Mass Spectrometric Identification of Metabolites after Magnetic-Pulse Treatment of Infected Pyrus communis L. Microplants
Abstract
:1. Introduction
2. Results
2.1. Chromatography and Mass Spectrometric Data
2.2. Mass Spectrometric Data on Aucubin
2.3. Mass Spectrometric Data on Chlorogenic Acid
2.4. Mass Spectrometric Data on Silylated Carbohydrate Monomers



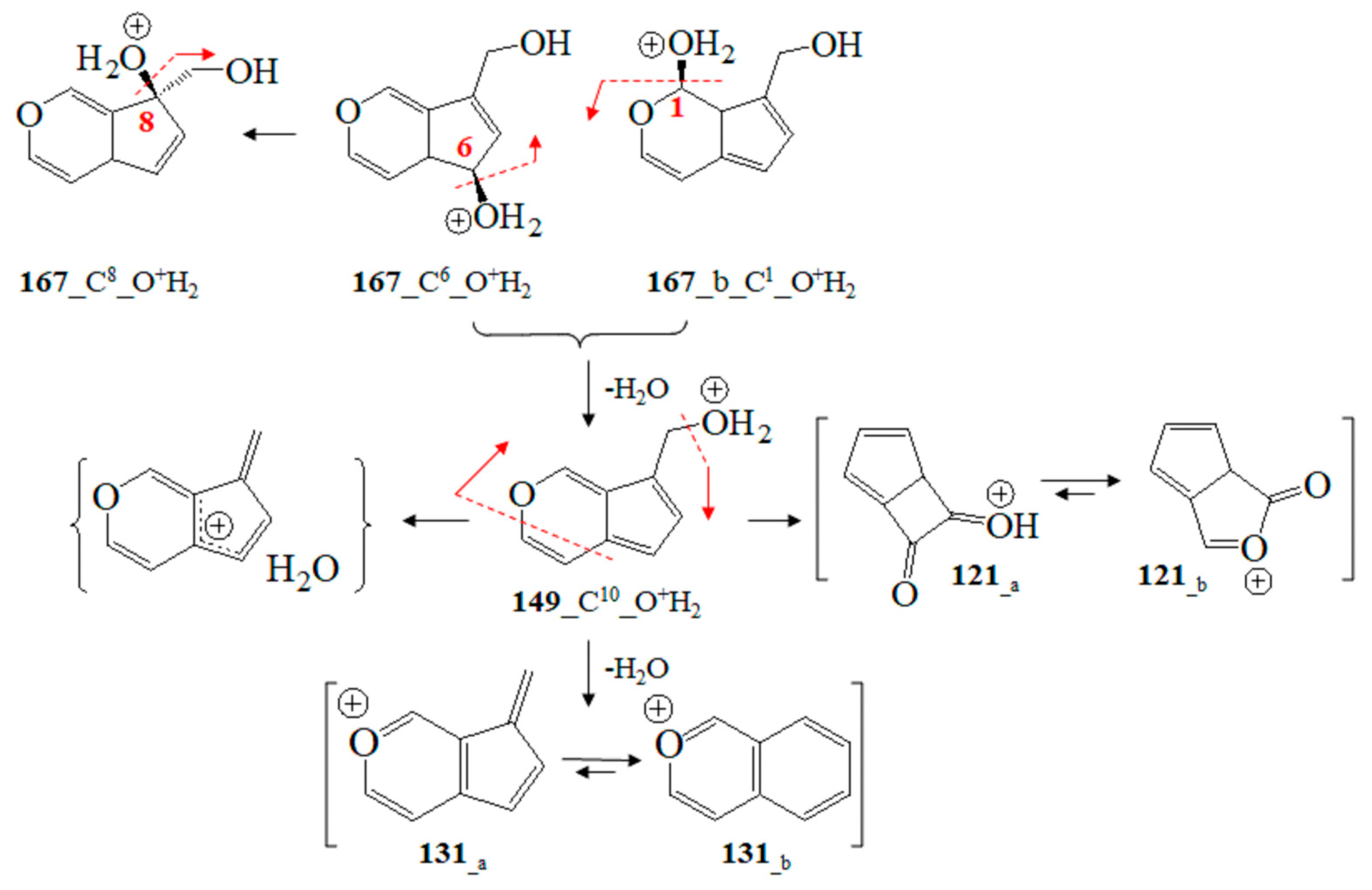
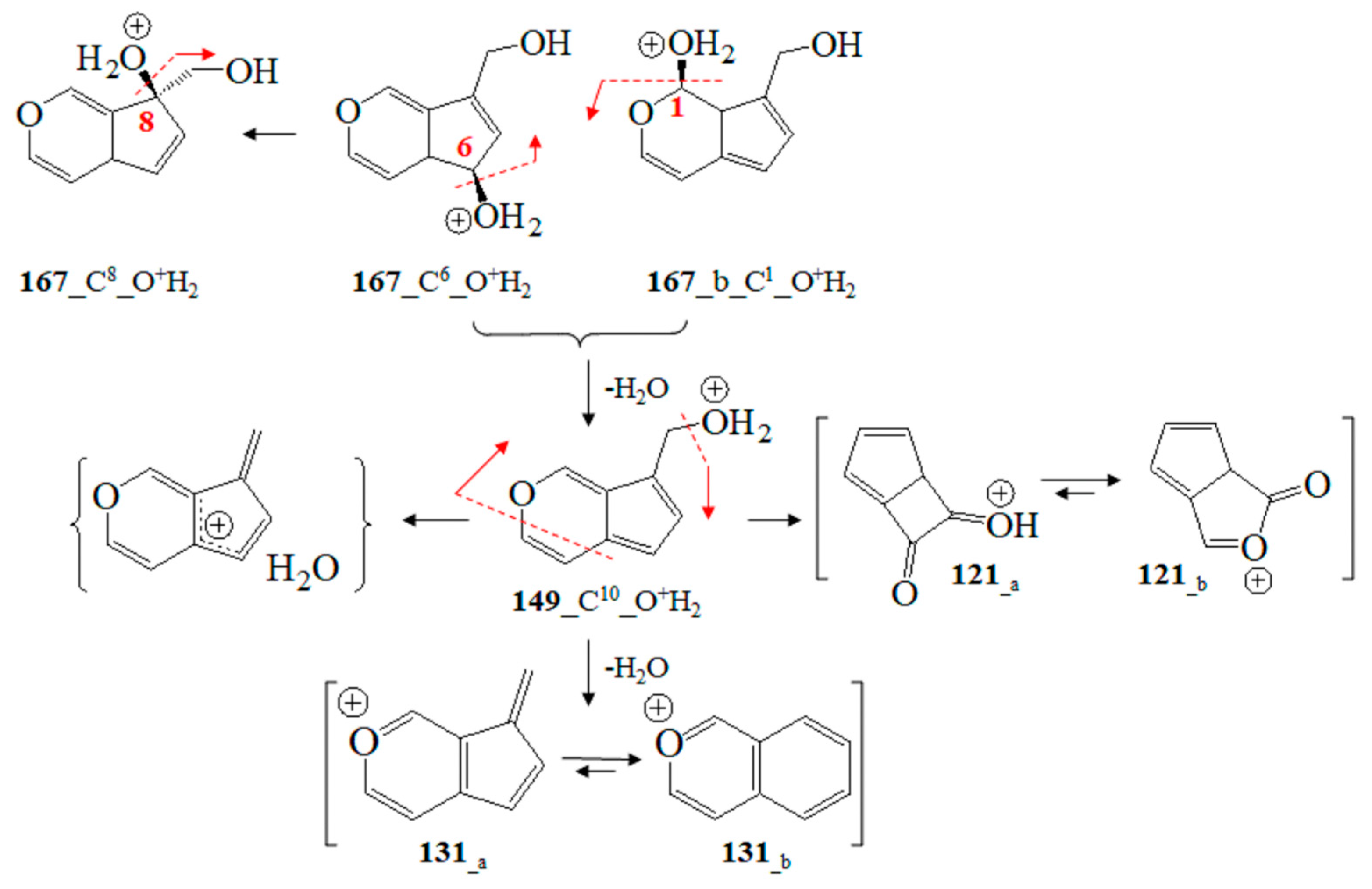
2.5. Theoretical Stochastic Dynamics Mass Spectrometric and Quantum Chemical Data
3. Discussion
4. Materials and Methods
4.1. Materials, Methods, (Bio)Synthesis, and Isolation
4.2. Metabolomics by Gas Chromatography-Mass Spectrometry
4.3. Analytical Procedure for Separation and Identification of Plant Metabolites
4.4. Magnetic-Pulse Analysis of Plant Biochemistry
4.5. Theory/Computations
4.5.1. Stochastic Dynamics Mass Spectrometric Approach
4.5.2. Quantum Chemical Computations
4.5.3. Chemometrics
Supplementary Materials
Author Contributions
Funding
Institutional Review Board Statement
Informed Consent Statement
Data Availability Statement
Acknowledgments
Conflicts of Interest
References
- Ruzic, R.; Jerman, I. Weak magnetic field decreases heat stress in cress seedlings. Electromagn. Biol. Med. 2002, 21, 69–80. [Google Scholar] [CrossRef]
- Stange, D.; Rowland, R.; Rapley, B.; Podd, J. ELF magnetic fields increase amino acid uptake into Viciafaba L. roots and alter ion movement across the plasma membrane. Bioelectromagnetics 2002, 23, 347–354. [Google Scholar] [CrossRef] [PubMed]
- Yan, D.-L.; Guo, Y.-Q.; Zai, X.-M.; Wan, S.-W.; Qin, P. Effects of electromagnetic fields exposure on rapid micropropagation of beach plum (Prunus maritima). Ecol. Engineer. 2008, 3, 597–601. [Google Scholar]
- Guta, I.; Buciumeanu, E.; Raluca, G.; Teodorescu, A. Solutions to eliminate Grapevine leafroll associated virus serotype 1 + 3 from V. vinifera L. ‘Ranai Magaraci’. Rom. Biotech. Lett. 2010, 15, 72–78. [Google Scholar]
- Maffei, M.E. Magnetic field effects on plant growth, development, and evolution. Plant Sci. 2014, 5, 445. [Google Scholar] [CrossRef] [PubMed]
- Upadyshev, M.; Donetskikh, V. New method of sanitizing berry and fruit crops from viruses by the magnetotherapy method. Russ. Agric. Sci. 2008, 34, 223. [Google Scholar] [CrossRef]
- Upadyshev, M.; Kulikov, I.; Donetskich, V.; Petrova, A.; Metlitskaya, K.; Upadysheva, G. Magnetic-pulse processing at micropropagation and cleaning up of fruit and small fruit crops from viruses. Acta Hortic. 2021, 1324, 105–110. [Google Scholar] [CrossRef]
- Upadyshev, M.; Motyleva, S.; Kulikov, I.; Donetskih, V.; Mertvischeva, M.; Metlitskaya, K.; Petrova, A. The effect of magnetic field on phenolic composition and virus sanitation of raspberry plants. Hortic. Sci. 2021, 48, 166–173. [Google Scholar] [CrossRef]
- Burns, D.; Danzer, K.; Townshend, A. Use of the terms “recovery” and “apparent recovery” in analytical procedures. Pure Appl. Chem. 2002, 74, 2201–2205. [Google Scholar] [CrossRef]
- Mueller, P. (Ed.) Wahrscheinlichkeitsrechnung und Mathematische Statistik; De Gruyter: Berlin, Germany; Boston, MA, USA, 2022; pp. 1–485. [Google Scholar]
- Gillespie, D. Stochastic simulation of chemical kinetics. Annu. Rev. Phys. Chem. 2007, 58, 35–55. [Google Scholar] [CrossRef]
- Clifford, M. Chlorogenic acids and other cinnamates—Nature, occurrence, and dietary burden. J. Sci. Food Agric. 1999, 79, 362–372. [Google Scholar] [CrossRef]
- Genc, Y.; Sohretoglu, D.; Harput, U.; Ishiuchi, K.; Makino, T.; Saracoglu, I. Chemical constituents of Plantago holosteum and evaluation of their chemotaxonomic significance. Chem. Nat. Compd. 2020, 56, 566–568. [Google Scholar] [CrossRef]
- Amber, R.; Adnan, M.; Tariq, A.; Mussarat, S. A review on antiviral activity of the Himalayan medicinal plants traditionally used to treat bronchitis and related symptoms. J. Pharm. Pharmacol. 2017, 69, 109–122. [Google Scholar] [CrossRef] [PubMed]
- Demirev, P.; Handjieva, N.; Saadi, H.; Popov, S.; Reshetova, O.; Rozynov, B. Ammonia/desorption chemical ionization mass spectrometry of some cyclopentane iridoid glucosides. Org. Mass Spectrom. 1991, 26, 151–153. [Google Scholar] [CrossRef]
- Nykmukanova, M.; Eskalieva, B.; Burasheva, G.; Choudhary, M.; Adhikari, A.; Amadou, D. Iridoids from Verbascum marschallianum. Chem. Nat. Compd. 2017, 53, 580–581. [Google Scholar] [CrossRef]
- Gori, A.; Boucherle, B.; Rey, A.; Rome, M.; Barette, C.; Soleilhac, E.; Philouze, C.; Fauvarque, M.; Fuzzati, N.; Peuchmaur, M. Investigation of chemical composition and biological activities of ajuga pyramidalis—Isolation of iridoids and phenylethanoid glycosides. Metabolites 2023, 13, 128. [Google Scholar] [CrossRef]
- Hostettmann, K.; Doumas, J.; Hardy, M. Desorption chemical ionization mass spectrometry of naturally occurring glycosides. Helv. Chim. Acta 1981, 64, 297–303. [Google Scholar] [CrossRef]
- Chua, H.; Tana, N.; Zhanga, Y. Chemical constituents from Pedicularis rex C. B. Clarke. Z. Naturforsch. 2007, 62b, 1465–1470. [Google Scholar] [CrossRef]
- Ivanova, B. Stochastic dynamic mass spectrometric quantitative and structural analyses of pharmaceutics and biocides in biota and sewage sludge. Int. J. Mol. Sci. 2023, 24, 6306. [Google Scholar] [CrossRef]
- Ivanova, B.; Spiteller, M. Stochastic dynamic electrospray ionization mass spectrometric quantitative analysis of metronidazole in human urine. Anal. Chem. Lett. 2022, 12, 322–348. [Google Scholar] [CrossRef]
- Ivanova, B. Electrospray Ionization Stochastic Dynamic Mass Spectrometric 3D Analysis of Positional Isomers and Enantiomers with Respect to Collision Energy. SSRN. 2023. Available online: https://ssrn.com/abstract=4491939 (accessed on 19 July 2023).
- Hong, J.; Qin, X.; Shu, P.; Wu, G.; Wang, Q.; Qin, M. Analysis of catalpol derivatives by characteristic neutral losses using liquid chromatography combined with electrospray ionization multistage and time-of-flight mass spectrometry. Rapid Commun. Mass Spectrom. 2010, 24, 2680–2686. [Google Scholar] [CrossRef]
- Yao, Y.; Yu, Y.; Cai, M.; Zhang, Z.; Bai, J.; Wu, H.; Li, P.; Zhao, T.; Ni, J.; Yin, X. UPLC-MS/MS method for the determination of the herb composition of Tangshen formula and the in vivo pharmacokinetics of its metabolites in rat plasma. Phytochem. Anal. 2022, 33, 402–426. [Google Scholar] [CrossRef]
- Ming, J.; Liu, W.; Wu, H.; Li, Y.; Yang, E.; Wang, Z.; Xiao, X.; Quan, M.; Hu, X. The active ingredients and mechanisms of Longchai jiangxue formula in treating PV, based on UPLC/Q-TOF-MS/MS, systematic pharmacology, and molecular biology validation. Biomed. Pharmacother. 2021, 140, 111767. [Google Scholar] [CrossRef]
- Shim, K.; Song, H.; Hwang, Y.; Chae, S.; Kim, H.; Jang, S.; Kim, Y.; Choo, B.; Yang, W.; Kim, S.; et al. Ethanol extract of Veronica persica ameliorates house dust mite-induced asthmatic inflammation by inhibiting STAT-3 and STAT-6 activation. Biomed. Pharmacother. 2022, 152, 113264. [Google Scholar] [CrossRef]
- Huang, Q.; Zhang, F.; Liu, S.; Jiang, Y.; Ouyang, D. Systematic investigation of the pharmacological mechanism for renal protection by the leaves of Eucommia ulmoides Oliver using UPLC-Q-TOF/MS combined with network pharmacology analysis. Biomed. Pharmacother. 2021, 140, 111735. [Google Scholar] [CrossRef]
- Luca, S.; Miron, A.; Aprotosoaie, A.; Mihai, C.; Vochita, G.; Gherghel, D.; Ciocarlan, N.; Wozniak, K. HPLC-DAD-ESI-Q-TOF-MS/MS profiling of Verbascum ovalifolium Donn ex Sims and evaluation of its antioxidant and cytogenotoxic activities. Phytochem. Anal. 2019, 30, 34–45. [Google Scholar] [CrossRef]
- Sertic, M.; Crkvencic, M.; Mornar, A.; Pilepic, K.; Nigovic, B.; Males, Z. Analysis of aucubin and catalpol content in different plant parts of four Globularia species. J. Appl. Bot. Food Qual. 2015, 88, 209–214. [Google Scholar]
- Friscic, M.; Bucar, F.; Pilepica, K. LC-PDA-ESI-MSn analysis of phenolic and iridoid compounds from Globularia spp. J. Mass Spectrom. 2016, 51, 1211–1236. [Google Scholar] [CrossRef]
- Chen, W.; Zhu, L.; Wang, L.; Zeng, J.; Wen, M.; Xu, X.; Zou, L.; Huang, F.; Huang, Q.; Qin, D.; et al. A novel antithrombocytopenia agent, Rhizoma cibotii, Promotes Megakaryopoiesis and Thrombopoiesis through the PI3K/AKT, MEK/ERK, and JAK2/STAT3 signaling pathways. Int. J. Mol. Sci. 2022, 23, 14060. [Google Scholar] [CrossRef]
- Demirci, S.; Alp, C.; Aksit, H.; Ulutas, Y.; Altay, A.; Yeniceri, E.; Koeksal, E.; Yaylı, N. Isolation, characterization, and anticancer activity of secondary metabolites from Verbascum speciosum. Chem. Biol. Drug Des. 2023, 101, 1273–1282. [Google Scholar] [CrossRef]
- Gao, H.; Liu, Z.; Song, F.; Xing, J.; Zheng, Z.; Liu, S. A Strategy for identification and structural characterization of compounds from Plantago asiatica L. by liquid chromatography-mass spectrometry combined with ion mobility spectrometry. Molecules 2022, 27, 4302. [Google Scholar] [CrossRef]
- Kumar, V.; Sood, H.; Sharmaa, M.; Chauhana, R. A proposed biosynthetic pathway of picrosides linked through the detection of biochemical intermediates in the endangered medicinal herb Picrorhiza kurroa. Phytochem. Anal. 2013, 24, 598–602. [Google Scholar] [CrossRef]
- Liu, Z.; Li, X.; Jin, Y.; Nan, T.; Zhao, Y.; Huang, L.; Yuan, Y. New evidence for Artemisia absinthium as an alternative to classical antibiotics: Chemical analysis of phenolic compounds, screening for antimicrobial activity. Int. J. Mol. Sci. 2023, 24, 12044. [Google Scholar] [CrossRef]
- Ramabulana, A.; Steenkamp, P.; Madala, N.; Dubery, I. Profiling of chlorogenic acids from Bidens pilosa and dierentiation of closely related positional isomers with the aid of UHPLC-QTOF-MS/MS-based in-source collision-induced dissociation. Metabolites 2020, 10, 178. [Google Scholar] [CrossRef]
- Chen, F.; Long, X.; Liu, Z.; Shao, H.; Liu, L. Analysis of phenolic acids of Jerusalem artichoke (Helianthus tuberosus L.) responding to salt-stress by liquid chromatography/tandem mass spectrometry. Sci. World J. 2014, 2014, 568043. [Google Scholar] [CrossRef]
- Lai, J.; Lima, Y.; Sua, J.; Shen, H.; Onga, C. Identification and characterization of major flavonoids and caffeoylquinic acids in three Compositae plants by LC/DAD-APCI/MS. J. Chromatogr. B 2017, 848, 215–225. [Google Scholar] [CrossRef]
- Li, Y.; Tang, W.; Chen, J.; Jia, R.; Ma, L.; Wang, S.; Wang, J.; Shen, X.; Chu, Z.; Zhu, C.; et al. Development of marker-free transgenic potato tubers enriched in caffeoylquinic acids and flavonols. J. Agric. Food Chem. 2016, 64, 2932–2940. [Google Scholar] [CrossRef]
- Willems, J.; Khamis, M.; Saeid, W.; Purves, R.; Katselis, G.; Low, N.; El-Aneed, A. Analysis of a series of chlorogenic acid isomers using differential ion mobility and tandem mass spectrometry. Anal. Chim. Acta 2016, 933, 164–174. [Google Scholar] [CrossRef]
- Davis, M.; Mills, H.; Moldoveanu, S. Formation of dihydroxybenzenes in cigarette smoke. Part 1. Contribution from chlorogenic acid and rutin. Contrib. Tob. Res. 2012, 25, 396–408. [Google Scholar] [CrossRef]
- Yang, J.; Yao, L.; Gong, K.; Li, K.; Sun, L.; Cai, W. Identification, and quantification of chlorogenic acids from the root bark of Acanthopanax gracilistylus by UHPLC-Q-exactive Orbitrap mass spectrometry. ACS Omega 2022, 7, 25675–25685. [Google Scholar] [CrossRef]
- Jiang, H.; Chen, J.; Li, X.; Zhong, Y.; Kang, L.; Wang, G.; Yu, M.; Fu, L.; Wang, P.; Xu, H. Systematic identification of chemical components in Fufang shuanghua oral liquid and screening of potential active components against SARS-CoV-2 protease. J. Pharmaceut. Biomed. Anal. 2023, 223, 115118. [Google Scholar] [CrossRef]
- Wang, J.; Dempsey, E.; Corr, S.; Kukula-Koch, W.; Sasse, A.; Heridan, H. The traditional chinese medicine Houttuynia cordata Thunb decoction alters intestinal barrier function via an EGFR dependent MAPK (ERK1/2) signalling pathway. Phytomedicine 2022, 105, 154353. [Google Scholar] [CrossRef]
- Kuhnert, N.; Yassin, G.; Jaiswal, R.; Matei, M.; Gruen, C. Differentiation of prototropic ions in regioisomeric caffeoyl quinic acids by electrospray ion mobility mass spectrometry. Rapid Commun. Mass Spectrom. 2015, 29, 675–680. [Google Scholar] [CrossRef]
- Mattoli, L.; Cangi, F.; Maidecchi, A.; Ghiara, C.; Ragazzi, E.; Tubaro, M.; Stella, L.; Tisato, F.; Traldi, P. Metabolomic fingerprinting of plant extracts. J. Mass Spectrom. 2006, 41, 1534–1545. [Google Scholar] [CrossRef]
- Xie, C.; Yu, K.; Zhong, D.; Yuan, T.; Ye, F.; Jarrell, J.; Millar, A.; Chen, X. Investigation of isomeric transformations of chlorogenic acid in buffers and biological matrixes by ultraperformance liquid chromatography coupled with hybrid quadrupole/ion mobility/orthogonal acceleration time-of-flight mass spectrometry. J. Agric. Food Chem. 2011, 59, 11078–11087. [Google Scholar] [CrossRef]
- Liu, Z.; Ping, Y.; Zhang, L.; Zhang, J.; Van Schepdael, A.; Wang, X. Indoleamine 2,3 dioxygenase 1 immobilization on magnetic nanoparticles for screening inhibitors from coffee. Food Chem. X 2023, 17, 100591. [Google Scholar] [CrossRef]
- Yin, J.; Li, C.; Zhang, J.; Ding, H.; Han, L.; Yang, W.; Li, F.; Song, X.; Bie, S.; Yu, S.; et al. Comprehensive multicomponent characterization and quality assessment of Shuang-Huang-Lian powder injection using ultra-high-performance liquid chromatography-quadrupole time-of-flight-mass spectrometry and ultra-high-performance liquid chromatography-quadrupole-Orbitrap-mass spectrometry. Rapid Commun. Mass Spectrom. 2023, 37, e9479. [Google Scholar]
- Saqib, F.; Wahid, M.; Al-Huqail, A.; Ahmedah, H.; Bigiu, N.; Irimie, M.; Moga, M.; Marc, R.; Pop, O.; Chicea, L. Metabolomics based mechanistic insights to vasorelaxant and cardioprotective effect of ethanolic extract of Citrullus lanatus (Thunb.) Matsum. & Nakai seeds in isoproterenol induced myocardial infraction. Phytomedicine 2022, 100, 154069. [Google Scholar]
- Binsuwaidan, R.; Elekhnawy, E.; Elseady, E.; Keshk, W.; Shoeib, H.; Attallah, N.; Mokhtar, F.; Abd El Hadi, S.; Ahmed, E.; Magdeldin, S.; et al. Antibacterial activity and wound healing potential of Cycas thouarsii R.Br n-butanol fraction in diabetic rats supported with phytochemical profiling. Biomed. Pharmacother. 2022, 155, 113763. [Google Scholar] [CrossRef]
- Ghosh, S.; Lahiri, D.; Nag, M.; Dey, A.; Sarkar, T.; Biswas, R.; Dutta, B.; Mukherjee, D.; Pati, S.; Pattanaik, S.; et al. Analysis of antibiofilm activities of bioactive compounds from honeyweed (Leonurus sibiricus) against P. aeruginosa: An in vitro and in silico approach. Appl. Biochem. Botechnol. 2023, 195, 5312–5328. [Google Scholar] [CrossRef]
- Dizdaroglu, M.; Von Sonntg, C. γ-Radiolyse von Cellobiose in N2O-gesättigter wäßriger Lösung. Teil I. Identifizierung der Produkte. Z. Naturforsch. 1973, 28b, 635–646. [Google Scholar] [CrossRef]
- Dizdaroglu, M.; Henneberg, D.; Schomburg, G.; Von Sonntag, C. Radiation chemistry of carbohydrates, I* γ-Radiolysis of glucose in deoxygenated N2O saturated aqueous solution. Z. Naturforsch. 1975, 30b, 416–425. [Google Scholar] [CrossRef]
- Dizdaroglu, M.; Henneberg, D.; Neuwald, K.; Schomburg, G.; Von Sonntag, C. Radiation Chemistry of Carbohydrates, X* γ-Radiolysis of crystalline D-glucose and D-fructose. Z. Naturforsch. 1977, 32b, 213–224. [Google Scholar] [CrossRef]
- Patras, M.; Davalos, J.; Kuhnert, N. Understanding the fragmentation of glucose in mass spectrometry. J. Mass Spectrom. 2023, 9999, e4972. [Google Scholar] [CrossRef]
- Li, G.; Chen, J.; Yang, Q.; Yang, X.; Wang, P.; Lei, H.; Mi, M.; Ma, Q. Identification of chemical constituents in pomegranate seedsbased on ultra-high-performance supercritical fluidchromatography coupled with quadrupole time-of-flight massspectrometry. Rapid Commun. Mass Spectrom. 2023, 37, e9482. [Google Scholar] [CrossRef]
- Ledesma-Escobar, C.; Priego-Capotea, F.; Luque de Castro, M. Characterization of lemon (Citrus limon) polarextract by liquid chromatography-tandemmass spectrometry in high resolution mode. J. Mass Spectrom. 2015, 50, 1196–1205. [Google Scholar] [CrossRef]
- Calvano, C.; Cataldi, T.; Köge, J.; Monopoli, A.; Palmisano, F.; Sundermeyer, J. Structural characterization of neutral saccharides by negative ion MALDI mass spectrometry using a superbasic proton sponge as deprotonating matrix. J. Am. Soc. Mass Spectrom. 2017, 28, 1666–1675. [Google Scholar] [CrossRef]
- Dommon, B.; Costello, C. A systematic nomenclature for carbohydrate fragmentations in FAB-MS/MS spectra of glycoconjugates. Glycoconj. J. 1988, 5, 397–409. [Google Scholar] [CrossRef]
- Stephens, E.; Maslen, S.; Green, L.; Williams, D. Fragmentation characteristics of neutral N-linked glycans using a MALDI-TOF/TOF tandem mass spectrometer. Anal. Chem. 2004, 76, 2343–2354. [Google Scholar] [CrossRef]
- Spina, E.; Romeo, D.; Impallomeni, E.; Garozzo, D.; Waidelich, D.; Glueckmann, M. New fragmentation mechanisms in matrix-assisted laser desorption/ionization time-of-flight/time-of-flight tandem mass spectrometry of carbohydrates. Rapid Comm. Mass Spectrom. 2004, 18, 392–398. [Google Scholar] [CrossRef]
- Price, E.; Coufalikova, K.; Jbebli, A.; Palat, J.; Koudelka, S.; Klanova, J. RECETOX Metabolome HR-[EI+]-MS library (1.0.0) Zenodo, CERN Data Centre Repository. 2021. Available online: https://zenodo.org/records/5483565 (accessed on 19 July 2023).
- Xue, B.; Ma, B.; Zhang, Q.; Li, X.; Zhu, J.; Liu, M.; Wu, X.; Wang, C.; Wu, Z. Pharmacokinetics and tissue distribution of aucubin, ajugol and catalpol in rats using a validated simultaneous LC-ESI-MS/MS assay. J. Chromatogr. B 2015, 1002, 245–253. [Google Scholar] [CrossRef] [PubMed]
- Anicic, N.; Gasic, U.; Lu, F.; Ciric, A.; Ivanov, M.; Jevtic, B.; Dimitrijevic, D.; Andelkovic, B.; Skoric, M.; Zivkovic, J.; et al. Antimicrobial and immunomodulating activities of two endemic Nepeta species and their major iridoids isolated from natural sources. Pharmaceuticals 2021, 14, 414. [Google Scholar] [CrossRef] [PubMed]
- Guo, W.; Jiang, R.; Xinfeng, X.; Li, J. A simple new method for the determination of ammonium isotopes by gas chromatography-mass spectrometry. Anal. Met. 2021, 13, 4814. [Google Scholar] [CrossRef] [PubMed]
- Haznagy-Radnai, E.; Weber, E.; Czigle, S.; Berkecz, R.; Csedo, K.; Hohmann, J. Identification of iridoids, flavonoids and triterpenes from the methanolic extract of Melampyrum bihariense A. kern and the antioxidant activity of the extract. Chromatographia 2014, 77, 1153–1159. [Google Scholar] [CrossRef]
- Kasiotis, K.; Baira, E.; Iosifidou, S.; Bergele, K.; Manea-Karga, E.; Theologidis, I.; Barmpouni, T.; Tsipi, D.; Machera, K. Characterization of ikaria heather honey by untargeted ultrahigh-performance liquid chromatography-high resolution mass spectrometry metabolomics and melissopalynological analysis. Front. Chem. 2022, 10, 924881. [Google Scholar] [CrossRef] [PubMed]
- Lu, C.; Wang, J.; Fang, D.; Wu, Z.; Zhang, G. Analyses of the iridoid glucoside dimers in Paederia scandens using HPLC-ESI-MS/MS. Phytochem. Anal. 2013, 24, 407–412. [Google Scholar] [CrossRef] [PubMed]
- Wang, Q.; Xing, M.; Chend, W.; Zhang, J.; Qi, H.; Xu, H. HPLC-APCI-MS/MS method for the determination of catalpol in rat plasma and cerebrospinal fluid: Application to an in vivo pharmacokinetic study. J. Pharmaceut. Biomed. Anal. 2012, 70, 337–343. [Google Scholar] [CrossRef]
- Dziwulska-Hunek, A.; Niemczynowicz, A.; Kycia, R.; Matwijczuk, A.; Kornarzynski, K.; Stadnik, J.; Szymanek, M. Stimulation of soy seeds using environmentally friendly magnetic and electric fields. Sci. Rep. 2023, 13, 18085. [Google Scholar] [CrossRef]
- Abou El-Yazied, A.; El-Gizawy, A.; Khalf, S.; El-Satar, A.; Shalaby, O. Effect of magnetic field treatments for seeds and irrigation water as well as N, P and K levels on productivity of tomato plants. J. Appl. Sci. Res. 2012, 8, 2088–2099. [Google Scholar]
- Carbonell, M.; Florez, M.; Martinez, M.; Maqueda, R.; Amaya, J. Study of stationary magnetic fields on initial growth of pea (Pisum sativum L.) seeds. Seed Sci. Technol. 2011, 39, 673–679. [Google Scholar] [CrossRef]
- Radhakrishnan, R.; Kumari, B. Pulsed magnetic field: A contemporary approach offers to enhance plant growth and yield of soybean. Plant Physiol. Biochem. 2012, 51, 139–144. [Google Scholar] [CrossRef]
- Ding, C.; Ye, C.; Zhu, W.; Zeng, G.; Yao, X.; Ouyang, Y.; Rong, J.; Tao, Y.; Liu, X.; Deng, Y. Engineered hydrochar from waste reed straw for peroxymonosulfate activation to degrade quinclorac and improve solanaceae plants growth. J. Environm. Manag. 2023, 347, 119090. [Google Scholar] [CrossRef] [PubMed]
- Swathy, P.; Joshi, M.; Mahato, K.; Muthusamy, A. He-Ne laser irradiation in brinjal leads to metabolic rewiring and accumulation of bioactive components in fruits. Sci. Hortic. 2023, 322, 112400. [Google Scholar] [CrossRef]
- Asgari, G.; Seid-Mohammadi, A.; Shokoohi, R.; Samarghandi, M.R.; Daigger, G.T.; Malekolkalami, B.; Khoshniyat, R. Exposure of the static magnetic fields on the microbial growth rate and the sludge properties in the complete-mix activated sludge process (a Lab-scale study). Microb. Cell Fac. 2023, 22, 195. [Google Scholar] [CrossRef] [PubMed]
- Yang, R.; Shi, Q.; Huang, T.; Yan, Y.; Li, S.; Fang, Y.; Li, Y.; Liu, L.; Liu, L.; Wang, X.; et al. The natural pyrazolotriazine pseudoiodinine from Pseudomonas mosselii 923 inhibits plant bacterial and fungal pathogens. Nat. Commun. 2023, 14, 734. [Google Scholar] [CrossRef] [PubMed]
- Smolen, S.; Skoczylas, L.; Ledwozyw-Smolen, I.; Rakoczy, R.; Liszka-Skoczylas, M.; Kopec, A.; Piatkowska, E.; Biezanowska-Kopec, R.; Koronowicz, A.; Kapusta-Duch, J.; et al. The quality of carrot (Daucus carota L.) cultivated in the field depending on iodine and selenium fertilization. Folia Hortic. 2016, 28/2, 151–164. [Google Scholar] [CrossRef]
- Rrozek, S.; Leja, M.; Wojciechowska, R. Effect of differentiated nitrogen fertilization on changes of certain compounds in stored carrot roots. Folia Hortic. 2000, 12, 21–34. [Google Scholar]
- Sady, W.; Cebulak, T. The effect of irrigation and cultivation methods on some mineral compounds in storage roots of the carrot. Folia Hortic. 2000, 12, 35–41. [Google Scholar]
- Cebulak, T.; Sady, W. Effect of cultivation methods on nutritive compounds in the carrot. Folia Hortic. 2000, 12, 77–84. [Google Scholar]
- Smolen, S.; Sady, W.; Wiezbinsk, J. The effect of various nitrogen fertilization regimes on the concentration of the thirty three elements in carrot (Daucus carota L.) storage roots. Veg. Crops Res. Bull. 2011, 74, 61–76. [Google Scholar] [CrossRef]
- Cebulak, T.; Oszmiański, J.; Kapusta, I.; Lachowicz, S. Effect of abiotic stress factors on polyphenolic content in the skin and flesh of pear by UPLC-PDA-Q/TOF-MS. Eur. Food Res. Technol. 2019, 245, 2715–2725. [Google Scholar] [CrossRef]
- Oszmianski, J.; Lachowicz, S.; Gławdel, E.; Cebulak, T.; Ochmian, I. Determination of phytochemical composition and antioxidant capacity of 22 old apple cultivars grown in Poland. Eur. Food Res. Technol. 2018, 244, 647–662. [Google Scholar] [CrossRef]
- Betlej, I.; Andres, B.; Cebulak, T.; Kapusta, I.; Balawejder, B.; Jaworski, S.; Lange, A.; Kutwin, M.; Pisulewska, E.; Kidacka, A.; et al. Antimicrobial properties and assessment of the content of bioactive compounds Lavandula angustifolia Mill. cultivated in southern Poland. Molecules 2023, 28, 6416. [Google Scholar] [CrossRef] [PubMed]
- Oszmianski, J.; Lachowicz, S.; Nowicka, P.; Rubinski, P.; Cebulak, T. Evaluation of innovative dried puree from Jerusalem artichoke—In vitro studies of its physicochemical and health-promoting properties. Molecules 2021, 26, 264. [Google Scholar] [CrossRef] [PubMed]
- Pokajewicz, K.; Czarniecka-Wiera, M.; Krajewska, A.; Maciejczyk, E.; Wieczorek, P. Lavandula intermedia—A bastard Lavender or a plant of many values? Part I. Biology and chemical composition of Lavandin. Molecules 2023, 28, 2943. [Google Scholar] [CrossRef] [PubMed]
- Stryjecka, M.; Krochmal-Marczak, B.; Cebulak, T.; Kieltyka-Dadasiewicz, A. Assessment of phenolic acid content and antioxidant properties of the pulp of five pumpkin species cultivated in southeastern Poland. Int. J. Mol. Sci. 2023, 24, 8621. [Google Scholar] [CrossRef] [PubMed]
- Abou El-Nasr, M.; El-Hennawy, H.; El-Kereamy, A.; Abou El-Yazied, A.; Salah Eldin, T. Effect of magnetite nanoparticles (Fe3O4) as nutritive supplement on pear saplings. Mid. East J. Appl. Sci. 2015, 05, 777–785. [Google Scholar]
- Murashige, T.; Skoog, F. A revised medium for rapid growth and bio assays with tobacco tissue cultures. Plant Physiol. 1962, 15, 473–497. [Google Scholar] [CrossRef]
- Bergman, N.; Shenchenko, D.; Bergquist, J. Approaches for the analysis of low molecular weight compounds with laser desorption/ionization techniques and mass-spectrometry. Anal. Bioanal, Chem. 2014, 406, 49–61. [Google Scholar] [CrossRef] [PubMed]
- Engel, B.; Suralik, P.; Marchetti-Deschmann, M. Critical considerations for trimethylsilyl derivatives of 24 primary metabolites measured by gas chromatography-tandem mass spectrometry. Sep. Sci. Plus 2020, 32, 407–418. [Google Scholar] [CrossRef]
- Koek, M.; Muilwijk, B.; Van der Werf, M.; Hankemeier, T. Microbial metabolomics with gas chromatography/mass spectrometry. Anal. Chem. 2006, 78, 1272–1281. [Google Scholar] [CrossRef]
- Chan, E.; Pasikanti, K.; Hong, Y.; Ho, P.; Mahendran, R.; Mani, L.; Chiong, E.; Esuvaranathan, K. Metabonomic profiling of bladder cancer. J. Proteome Res. 2015, 14, 587–602. [Google Scholar] [CrossRef] [PubMed]
- Pasikanti, K.; Ho, P.; Chan, E. Gas chromatography/mass spectrometry in metabolic profiling of biological fluids. J. Chromatogr. B 2008, 871, 202–211. [Google Scholar] [CrossRef] [PubMed]
- Xia, Y.; Sun, H.; Wang, T.; Liang, J.; Yang, B.; Kuang, H. A modified GC-MS analytical procedure for separation and detection of multiple classes of carbohydrates. Molecules 2018, 23, 1284. [Google Scholar] [CrossRef] [PubMed]
- Zarate, E.; Boyle, V.; Rupprecht, U.; Green, S.; Villas-Boas, S.; Baker, P.; Pinu, F. Fully automated trimethylsilyl (TMS) derivatisation protocol for metabolite profiling by GC-MS. Metabolites 2017, 7, 1. [Google Scholar] [CrossRef] [PubMed]
- Xiayan, L.; Legido-Quigley, C. Advances in separation science applied to metabonomics. Electrophoresis 2008, 29, 3724–3736. [Google Scholar] [CrossRef]
- Lenz, E.; Wilson, I. Analytical strategies in metabonomics. J. Proteome Res. 2007, 6, 443–458. [Google Scholar] [CrossRef]
- Dunn, W.; Ellis, D. Metabolomics: Current analytical platforms and methodologies. Trends Anal. Chem. 2005, 24, 285–294. [Google Scholar]
- Dunn, W.; Bailey, N.; Johnson, H. Measuring the metabolome: Current analytical technologies. Analyst 2005, 130, 606–625. [Google Scholar] [CrossRef]
- Ivanova, B. 3D Structural Analysis of Alanyl-Containing Peptides of Silac-Proteomics—An Approach to Stochastic Dynamics. SSRN Electron. J. 2023. [Google Scholar] [CrossRef]
- Frisch, M.; Trucks, G.; Schlegel, H.; Scuseria, G.; Robb, M.; Cheeseman, J.; Montgomery, J., Jr.; Vreven, T.; Kudin, K.; Burant, J.; et al. Gaussian 98; Gaussian, Inc.: Pittsburgh, PA, USA, 1998. [Google Scholar]
- Dalton2011 Program Package. Available online: http://www.daltonprogram.org/download.html (accessed on 5 April 1997).
- Gordon, M.; Schmidt, M. Advances in electronic structure theory: GAMESS a decade later. In Theory and Applications of Computational Chemistry: The First Forty Years; Dykstra, C., Frenking, G., Kim, K., Scuseria, G., Eds.; Elsevier: Amsterdam, The Netherlands, 2005; pp. 1167–1189. [Google Scholar]
- GausView03 Program Package. Available online: www.gaussian.com/g_prod/gv5.htm (accessed on 17 February 2003).
- Zhao, Y.; Truhlar, D. Density functionals with broad applicability in chemistry. Accts. Chem. Res. 2008, 41, 157–167. [Google Scholar] [CrossRef] [PubMed]
- Zhao, Y.; Truhlar, D. The M06 suite of density functionals for main group thermochemistry, thermochemical kinetics, noncovalent interactions, excited states, and transition elements: Two new functionals and systematic testing of four M06–class functionals and 12 other functionals. Theor. Chem. Acc. 2008, 120, 215–241. [Google Scholar]
- Hay, P.; Wadt, W. Ab initio effective core potentials for molecular calculations: Potentials for K to Au including the outermost core orbitals. J. Chem. Phys. 1985, 82, 299. [Google Scholar] [CrossRef]
- Burkert, U.; Allinger, L. Molecular Mechanics in ACS Monograph 177; American Chemical Society: Washington, DC, USA, 1982; pp. 1–339. [Google Scholar]
- Allinger, L. Conformational analysis. 130. MM2. A hydrocarbon force field utilizing V1 and V2 torsional terms. J. Am. Chem. Soc. 1977, 99, 8127–8134. [Google Scholar] [CrossRef]
- Demissie, T. Relativistic effects on the NMR parameters of Si, Ge, Sn, and Pb alkynyl compounds: Scalar versus spin-orbit effects. J. Chem. Phys. 2017, 147, 174301. [Google Scholar] [CrossRef] [PubMed]
- Jakubowska, K.; Pecul, M.; Ruud, K. Relativistic four-component DFT calculations of vibrational frequencies. J. Phys. Chem. A 2021, 125, 10315–10320. [Google Scholar] [CrossRef]
- Malkin, E.; Malkin, I.; Malkina, O.; Malkin, V.; Kaupp, M. Scalar relativistic calculations of hyperfine coupling tensors using the Douglas-Kroll-Hess method with a finite-size nucleus model. Phys. Chem. Chem. Phys. 2006, 2006, 4079–4085. [Google Scholar] [CrossRef]
- Li, Y.; Zhao, Y.; Zhang, Y.; Wanga, M.; Sun, W. X-ray crystal structure of iridoid glucoside aucubin and its aglycone. Carbohydr. Res. 2009, 344, 2270–2273. [Google Scholar] [CrossRef]
- Kelley, C. Iterative Methods for Optimization, SIAM Front. Appl. Math. 2009, 1–180. [Google Scholar]
- Otto, M. Chemometrics, 3rd ed.; Wiley: Weinheim, Germany, 2017; pp. 1–383. [Google Scholar]
- Apache OpenOffice. Available online: http://de.openoffice.org (accessed on 30 August 2022).
- Madsen, K.; Nielsen, H.; Tingleff, T. Informatics and Mathematical Modelling, 2nd ed.; DTU Press: Kongens Lyngby, Denmark, 2004. [Google Scholar]
- Miller, J.; Miller, J. Statistics and Chemometrics for Analytical Chemistry; Pentice Hall: London, UK, 1988; pp. 1–271. [Google Scholar]
- Taylor, J. Quality Assurance of Chemical Measurements; Lewis Publishers, Inc.: Chelsea, MI, USA, 1987; pp. 1–328. [Google Scholar]
- Sesterhenn, K. Synthese von Iridoidglykosiden in Pflanzen und Gewebekulturen. Ph.D. Dissertation, University of Heidelberg, Heidelberg, Germany, 2006. [Google Scholar]






| N | RT; min | Connections |
|---|---|---|
| Organic acids | ||
| 1 | 9:37 | Thioglycolic acid |
| 2 | 10:23 | Fumaric acid |
| 3 | 10:24 | Lactic acid |
| 4 | 10:32 | Acetic acid |
| 5 | 10:39 | Mercaptoacetic acid |
| 6 | 11:34 | Acetimidic acid |
| 7 | 11:52 | Allylacetic acid |
| 8 | 12:28 | Propanedioc acid |
| 9 | 13:09 | DL-malic (butanedioic) acid |
| 10 | 13:19 | Gluconic acid |
| 11 | 14:26 | Itaconic acid |
| 12 | 14:30 | Propanoic acid |
| 13 | 14:58 | Erythronic acid |
| 14 | 14:59 | Malonic acid |
| 15 | 15:03 | Succinic acid |
| 16 | 15:09 | Pentonic acid |
| 17 | 16:33 | Malic acid |
| 18 | 16:56 | Aspartic acid |
| 19 | 16:59 | Isocitric asid lactone |
| 20 | 17:09 | Monoamidoethylmalonic acid |
| 21 | 17:51 | Pentanoic acid |
| 22 | 17:59 | Erythro-pentonic acid |
| 23 | 16:31 | Succinic anhydride |
| 24 | 18:06 | Glutamic acid |
| 25 | 18:12 | Monoamidoethylmalonic acid |
| 26 | 20:13 | Schikimic acid |
| 27 | 20:26 | Citric acid |
| 28 | 21:06 | Quinic acid |
| 29 | 21:18 | Altronic acid |
| 30 | 21:49 | Acrylic acid |
| 31 | 23:23 | Coffeic acid |
| 32 | 28:43 | Galactaric acid |
| Phenolic compounds | ||
| 33 | 19:37 | Benzoic acid |
| 34 | 19:48 | Cinnamic acid |
| 35 | 21:05 | Quinic acid |
| 36 | 22:53 | Ferulic acid |
| 37 | 40:50 | Chlorogenic acid |
| Fatty acids | ||
| 38 | 21:15 | Hexadecanoic acid |
| Carbohydrates (CBs) | ||
| 39 | 17:02 | Erythritol |
| 40 | 18:19 | Xylonic acid |
| 41 | 18:36 | D-(−)-Ribofuranose |
| 42 | 19:22 | D-Xylopyranose |
| 43 | 19:26 | D-Galactose |
| 44 | 19:43 | Gluconic acid, γ-lacton |
| 45 | 19:43 | L-(−)-Arabitol |
| 46 | 19:43 | Ribitol |
| 47 | 20:11 | D-(−)Tagatofuranose |
| 48 | 20:36 | D-(−)-Fructofuranose |
| 49 | 20:51 | D-(−)-Fructopyranose |
| 50 | 20:51 | 1.5-Anhydroglucitol |
| 51 | 20:53 | Levoglucosan |
| 52 | 21:01 | Psicopyranose |
| 53 | 21:13 | Methylgalactoside |
| 54 | 21:22 | β-DL-arabinopyranose |
| 55 | 21:17 | Glyceryl-glycoside |
| 56 | 21:31 | Lactulose |
| 57 | 21:32 | Allopyranose |
| 58 | 21:51 | Inositol |
| 59 | 22:03 | Sorbitol |
| 60 | 22:15 | Allofuranose |
| 61 | 22:17 | β-D-Glucopyranose |
| 62 | 22:26 | Fructose |
| 63 | 22:28 | Talofuranose |
| 64 | 23:13 | D-Galacturonic acid |
| 65 | 24:03 | Hexopyranose |
| 66 | 24:15 | Lactose |
| 67 | 30:03 | Lactose |
| 68 | 30:48 | D-(+)-Turanose |
| 69 | 31:02 | Furanose |
| 70 | 34:25 | Dioxyfructose |
| 71 | 35:55 | Maltose |
| 72 | 37:08 | D-(+)-Cellobiose |
| Aminosugars | ||
| 73 | 19:22 | N-acetil-glucosamin |
| Amino acids and their derivatives | ||
| 74 | 12:06 | L-Leucine |
| 75 | 12.53 | L-Norvaline |
| 76 | 14:48 | Uracil-5-carboxylate decarboxylase |
| 77 | 15:08 | 6-Azauracil |
| 78 | 15:23 | L-Treonin |
| 79 | 16:48 | L-Proline |
| 80 | 17:20 | Citrullin |
| Other connections | ||
| 81 | 12:51 | Urea |
| 82 | 13:43 | Glycerol |
| 83 | 13:50 | Clycerol |
| 84 | 16:00 | 2-Piperidone |
| 85 | 17:41 | Pirimidine |
| 86 | 21:40 | Octadecanamide |
| 87 | 23:31 | Myo-inositol |
| 88 | 26:70 | Glycerylglicoside |
| 89 | 31:29 | Aukubin |
| Metabolite | In Total | Number of Metabolites after Magnetic-Pulse Treatment | |
|---|---|---|---|
| t ≥ 3 h | t ≥ 72 h | ||
| Organic acids | 32 | 27 | 15 |
| Carbohydrates | 34 | 29 | 12 |
| Amino acids and their derivatives | 7 | 7 | 0 |
| Phenolic compounds | 5 | 3 | 3 |
| Fatty acids | 1 | 0 | 1 |
| Aminosugars | 1 | 1 | 0 |
| Intensity data on carbohydrates (A) and (B) | |||||
| Dataset | N | Mean | sd(yEr±) | se(yEr±) | |
| Data1_CBA | 10 | 22.69459 | 30.22574 | 9.55822 | |
| Data1_CBB | 16 | 18.47876 | 24.44037 | 6.11009 | |
| H0: The means of all selected datasets are equal | |||||
| H1: The means of one or more of the selected datasets are different | |||||
| Source | DoF | Sum of square | Mean square | F value | P value |
| Model | 1 | 109.373548 | 109.373548 | 0.15277 | 0.69935 |
| Error | 24 | 17182.313 | 715.930471 | ||
| At the 0.05 level, the population means are not significantly different | |||||
| Means Comparison using the Bonferroni Test | |||||
| Dataset | Mean | Difference between means | Simultaneous Confidence Intervals | Significant at 0.05 Level | |
| Data1_CBA | 22.69459 | Lower Limit | Upper Limit | ||
| Data1_CBB | 18.47876 | 4.21583 | −18.04547 | 26.47712 | No |
| Data on m/z of carbohydrates (A) and (B) | |||||
| Dataset | N | Mean | sd(yEr±) | se(yEr±) | |
| Data1_CBA | 10 | 221.2 | 237.09623 | 74.97641 | |
| Data1_CBB | 16 | 201.875 | 97.17261 | 24.29315 | |
| H0: The means of all selected datasets are equal | |||||
| H1: The means of one or more of the selected datasets are different | |||||
| Source | DoF | Sum of square | Mean square | F value | p value |
| Model | 1 | 2298.18846 | 2298.18846 | 0.08517 | 0.77291 |
| Error | 24 | 647,569.350 | 26,982.0562 | ||
| At the 0.05 level, the population means are not significantly different | |||||
| Means Comparison using the Bonferroni Test | |||||
| Dataset | Mean | Difference between means | Simultaneous Confidence Intervals | Significant at 0.05 Level | |
| Data1_CBA | 221.2 | Lower Limit | Upper Limit | ||
| Data1_CBB | 201.875 | 19.325 | −117.3385 | 155.9885 | No |
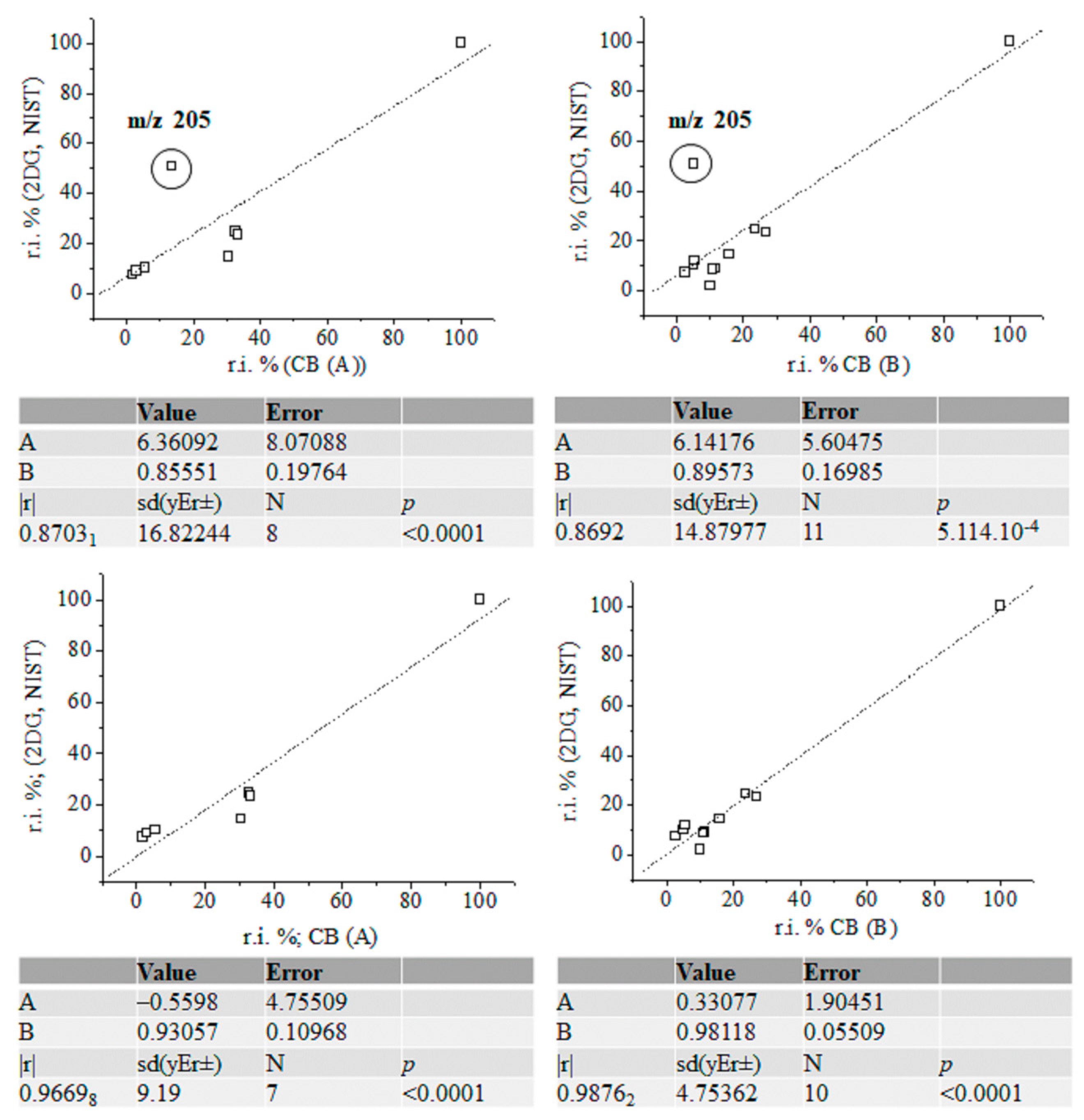
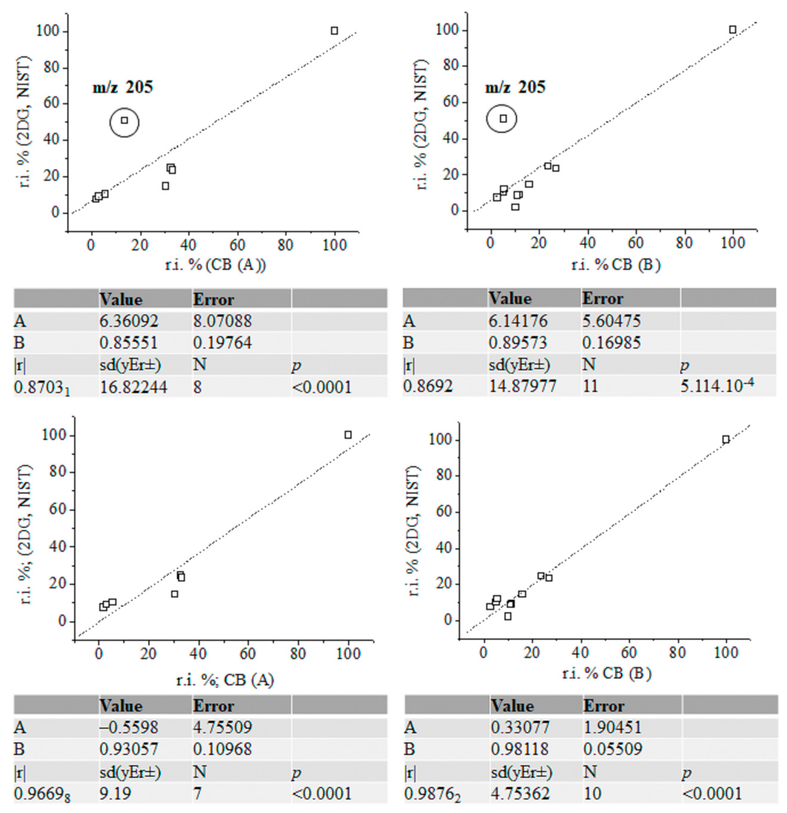
| m/z | ITheor.SD | r.i. [%] | |||
|---|---|---|---|---|---|
| CB (A) | CB (B) | 4DG | 2DG | ||
| 45 | 1.11 × 10−7 | 2.006 | 2.717 | 8.397 | 6.97 |
| 73 | 4.72 × 10−12 | 100.00 | 100.00 | 100.00 | 100.00 |
| 103 | 1.91 × 10−7 | 30.502 | 15.838 | 8.058 | 13.69 |
| 147 | 3.22 × 10−8 | 32.756 | 23.587 | 28.434 | 23.89 |
| 205 | 1.33 × 10−7 | 13.584 | 5.31 | - | - |
| 361 | 1.24 × 10−8 | - | 45.68 | - | - |
| Frequency range of the scanning of unidirectional and multidirectional magnetic induction pulses (Hz) | 0.10–150.00 | |
| Increase time of magnetic induction pulses (ms) | ≤0.2 | |
| Decrease time of magnetic induction pulses (ms) | ≤3.0 | |
| Duration of magnetic induction pulses at the 0.5 level of maximum amplitude (ms) | ≤1.5 | |
| Magnetic induction pulse amplitude at frequency 20 Hz and the distance from the inductor surface PSI-1 (10–400 mm) along its central axis: | 1. Without light pulse source (mTI) | 11.0–0.25 |
| 2. With light pulse source (mTI) | 9.0–0.20 | |
| Exposure time (s) | 10–1800 | |
| Working area of inductor PSI-1 (cm2) | 1800 | |
| Power supply source—220 V, 50 Hz | ||
| Continuous operation time (h) | 0 | |
| Maximum power consumption for lower and upper values of magnetic induction pulse frequency range (V–A) | 20 and 120 | |
Disclaimer/Publisher’s Note: The statements, opinions and data contained in all publications are solely those of the individual author(s) and contributor(s) and not of MDPI and/or the editor(s). MDPI and/or the editor(s) disclaim responsibility for any injury to people or property resulting from any ideas, methods, instructions or products referred to in the content. |
© 2023 by the authors. Licensee MDPI, Basel, Switzerland. This article is an open access article distributed under the terms and conditions of the Creative Commons Attribution (CC BY) license (https://creativecommons.org/licenses/by/4.0/).
Share and Cite
Upadyshev, M.; Ivanova, B.; Motyleva, S. Mass Spectrometric Identification of Metabolites after Magnetic-Pulse Treatment of Infected Pyrus communis L. Microplants. Int. J. Mol. Sci. 2023, 24, 16776. https://doi.org/10.3390/ijms242316776
Upadyshev M, Ivanova B, Motyleva S. Mass Spectrometric Identification of Metabolites after Magnetic-Pulse Treatment of Infected Pyrus communis L. Microplants. International Journal of Molecular Sciences. 2023; 24(23):16776. https://doi.org/10.3390/ijms242316776
Chicago/Turabian StyleUpadyshev, Mikhail, Bojidarka Ivanova, and Svetlana Motyleva. 2023. "Mass Spectrometric Identification of Metabolites after Magnetic-Pulse Treatment of Infected Pyrus communis L. Microplants" International Journal of Molecular Sciences 24, no. 23: 16776. https://doi.org/10.3390/ijms242316776
APA StyleUpadyshev, M., Ivanova, B., & Motyleva, S. (2023). Mass Spectrometric Identification of Metabolites after Magnetic-Pulse Treatment of Infected Pyrus communis L. Microplants. International Journal of Molecular Sciences, 24(23), 16776. https://doi.org/10.3390/ijms242316776

