Next Article in Journal
Inhibition of Macrophage-Specific CHIT1 as an Approach to Treat Airway Remodeling in Severe Asthma
Previous Article in Journal
Depolarization and Hyperexcitability of Cortical Motor Neurons after Spinal Cord Injury Associates with Reduced HCN Channel Activity
 
 
Font Type:
Arial Georgia Verdana
Font Size:
Aa Aa Aa
Line Spacing:
Column Width:
Background:
Article

Dietary Leucine Improves Fish Intestinal Barrier Function by Increasing Humoral Immunity, Antioxidant Capacity, and Tight Junction

1
College of Animal Science and Technology, Sichuan Agricultural University, Chengdu 611130, China
2
Animal Nutrition Institute, Sichuan Agricultural University, Chengdu 611130, China
3
Fish Nutrition and Safety Production University Key Laboratory of Sichuan Province, Sichuan Agricultural University, Yaan 625014, China
*
Author to whom correspondence should be addressed.
These authors contributed equally to this manuscript.
Int. J. Mol. Sci. 2023, 24(5), 4716; https://doi.org/10.3390/ijms24054716
Submission received: 4 November 2022 / Revised: 13 February 2023 / Accepted: 24 February 2023 / Published: 1 March 2023
(This article belongs to the Section Molecular Immunology)

Abstract

This study attempted to evaluate the possible impact and mechanism of leucine (Leu) on fish intestinal barrier function. One hundred and five hybrid Pelteobagrus vachelli ♀ × Leiocassis longirostris ♂ catfish were fed with six diets in graded levels of Leu 10.0 (control group), 15.0, 20.0, 25.0, 30.0, 35.0, and 40.0 g/kg diet for 56 days. Results showed that the intestinal activities of LZM, ACP, and AKP and contents of C3, C4, and IgM had positive linear and/or quadratic responses to dietary Leu levels. The mRNA expressions of itnl1, itnl2, c-LZM, g-LZM, and β-defensin increased linearly and/or quadratically (p < 0.05). The ROS, PC, and MDA contents had a negative linear and/or quadratic response, but GSH content and ASA, AHR, T-SOD, and GR activities had positive quadratic responses to dietary Leu levels (p < 0.05). No significant differences on the CAT and GPX activities were detected among treatments (p > 0.05). Increasing dietary Leu level linearly and/or quadratically increased the mRNA expressions of CuZnSOD, CAT, and GPX1α. The GST mRNA expression decreased linearly while the GCLC and Nrf2 mRNA expressions were not significantly affected by different dietary Leu levels. The Nrf2 protein level quadratically increased, whereas the Keap1 mRNA expression and protein level decreased quadratically (p < 0.05). The translational levels of ZO-1 and occludin increased linearly. No significant differences were indicated in Claudin-2 mRNA expression and protein level. The transcriptional levels of Beclin1, ULK1b, ATG5, ATG7, ATG9a, ATG4b, LC3b, and P62 and translational levels of ULK1, LC3Ⅱ/Ⅰ, and P62 linearly and quadratically decreased. The Beclin1 protein level was quadratically decreased with increasing dietary Leu levels. These results suggested that dietary Leu could improve fish intestinal barrier function by increasing humoral immunity, antioxidative capacities, and tight junction protein levels.

1. Introduction

The intestine plays an important role in nutrient absorption and it is a key immunological barrier and physical barrier to the entry of harmful substances [1]. Amino acids play an important regulating role in intestinal barrier function [2]. Leucine (Leu) is one of the branched-chain amino acids, which are essential for human, fish, and other animal species [3,4]. Supplementation of dietary Leu or providing a Leu-rich diet will increase the protein accretion in tissues [3,5]. Yellow catfish (Pelteobagrus fulvidraco) is a common and commercially significant freshwater fish species raised in China. Hybrid catfish have been developed in recent years via breeding female Pelteobagrus vachelli and male Leiocassis longirostris. The hybrid catfish showed improved traits compared to their parents such as better growth performance and hypoxia tolerance [6]. Previous reports mainly focused on lipid accumulation, oxidative stress [7], disease resistance [8], and water temperature and stocking density [6]. Our earlier research determined optimal dietary tryptophan [9], threonine [10], and isoleucine [11] levels. In our previous study, the Leu requirement of hybrid catfish (23.19–54.55 g) for percent weight gain was estimated to be 28.10 g/kg of the diet (73.04 g/kg of dietary protein) based on the broken-line model [12]. However, no study has investigated the effect of Leu on intestinal barrier function in this fish.
The intestinal immune barrier in fish is an important component of the intestinal barrier [13], which is maintained via humoral immune factors, such as lysozyme (LZM) [14,15,16], acid phosphatase (ACP), alkaline phosphatase (AKP) [11], complements (C3 and C4), immunoglobulin M (IgM) [17,18], and antimicrobial peptides (hepcidin and β-defensin) [11,19]. Previous studies have reported that Leu increased LZM activity and C3 and C4 contents in the intestine of juvenile golden pompano (Trachinotus ovatus) [20], and C3 and IgM contents in the liver of juvenile blunt snout bream (Megalobrama amblycephala) [21]. These data suggested that dietary Leu could enhance the intestinal immune barrier through increased humoral immunity. However, little research has focused on the influence of Leu on the intestinal immune barrier in hybrid catfish, which deserves further investigation.
The reactive oxygen species (ROS) frequently found to metabolic production and fodder environments [22,23], increase the chance of oxidative damage and disturbed intestinal physical barrier function [24]. Antioxidant capacity is important for maintaining intestinal physical barrier function [13]. Fish intestinal antioxidant capacity is improved with increasing antioxidant enzymes activities, non-enzymatic antioxidant content, and up-regulating gene expressions of antioxidant enzymes [25]. The Nrf2/Keap1 signaling pathway is a fundamental signaling pathway responsible for regulating gene expressions of antioxidant enzymes [26]. Previous studies have indicated that Leu enhanced antioxidant enzyme activities and non-enzymatic antioxidant content through improving corresponding antioxidant gene expressions via the Nrf2/Keap1 signaling pathway in liver of the juvenile blunt snout bream [21] and intestine of young grass carp (Ctenopharyngodon idella) [27]. However, it is still unclear what impact Leu has on the intestinal antioxidant capacity of hybrid catfish.
Tight junctions (TJs) play an important role in paracellular barrier functions. TJs comprise transmembrane proteins, such as occludin and Claudins, and intracellular plaque proteins, such as ZO-1 [28]. The impairment of intestinal TJ protein expression leads to the disruption of paracellular barrier function [29]. A previous study indicated that optimal dietary Leu increases the mRNA levels of occludin and ZO-1 in the intestine of grass carp [30]. Leu significantly enhanced protein levels of occludin in human colon carcinoma cell line LS174T [31] and increased the Claudin-2 protein level in human Caco2 BBe cells [32]. These up-to-date data suggested that Leu may enhance intestinal TJs by promoting protein expression of TJs via increasing their mRNA levels. Previous studies indicated that autophagy inhibition can significantly increase the protein level of occludin in mouse brain endothelial cells [33] and the protein level of ZO-1 rat brain microvascular endothelial cells [34]. A limited study indicated that Leu inhibits autophagy in zebrafish sperm [35]. However, whether Leu is involved in regulating intestinal TJs by inhibiting autophagy merits further investigation.
Therefore, the objectives of the present study are to investigate the possible impacts and potential mechanisms of dietary Leu on the intestinal barrier function in hybrid catfish. These results may provide a partial theoretical basis to reveal the potential regulatory approach for intestinal barrier function by Leu in fish.

2. Results

2.1. The Humoral Immune-Related Parameters in Intestine

The orthogonal polynomial contrasts showed that there were significant interactions of intestinal LZM, ACP and AKP activities, and C3, C4, and IgM contents, with graded dietary Leu levels (Table 1). The increasing Leu levels led to significant linear and quadratic increases in intestinal LZM, ACP, and AKP activities and C4 content (p < 0.05). With increasing dietary Leu level, the C3 content increased linearly (p < 0.05). The IgM content increased quadratically (p < 0.05). The itnl1, itnl2, c-LZM, and g-LZM mRNA expression increased linearly and quadratically (Figure 1A–D, p < 0.05). The β-defensin mRNA expression increased quadratically with increasing dietary Leu levels (Figure 1E, p < 0.05). The above results suggested that dietary Leu enhanced the intestinal immune barrier by increasing humoral immune-related parameter expression.

2.2. Antioxidant-Related Parameters in Intestine

The orthogonal polynomial contrasts showed that there were significant interactions of intestinal PC, MDA, ROS, and GSH contents, and ASA, AHR, T-SOD, CAT, GPX, GST, and GR activities, with graded dietary Leu levels (Table 2). The ROS, PC, and MDA contents were linearly and/or quadratically decreased with increasing dietary Leu levels (p < 0.05). No significant differences in the CAT and GPX activities were detected among treatments (p > 0.05). Increasing dietary Leu levels quadratically increased the GSH content, and ASA, AHR, T-SOD, and GR activities (p < 0.05). The GST activity was linearly increased with increasing dietary Leu levels (p < 0.05).
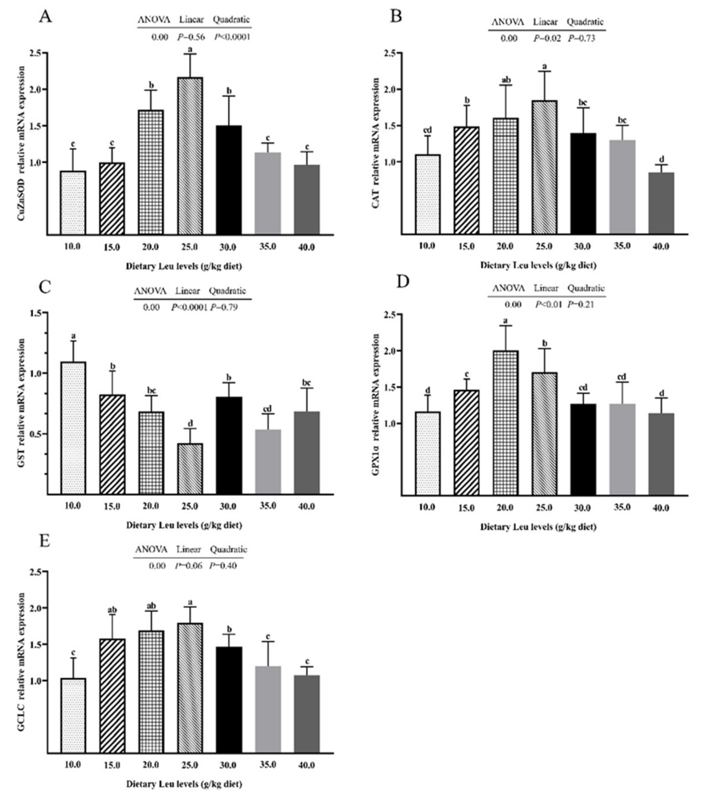
The CuZnSOD mRNA expression increased quadratically (Figure 2A, p < 0.05). With increasing dietary Leu levels, the CAT and GPX1α mRNA expressions increased linearly (Figure 2B,D, p < 0.05). The GST mRNA expression decreased linearly (Figure 2C, p < 0.05). The GCLC and Nrf2 mRNA expressions were not significantly affected by different dietary Leu levels (Figure 2E,F, p > 0.05). The Nrf2 protein level quadratically increased (Figure 2H, p < 0.05). With increasing dietary Leu level, Keap1 mRNA expression and protein level decreased quadratically (Figure 2G,I, p < 0.05). The results demonstrated that dietary Leu increased antioxidant gene expression via the Nrf2/Keap1 signaling pathway.

2.3. Tight Junction Protein and Autophagy-Related Parameters in Intestine

Immunochemistry analysis of TJ proteins, occludin, and ZO-1 showed that they were highly expressed in the fish fed the 25.0 g Leu/kg diet (Figure 3A). There was a linear and quadratic effect of dietary Leu levels on occludin mRNA expression (Figure 3B, p < 0.05). With increasing dietary Leu level, ZO-1 mRNA expression and protein level and occludin protein level significantly increased quadratically (Figure 3C–E, p < 0.05). Dietary Leu levels had no significant difference on Claudin-2 mRNA expressions and protein level (Figure 3F,G, p > 0.05). The orthogonal polynomial contrasts showed that the increasing Leu levels linearly and quadratically decreased the Beclin1, ULK1b, ATG5, ATG7, ATG9a, ATG4b, and LC3b mRNA expressions and ULK1 and LC3II/I protein levels, and linearly and quadratically significantly increased mRNA expression and protein level of P62 (Figure 4A,B,D–L, p < 0.05). The Beclin1 protein level was quadratically decreased with increasing dietary Leu levels (Figure 4C, p < 0.05). These results suggested that dietary Leu improved intestinal TJ function via up-regulating occludin and ZO-1 expressions and down-regulating autophagy-related parameter expressions.

3. Discussion

3.1. Dietary Leu Improved Immune Barrier Function in the Intestine of Fish

The immune function of the intestine is also an important element of the intestinal barrier [11]. Immune parameters such as immune-related enzymes (LZM and ACP), complement, and immune globulin have been regarded as crucial tools for investigating the intestinal immune barrier in fish [36,37]. LZM, as a first barrier against microbial invasion, participates in the innate immune response in fish [38,39,40,41]. ACP and AKP, important hydrolytic enzymes in lysosomes, have a beneficial effect on defense of the body against foreign pathogens and microorganism invasion [42]. The central components of the complement system mainly include C3 and C4, which play an essential role in alerting about potential pathogens in the host [43]. IgM has been well characterized in fish and seems to be specialized in systemic immunity [44]. The present study therefore further detected the effect of humoral immunity in hybrid catfish intestine and found the activities of LZM, ACP, and AKP and C3, C4, and IgM contents had positive linear and/or quadratic responses to dietary Leu levels. These results were in agreement with previous findings in the intestine of grass carp [30], and head kidney of Labeo rohita fingerlings [45]. Intelectin is a glycan-binding lectin, and it plays a major role in bacterial agglutination and binding capacity, as well as polysaccharide recognition in blunt snout bream [46]. The LZM activity was regulated by c-type and g-type LZM, which catalyzed the hydrolysis of bacterial cell walls [11,47]. β-defensins have been considered as a major class of antibacterial peptides, which have significant effect on congenital immunity of bony fish against bacteria [48,49]. In the present study, the itnl1, itnl2, c-LZM, g-LZM, and β-defensin mRNA expression had a positive linear and/or quadratic response in the intestine of hybrid catfish. These results are parallel to the previous studies showing that Leu dramatically improved mRNA expression of β-defensin in the intestine of weaned piglets and IPEC-J2 [50]. These results implied that dietary Leu exerts a positive effect on intestinal immune barrier function in hybrid catfish. A fish’s intestinal microbiota is essential to the host because it controls metabolic function, pathogen resistance, immunological activity, and feed conversion [51,52]. Previous research indicates that the intestinal microbiota may act as a mediating factor in the positive effect of dietary Leu supplementation on intestinal health of mice [53]. It is also unknown whether dietary Leu regulates the function of the intestinal immune barrier by affecting intestinal microbiota in hybrid catfish, which needs further study.

3.2. Dietary Leu Enhanced Physical Barrier Function via Up-Regulating Intestinal Antioxidant Capacity in the Intestine of Fish

The physical barrier function of the fish intestine is the first line of defense against infection [54], which is concerned with the cellular antioxidative state [11,55]. MDA and PC are considered to be important biochemical indicators, which are usually used to reflect lipid peroxidation and protein oxidation in tissues [56,57]. Due to the inescapable exposure to foreign materials, the intestine is also considered as a critical source of ROS [58]. Insufficient scavenging of ROS contributes to oxidative injury in the intestine [57]. This result demonstrated that dietary Leu linearly and/or quadratically decreased ROS, PC, and MDA contents in the intestine of hybrid catfish. Correlation analysis found that ROS was positively correlated with MDA (r = +0.912, p = 0.004) and PC contents (r = +0.793, p = 0.033) (Table 3), which indicated that dietary optimal Leu could ameliorate oxidative damage by reducing ROS accumulation. Studies on the gills of grass carp and porcine intestinal epithelial cells also demonstrated that Leu reduced the level of cell ROS [57]. The activities of ASA and AHR are two vital indices to assess the ability to scavenge superoxide anions (O2−) and hydroxyl radicals (OH) in the intestine and hepatopancreas of juvenile Jian carp (Cyprinus carpio var. Jian) [59]. Here, we found that the activities of ASA and AHR had positive quadratic responses to dietary Leu levels. Correlation analysis showed that the ROS content was negatively related to ASA (r = −0.956, p = 0.001) and AHR (r = −0.954, p = 0.001) activities in the intestine of hybrid catfish (Table 3), which suggested that dietary Leu might decrease ROS accumulation by enhancing ASA and AHR activities. Previous researchers also reported that dietary Leu enhanced the activities of ASA and AHR in the gills of grass carp [60].
To alleviate oxidative damage caused by ROS, fish have formed efficient antioxidant networks that can be divided into two categories, non-enzymatic antioxidants (such as GSH) and antioxidant enzymes (such as CuZnSOD, CAT, GPX, and GR) [61,62]. The present experimental results indicated that GSH content and T-SOD, GST, and GR activities were linearly and/or quadratically increased with increasing dietary Leu levels. No significant differences in the CAT and GPX activities were detected among treatments. Correlation analysis showed that ROS was negatively correlated with GSH (r = −0.965, p = 0.000), T-SOD (r = −0.933, p = 0.002), CAT (r = −0.928, p = 0.003), GPX (r = −0.920, p = 0.003), GST (r = −0.943, p = 0.001), and GR (r = −0.942, p = 0.001) (Table 3), showing that Leu might diminish the accumulation of ROS via improving the intestinal GSH content, and T-SOD, CAT, GPX, GST, and GR activities. These results were in accordance with previous reports in the muscle of grass carp and intestine of juvenile golden pompano [20,27,63]. Increases in GSH content may be attributed to Leu metabolism. Leu can be transamined to form glutamate, which can be used as a source for mucous GSH synthesis [64,65]. The enzyme activities of antioxidants show positive relationships with their gene expressions in fish [66,67]. The current study found that the CuZnSOD, CAT, and GPX1α mRNA expressions were linearly and/or quadratically significantly increased with increasing dietary Leu levels. The GST mRNA expression decreased linearly while the GCLC mRNA expression was not significantly affected. Further correlation analyses showed that CuZnSOD, CAT, and GPX1α were, respectively, positively correlated with T-SOD (r = 0.981, p = 0.00), CAT (r = 0.861, p = 0.013), and GPX (r = 0.643, p = 0.119) (Table 3), which is in agreement with the results of previous research on the intestine of Jian carp [68]. Transcription factor Nrf2 was regarded as a pivotal regulator of the cellular antioxidant response. Keap1 is a critical sensor in cellular oxidative stress, which can bind to Nrf2 and constantly promotes its degradation, and is a negative regulator to switch off the Nrf2 response [26,69]. In this study, we observed that the Nrf2 mRNA expression was not significantly affected by different dietary Leu levels. The Nrf2 protein level quadratically increased, whereas the Keap1 mRNA expression and protein level decreased quadratically in the intestine of hybrid catfish. Correlation analysis showed that mRNA expression of Nrf2 was positively correlated with CuZnSOD (r = +0.892, p = 0.007), CAT (r = +0.794, p = 0.033), GPX1α (r = +0.849, p = 0.008), and GCLC (r = +0.818, p = 0.025) mRNA expressions, and Keap1 mRNA expression was negatively correlated with CuZnSOD (r = −0.975, p = 0.000), CAT (r = −0.906, p = 0.005), GPX1α (r = −0.794, p = 0.033), and GCLC (r = −0.919, p = 0.003) mRNA expressions (Table 3). Western blot analysis demonstrated that dietary Leu increased the protein level of Nrf2 and reduced the protein level of Keap1. Similar results were observed in the intestine of juvenile golden pompano [20] and the head kidney of Labeo rohita fingerlings [45]. Taken together, these results clearly indicated that dietary Leu could enhance intestinal antioxidative capacity by modulating the Nrf2/Keap1 signaling pathway in hybrid catfish.

3.3. Dietary Leu Enhances Paracellular Barrier Functions via Increasing TJ Protein Levels in the Intestine of Fish

The paracellular barrier function of the intestine is related to the level of TJ proteins between epithelial cells [70]. The TJ proteins act as a paracellular barrier and serve as a first line of cellular defense against paracellular permeation of noxious luminal antigens [71,72]. Occludin, ZO-1, and Claudin-2, as the major components of TJ proteins, affect intestinal paracellular barrier functions [73]. Occludin plays a critical role in formation of TJ seals, and its damage facilitates macromolecule flux across the intestinal epithelial barrier [74]. ZO-1 is a cytoplasmic plaque protein that interacts with both transmembrane proteins and cytoskeletal proteins [75]. In the present study, the mRNA expression and protein level of intestinal ZO-1 and protein level of occludin significantly increased quadratically. Similarly, a study on the intestine of grass carp showed that optimal dietary Leu up-regulated occludin and ZO-1 mRNA expressions [30]. An in vitro model of intestinal epithelium lines demonstrated that Leu significantly enhanced occludin protein production [31]. Claudin-2 is expressed in the TJs of leaky epithelia, which is responsible for the flux of cations and small solutes [76]. In the current study, no significant differences were found in Claudin-2 mRNA expression and protein level. Claudin-2 knockout can cause defects in paracellular Na+ flow and nutrient transport in the intestine and result in death from malnutrition [77]. These results were in agreement with our previous report. Optimal dietary Leu improved feed efficiency in hybrid catfish [12] (Table S3). However, the underlying mechanism needs further investigation. The present study is the first to show that dietary Leu up-regulated the TJ function, partly ascribed to increases in TJ protein levels. New evidence revealed that autophagy plays an important role in maintaining occludin and ZO-1 protein levels [78]. The autophagy process involves three major phases: autophagosome initiation, elongation, and completion [79]. Beclin1 and ULK1 are involved in autophagy initiation [80,81]. ATG5 initiates the formation of double membrane vesicles [82]. Autophagy requires ubiquitin-like ATG8 and ATG12 conjugation systems, where ATG7 has a critical role as the sole E1 enzyme [83]. ATG9 is a multispanning membrane protein, which is essential for autophagy [84]. ATG4 is a key cysteine protease, which is crucial for proper biogenesis of the autophagosome [85]. The marker protein of autophagy is microtubule-associated protein light-chain 3 (LC3), which is responsible for the fusion of autophagosomes to lysosomes and formation of autolysosomes [86]. P62 is a multifunctional, cytoplasmic protein, which is degraded by autophagy in autophagy-mediated degradation progresses [87]. The present study observed that the Beclin1, ULK1b, ATG5, ATG7, ATG9a, ATG4b, and LC3b mRNA expressions and ULK1, Beclin1, and LC3II/I protein levels linearly and/or quadratically decreased, and mRNA expressions and protein levels of P62 linearly and quadratically increased, with increasing dietary Leu levels. A similar observation in sperm of zebrafish revealed that Leu suppressed autophagy by inhibiting the fusion of autophagosomes and lysosomes [35]. In addition, related research in HeLa cells showed that Leu alleviated autophagy via the impact of its metabolite AcCoA on mTORC1 [88]. Therefore, Leu might down-regulate autophagy levels in the fish intestine. Autophagy regulates the level of TJ proteins and therefore changes epithelial barrier function [89]. Di-(2-ethylhexyl) phthalate exposure destroyed the blood–testis barrier integrity of the immature testis through excessive ROS-mediated autophagy [90]. Autophagy inhibition increased occludin protein level in mouse brain endothelial cells [33]. In human squamous cell carcinoma cells, inhibition of autophagy can up-regulate ZO-1 protein level [91]. A previous study has demonstrated that Claudin-2 enhances the intestinal permeability [89]. Studies in MDCK I cells have shown that Claudin-2 mediated cation and water transport [92]. Thus, Claudin-2 may be beneficial for nutrient absorption of small molecules, which needs further investigation. These findings might partly explain why dietary Leu increased occludin and ZO-1 protein levels through down-regulating autophagy. Nevertheless, the detailed mechanism still requires a further investigation.

4. Materials and Methods

4.1. Experimental Diets, Feeding Trial, and Sampling

This present experiment used a total of 630 fish with an average initial weight of 23.19 ± 0.20 g were randomly distributed into 21 tanks, with 30 fish in each tank, and feed formulation according to our previous study [12] (Table S1). The Leu was added to the experimental diets at levels of 10.0 (control), 15.0, 20.0, 25.0, 30.0, 35.0, and 40.0 g/kg diet [12] (Table S2). After the 8-week feeding trial, twelve fish from each replicate were anesthetized with benzocaine solution (50 mg/L). Then, fish were sacrificed on the basis of the methods of Lisbeth et al. [93]. The intestine samples were obtained and stored at −80 °C until further analysis.

4.2. Biochemical Measurements

The samples of intestine were carefully homogenized with 10 volumes (mg/mL) of chilled physiological saline solution. The homogenates were centrifuged at 6000 g for 20 min at 4 °C. The supernatant was collected for antioxidant and humoral immune indicators. The MDA, PC, and GSH contents and ASA, AHR, T-SOD, CAT, GPX, GST, and GR activities were determined as described by Jiang et al. [55]. The LZM, AKP, and ACP activities, and C3, C4, and IgM contents, were measured as described in the study by Zhao et al. [11]. The ROS content was spectrophotometrically assayed by detecting the oxidation of 2′,7′-dichlorofluorescein [94].

4.3. Immunohistochemistry (IHC) Staining

The intestine tissues were embedded in paraffin and sectioned into slices 6 μm thick. Slices were incubated at 37 °C for 24 h before being incubated at 60 °C overnight. Following normal immunohistochemistry procedures, paraffin-embedded tissue slides were deparaffinized with xylene, and dehydrated with gradient ethanol. Heat-induced antigen retrieval was carried out for 15 min at 95 °C in citrate buffer [95]. This was followed by a 15 min incubation with 3% hydrogen peroxide at room temperature for elimination of endogenous peroxidase. Next, the tissue sections were blocked with 2% bovine serum albumin (BSA) for 30 min at room temperature, and then incubated overnight at 4 °C with occludin and ZO-1 polyclonal antibodies (diluted 1:100 with TBST; ABclonal, Chengdu, China). Afterwards, the tissue sections were incubated for 15 min at 37 °C with IgG secondary antibody, and then for another 30 min with peroxidase-labeled streptomycin (MXB Biotechnologies, Fuzhou, China), followed by washing for 5 min with phosphate buffer thrice. The sections were visualized with a DAB chromogenic substrate kit, and the nuclei were stained with hematoxylin. Imaging and analysis were carried out under an Olympus BX43F upright microscope.

4.4. Quantitative Real-Time PCR (qRT-PCR)

Total RNA from intestinal tissues was extracted according to the manual of the RNAiso Plus kit (TaKaRa, Dalian, China), and quantified by DU 640 UV spectrophotometer detection (Beckman, USA) at 260 and 280 nm. Using 1.0% agarose gels detecting the integrity of RNA, thereafter, we immediately reverse-transcribed it into cDNA by using the PrimeScript® RT reagent kit with gDNA Eraser (TaKaRa, Dalian, China). Sequences of primers used to perform RT-qPCR are listed in Table S4. The qRT-PCR analysis was performed using a CFX96 Real-Time PCR Detection System (Bio-Rad, Hercules, CA, USA). The relative mRNA expression was computed using the 2−ΔΔCT method, and the final results were all normalized to house-keeping genes (including β-actin and 18S rRNA).

4.5. Western Blot Analysis

The protein from intestines was extracted according to a previous study [12]. Protein concentration was determined using a protein quantification kit (Beyotime, Shanghai, China). The protein samples were subjected to SDS-PAGE and then transferred onto a PVDF membrane (Millipore, Inc., Bedford, MA) by wet electroblotting. After blocking with 5% bovine serum albumin (in Tris-buffered saline containing Tween 20) at room temperature for approximately 2 h, samples were subsequently incubated overnight in primary antibodies: Nrf2 and Keap1 (1:2000, Zen Biotechnology, Chengdu, China), Beclin1, ULK1, LC3Ⅱ/Ⅰ, P62, occludin, ZO-1, and Claudin-2, (1:2000, ABclonal, Chengdu, China). The membranes were subjected to washing three times, and then incubated with horseradish peroxidase (HRP)-conjugated secondary antibodies for approximately 2 h. β-actin (1:1000; CST) and Lamin B1 (1:2000, Zen Biotechnology) were considered as the control proteins for total and nuclear protein. The immune response bands were measured by enhanced chemi-luminescence. Quantify protein expression was detected by a Gel-Pro Analyzer (Media Cybernetics Bethesda, MD, USA), and analyzed by the ImageJ gel analysis software [96].

4.6. Statistical Analysis

The trends of linear and quadratic analyses were measured by using SAS software version 8.0 (SAS Institute Inc., Cary, NC, USA) [97,98]. All results were subjected to one-way ANOVA analysis followed by Duncan’s multiple range test to evaluate the differences within treatments using SPSS version 25.0 (SPSS Institute Inc., Chicago, IL, USA). The level of significance for all analyses was considered p < 0.05. Data were expressed as the mean ± SEM. Bivariate correlation analysis was performed with Pearson correlation.

5. Conclusions

In summary (Figure 5), dietary Leu enhanced intestinal immune barrier function via increasing humoral immune factors and related genes’ expression, and intestinal physical barrier function by regulating intestinal antioxidant capacity via the Nrf2/Keap1 signaling pathway, in fish. In addition, this study provides evidence that dietary Leu improved the functioning of intestinal TJ by down-regulating autophagy in fish, but the detailed mechanism needs further study. These results of the study will fill the knowledge gaps regarding the impact of Leu on fish intestinal barrier function.

Supplementary Materials

The following supporting information can be downloaded at: https://www.mdpi.com/article/10.3390/ijms24054716/s1.

Author Contributions

Investigation, methodology, data curation, writing—original draft, J.Z. and Y.Z.; investigation, methodology, data curation, H.L., Q.C., L.F. and Z.Z.; investigation, methodology, W.J., P.W. and Y.L.; investigation, W.L. and X.H.; conceptualization, supervision, funding acquisition, writing—review & editing, J.J. All authors have read and agreed to the published version of the manuscript.

Funding

This research was funded by the National Natural Science Foundation of China and National Key R&D Program of China, grant numbers 32172987 and 2019YFD0900200, respectively.

Institutional Review Board Statement

All management conditions and experimental protocols were approved by the Animal Care Advisory Committee of Sichuan Agricultural University, and conducted in accordance with the Guidelines for the Care and Use of Laboratory Animals of Sichuan Agricultural University under permit No. DKY-S20170512.

Informed Consent Statement

Not applicable.

Data Availability Statement

The data presented in this study are available in this manuscript.

Acknowledgments

The authors would like to express their sincere thanks to the personnel of the teams for their kind assistance. Thanks to Hongqin Li for providing feed making equipment for this experiment.

Conflicts of Interest

There is no conflict of interest that should be disclosed.

References

  1. Fan, J.; Yang, Y.; Ma, C.; Liu, X.; Wang, Y.; Chen, F.; Wang, B.; Bian, X.; Yang, C.; Zhang, N. The effects and cell barrier mechanism of main dietary nutrients on intestinal barrier. Curr. Opin. Food Sci. 2022, 48, 100942. [Google Scholar] [CrossRef]
  2. Beaumont, M.; Blachier, F. Amino acids in intestinal physiology and health. In Amino Acids in Nutrition and Health: Amino Acids in Systems Function and Health; Wu, G., Ed.; Springer International Publishing: Cham, Switzerland, 2020; Volume 1265, pp. 1–20. [Google Scholar]
  3. Li, F.; Yin, Y.; Tan, B.; Kong, X.; Wu, G. Leucine nutrition in animals and humans: mTOR signaling and beyond. Amino Acids 2011, 41, 1185–1193. [Google Scholar] [CrossRef] [PubMed]
  4. Wu, G.B.F.D. Amino Acid Nutrition in Animals: Protein Synthesis and Beyond. Annu. Rev. Anim. Biosci. 2014, 2, 387–417. [Google Scholar] [CrossRef] [PubMed]
  5. Yin, Y.; Yao, K.; Liu, Z.; Gong, M.; Ruan, Z.; Deng, D.; Tan, B.; Liu, Z.; Wu, G. Supplementing l-leucine to a low-protein diet increases tissue protein synthesis in weanling pigs. Amino Acids 2010, 39, 1477–1486. [Google Scholar] [CrossRef] [PubMed]
  6. Zhang, G.; Yin, S.; Wang, Y.; Li, L.; Wang, X.; Ding, Y.; Zang, X.; Zhang, H.; Jia, Y.; Hu, Y. The effects of water temperature and stocking density on survival, feeding and growth of the juveniles of the hybrid yellow catfish from Pelteobagrus fulvidraco (♀) × Pelteobagrus vachelli (♂). Aquac. Res. 2016, 47, 2844–2850. [Google Scholar] [CrossRef]
  7. Xia, Y.; Liu, C.; Fei, S.; Liu, H.; Han, D.; Jin, J.; Yang, Y.; Zhu, X.; Xie, S. Arthrospira platensis additive enhances the growth performance and antioxidant response in hybrid yellow catfish (Pelteobagrus fulvidraco♀ × Pelteobagrus vachelli♂). Aquac. Rep. 2021, 20, 100721. [Google Scholar] [CrossRef]
  8. Fei, S.; Xia, Y.; Chen, Z.; Liu, C.; Liu, H.; Han, D.; Jin, J.; Yang, Y.; Zhu, X.; Xie, S. A high-fat diet alters lipid accumulation and oxidative stress and reduces the disease resistance of overwintering hybrid yellow catfish (Pelteobagrus fulvidraco ♀ × P. vachelli ♂). Aquac. Rep. 2022, 23, 101043. [Google Scholar] [CrossRef]
  9. Zhao, Y.; Wu, X.; Xu, S.; Xie, J.; Xiang, K.; Feng, L.; Liu, Y.; Jiang, W.; Wu, P.; Zhao, J.; et al. Dietary tryptophan affects growth performance, digestive and absorptive enzyme activities, intestinal antioxidant capacity, and appetite and GH–IGF axis-related gene expression of hybrid catfish (Pelteobagrus vachelli ♀ × Leiocassis longirostris ♂). Fish Physiol. Biochem. 2019, 45, 1627–1647. [Google Scholar] [CrossRef]
  10. Zhao, Y.; Jiang, Q.; Zhou, X.Q.; Xu, S.X.; Feng, L.; Liu, Y.; Jiang, W.D.; Wu, P.; Zhao, J.; Jiang, J. Effect of dietary threonine on growth performance and muscle growth, protein synthesis and antioxidant-related signalling pathways of hybrid catfish Pelteobagrus vachelli female symbol x Leiocassis longirostris male symbol. Br. J. Nutr. 2020, 123, 121–134. [Google Scholar] [CrossRef]
  11. Zhao, Y.; Yan, M.Y.; Jiang, Q.; Yin, L.; Jiang, J. Isoleucine improved growth performance, and intestinal immunological and physical barrier function of hybrid catfish Pelteobagrus vachelli × Leiocassis longirostris. Fish Shellfish Immunol. 2020, 109, 20–33. [Google Scholar] [CrossRef]
  12. Zhao, Y.; Li, J.Y.; Jiang, Q.; Zhou, X.Q.; Feng, L.; Liu, Y.; Jiang, W.D.; Wu, P.; Zhou, J.; Zhao, J.; et al. Leucine Improved growth performance, muscle growth, and muscle protein deposition through AKT/TOR and AKT/FOXO3a signaling pathways in hybrid catfish Pelteobagrus vachelli × Leiocassis longirostris. Cells 2020, 9, 327. [Google Scholar] [CrossRef]
  13. Chen, J.; Yu, B.; Chen, D.; Huang, Z.; Mao, X.; Zheng, P.; Yu, J.; Luo, J.; He, J. Chlorogenic acid improves intestinal barrier functions by suppressing mucosa inflammation and improving antioxidant capacity in weaned pigs. J. Nutr. Biochem. 2018, 59, 84–92. [Google Scholar] [CrossRef]
  14. Harikrishnan, R.; Heo, J.; Balasundaram, C.; Kim, M.; Kim, J.; Han, Y.; Heo, M. Effect of traditional Korean medicinal (TKM) triherbal extract on the innate immune system and disease resistance in Paralichthys olivaceus against Uronema marinum. Vet. Parasitol. 2010, 170, 1–7. [Google Scholar] [CrossRef]
  15. Kim, J.; Harikrishnan, R.; Kim, M.; Balasundaram, C.; Heo, M. Dietary administration of Zooshikella sp. enhance the innate immune response and disease resistance of Paralichthys olivaceus against Sreptococcus iniae. Fish Shellfish Immunol. 2010, 29, 104–110. [Google Scholar] [CrossRef]
  16. Harikrishnan, R.; Heo, J.; Balasundaram, C.; Kim, M.; Kim, J.; Han, Y.; Heo, M. Effect of Punica granatum solvent extracts on immune system and disease resistance in Paralichthys olivaceus against lymphocystis disease virus (LDV). Fish Shellfish Immunol. 2010, 29, 668–673. [Google Scholar] [CrossRef]
  17. Harikrishnan, R.; Devi, G.; Paray, B.A.; Al-Sadoon, M.K.; Hoseinifar, S.H.; Gokul, E. Study the immunomodulation of anthracenedione in striped dwarf catfish, Mystus vittatus against pathogenic bacteria, Aeromonas hydrophila. Fish Shellfish Immunol. 2019, 95, 117–127. [Google Scholar] [CrossRef]
  18. Harikrishnan, R.; Devi, G.; Van Doan, H.; Balasundaram, C.; Esteban, M.Á.; Abdel-Tawwab, M. Impact of grape pomace flour (GPF) on immunity and immune-antioxidant-anti-inflammatory genes expression in Labeo rohita against Flavobacterium columnaris. Fish Shellfish Immunol. 2021, 111, 69–82. [Google Scholar] [CrossRef]
  19. Harikrishnan, R.; Devi, G.; Van Doan, H.; Balasundaram, C.; Thamizharasan, S.; Hoseinifar, S.H.; Abdel-Tawwab, M. Effect of diet enriched with Agaricus bisporus polysaccharides (ABPs) on antioxidant property, innate-adaptive immune response and pro-antiinflammatory genes expression in Ctenopharyngodon idella against Aeromonas hydrophila. Fish Shellfish Immunol. 2021, 114, 238–252. [Google Scholar] [CrossRef]
  20. Zhou, C.; Lin, H.; Huang, Z.; Wang, J.; Wang, Y.; Yu, W. Effects of dietary leucine levels on intestinal antioxidant status and immune response for juvenile golden pompano (Trachinotus ovatus) involved in Nrf2 and NFkB signaling pathway. Fish Shellfish Immunol. 2020, 107, 336–345. [Google Scholar] [CrossRef]
  21. Liang, H.; Mokrani, A.; Ji, K.; Ge, X.; Ren, M.; Xie, J.; Liu, B.; Xi, B.; Zhou, Q. Dietary leucine modulates growth performance, Nrf2 antioxidant signaling pathway and immune response of juvenile blunt snout bream (Megalobrama amblycephala). Fish Shellfish Immunol. 2018, 73, 57–65. [Google Scholar] [CrossRef]
  22. Hoeven, R.; McCallum, K.C.; Cruz, M.R.; Garsin, D.A. Ce-Duox1/BLI-3 generated reactive oxygen species trigger protective SKN-1 activity via p38 MAPK signaling during infection in C. elegans. PLoS Pathog. 2011, 7, e1002453. [Google Scholar]
  23. Jiang, W.D.; Zhou, X.Q.; Zhang, L.; Liu, Y.; Wu, P.; Jiang, J.; Kuang, S.Y.; Tang, L.; Tang, W.N.; Zhang, Y.A.; et al. Vitamin A deficiency impairs intestinal physical barrier function of fish. Fish Shellfish Immunol. 2019, 87, 546–558. [Google Scholar] [CrossRef] [PubMed]
  24. Qin, L.; Xiang, J.; Xiong, F.; Wang, G.; Zou, H.; Li, W.; Li, M.; Wu, S. Effects of Bacillus licheniformis on the growth, antioxidant capacity, intestinal barrier and disease resistance of grass carp (Ctenopharyngodon idella). Fish Shellfish Immunol. 2020, 97, 344–350. [Google Scholar] [CrossRef] [PubMed]
  25. Xu, M.; Chen, X.; Huang, Z.; Chen, D.; Li, M.; He, J.; Chen, H.; Zheng, P.; Yu, J.; Luo, Y.; et al. Effects of dietary grape seed proanthocyanidin extract supplementation on meat quality, muscle fiber characteristics and antioxidant capacity of finishing pigs. Food Chem. 2022, 367, 130781. [Google Scholar] [CrossRef] [PubMed]
  26. Ma, Y.; Semba, S.; Khan, R.I.; Bochimoto, H.; Watanabe, T.; Fujiya, M.; Kohgo, Y.; Liu, Y.; Taniguchi, T. Focal adhesion kinase regulates intestinal epithelial barrier function via redistribution of tight junction. Biochim. Biophys. Acta 2013, 1832, 151–159. [Google Scholar] [CrossRef]
  27. Deng, Y.P.; Jiang, W.D.; Liu, Y.; Jiang, J.; Kuang, S.Y.; Tang, L.; Wu, P.; Zhang, Y.A.; Feng, L.; Zhou, X.Q. Differential growth performance, intestinal antioxidant status and relative expression of Nrf2 and its target genes in young grass carp (Ctenopharyngodon idella) fed with graded levels of leucine. Aquaculture 2014, 434, 66–73. [Google Scholar] [CrossRef]
  28. Piche, T.; Barbara, G.; Aubert, P.; Bruley, D.V.S.; Dainese, R.; Nano, J.L.; Cremon, C.; Stanghellini, V.; De Giorgio, R.; Galmiche, J.P.; et al. Impaired intestinal barrier integrity in the colon of patients with irritable bowel syndrome: Involvement of soluble mediators. Gut 2009, 58, 196–201. [Google Scholar] [CrossRef]
  29. Landy, J.; Ronde, E.; English, N.; Clark, S.K.; Hart, A.L.; Knight, S.C.; Ciclitira, P.J.; Al-Hassi, H.O. Tight junctions in inflammatory bowel diseases and inflammatory bowel disease associated colorectal cancer. World J. Gastroenterol. 2016, 22, 3117–3126. [Google Scholar] [CrossRef]
  30. Jiang, W.; Deng, Y.; Liu, Y.; Qu, B.; Jiang, J.; Kuang, S.; Tang, L.; Tang, W.; Wu, P.; Zhang, Y.; et al. Dietary leucine regulates the intestinal immune status, immune-related signalling molecules and tight junction transcript abundance in grass carp (Ctenopharyngodon idella). Aquaculture 2015, 444, 134–142. [Google Scholar] [CrossRef]
  31. Mao, X.; Hu, H.; Tang, J.; Chen, D.; Yu, B. Leucine increases mucin 2 and occludin production in LS174T cells partially via PI3K-Akt-mTOR pathway. Anim. Nutr. 2016, 2, 218–224. [Google Scholar] [CrossRef]
  32. Gaffney-Stomberg, E.; Marszewski, P.; MacArthur, M.; McClung, J.P.; Matheny, R.W. Paracellular calcium flux across Caco-2 cell monolayers: Effects of individual amino acids. J. Nutr. Biochem. 2018, 59, 114–122. [Google Scholar] [CrossRef]
  33. Kim, K.A.; Kim, D.; Kim, J.H.; Shin, Y.J.; Kim, E.S.; Akram, M.; Kim, E.H.; Majid, A.; Baek, S.H.; Bae, O.N. Autophagy-mediated occludin degradation contributes to blood-brain barrier disruption during ischemia in bEnd.3 brain endothelial cells and rat ischemic stroke models. Fluids Barriers CNS 2020, 17, 21. [Google Scholar] [CrossRef]
  34. Zhang, S.; An, Q.; Wang, T.; Gao, S.; Zhou, G. Autophagy- and MMP-2/9-mediated reduction and redistribution of ZO-1 contribute to hyperglycemia-increased blood-brain barrier permeability during early reperfusion in stroke. Neuroscience 2018, 377, 126–137. [Google Scholar] [CrossRef]
  35. Zhang, J.; Zhang, X.; Liu, Y.; Su, Z.; Dawar, F.U.; Dan, H.; He, Y.; Gui, J.F.; Mei, J. Leucine mediates autophagosome-lysosome fusion and improves sperm motility by activating the PI3K/Akt pathway. Oncotarget 2017, 8, 111807–111818. [Google Scholar] [CrossRef]
  36. Li, S.A.; Jiang, W.D.; Feng, L.; Liu, Y.; Wu, P.; Jiang, J.; Kuang, S.Y.; Tang, L.; Tang, W.N.; Zhang, Y.A.; et al. Dietary myo-inositol deficiency decreased intestinal immune function related to NFκB and TOR signaling in the intestine of young grass carp (Ctenopharyngodon idella). Fish Shellfish Immunol. 2018, 76, 333–346. [Google Scholar] [CrossRef]
  37. Liang, D.; Yang, Q.; Tan, B.; Dong, X.; Chi, S.; Liu, H.; Zhang, S. Dietary vitamin A deficiency reduces growth per-formance, immune function of intestine, and alters tight junction proteins of intestine for juvenile hybrid grouper (Epinephelus fuscoguttatus female symbol x Epinephelus lanceolatus male symbol). Fish Shellfish Immunol. 2020, 107, 346–356. [Google Scholar] [CrossRef]
  38. Saurabh, S.; Sahoo, P.K. Lysozyme: An important defence molecule of fish innate immune system. Aquac Res 2008, 39, 223–239. [Google Scholar] [CrossRef]
  39. Uribe, C.; Folch, H.; Enriquez, R.; Moran, G. Innate and adaptive immunity in teleost fish: A review. Veterinární Med. 2011, 56, 486–503. [Google Scholar] [CrossRef]
  40. Ramasamy Harikrishnansupa Sup, C.B.S.M.; Heosupc Sup, M.S. Effect of a mixed herb-enriched diet on the innate immune response and disease resistance of Paralichthys olivaceus against Philasterides dicentrarchi infection. J. Aquat. Anim. Health 2010, 22, 235–243. [Google Scholar]
  41. Harikrishnan, R.; Balasundaram, C.; Heo, M.S. Lactobacillus sakei BK19 enriched diet enhances the immunity status and disease resistance to streptococcosis infection in kelp grouper, Epinephelus bruneus. Fish Shellfish Immunol. 2010, 29, 1037–1043. [Google Scholar] [CrossRef]
  42. Rajalakshmi, S.; Mohandas, A. Copper-induced changes in tissue enzyme activity in a freshwater mussel. Ecotoxicol. Environ. Saf. 2005, 62, 140–143. [Google Scholar] [CrossRef] [PubMed]
  43. Boshra, H.; Li, J.; Sunyer, J.O. Recent advances on the complement system of teleost fish. Fish Shellfish Immunol. 2006, 20, 239–262. [Google Scholar] [CrossRef] [PubMed]
  44. Pilstr, M.L.; Bengtén, E. Immunoglobulin in fish-genes, expression and structure. Fish Shellfish Immunol. 1996, 6, 243–262. [Google Scholar] [CrossRef]
  45. Giri, S.S.; Sen, S.S.; Chi, C.; Kim, H.J.; Yun, S.; Park, S.C.; Sukumaran, V. Effect of dietary leucine on the growth parameters and expression of antioxidant, immune, and inflammatory genes in the head kidney of Labeo rohita fingerlings. Vet. Immunol. Immunop. 2015, 167, 36–43. [Google Scholar] [CrossRef] [PubMed]
  46. Ding, Z.; Zhao, X.; Wang, J.; Zhang, F.; Hong, W.; Liu, H. Intelectin mediated phagocytosis and killing activity of macrophages in blunt snout bream (Megalobrama amblycephala). Fish Shellfish Immunol. 2019, 87, 129–135. [Google Scholar] [CrossRef]
  47. Jiménez-Cantizano, R.M.; Infante, C.; Martin-Antonio, B.; Ponce, M.; Hachero, I.; Navas, J.I.; Manchado, M. Molecular characterization, phylogeny, and expression of c-type and g-type lysozymes in brill (Scophthalmus rhombus). Fish Shellfish Immunol. 2008, 25, 57–65. [Google Scholar] [CrossRef]
  48. Dong, J.J.; Wu, F.; Ye, X.; Sun, C.F.; Tian, Y.Y.; Lu, M.X.; Zhang, R.; Chen, Z.H. β-Defensin in Nile tilapia (Oreochromis niloticus): Sequence, tissue expression, and anti-bacterial activity of synthetic peptides. Gene 2015, 566, 23–31. [Google Scholar] [CrossRef]
  49. Zhou, Y.; Lei, Y.; Cao, Z.; Chen, X.; Sun, Y.; Xu, Y.; Guo, W.; Wang, S.; Liu, C. A beta-defensin gene of Trachinotus ovatus might be involved in the antimicrobial and antiviral immune response. Dev. Comp. Immunol. 2019, 92, 105–115. [Google Scholar] [CrossRef]
  50. Ren, M.; Zhang, S.; Liu, X.; Li, S.; Mao, X.; Zeng, X.; Qiao, S. Different lipopolysaccharide branched-chain amino acids modulate porcine intestinal endogenous beta-defensin expression through the Sirt1/ERK/90RSK pathway. J. Agric. Food Chem. 2016, 64, 3371–3379. [Google Scholar] [CrossRef]
  51. You, C.; Chen, B.; Wang, M.; Wang, S.; Zhang, M.; Sun, Z.; Juventus, A.J.; Ma, H.; Li, Y. Effects of dietary lipid sources on the intestinal microbiome and health of golden pompano (Trachinotus ovatus). Fish Shellfish Immunol. 2019, 89, 187–197. [Google Scholar] [CrossRef]
  52. Wang, E.; Yuan, Z.; Wang, K.; Gao, D.; Liu, Z.; Liles, M.R. Consumption of florfenicol-medicated feed alters the composition of the channel catfish intestinal microbiota including enriching the relative abundance of opportunistic pathogens. Aquaculture 2019, 501, 111–118. [Google Scholar] [CrossRef]
  53. Song, B.; Zheng, C.; Zha, C.; Hu, S.; Yang, X.; Wang, L.; Xiao, H. Dietary leucine supplementation improves intestinal health of mice through intestinal SIgA secretion. J. Appl. Microbiol. 2020, 128, 574–583. [Google Scholar] [CrossRef]
  54. Baumgart, D.C.; Dignass, A.U. Intestinal barrier function. Curr. Opin. Clin. Nutr. 2002, 5, 685–694. [Google Scholar] [CrossRef]
  55. Jiang, J.; Wu, X.Y.; Zhou, X.Q.; Feng, L.; Liu, Y.; Jiang, W.D.; Wu, P.; Zhao, Y. Glutamate ameliorates copper-induced oxidative injury by regulating antioxidant defences in fish intestine. Brit. J. Nutr. 2016, 116, 70–79. [Google Scholar] [CrossRef]
  56. Eldutar, E.; Kandemir, F.M.; Kucukler, S.; Caglayan, C. Restorative effects of Chrysin pretreatment on oxidant-antioxidant status, inflammatory cytokine production, and apoptotic and autophagic markers in acute paracetamol-induced hepatotoxicity in rats an experimental and biochemical study. J. Biochem. Mol. Toxic 2017, 31, e21960. [Google Scholar] [CrossRef]
  57. Wang, Y.; Chen, Y.; Zhang, X.; Lu, Y.; Chen, H. New insights in intestinal oxidative stress damage and the health intervention effects of nutrients: A review. J. Funct. Foods 2020, 75, 104248. [Google Scholar] [CrossRef]
  58. Bhattacharyya, A.; Chattopadhyay, R.; Mitra, S.; Crowe, S.E. Oxidative stress: An essential factor in the pathogenesis of gastrointestinal mucosal diseases. Physiol. Rev. 2014, 94, 329–354. [Google Scholar] [CrossRef]
  59. Feng, L.; Xie, N.B.; Liu, Y.; Kuang, S.Y.; Tang, L.; Jiang, J.; Hu, K.; Jiang, W.-D.; Li, S.-H.; Zhou, X.-Q. Dietary phosphorus prevents oxidative damage and increases antioxidant enzyme activities in intestine and hepatopancreas of juvenile Jian carp. Aquac. Nutr. 2012, 19, 250–257. [Google Scholar] [CrossRef]
  60. Jiang, W.D.; Deng, Y.P.; Zhou, X.Q.; Liu, Y.; Jiang, J.; Kuang, S.Y.; Tang, L.; Tang, W.N.; Wu, P.; Zhang, Y.A.; et al. Towards the modulation of oxidative damage, apoptosis and tight junction protein in response to dietary leucine deficiency: A likely cause of ROS-induced gill structural integrity impairment. Fish Shellfish Immunol. 2017, 70, 609–620. [Google Scholar] [CrossRef]
  61. Liu, F.; Qu, Y.K.; Geng, C.; Wang, A.M.; Zhang, J.H.; Chen, K.J.; Liu, B.; Tian, H.Y.; Yang, W.P.; Yu, Y.B. Effects of hesperidin on the growth performance, antioxidant capacity, immune responses and disease resistance of red swamp crayfish (Procambarus clarkii). Fish Shellfish Immunol. 2020, 99, 154–166. [Google Scholar] [CrossRef]
  62. Silva, D.C.; Serrano, L.; Oliveira, T.; Mansano, A.S.; Almeida, E.A.; Vieira, E.M. Effects of parabens on antioxidant system and oxidative damages in Nile tilapia (Oreochromis niloticus). Ecotoxicol. Environ. Saf. 2018, 162, 85–91. [Google Scholar] [CrossRef] [PubMed]
  63. Deng, Y.; Jiang, W.; Liu, Y.; Qu, B.; Jiang, J.; Kuang, S.; Tang, L.; Tang, W.; Wu, P.; Zhang, Y.; et al. Dietary leucine improves flesh quality and alters mRNA expressions of Nrf2-mediated antioxidant enzymes in the muscle of grass carp (Ctenopharyngodon idella). Aquaculture 2016, 452, 380–387. [Google Scholar] [CrossRef]
  64. Reeds, P.J.; Burrin, D.G.; Stoll, B.; Jahoor, F.; Wykes, L.; Henry, J.; Frazer, M.E. Enteral glutamate is the preferential source for mucosal glutathione synthesis in fed piglets. Am. J. Physiol. 1997, 273, E408–E415. [Google Scholar] [CrossRef] [PubMed]
  65. Wu, G. Amino acids: Metabolism, functions, and nutrition. Amino Acids 2009, 37, 1–17. [Google Scholar] [CrossRef] [PubMed]
  66. Fontagné-Dicharry, S.; Lataillade, E.; Surget, A.; Larroquet, L.; Cluzeaud, M.; Kaushik, S. Antioxidant defense system is altered by dietary oxidized lipid in first-feeding rainbow trout (Oncorhynchus mykiss). Aquaculture 2014, 424–425, 220–227. [Google Scholar] [CrossRef]
  67. Zhao, J.; Feng, L.; Liu, Y.; Jiang, W.; Wu, P.; Jiang, J.; Zhang, Y.; Zhou, X. Effect of dietary isoleucine on the immuni-ty, antioxidant status, tight junctions and microflora in the intestine of juvenile Jian carp (Cyprinus carpio var. Jian). Fish Shellfish Immunol. 2014, 41, 663–673. [Google Scholar] [CrossRef]
  68. Zeng, L.; Zheng, J.L.; Wang, Y.H.; Xu, M.Y.; Zhu, A.Y.; Wu, C.W. The role of Nrf2/Keap1 signaling in inorganic mercury induced oxidative stress in the liver of large yellow croaker Pseudosciaena crocea. Ecotoxicol. Environ. Saf. 2016, 132, 345–352. [Google Scholar] [CrossRef]
  69. Dodson, M.; Redmann, M.; Rajasekaran, N.S.; Darley-Usmar, V.; Zhang, J. Keap1-Nrf2 signaling and autophagy in protection against oxidative and reductive proteotoxicity. Biochem. J. 2015, 469, 347–355. [Google Scholar] [CrossRef]
  70. Chasiotis, H.; Kolosov, D.; Bui, P.; Kelly, S.P. Tight junctions, tight junction proteins and paracellular permeability across the gill epithelium of fishes: A review. Respir. Physiol. Neurobiol. 2012, 184, 269–281. [Google Scholar] [CrossRef]
  71. Al-Sadi, R.; Boivin, M.; Ma, T. Mechanism of cytokine modulation of epithelial tight junction barrier. Front. Biosci. J. Virtual Libr. 2009, 14, 2765–2778. [Google Scholar] [CrossRef]
  72. Li, J.; Chen, Y.; Gu, W.; Xu, F.; Li, H.; Shan, S.; Sun, X.; Yin, M.; Yang, G.; Chen, L. Characterization of a common carp intelectin gene with bacterial binding and agglutination activity. Fish Shellfish Immunol. 2021, 108, 32–41. [Google Scholar] [CrossRef]
  73. Beutheu, S.; Ghouzali, I.; Galas, L.; Dechelotte, P.; Coeffier, M. Glutamine and arginine improve permeability and tight junction protein expression in methotrexate-treated Caco-2 cells. Clin. Nutr. 2013, 32, 863–869. [Google Scholar] [CrossRef]
  74. Guo, X.; Rao, J.N.; Liu, L.; Zou, T.; Wang, J.Y. Polyamines are necessary for synthesis and stability of occludin protein in intestinal epithelial cells. Am. J. Physiol.-Gastrointest. Liver Physiol. 2005, 288, 1159–1169. [Google Scholar] [CrossRef]
  75. Liu, W.; Mi, S.; Ruan, Z.; Li, J.; Shu, X.; Yao, K.; Jiang, M.; Deng, Z. Dietary Tryptophan enhanced the expression of tight junction protein ZO-1 in intestine. J. Food Sci. 2017, 82, 562–567. [Google Scholar] [CrossRef]
  76. Venugopal, S.; Anwer, S.; Szaszi, K. Claudin-2: Roles beyond permeability functions. Int. J. Mol. Sci. 2019, 20, 5655. [Google Scholar] [CrossRef]
  77. Wada, M.; Tamura, A.; Takahashi, N.; Tsukita, S. Loss of claudins 2 and 15 from mice causes defects in paracellular Na+ flow and nutrient transport in gut and leads to death from malnutrition. Gastroenterology 2013, 144, 369–380. [Google Scholar] [CrossRef]
  78. Feng, Y.; Wang, Y.; Wang, P.; Huang, Y.; Wang, F. Short-chain fatty acids manifest stimulative and protective effects on intestinal barrier function through the Inhibition of NLRP3 Inflammasome and autophagy. Cell. Physiol. Biochem. 2018, 49, 190–205. [Google Scholar] [CrossRef]
  79. Cao, W.; Li, J.; Yang, K.; Cao, D. An overview of autophagy: Mechanism, regulation and research progress. Bull. Cancer 2021, 108, 304–322. [Google Scholar] [CrossRef]
  80. Choubey, V.; Cagalinec, M.; Liiv, J.; Safiulina, D.; Hickey, M.A.; Kuum, M.; Liiv, M.; Anwar, T.; Eskelinen, E.L.; Kaasik, A. BECN1 is involved in the initiation of mitophagy: It facilitates PARK2 translocation to mitochondria. Autophagy 2014, 10, 1105–1119. [Google Scholar] [CrossRef]
  81. Mizushima, N. The role of the Atg1/ULK1 complex in autophagy regulation. Curr. Opin. Cell Biol. 2010, 22, 132–139. [Google Scholar] [CrossRef]
  82. Guévin, C.; Manna, D.; Bélanger, C.; Konan, K.V.; Mak, P.; Labonté, P. Autophagy protein ATG5 interacts transiently with the hepatitis C virus RNA polymerase (NS5B) early during infection. Virology 2010, 405, 1–7. [Google Scholar] [CrossRef] [PubMed]
  83. Yamaguchi, M.; Matoba, K.; Sawada, R.; Fujioka, Y.; Nakatogawa, H.; Yamamoto, H.; Kobashigawa, Y.; Hoshida, H.; Akada, R.; Ohsumi, Y.; et al. Noncanonical recognition and UBL loading of distinct E2s by autophagy-essential Atg7. Nat. Struct. Mol. Biol. 2012, 19, 1250–1256. [Google Scholar] [CrossRef] [PubMed]
  84. Reggiori, F.; Tooze, S.A. Autophagy regulation through Atg9 traffic. J. Cell Biol. 2012, 198, 151–153. [Google Scholar] [CrossRef] [PubMed]
  85. Perez-Perez, M.E.; Lemaire, S.D.; Crespo, J.L. The ATG4 protease integrates redox and stress signals to regulate autophagy. J. Exp. Bot. 2021, 72, 3340–3351. [Google Scholar] [CrossRef] [PubMed]
  86. Zhou, X.J.; Zhang, H. Autophagy in immunity. Autophagy 2012, 8, 1286–1299. [Google Scholar] [CrossRef]
  87. Kim, J.; Choi, S.; Kim, J.O.; Kim, K.K. Autophagy-mediated upregulation of cytoplasmic claudin 1 stimulates the degradation of SQSTM1/p62 under starvation. Biochem. Biophys. Res. Commun. 2018, 496, 159–166. [Google Scholar] [CrossRef]
  88. Son, S.M.; Park, S.J.; Stamatakou, E.; Vicinanza, M.; Menzies, F.M.; Rubinsztein, D.C. Leucine regulates autophagy via acetylation of the mTORC1 component raptor. Nat. Commun. 2020, 11, 3148. [Google Scholar] [CrossRef]
  89. Nighot, P.; Ma, T. Role of autophagy in the regulation of epithelial cell junctions. Tissue Barriers 2016, 4, e1171284. [Google Scholar] [CrossRef]
  90. Ma, Q.; You, X.; Zhu, K.; Zhao, X.; Yuan, D.; Wang, T.; Dun, Y.; Wu, J.; Ren, D.; Zhang, C.; et al. Changes in the tight junctions of the testis during aging: Role of the p38 MAPK/MMP9 pathway and autophagy in Sertoli cells. Exp. Gerontol. 2022, 161, 111729. [Google Scholar] [CrossRef]
  91. Bi, S.; Li, L.; Gu, H.; Li, M.; Xu, S.; Bu, W.; Zhang, M.; Zhou, Z.; Chen, X. Lycopene upregulates ZO-1 and downregu-lates claudin-1 through autophagy inhibition in the human cutaneous squamous cell carcinoma cell line COLO-16. J. Cancer 2019, 10, 510–521. [Google Scholar] [CrossRef]
  92. Rosenthal, R.; Günzel, D.; Krug, S.M.; Schulzke, J.D.; Fromm, M.; Yu, A.S. Claudin-2-mediated cation and water transport share a common pore. Acta Physiol. 2017, 219, 521–536. [Google Scholar] [CrossRef]
  93. Hultmann, L.; Phu, T.M.; Tobiassen, T.; Aas-Hansen, O.; Rustad, T. Effects of pre-slaughter stress on proteolytic en-zyme activities and muscle quality of farmed Atlantic cod (Gadus morhua). Food Chem. 2012, 134, 1399–1408. [Google Scholar] [CrossRef]
  94. MOSS, B.; Allam, B. Fluorometric measurement of oxidative burst in lobster hemocytes and inhibiting effect of pathogenic bacteria and hypoxia. J. Shellfish Res. 2007, 25, 1051–1057. [Google Scholar]
  95. Chang, C.J.; Robertsen, C.; Sun, B.; Robertsen, B. Protection of Atlantic salmon against virus infection by intramuscular injection of IFNc expression plasmid. Vaccine 2014, 32, 4695–4702. [Google Scholar] [CrossRef]
  96. Zhao, Y.; Dong, X.; Guo, C.; Feng, L.; Liu, Y.; Jiang, W.; Wu, P.; Luo, W.; Huang, X.; Chen, D.; et al. Dietary isoleucine affects muscle fatty acid and amino acid profiles through regulating lipid metabolism and autophagy in hybrid catfish (Pelteobagrus vachelli ♀ × Leiocassis longirostris ♂). Anim. Nutr. 2022, 11, 369–380. [Google Scholar] [CrossRef]
  97. Yossa, R.; Verdegem, M. Misuse of multiple comparison tests and underuse of contrast procedures in aquaculture publications. Aquaculture 2015, 437, 344–350. [Google Scholar] [CrossRef]
  98. Wei, Y.; Shen, H.; Xu, W.; Pan, Y.; Chen, J.; Zhang, W.; Mai, K. Replacement of dietary fishmeal by Antarctic krill meal on growth performance, intestinal morphology, body composition and organoleptic quality of large yellow croaker Larimichthys crocea. Aquaculture 2019, 512, 734281. [Google Scholar] [CrossRef]
Figure 1. Effects of dietary Leu on itnl1, itnl2, c-LZM, g-LZM, and β-defensin mRNA expressions in intestine of hybrid catfish fed diets with graded levels of Leu (g/kg) for 56 days. (AE) The mRNA expressions of itnl1, itnl2, c-LZM, g-LZM, and β-defensin. Results are represented as means ± SEM (n = 3 × 6), with six fish in each replicate. Duncan’s multiple range test was used to detect significance. Different superscripts above the bars indicate significant differences (p < 0.05).
Figure 1. Effects of dietary Leu on itnl1, itnl2, c-LZM, g-LZM, and β-defensin mRNA expressions in intestine of hybrid catfish fed diets with graded levels of Leu (g/kg) for 56 days. (AE) The mRNA expressions of itnl1, itnl2, c-LZM, g-LZM, and β-defensin. Results are represented as means ± SEM (n = 3 × 6), with six fish in each replicate. Duncan’s multiple range test was used to detect significance. Different superscripts above the bars indicate significant differences (p < 0.05).
Ijms 24 04716 g001
Figure 2. Effect of dietary Leu on the antioxidant capacity in intestine of hybrid catfish fed diets with graded levels of Leu (g/kg) for 56 days. (AG) The mRNA expressions of CuZnSOD, CAT, GST, GPX1α, GCLC, Nrf2, and Keap1. (H,I) The protein levels of Nrf2 and Keap1. Values are means ± SEM (n = 3 × 6), with six fish in each replicate. Duncan’s multiple range test used to detect significance. Different superscripts above the bars indicate significant differences (p < 0.05).
Figure 2. Effect of dietary Leu on the antioxidant capacity in intestine of hybrid catfish fed diets with graded levels of Leu (g/kg) for 56 days. (AG) The mRNA expressions of CuZnSOD, CAT, GST, GPX1α, GCLC, Nrf2, and Keap1. (H,I) The protein levels of Nrf2 and Keap1. Values are means ± SEM (n = 3 × 6), with six fish in each replicate. Duncan’s multiple range test used to detect significance. Different superscripts above the bars indicate significant differences (p < 0.05).
Ijms 24 04716 g002aIjms 24 04716 g002b
Figure 3. Effect of dietary Leu on TJs in intestine of hybrid catfish fed diets with graded levels of Leu (g/kg) for 56 days. (A) IHC staining analysis of occludin and ZO-1 expressions (scale bars: 200 μm and 50 μm). (B,C,F) The mRNA expressions of occludin, ZO-1, and Claudin-2. (D,E,G) The protein levels of occludin, ZO-1, and Claudin-2. All results are represented as means ± SEM (n = 3 × 6). Duncan’s multiple range test was used to detect significance. Different superscripts above the bars indicate significant differences (p < 0.05).
Figure 3. Effect of dietary Leu on TJs in intestine of hybrid catfish fed diets with graded levels of Leu (g/kg) for 56 days. (A) IHC staining analysis of occludin and ZO-1 expressions (scale bars: 200 μm and 50 μm). (B,C,F) The mRNA expressions of occludin, ZO-1, and Claudin-2. (D,E,G) The protein levels of occludin, ZO-1, and Claudin-2. All results are represented as means ± SEM (n = 3 × 6). Duncan’s multiple range test was used to detect significance. Different superscripts above the bars indicate significant differences (p < 0.05).
Ijms 24 04716 g003aIjms 24 04716 g003b
Figure 4. Effect of dietary Leu on autophagy-related gene mRNA expressions and protein levels in intestine of hybrid catfish fed diets with graded levels of Leu (g/kg) for 56 days. (A,B,EJ) The mRNA expressions of Beclin1, ULK1b, ATG5, ATG7, ATG9a, ATG4b, LC3b, and P62. (C,D,K,L) Protein levels of Beclin1, ULK1, LC3Ⅱ/Ⅰ, and P62. Results are represented as means ± SEM (n = 3 × 6). Duncan’s multiple range test was used to detect significance. Different superscripts above the bars indicate significant differences (p < 0.05).
Figure 4. Effect of dietary Leu on autophagy-related gene mRNA expressions and protein levels in intestine of hybrid catfish fed diets with graded levels of Leu (g/kg) for 56 days. (A,B,EJ) The mRNA expressions of Beclin1, ULK1b, ATG5, ATG7, ATG9a, ATG4b, LC3b, and P62. (C,D,K,L) Protein levels of Beclin1, ULK1, LC3Ⅱ/Ⅰ, and P62. Results are represented as means ± SEM (n = 3 × 6). Duncan’s multiple range test was used to detect significance. Different superscripts above the bars indicate significant differences (p < 0.05).
Ijms 24 04716 g004aIjms 24 04716 g004b
Figure 5. The potential pathways regarding the effects of Leu on the intestinal immune barrier, physical barrier, and tight junction function of fish. Abbreviations: itnl1 = intelectin 1; itnl2 = intelectin 2; c-LZM = c-type lysozyme; g-LZM = g-type lysozyme; Nrf2 = nuclear factor erythroid 2-related factor 2; Keap1 = Kelch-like ECH-associated protein 1; CuZnSOD = copper–zinc superoxide dismutase; CAT = catalase; GPX1a = lutathione peroxidase 1a; GST = glutathione S-transferase; GCLC = catalytic subunit of glutamate–cysteine ligase; ULK1b = uncoordinated 51-like kinase 1b; ATG5 = autophagy-related protein 5; ATG7 = autophagy-related protein 7; ATG9a = autophagy-related protein 9a; ATG4b = autophagy-related protein 4b; LC3b = autophagy marker light-chain 3b; P62 = sequestosome 1; ZO-1 = zonula occludens-1.
Figure 5. The potential pathways regarding the effects of Leu on the intestinal immune barrier, physical barrier, and tight junction function of fish. Abbreviations: itnl1 = intelectin 1; itnl2 = intelectin 2; c-LZM = c-type lysozyme; g-LZM = g-type lysozyme; Nrf2 = nuclear factor erythroid 2-related factor 2; Keap1 = Kelch-like ECH-associated protein 1; CuZnSOD = copper–zinc superoxide dismutase; CAT = catalase; GPX1a = lutathione peroxidase 1a; GST = glutathione S-transferase; GCLC = catalytic subunit of glutamate–cysteine ligase; ULK1b = uncoordinated 51-like kinase 1b; ATG5 = autophagy-related protein 5; ATG7 = autophagy-related protein 7; ATG9a = autophagy-related protein 9a; ATG4b = autophagy-related protein 4b; LC3b = autophagy marker light-chain 3b; P62 = sequestosome 1; ZO-1 = zonula occludens-1.
Ijms 24 04716 g005
Table 1. Effects of dietary Leu on immune parameters in the intestine of hybrid catfish fed experimental diets containing graded levels of Leu (g/kg) for 8 weeks 1.
Table 1. Effects of dietary Leu on immune parameters in the intestine of hybrid catfish fed experimental diets containing graded levels of Leu (g/kg) for 8 weeks 1.
Items 2Dietary Leu Levels, g/kgPr > F2
10.015.020.025.030.035.040.0ANOVALinearQuadratic
LZM73.92 ± 3.06 c87.82 ± 3.23b c100.07 ± 8.27 abc117.71 ± 0.36 a104.7 ± 4.14 ab85.62 ± 11.13 abc83.27 ± 3.31 c0.00<0.0001<0.0001
ACP54.23 ± 2.08 e77.69 ± 0.63 d99.98 ± 2.87 b122.71 ± 5.45 a100.29 ± 0.50 b90.72 ± 0.59 bc86.37 ± 5.42 cd0.00<0.0001<0.0001
AKP40.75 ± 3.57 d64.09 ± 4.78 c83.36 ± 3.33 b101.82 ± 4.57 a82.65 ± 1.88 b69.54 ± 3.84 c61.94 ± 3.26 c0.00<0.0001<0.0001
C39.44 ± 0.46 cd11.66 ± 0.34 b14.36 ± 0.66 a16.02 ± 0.24 a12.03 ± 0.35 b10.83 ± 0.56 bc8.05 ± 1.15 d0.000.020.26
C40.89 ± 0.04 c0.9 ± 0.07 c1.07 ± 0.05 bc1.38 ± 0.02 a1.28 ± 0.04 ab1.21 ± 0.04 ab0.96 ± 0.14 c0.000.010.01
IgM29.35 ± 0.91 d32.64 ± 1.33 bcd38.24 ± 0.77 b45.05 ± 2.25 a35.87 ± 1.32 bc34.15 ± 1.78 bcd30.21 ± 2.97 cd0.000.74<0.0001
1 Values are mean ± SEM, n = 3. Mean values with different superscripts in the same row are significantly different (p < 0.05); 2 LZM = lysozyme; ACP = acid phosphatase; AKP = alkaline phosphatase; C = complement; IgM = immunoglobulin M.
Table 2. Effects of dietary Leu on antioxidant-related parameters in the intestine of hybrid catfish fed experimental diets containing graded levels of Leu (g/kg) for 8 weeks 1.
Table 2. Effects of dietary Leu on antioxidant-related parameters in the intestine of hybrid catfish fed experimental diets containing graded levels of Leu (g/kg) for 8 weeks 1.
Items 2Dietary Leu levels, g/kgPr > F2
10.015.020.025.030.035.040.0ANOVALinearQuadratic
ROS100.00 ± 7.11 a83.70 ± 6.12 b70.10 ± 2.43 cd52.30 ± 2.60 e66.80 ± 1.90 d78.20 ± 1.60 bcd81.25 ± 8.81 bc0.000.000.00
MDA0.57 ± 0.08 a0.50 ± 0.07 ab0.37 ± 0.02 b0.38 ± 0.10 b0.41 ± 0.06 b0.48 ± 0.02 ab0.51 ± 0.03 ab0.040.030.43
PC2.25 ± 0.17 a1.86 ± 0.05 ab1.25 ± 0.26 d1.46 ± 0.01 cd1.62 ± 0.05 bc1.70 ± 0.07 bc1.91 ± 0.03 ab0.000.040.13
GSH2.16 ± 0.06 e2.47 ± 0.05 cd2.64 ± 0.09 bc2.87 ± 0.10 a2.67 ± 0.01 b2.51 ± 0.05 bcd2.31 ± 0.11 de0.000.05<0.0001
ASA184.16 ± 17.73 e208.87 ± 9.42 de262.87 ± 21.40 b293.15 ± 10.29 a242.93 ± 4.34 bc218.14 ± 10.42 cd209.52 ± 5.76 de0.000.130.00
AHR103.79 ± 2.65 e113.86 ± 4.30 cde126.45 ± 1.81 b149.16 ± 8.96 a123.88 ± 3.26 bc117.19 ± 1.13 bcd112.18 ± 2.62 de0.000.080.00
T-SOD26.12 ± 1.30 d29.23 ± 0.50 cd32.71 ± 1.30 ab36.91 ± 1.60 a31.42 ± 0.70 bc28.54 ± 1.00 c27.34 ± 0.90 cd0.000.70<0.0001
CAT3.05 ± 0.04 d3.32 ± 0.08 cd3.93 ± 0.14 ab4.48 ± 0.43 a3.69 ± 0.22 bc3.37 ± 0.23 bcd3.18 ± 0.110 cd0.010.680.06
GPX8.05 ± 1.22 d11.31 ± 0.36 bc13.08 ± 1.43 ab15.50 ± 0.90 a13.31 ± 1.42 ab12.57 ± 0.62 ab8.88 ± 0.42 cd0.000.140.85
GST42.68 ± 2.57 e54.26 ± 4.51 cd60.65 ± 1.11 ab63.44 ± 0.10 a57.76 ± 1.70 abc55.49 ± 1.07 bcd50.85 ± 0.13 d0.000.010.67
GR16.79 ± 0.11 c19.49 ± 1.22 b21.22 ± 0.22 b24.22 ± 0.38 a21.36 ± 0.52 b19.88 ± 0.56 b17.47 ± 1.16 c0.000.29<0.0001
1 Values are mean ± SEM, n = 3. Mean values with different superscripts in the same row are significantly different (p < 0.05); 2 ROS = reactive oxygen species; MDA = malondialdehyde; PC = protein carbonyl; GSH = glutathione content; ASA = antisuperoxide anion; AHR = antihydroxyl radical; T-SOD = total superoxide dismutase; CAT = catalase; GST = glutathione S-transferase; GPX = glutathione peroxidase; GR = glutathione reductase.
Table 3. Correlation analysis of parameters in the muscle of hybrid catfish.
Table 3. Correlation analysis of parameters in the muscle of hybrid catfish.
Independent
Parameters
Dependent
Parameters
Correlation
Coefficients
p
ROSMDA0.9120.004
PC0.7930.033
ASA−0.9560.001
AHR−0.9540.001
T-SOD−0.9330.002
CAT−0.9280.003
GPX−0.9200.003
GST−0.9430.001
GR−0.9420.001
GSH−0.9650.000
CuZnSOD mRNAT-SOD0.9810.000
CAT mRNACAT0.8610.013
GPX1α mRNAGPX0.6430.119
GST mRNAGST−0.7920.034
Nrf2 mRNACuZnSOD mRNA0.8920.007
CAT mRNA0.7940.033
GPX1α mRNA0.8490.016
GCLC mRNA0.8180.025
Keap1 mRNACuZnSOD mRNA−0.9750.000
CAT mRNA−0.9060.005
GPX1α mRNA−0.7940.033
GCLC mRNA −0.9190.003
Disclaimer/Publisher’s Note: The statements, opinions and data contained in all publications are solely those of the individual author(s) and contributor(s) and not of MDPI and/or the editor(s). MDPI and/or the editor(s) disclaim responsibility for any injury to people or property resulting from any ideas, methods, instructions or products referred to in the content.

Share and Cite

MDPI and ACS Style

Zhao, J.; Zhao, Y.; Liu, H.; Cao, Q.; Feng, L.; Zhang, Z.; Jiang, W.; Wu, P.; Liu, Y.; Luo, W.; et al. Dietary Leucine Improves Fish Intestinal Barrier Function by Increasing Humoral Immunity, Antioxidant Capacity, and Tight Junction. Int. J. Mol. Sci. 2023, 24, 4716. https://doi.org/10.3390/ijms24054716

AMA Style

Zhao J, Zhao Y, Liu H, Cao Q, Feng L, Zhang Z, Jiang W, Wu P, Liu Y, Luo W, et al. Dietary Leucine Improves Fish Intestinal Barrier Function by Increasing Humoral Immunity, Antioxidant Capacity, and Tight Junction. International Journal of Molecular Sciences. 2023; 24(5):4716. https://doi.org/10.3390/ijms24054716

Chicago/Turabian Style

Zhao, Ju, Ye Zhao, Haifeng Liu, Quanquan Cao, Lin Feng, Zhihao Zhang, Weidan Jiang, Pei Wu, Yang Liu, Wei Luo, and et al. 2023. "Dietary Leucine Improves Fish Intestinal Barrier Function by Increasing Humoral Immunity, Antioxidant Capacity, and Tight Junction" International Journal of Molecular Sciences 24, no. 5: 4716. https://doi.org/10.3390/ijms24054716

APA Style

Zhao, J., Zhao, Y., Liu, H., Cao, Q., Feng, L., Zhang, Z., Jiang, W., Wu, P., Liu, Y., Luo, W., Huang, X., & Jiang, J. (2023). Dietary Leucine Improves Fish Intestinal Barrier Function by Increasing Humoral Immunity, Antioxidant Capacity, and Tight Junction. International Journal of Molecular Sciences, 24(5), 4716. https://doi.org/10.3390/ijms24054716

Note that from the first issue of 2016, this journal uses article numbers instead of page numbers. See further details here.

Article Metrics

Back to TopTop