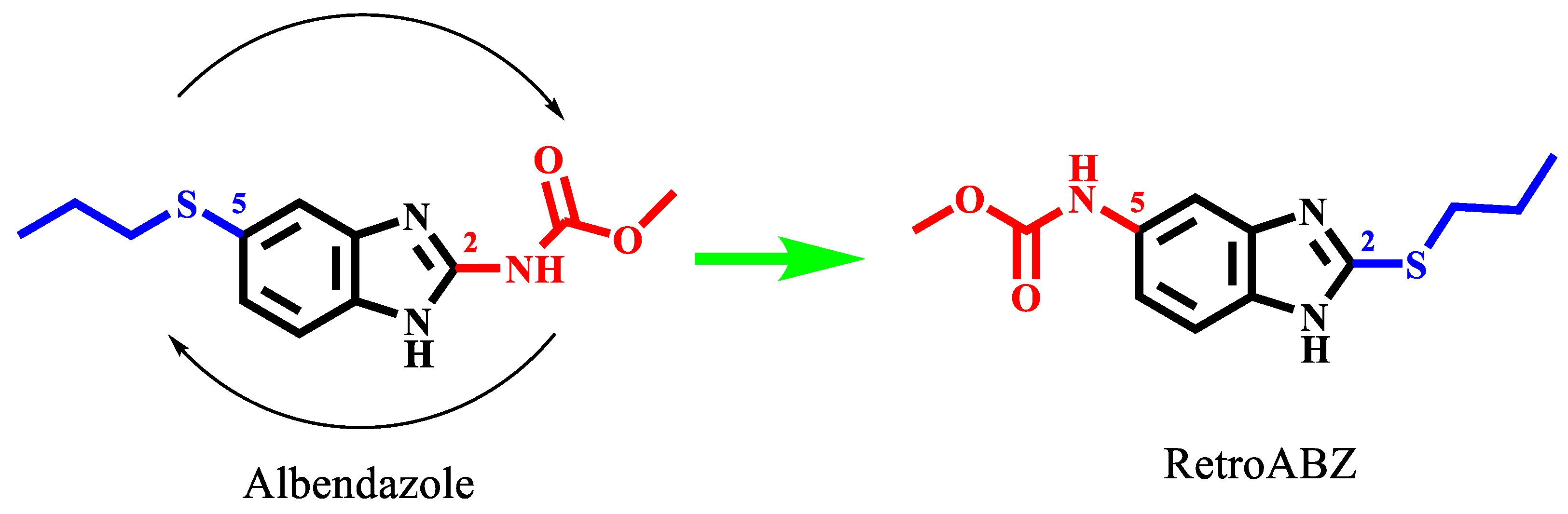
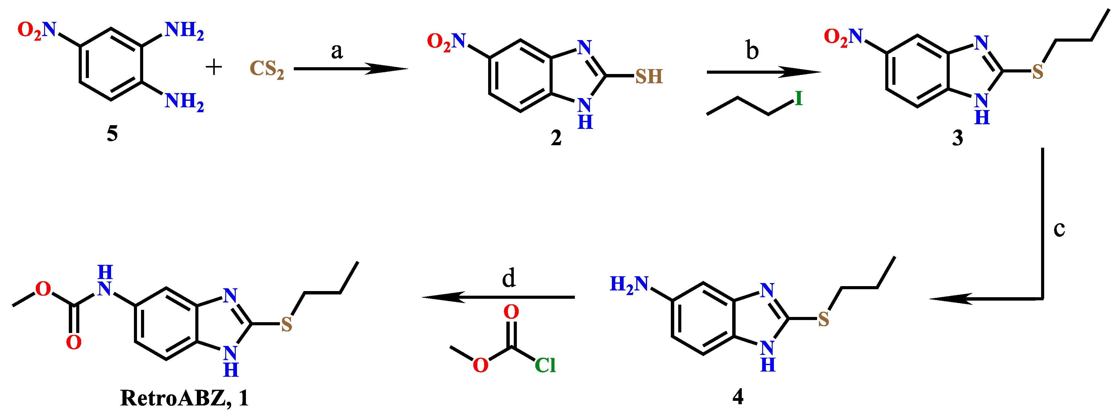
2.1. Drug Design and Chemical Synthesis
2.2. In Vitro Activity against Giardia lamblia
2.3. Cytotoxicity in Human Hepatocellular Carcinoma Cell Line and Immortalized Human Keratinocytes
2.4. Giardicidal Activity of RetroABZ in a Murine Model of Giardiasis
2.5. Solubility
2.6. In Silico Pharmacokinetic Profile
2.7. Docking Studies
2.8. Molecular Dynamics
2.9. In Silico Pharmacological Consensus Analysis
3. Materials and Methods
3.1. Chemicals and Analytical Methods
3.1.1. Chemical Synthesis
3.1.2. 5-Nitro-1H-benzo[d]imidazole-2-thiol (2)
3.1.3. 5-Nitro-2-(propylthio)-1H-benzo[d]imidazole (3)
3.1.4. 2-(Propylthio)-1H-benzo[d]imidazol-5-amine (4)
3.1.5. Methyl (2-(propylthio)-1H-benzo[d]imidazol-5-yl)carbamate (RetroABZ, 1)
3.2. Biological Assays
3.2.1. In Vitro Giardicidal Assay
3.2.2. In Vitro Cytotoxic Assay
3.2.3. In Vivo Antigiardial CD-1 Mouse Model
3.2.4. Statistical Analysis
3.3. Determination of Thermodynamic Solubility
3.4. In Silico Studies
3.4.1. Ligand Preparation
3.4.2. Homology Modelling
3.4.3. Molecular Docking
3.4.4. Molecular Dynamics
4. Conclusions
Supplementary Materials
Author Contributions
Funding
Institutional Review Board Statement
Informed Consent Statement
Data Availability Statement
Acknowledgments
Conflicts of Interest
References
- Ung, L.; Stothard, J.R.; Phalkey, R.; Azman, A.S.; Chodosh, J.; Hanage, W.P.; Standley, C.J. Towards global control of parasitic diseases in the Covid-19 era: One Health and the future of multisectoral global health governance. Adv. Parasitol. 2021, 114, 1–26. [Google Scholar] [PubMed]
- Short, E.E.; Caminade, C.; Thomas, B.N. Climate Change Contribution to the Emergence or Re-Emergence of Parasitic Diseases. Infect. Dis. 2017, 10, 1178633617732296. [Google Scholar] [CrossRef] [PubMed]
- Engels, D.; Zhou, X.N. Neglected tropical diseases: An effective global response to local poverty-related disease priorities. Infect. Dis. Poverty 2020, 9, 10. [Google Scholar] [CrossRef] [PubMed]
- Savioli, L.; Smith, H.; Thompson, A. Giardia and Cryptosporidium join the “Neglected Diseases Initiative”. Trends Parasitol. 2006, 22, 203–208. [Google Scholar] [CrossRef] [PubMed]
- Giallourou, N.; Arnold, J.; McQuade, E.T.R.; Awoniyi, M.; Becket, R.V.T.; Walsh, K.; Herzog, J.; Gulati, A.S.; Carroll, I.M.; Montgomery, S.; et al. Giardia hinders growth by disrupting nutrient metabolism independent of inflammatory enteropathy. Nat. Commun. 2023, 14, 2840. [Google Scholar] [CrossRef]
- Argüello-García, R.; Ortega-Pierres, M.G. Giardia duodenalis Virulence “To Be, or Not To Be”. Curr. Trop. Med. Rep. 2021, 8, 246–256. [Google Scholar] [CrossRef]
- Ryan, U.; Hijjawi, N.; Feng, Y.; Xiao, L. Giardia: An under-reported foodborne parasite. Int. J. Parasitol. 2019, 49, 1–11. [Google Scholar] [CrossRef] [PubMed]
- Zheng, Y.; Müller, J.; Kunz, S.; Siderius, M.; Maes, L.; Caljon, G.; Müller, N.; Hemphill, A.; Sterk, G.J.; Leurs, R. 3-nitroimidazo[1,2-b]pyridazine as a novel scaffold for antiparasitics with sub-nanomolar anti-Giardia lamblia activity. Int. J. Parasitol. Drugs Drug Resist. 2022, 19, 47–55. [Google Scholar] [CrossRef]
- Mendez-Cuesta, C.A.; Herrera-Rueda, M.A.; Hidalgo-Figueroa, S.; Tlahuext, H.; Moo-Puc, R.; Chale-Dzul, J.B.; Chan-Bacab, M.; Ortega-Morales, B.O.; Hernandez-Nuñez, E.; Mendez-Lucio, O.; et al. Synthesis, Screening and in silico Simulations of Anti-Parasitic Propamidine/Benzimidazole Derivatives. Med. Chem. 2017, 13, 137–148. [Google Scholar] [CrossRef]
- Ansell, B.R.; McConville, M.J.; Ma’ayeh, S.Y.; Dagley, M.J.; Gasser, R.B.; Svärd, S.G.; Jex, A.R. Drug resistance in Giardia duodenalis. Biotechnol. Adv. 2015, 33, 888–901. [Google Scholar] [CrossRef] [PubMed]
- Argüello-García, R.; Leitsch, D.; Skinner-Adams, T.; Ortega-Pierres, M.G. Drug resistance in Giardia: Mechanisms and alternative treatments for Giardiasis. Adv. Parasitol. 2020, 107, 201–282. [Google Scholar]
- Hernández-Núñez, E.; Tlahuext, H.; Moo-Puc, R.; Moreno, D.; González-Díaz, M.O.; Navarrete-Vázquez, G. Design, synthesis and biological evaluation of 2-(2-amino-5(6)-nitro-1H-benzimidazol-1-yl)-narylacetamides as antiprotozoal agents. Molecules 2017, 22, 579. [Google Scholar] [CrossRef]
- Hernández-Ochoa, B.; Martínez-Rosas, V.; Morales-Luna, L.; Calderón-Jaimes, E.; Rocha-Ramírez, L.M.; Ortega-Cuellar, D.; Rufino-González, Y.; González-Valdez, A.; Arreguin-Espinosa, R.; Enríquez-Flores, S.; et al. Pyridyl Methylsulfinyl Benzimidazole Derivatives as Promising Agents against Giardia lamblia and Trichomonas vaginalis. Molecules 2022, 27, 8902. [Google Scholar] [CrossRef] [PubMed]
- Emery-Corbin, S.J.; Su, Q.; Tichkule, S.; Baker, L.; Lacey, E.; Jex, A.R. In vitro selection of Giardia duodenalis for Albendazole resistance identifies a β-tubulin mutation at amino acid E198K. Int. J. Parasitol. Drugs Drug Resist. 2021, 16, 162–173. [Google Scholar] [CrossRef]
- Wu, Z.; Medlicott, N.J.; Razzak, M.; Tucker, I.G. Development and optimization of a rapid HPLC method for analysis of ricobendazole and albendazole sulfone in sheep plasma. J. Pharm. Biomed. Anal. 2005, 39, 225–232. [Google Scholar] [CrossRef] [PubMed]
- Ghanbarzadeh, S.; Khalili, A.; Jouyban, A.; Emami, S.; Javadzadeh, Y.; Solhi, M.; Hamishehkar, H. Dramatic improvement in dissolution rate of albendazole by a simple, one-step, industrially scalable technique. Res. Pharm. Sci. 2016, 11, 435–444. [Google Scholar] [PubMed]
- Chattah, A.K.; Zhang, Z.; Mroue, K.H.; Pfund, L.Y.; Longhi, M.R.; Ramamoorthy, A.; Garnero, C. Investigating Albendazole Desmotropes by Solid-State NMR Spectroscopy. Mol. Pharm. 2015, 12, 731–741. [Google Scholar] [CrossRef]
- Colín-Lozano, B.; Estrada-Soto, S.; Chávez-Silva, F.; Gutiérrez-Hernández, A.; Cerón-Romero, L.; Giacoman-Martínez, A.; Almanza-Pérez, J.C.; Hernández-Núñez, E.; Wang, Z.; Xie, X.; et al. Design, Synthesis and in Combo Antidiabetic Bioevaluation of Multitarget Phenylpropanoic Acids. Molecules 2018, 23, 340. [Google Scholar] [CrossRef]
- Rocha-Garduño, G.; Hernández-Martínez, N.A.; Colín-Lozano, B.; Estrada-Soto, S.; Hernández-Núñez, E.; Prieto-Martínez, F.D.; Medina-Franco, J.L.; Chale-Dzul, J.B.; Moo-Puc, R.; Navarrete-Vázquez, G. Metronidazole and secnidazole carbamates: Synthesis, antiprotozoal activity, and molecular dynamics studies. Molecules 2020, 25, 793. [Google Scholar] [CrossRef]
- Colín-Lozano, B.; León-Rivera, I.; Chan-Bacab, M.J.; Ortega-Morales, B.O.; Moo-Puc, R.; López-Guerrero, V.; Hernández-Núñez, E.; Argüello-Garcia, R.; Scior, T.; Barbosa-Cabrera, E.; et al. Synthesis, in vitro and in vivo giardicidal activity of nitrothiazole-NSAID chimeras displaying broad antiprotozoal spectrum. Bioorg. Med. Chem. Lett. 2017, 27, 3490–3494. [Google Scholar] [CrossRef]
- Elmaaty, A.A.; Darwish, K.M.; Chrouda, A.; Boseila, A.A.; Tantawy, M.A.; Elhady, S.S.; Shaik, A.B.; Mustafa, M.; Al-Karmalawy, A.A. In Silico and in Vitro Studies for Benzimidazole Anthelmintics Repurposing as VEGFR-2 Antagonists: Novel Mebendazole-Loaded Mixed Micelles with Enhanced Dissolution and Anticancer Activity. ACS Omega 2022, 7, 875–899. [Google Scholar] [CrossRef]
- Meena, A.K.; Sharma, K.; Kandaswamy, M.; Rajagopal, S.; Mullangi, R. Formulation development of an albendazole self-emulsifying drug delivery system (SEDDS) with enhanced systemic exposure. Acta Pharm. 2012, 62, 563–580. [Google Scholar] [PubMed]
- Ishikawa, M.; Hashimoto, Y. Improvement in aqueous solubility in small molecule drug discovery programs by disruption of molecular planarity and symmetry. J. Med. Chem. 2011, 54, 1539–1554. [Google Scholar] [CrossRef] [PubMed]
- Domínguez-Mendoza, E.A.; Galván-Ciprés, Y.; Martínez-Miranda, J.; Miranda-González, C.; Colín-Lozano, B.; Hernández-Núñez, E.; Hernández-Bolio, G.I.; Palomino-Hernández, O.; Navarrete-Vazquez, G. Design, synthesis, and in silico multitarget pharmacological simulations of acid bioisosteres with a validated in vivo antihyperglycemic effect. Molecules 2021, 26, 799. [Google Scholar] [CrossRef]
- Xiong, G.; Wu, Z.; Yi, J.; Fu, L.; Yang, Z.; Hsieh, C.; Yin, M.; Zeng, X.; Wu, C.; Lu, A.; et al. ADMETlab 2.0: An integrated online platform for accurate and comprehensive predictions of ADMET properties. Nucl. Acids Res. 2021, 2, W5–W14. [Google Scholar] [CrossRef] [PubMed]
- Aguayo-Ortiz, R.; Méndez-Lucio, O.; Romo-Mancillas, A.; Castillo, R.; Yépez-Mulia, L.; Medina-Franco, J.L.; Hernández-Campos, A. Molecular basis for benzimidazole resistance from a novel β-tubulin binding site model. J. Mol. Graph. 2013, 45, 26–37. [Google Scholar] [CrossRef]
- Eren, E.; Watts, N.R.; Sacett, D.L.; Wingfield, P.T. Conformational changes in tubulin upon binding cryptophycin-52 reveal its mechanism of action. J. Biol. Chem. 2021, 297, 101138. [Google Scholar] [CrossRef]
- Dorléans, A.; Gigant, B.; Ravelli RB, G.; Mailliet, P.; Mikol, V.; Knossow, M. Variations in the colchicine-binding domain provide insight into the structural switch of tubulin. Proc. Natl. Acad. Sci. USA 2009, 106, 13775–13779. [Google Scholar] [CrossRef]
- Buscemi, C.; Randazzo, C.; Buscemi, P.; Caldarella, R.; Lombardo, M.; Buscemi, S. Very Prolonged Treatment with Albendazole of a Case of Disseminated Abdominal Cystic Echinococcosis. Trop. Med. Infect. Dis. 2023, 8, 449. [Google Scholar] [CrossRef]
- Granados, C.E.; Reveiz, L.; Uribe, L.G.; Criollo, C.P. Drugs for treating giardiasis. Cochrane Database Syst. Rev. 2012, 2, CD007787. [Google Scholar] [CrossRef]
- Lukovnikov, A.F.; Fedorov, B.P.; Vasil’eva, A.G.; Krasnyanskaya, E.A.; Levin, P.I.; Gol’dfarb, Y.L. Benzimidazole derivatives as inhibitors of the oxidation of polypropylene and the effect of p-hydroxydiphenylamine on their efficiency. Polym. Sci. 1964, 5, 908–913. [Google Scholar] [CrossRef]
- Soria-Arteche, O.; Castillo, R.; Hernández-Campos, A.; Hurtado-De La Peña, M.; Navarrete-Vázquez, G.; Medina-Franco, J.L.; Gómez-Flores, K. Studies on the Selective S-oxidation of Albendazole, Fenbendazole, Triclabendazole, and Other Benzimidazole Sulfides. J. Mex. Chem. Soc. 2005, 49, 353–358. [Google Scholar]
- Navarrete-Vázquez, G.; Yépez, L.; Hernández-Campos, A.; Tapia, A.; Hernández-Luis, F.; Cedillo, R.; González, J.; Martínez-Fernández, A.; Martínez-Grueiro, M.; Castillo, R. Synthesis and antiparasitic activity of albendazole and mebendazole analogues. Bioorg. Med. Chem. 2003, 11, 4615–4622. [Google Scholar] [CrossRef]
- Boukamp, P.; Petrussevska, R.T.; Breitkreutz, D.; Hornung, J.; Markham, A.; Fusenig, N.E. Normal keratinization in a spontaneously immortalized aneuploid human keratinocyte cell line. J. Cell Biol. 1988, 106, 761–771. [Google Scholar] [CrossRef] [PubMed]
- Sánchez-Carranza, J.N.; Alvarez, L.; Marquina-Bahena, S.; Salas-Vidal, E.; Cuevas, V.; Jiménez, E.W.; Veloz, G.R.A.; Carraz, M.; González-Maya, L. Phenolic compounds isolated from Caesalpinia coriaria induce S and G2/M phase cell cycle arrest differentially and trigger cell death by interfering with microtubule dynamics in cancer cell lines. Molecules 2017, 22, 666. [Google Scholar] [CrossRef]
- Barbosa, E.; Calzada, F.; Campos, R. In vivo antigiardial activity of three flavonoids isolated of some medicinal plants used in Mexican traditional medicine for the treatment of diarrhea. J. Ethnopharmacol. 2007, 109, 552–554. [Google Scholar] [CrossRef]
- Rojas-Aguirre, Y.; Castillo, I.; Hernández, D.J.; Nogueda-Torres, B.; Márquez-Navarro, A.; Villalobos, J.C.; Sánchez-Bartéz, F.; Sánchez-Torres, L.; Gracia-Mora, I.; Castillo, R.; et al. Diversity in the supramolecular interactions of 5,6-dichloro-2-(trifluoromethyl)-1H-benzimidazole with modified cyclodextrins: Implications for physicochemical properties and antiparasitic activity. Carbohydr. Polym. 2012, 87, 471–479. [Google Scholar] [CrossRef] [PubMed]
- Hurtado, M.; Medina, M.T.; Sotelo, J.; Jung, H. Sensitive high-performance liquid chromatographic assay for albendazole and its main metabolite albendazole sulphoxide in plasma and cerebrospinal fluid. J. Chromatogr. 1989, 494, 403–407. [Google Scholar] [CrossRef] [PubMed]
- O’Boyle, N.M.; Banck, M.; James, C.A.; Morley, C.; Vandermeersch, T.; Hutchison, G.R. Open Babel: An open chemical toolbox. J. Cheminform. 2011, 3, 33. [Google Scholar] [CrossRef] [PubMed]
- Galvelis, R.; Doerr, S.; Damas, J.M.; Harvey, M.J.; De Fabritiis, G.A. Scalable Molecular Force Field Parameterization Method Based on Density Functional Theory and Quantum-Level Machine Learning. J. Chem. Inf. Model. 2019, 59, 3485–3493. [Google Scholar] [CrossRef]
- Bannwarth, C.; Caldeweyher, E.; Ehlert, S.; Hansen, A.; Pracht, P.; Seibert, J.; Spicher, S.; Grimme, S. Extended tight-binding quantum chemistry methods. WIREs Comput. Mol. Sci. 2021, 11, e1493. [Google Scholar] [CrossRef]
- Devereux, C.; Smith, J.S.; Huddleston, K.K.; Barros, K.; Zubatyuk, R.; Isayev, O.; Roitberg, A.E. Extending the Applicability of the ANI Deep Learning Molecular Potential to Sulfur and Halogens. J. Chem. Theory Comput. 2020, 16, 4192–4202. [Google Scholar] [CrossRef]
- Sousa da Silva, A.W.; Vranken, W.F. ACPYPE—AnteChamber PYthon Parser interfacE. BMC Res. Notes 2012, 5, 367. [Google Scholar] [CrossRef]
- Wu, C.Y.; Wang, Y.X. PPA in Complex with Tubulin. 2021. Available online: https://www.wwpdb.org/pdb?id=pdb_00007dbc (accessed on 5 January 2022).
- Studer, G.; Rempfer, C.; Waterhouse, A.M.; Gumiennny, R.; Haas, J.; Schwede, T. QMEANDisCo distance constraints applied on model quality estimation. Bioinformatics 2020, 36, 1765–1771. [Google Scholar] [CrossRef]
- McNutt, A.T.; Francoeur, P.; Aggarwal, R.; Masuda, T.; Meli, R.; Ragoza, M.; Sunseri, J.; Koes, D.R. GNINA 1.0: Molecular docking with deep learning. J. Cheminform. 2021, 13, 43. [Google Scholar] [CrossRef]
- Abraham, M.J.; Murtola, T.; Schulz, R.; Páall, S.; Smith, J.C.; Hess, B.; Lindah, E. GROMACS: High performance molecular simulations through multi-level parallelism from laptops to supercomputers. SoftwareX 2015, 1–2, 19–25. [Google Scholar] [CrossRef]
- Maier, J.A.; Martinez, C.; Kasavajhala, K.; Wickstrom, L.; Hauser, K.E.; Simmerling, C. ff14SB: Improving the Accuracy of Protein Side Chain and Backbone Parameters from ff99SB. J. Chem. Theory Comput. 2015, 11, 3696–3713. [Google Scholar] [CrossRef] [PubMed]
- Meagher, K.L.; Redman, L.T.; Carlson, H.A. Development of polyphosphate parameters for use with the AMBER force field. J. Comput. Chem. 2003, 24, 1016–1025. [Google Scholar] [CrossRef] [PubMed]
- Bussi, G.; Donadio, D.; Parrinello, M. Canonical sampling through velocity rescaling. J. Chem. Phys. 2007, 126, 014101. [Google Scholar] [CrossRef]
- Parrinello, M.; Rahman, A. Polymorphic transitions in single crystals: A new molecular dynamics method. J. Appl. Phys. 1981, 52, 7182–7190. [Google Scholar] [CrossRef]
- Adasme, M.F.; Linnemann, K.L.; Bolz, S.N.; Kaiser, F.; Salentin, S.; Haupt, V.J.; Schroeder, M. PLIP 2021: Expanding the scope of the protein–ligand interaction profiler to DNA and RNA. Nucl. Acids Res. 2021, 49, W530–W534. [Google Scholar] [CrossRef] [PubMed]
- Valdés-Tresanco, M.S.; Valdés-Tresanco, M.E.; Valiente, P.A.; Moreno, E. gmx_MMPBSA: A New Tool to Perform End-State Free Energy Calculations with GROMACS. J. Chem. Theory Comput. 2021, 17, 6281–6291. [Google Scholar] [CrossRef] [PubMed]
- Duan, L.; Liu, X.; Zhang, J.Z.H. Interaction Entropy: A New Paradigm for Highly Efficient and Reliable Computation of Protein–Ligand Binding Free Energy. J. Am. Chem. Soc. 2016, 138, 5722–5728. [Google Scholar] [CrossRef] [PubMed]








| Compound | IC50 (μM) | CC50 (μM) | Selectivity Index | |||
|---|---|---|---|---|---|---|
| Mp (°C) | G. lamblia | Huh-7 | HaCaT | CC50/IC50 | ||
![]() RetroABZ | 179.5–183.5 | 0.083 ± 0.013 | 312.8 ± 22.2 | 587.94 ± 18.47 | Huh-7 | HaCaT |
| 3768 | 7083 | |||||
![]() Albendazole | 209.1–210.5 | 0.196 ± 0.011 | 79.71 ± 1.0 | 118.2 ± 1.0 | 407 | 603 |
| Compound | ED50 (μg/kg) | ED50 (nmol/kg) |
|---|---|---|
| RetroABZ | 5 | 18.8 |
| Albendazole | 55 | 207.3 |
| Metronidazole | 194 | 1133.5 |
| Compound | Conditions | Solubility (μg/mL) |
|---|---|---|
| RetroABZ | 37 ± 2 °C | 245.74 ± 4.07 |
| Albendazole | 37 ± 2 °C | 10.55 ± 0.70 |
| Model | Compounds | ||
|---|---|---|---|
RetroABZ![]() | Albendazole![]() | ||
| A | Gastrointestinal absorption | (+++) | (+) |
| Blood–brain barrier permeant | (++) | (−−) | |
| D | Plasma protein binding | 96% | 80% |
| Volume distribution | 0.68 L/kg | 0.69 L/kg | |
| M | CYP3A4 substrate | (−−) Low | (−−) Low |
| CYP2D6 substrate | (++) Medium | (++) Medium | |
| E | Clearance | 6.0 mL/min/Kg | 6.9 mL/min/Kg |
| Half-life (T ½) | >3 h | >3 h | |
| T | hERG blockers | (−−−) | (−−) |
| Rat oral acute toxicity | (−−−) | (−−) | |
| RetroABZ | Albendazole | Winner | |
|---|---|---|---|
| In vitro IC50 G. lamblia (μM) | 0.083 ± 0.013 | 0.189 ± 0.011 | ![]() RetroABZ |
| In vivo ED50 G. lamblia (μg/kg) | 5 | 55 | |
| SI CC50 HaCaT/IC50 G. lamblia | 7083 □ | 603 | |
| SI CC50 Huh-7/IC50 G. lamblia | 3768 | 407 | |
| Solubility ≥ 60 μg/mL | 245.74 ± 4.07 | 10.55 ± 0.70 □ | |
| In silico affinity ΔGbind (kcal/mol) | −14.09 ± 3.65 | −11.57 ± 3.76 | |
| In silico pharmacokinetic profile | □ | □ | |
| ClogP (2–3) | 2.91 | 2.08 |
Disclaimer/Publisher’s Note: The statements, opinions and data contained in all publications are solely those of the individual author(s) and contributor(s) and not of MDPI and/or the editor(s). MDPI and/or the editor(s) disclaim responsibility for any injury to people or property resulting from any ideas, methods, instructions or products referred to in the content. |
© 2023 by the authors. Licensee MDPI, Basel, Switzerland. This article is an open access article distributed under the terms and conditions of the Creative Commons Attribution (CC BY) license (https://creativecommons.org/licenses/by/4.0/).
Share and Cite
Martínez-Conde, C.; Colín-Lozano, B.; Gutiérrez-Hernández, A.; Hernández-Núñez, E.; Yépez-Mulia, L.; Colorado-Pablo, L.F.; Aguayo-Ortiz, R.; Escalante, J.; Rivera-Leyva, J.C.; Sánchez-Carranza, J.N.; et al. Enhancing Giardicidal Activity and Aqueous Solubility through the Development of “RetroABZ”, a Regioisomer of Albendazole: In Vitro, In Vivo, and In Silico Studies. Int. J. Mol. Sci. 2023, 24, 14949. https://doi.org/10.3390/ijms241914949
Martínez-Conde C, Colín-Lozano B, Gutiérrez-Hernández A, Hernández-Núñez E, Yépez-Mulia L, Colorado-Pablo LF, Aguayo-Ortiz R, Escalante J, Rivera-Leyva JC, Sánchez-Carranza JN, et al. Enhancing Giardicidal Activity and Aqueous Solubility through the Development of “RetroABZ”, a Regioisomer of Albendazole: In Vitro, In Vivo, and In Silico Studies. International Journal of Molecular Sciences. 2023; 24(19):14949. https://doi.org/10.3390/ijms241914949
Chicago/Turabian StyleMartínez-Conde, Carlos, Blanca Colín-Lozano, Abraham Gutiérrez-Hernández, Emanuel Hernández-Núñez, Lilián Yépez-Mulia, Luis Fernando Colorado-Pablo, Rodrigo Aguayo-Ortiz, Jaime Escalante, Julio C. Rivera-Leyva, Jessica Nayelli Sánchez-Carranza, and et al. 2023. "Enhancing Giardicidal Activity and Aqueous Solubility through the Development of “RetroABZ”, a Regioisomer of Albendazole: In Vitro, In Vivo, and In Silico Studies" International Journal of Molecular Sciences 24, no. 19: 14949. https://doi.org/10.3390/ijms241914949
APA StyleMartínez-Conde, C., Colín-Lozano, B., Gutiérrez-Hernández, A., Hernández-Núñez, E., Yépez-Mulia, L., Colorado-Pablo, L. F., Aguayo-Ortiz, R., Escalante, J., Rivera-Leyva, J. C., Sánchez-Carranza, J. N., Barbosa-Cabrera, E., & Navarrete-Vazquez, G. (2023). Enhancing Giardicidal Activity and Aqueous Solubility through the Development of “RetroABZ”, a Regioisomer of Albendazole: In Vitro, In Vivo, and In Silico Studies. International Journal of Molecular Sciences, 24(19), 14949. https://doi.org/10.3390/ijms241914949






