Non-Steroidal Anti-Inflammatory Drugs Loaded to Micelles for the Modulation of Their Water Solubility
Abstract
:1. Introduction
2. Results
2.1. Preparation and Characterization of Micelle
2.2. Preparation of Micelle
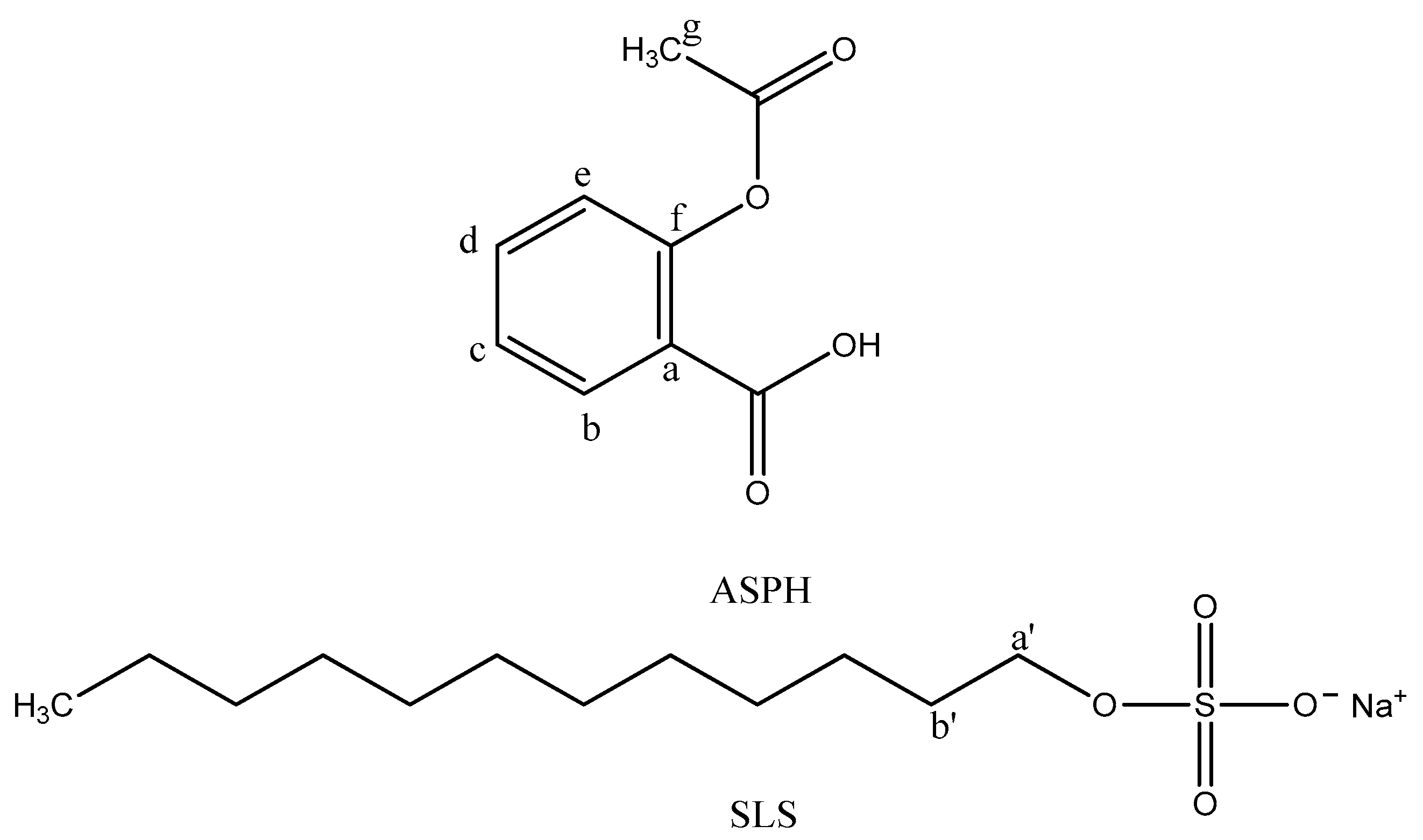
2.3. Characterization of SLS@ASPH
- (a)
- Solid state:
- (b)
- Solution state:
2.4. The Inhibitory Activity of SLS@ASPH towards Lipoxygenase (LOX)
2.5. In Vitro Toxicity against Immortalized Human Keratinocytes (HaCaT) Cells
3. Materials and Methods
3.1. Materials and Instruments
3.2. Determination of Critical Micelle Concentration (CMC) by Solutions Density Measurements
3.3. Determination of CMC via Ultrasonic Velocity
3.4. Formation of SLS@ASPH
3.5. The Inhibitory Activity of SLS@ASPH towards Lipoxygenase (LOX)
3.6. Sulforhodamine B Assay
4. Conclusions
Supplementary Materials
Author Contributions
Funding
Institutional Review Board Statement
Informed Consent Statement
Data Availability Statement
Acknowledgments
Conflicts of Interest
References
- Tran, P.H.L.; Wang, T.; Yin, W.; Tran, T.T.D.; Nguyen, T.N.G.; Lee, B.-J.; Duan, W. Aspirin-loaded nanoexosomes as cancer therapeutics. Int. J. Pharm. 2019, 572, 118786. [Google Scholar] [CrossRef]
- Savjani, K.T.; Gajjar, A.K.; Savjani, J.K. Drug solubility: Importance and enhancement techniques. ISRN Pharm. 2012, 2012, 195727. [Google Scholar] [CrossRef]
- Kocbek, P.; Baumgartner, S.; Kristl, J. Preparation and evaluation of nanosuspensions for enhancing the dissolution of poorly soluble drugs. Int. J. Pharm. 2006, 312, 179–186. [Google Scholar] [CrossRef]
- Barnéoud, P.; Curet, O. Beneficial Effects of Lysine Acetylsalicylate, a Soluble Salt of Aspirin, on Motor Performance in a Transgenic Model of Amyotrophic Lateral Sclerosis. Exp. Neurol. 1999, 155, 243–251. [Google Scholar] [CrossRef]
- Ruberte, A.C.; González-Gaitano, G.; Sharma, A.K.; Aydillo, C.; Encío, I.; Sanmartín, C.; Plano, D. New Formulation of a Methylseleno-Aspirin Analog with Anticancer Activity towards Colon Cancer. Int. J. Mol. Sci. 2020, 21, 9017. [Google Scholar] [CrossRef]
- Cabral, H.; Miyata, K.; Osada, K.; Kataoka, K. Block Copolymer Micelles in Nanomedicine Applications. Chem. Rev. 2018, 118, 6844–6892. [Google Scholar] [CrossRef]
- United Nations Environment Programme (UNEP). SIDS initial assessment report. Sodium dodecyl sulfate (CAS No. 151−21-3). In Screening Information Data Sheet (SIDS) for High Volume Chemicals; UNEP, OECD, UN, IRPTC, Eds.; United Nations: Geneva, Switzerland, 1997; Volume 4, Part 2; pp. 1–39. [Google Scholar]
- Leoty-Okombi, S.; Gillaizeau, F.; Leuillet, S.; Douillard, B.; Le Fresne-Languille, S.; Carton, T.; De Martino, A.; Moussou, P.; Bonnaud-Rosaye, C.; André, V. Effect of Sodium Lauryl Sulfate (SLS) Applied as a Patch on Human Skin Physiology and Its Microbiota. Cosmetics 2021, 8, 6. [Google Scholar] [CrossRef]
- Maurya, N.; Alzahrani, K.A.; Patel, R. Probing the Intercalation of Noscapine from Sodium Dodecyl Sulfate Micelles to Calf Thymus Deoxyribose Nucleic Acid: A Mechanistic Approach. ACS Omega 2019, 4, 15829–15841. [Google Scholar] [CrossRef]
- Banti, C.N.; Papatriantafyllopoulou, C.; Papachristodoulou, C.; Hatzidimitriou, A.G.; Hadjikakou, S.K. New Apoptosis Inducers Containing Anti-inflammatory Drugs and Pnictogen Derivatives: A New Strategy in the Development of Mitochondrial Targeting Chemotherapeutics. J. Med. Chem. 2023, 66, 4131–4149. [Google Scholar] [CrossRef] [PubMed]
- Meretoudi, A.; Banti, C.N.; Siafarika, P.; Kalampounias, A.G.; Hadjikakou, S.K. Tetracycline Water Soluble Formulations with Enhanced Antimicrobial Activity. Antibiotics 2020, 9, 845. [Google Scholar] [CrossRef] [PubMed]
- Karetsi, V.A.; Banti, C.N.; Kourkoumelis, N.; Papachristodoulou, C.; Stalikas, C.D.; Raptopoulou, C.P.; Psycharis, V.; Zoumpoulakis, P.; Mavromoustakos, T.; Sainis, I.; et al. An Efficient Disinfectant, Composite Material {SLS@[Zn3(CitH)2]} as Ingredient for Development of Sterilized and Non Infectious Contact Lens. Antibiotics 2019, 8, 213. [Google Scholar] [CrossRef]
- Gkaniatsou, E.I.; Banti, C.N.; Kourkoumelis, N.; Skoulika, S.; Manoli, M.; Tasiopoulos, A.J.; Hadjikakou, S.K. Novel mixed metal Ag(I)-Sb(III)-metallotherapeutics of the NSAIDs, aspirin and salicylic acid: Enhancement of their solubility and bioactivity by using the surfactant CTAB. J. Inorg. Biochem. 2015, 150, 108–119. [Google Scholar] [CrossRef]
- Bondi, C.A.M.; Marks, J.L.; Wroblewski, L.B.; Raatikainen, H.S.; Lenox, S.R.; Gebhardt, K.E. Human and Environmental Toxicity of Sodium Lauryl Sulfate (SLS): Evidence for Safe Use in Household Cleaning Products. Environ. Health Insights 2015, 9, 27–32. [Google Scholar] [CrossRef]
- Mpourazanis, P.; Stogiannidis, G.; Tsigoias, S.; Papatheodorou, G.N.; Kalampounias, A.G. Ionic to covalent glass network transition: Effects on elastic and vibrational properties according to ultrasonic echography and Raman spectroscopy. J. Phys. Chem. Solids 2019, 125, 43. [Google Scholar] [CrossRef]
- Siafarika, P.; Kouderis, C.; Kalampounias, A.G. Non-Debye segmental relaxation of poly-N-vinyl-carbazole in dilute solution. Mol. Phys. 2020, 119, 1802075. [Google Scholar] [CrossRef]
- Stogiannidis, G.; Tsigoias, S.; Kaziannis, S.; Kalampounias, A.G. Stationary and transient acoustically induced birefringence of methyl acetate molecules dissolved in ethanol. Chem. Pap. 2020, 74, 2059. [Google Scholar] [CrossRef]
- Benoit, H. Contribution à l’étude de l’effet Kerr présenté par les solutions diluées de macromolécules rigides. Ann. Phys. 1951, 12, 6. [Google Scholar] [CrossRef]
- Koleva, B.B. Polymorphs of Aspirin—Solid-state IR-LD spectroscopic and quantitative determination in solid mixtures. J. Mol. Struct. 2006, 800, 23–27. [Google Scholar] [CrossRef]
- Xu, J.; Mueller, R.; Hazelbaker, E.; Zhao, Y.; Bonzongo, J.-C.J.; Clar, J.G.; Vasenkov, S.; Ziegler, K.J. Strongly Bound Sodium Dodecyl Sulfate Surrounding Single-Wall Carbon Nanotubes. Langmuir 2017, 33, 5006–5014. [Google Scholar] [CrossRef]
- Banti, C.N.; Papatriantafyllopoulou, C.; Tasiopoulos, A.J.; Hadjikakou, S.K. New metalo-therapeutics of NSAIDs against human breast cancer cells. Eur. J. Med. Chem. 2018, 143, 1687–1701. [Google Scholar] [CrossRef]
- Mashima, R.; Okuyama, T. The role of lipoxygenases in pathophysiology; new insights and future perspectives. Redox. Biol. 2015, 6, 297–310. [Google Scholar] [CrossRef] [PubMed]
- Krieg, P.; Fürstenberger, G. The Physiology and Pathophysiology of Lipoxygenases in the Skin. In Lipoxygenases in Inflammation. Progress in Inflammation Research; Steinhilber, D., Ed.; Springer: Cham, Switzerland, 2016. [Google Scholar] [CrossRef]
- Xanthopoulou, M.N.; Hadjikakou, S.K.; Hadjiliadis, N.; Milaeva, E.R.; Gracheva, J.A.; Tyurin, V.Y.; Kourkoumelis, N.; Christoforidis, K.C.; Metsios, A.K.; Karkabounas, S.; et al. Biological Studies of New Organotin(IV) Complexes of Thioamide Ligands. Eur. J. Med. Chem. 2008, 43, 327–335. [Google Scholar] [CrossRef] [PubMed]
- Gray, P.A.; Warner, T.D.; Vojnovic, I.; Del Soldato, P.; Parikh, A.; Scadding, G.K.; Mitchell, J.A. Aspirin inhibits COX-1 activity, without altering lipoxygenase activity. Br. J. Pharmacol. 2002, 137, 1031–1038. [Google Scholar] [CrossRef]
- Tyagi, N.; Bhardwaj, A.; Srivastava, S.K.; Arora, S.; Marimuthu, S.; Deshmukh, S.K.; Singh, A.P.; Carter, J.E.; Singh, S. Development and Characterization of a Novel in vitro Progression Model for UVB-Induced Skin Carcinogenesis. Sci. Rep. 2015, 5, 13894. [Google Scholar] [CrossRef] [PubMed]
- Pessina, A.; Raimondi, A.; Cerri, A.; Piccirillo, M.; Neri, M.G.; Croera, C.; Foti, P.; Berti, E. High sensitivity of human epidermal keratinocytes (HaCaT) to topoisomerase inhibitors. Cell Prolif. 2001, 34, 243–252. [Google Scholar] [CrossRef] [PubMed]
- Stogiannidis, G.; Tsigoias, S.; Mpourazanis, P.; Boghosian, S.; Kaziannis, S.; Kalampounias, A.G. Dynamics and vibrational coupling of methyl acetate dissolved in ethanol. Chem. Phys. 2019, 522, 1–9. [Google Scholar] [CrossRef]
- Tsigoias, S.; Kouderis, C.; Mylona-Kosmas, A.; Boghosian, S.; Kalampounias, A.G. Proton-transfer in 1,1,3,3 tetramethyl guanidine by means of ultrasonic relaxation and Raman spectroscopies and molecular orbital calculations. Spectrochim. Acta A 2020, 229, 117958. [Google Scholar] [CrossRef] [PubMed]
- Aniansson, E.A.G.; Wall, S.N. Kinetics of step-wise micelle association. J. Phys. Chem. 1974, 78, 1024–1030, Correction and improvement in J. Phys. Chem. 1975, 79, 857–858. [Google Scholar] [CrossRef]
- Aniansson, E.A.G.; Wall, S.N.; Almgren, M.; Hoffmann, H.; Kielmann, I.; Ulbricht, W.; Zana, R.; Lang, J.; Tondre, C. Theory of the kinetics of micellar equilibria and quantitative interpretation of chemical relaxation studies of micellar solutions of ionic surfactants. J. Phys. Chem. 1976, 80, 905–922. [Google Scholar] [CrossRef]
- Thomason, M.A.; Bloor, D.M.; Wyn-Jones, E. Ultrasonic relaxation and micelle formation in solutions of cetylpyridinium chloride in formamide. Langmuir 1992, 8, 2107–2109. [Google Scholar] [CrossRef]














Disclaimer/Publisher’s Note: The statements, opinions and data contained in all publications are solely those of the individual author(s) and contributor(s) and not of MDPI and/or the editor(s). MDPI and/or the editor(s) disclaim responsibility for any injury to people or property resulting from any ideas, methods, instructions or products referred to in the content. |
© 2023 by the authors. Licensee MDPI, Basel, Switzerland. This article is an open access article distributed under the terms and conditions of the Creative Commons Attribution (CC BY) license (https://creativecommons.org/licenses/by/4.0/).
Share and Cite
Banti, C.N.; Kalampounias, A.G.; Hadjikakou, S.K. Non-Steroidal Anti-Inflammatory Drugs Loaded to Micelles for the Modulation of Their Water Solubility. Int. J. Mol. Sci. 2023, 24, 15152. https://doi.org/10.3390/ijms242015152
Banti CN, Kalampounias AG, Hadjikakou SK. Non-Steroidal Anti-Inflammatory Drugs Loaded to Micelles for the Modulation of Their Water Solubility. International Journal of Molecular Sciences. 2023; 24(20):15152. https://doi.org/10.3390/ijms242015152
Chicago/Turabian StyleBanti, Christina N., Angelos G. Kalampounias, and Sotiris K. Hadjikakou. 2023. "Non-Steroidal Anti-Inflammatory Drugs Loaded to Micelles for the Modulation of Their Water Solubility" International Journal of Molecular Sciences 24, no. 20: 15152. https://doi.org/10.3390/ijms242015152
APA StyleBanti, C. N., Kalampounias, A. G., & Hadjikakou, S. K. (2023). Non-Steroidal Anti-Inflammatory Drugs Loaded to Micelles for the Modulation of Their Water Solubility. International Journal of Molecular Sciences, 24(20), 15152. https://doi.org/10.3390/ijms242015152
