Insights into Adaptive Regulation of the Leaf-Petiole System: Strategies for Survival of Water Lily Plants under Salt Stress
Abstract
1. Introduction
2. Results
2.1. Phenotypes of Water Lily Plants under Salt Stress
2.2. Effects of Salt Stress on Photosynthesis in Water Lily Plants
2.3. RNA-Seq Analysis of Leaves and Petioles from Water Lily Plants Treated with NaCl
2.4. Analysis of Differentially Expressed Genes
2.5. Significantly Enriched Pathways in Water Lilies under Salt Stress
2.6. Ion and Water-Transport-Related Genes in Water lily Plants under Salt Stress
2.7. Differential Expression of Genes Related to Plant Hormones
2.8. Changes in Sodium (Na) and Potassium (K) Contents in Salt-Stressed Leaves and Petioles
3. Discussion
4. Materials and Methods
4.1. Plant Materials and NaCl Treatment
4.2. Plant Biomass Measurements
4.3. Measurement of Gas Exchange and Chlorophyll Fluorescence Parameters
4.4. Transcriptome Analysis of Petioles and Floating Leaves
4.5. ICP-MS Analysis of Sodium (Na) and Potassium (K) Contents
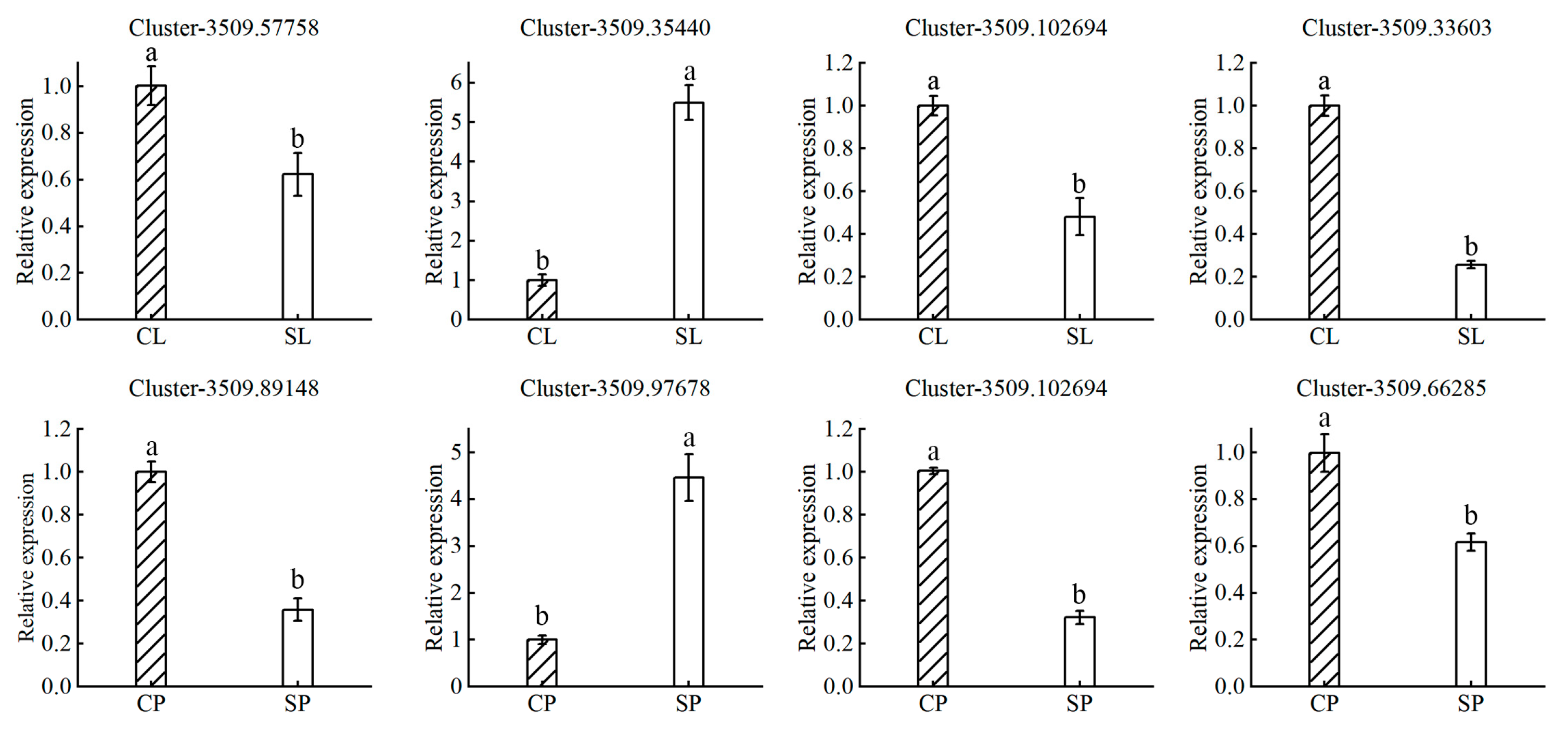
4.6. Quantitative Real-Time PCR
5. Conclusions
Supplementary Materials
Author Contributions
Funding
Institutional Review Board Statement
Informed Consent Statement
Data Availability Statement
Conflicts of Interest
References
- Zhang, L.; Chen, F.; Zhang, X.; Li, Z.; Zhao, Y.; Lohaus, R.; Chang, X.; Dong, W.; Ho, S.; Liu, X.; et al. The Water Lily Genome and the Early Evolution of Flowering Plants. Nature 2020, 577, 79–84. [Google Scholar] [CrossRef] [PubMed]
- Chen, F.; Liu, X.; Yu, C.; Chen, Y.; Tang, H.; Zhang, L. Water Lilies as Emerging Models for Darwin’s Abominable Mystery. Hortic Res. 2017, 4, 17051. [Google Scholar] [CrossRef] [PubMed]
- Li, Z.; Zhou, W.; Wang, P.; Chen, Y.; Huo, S.; Wang, J.; Tian, D.; Niu, J.; Zhao, Y.; Song, X. Transcriptome Analysis Reveals the Senescence Process Controlling the Flower Opening and Closure Rhythm in the Waterlilies (Nymphaea L.). Front. Plant Sci. 2021, 12, 701633. [Google Scholar] [CrossRef]
- Zhu, M.; Zheng, X.; Shu, Q.; Li, H.; Zhong, P.; Zhang, H.; Xu, Y.; Wang, L.; Wang, L. Relationship between the Composition of Flavonoids and Flower Colors Variation in Tropical Water Lily (Nymphaea) Cultivars. PLoS ONE 2012, 7, e34335. [Google Scholar] [CrossRef]
- Zhao, Y.; Fan, Y.; Yu, W.; Wang, J.; Lu, W.; Song, X. Ultrasound-Enhanced Subcritical Fluid Extraction of Essential Oil from Nymphaea alba var and Its Antioxidant Activity. J. AOAC Int. 2019, 102, 1448–1454. [Google Scholar] [CrossRef]
- Dalziell, E.; Funnekotter, B.; Mancera, R.; Merritt, D. Seed Storage Behaviour of Tropical Members of the Aquatic Basal Angiosperm Genus Nymphaea L. (Nymphaeaceae). Conserv. Physiol. 2019, 7, coz021. [Google Scholar] [CrossRef] [PubMed]
- Hinojosa-Garro, D.; Mason, C.; Underwood, G. Macrophyte Assemblages in Ditches of Coastal Marshes in Relation to Land-Use, Salinity and Water Quality. Fundam. Appl. Limnol. 2008, 172, 325–337. [Google Scholar] [CrossRef]
- Zhao, S.; Zhang, Q.; Liu, M.; Zhou, H.; Ma, C.; Wang, P. Regulation of Plant Responses to Salt Stress. Int. J. Mol. Sci. 2021, 22, 4609. [Google Scholar] [CrossRef]
- Loreto, F.; Centritto, M.; Chartzoulakis, K. Photosynthetic limitations in olive cultivars with different sensitivity to salt stress. Plant Cell Environ. 2003, 26, 595–601. [Google Scholar] [CrossRef]
- Chen, Y.; Feng, P.; Zhang, X.; Xie, Q.; Chen, G.; Zhou, S.; Hu, Z. Silencing of SlMYB50 Affects Tolerance to Drought and Salt Stress in Tomato. Plant Physiol Biochem. 2022, 193, 139–152. [Google Scholar] [CrossRef]
- Pompelli, M.; Ferreira, P.; Chaves, A.; Figueiredo, R.; Martins, A.; Jarma-Orozco, A.; Bhatt, A.; Batista-Silva, W.; Endres, L.; Araujo, W. Physiological, Metabolic, and Stomatal Adjustments in Response to Salt Stress in Jatropha Curcas. Plant Cell Environ. 2021, 168, 116–127. [Google Scholar] [CrossRef] [PubMed]
- Erdal, S.; Cakirlar, H. Impact of Salt Stress on Photosystem II Efficiency and Antioxidant Enzyme Activities of Safflower (Carthamus Tinctorius L.) Cultivars. Turk. J. Biol. 2014, 38, 549–560. [Google Scholar] [CrossRef]
- Ali, Y.; Aslam, Z.; Ashraf, M.Y.; Tahir, G.R. Effect of Salinity on Chlorophyll Concentration, Leaf Area, Yield and Yield Components of Rice Genotypes Grown under Saline Environment. Int. J. Environ. Sci. Technol. 2004, 1, 221–225. [Google Scholar] [CrossRef]
- Abbasi, H.; Jamil, M.; Haq, A.; Ali, S.; Ahmad, R.; Malik, Z. Parveen Salt Stress Manifestation on Plants, Mechanism of Salt Tolerance and Potassium Role in Alleviating It: A Review. Zemdirb-Agric 2016, 103, 229–238. [Google Scholar] [CrossRef]
- Grattan, S.; Grieve, C. Mineral Element Acquisition and Growth-Response of Plants Grown in Saline Environments. Agric. Ecosyst. Environ. 1992, 38, 275–300. [Google Scholar] [CrossRef]
- Huang, G.; Ma, S.; Bai, L.; Zhang, L.; Ma, H.; Jia, P.; Liu, J.; Zhong, M.; Guo, Z. Signal Transduction during Cold, Salt, and Drought Stresses in Plants. Mol. Biol. Rep. 2012, 39, 969–987. [Google Scholar] [CrossRef]
- Foster, K.; Miklavcic, S. A Comprehensive Biophysical Model of Ion and Water Transport in Plant Roots. III. Quantifying the Energy Costs of Ion Transport in Salt-Stressed Roots of Arabidopsis. Front. Plant Sci. 2020, 11, 865. [Google Scholar] [CrossRef]
- Yang, Z.; Li, J.; Liu, L.; Xie, Q.; Sui, N. Photosynthetic Regulation Under Salt Stress and Salt-Tolerance Mechanism of Sweet Sorghum. Front. Plant Sci. 2020, 10, 1722. [Google Scholar] [CrossRef] [PubMed]
- de Abreu, C.; Araujo, G.; Monteiro-Moreira, A.; Costa, J.; Leite, H.; Moreno, F.; Prisco, J.; Gomes-Filho, E. Proteomic Analysis of Salt Stress and Recovery in Leaves of Vigna Unguiculata Cultivars Differing in Salt Tolerance. Plant Cell Rep. 2014, 33, 1289–1306. [Google Scholar] [CrossRef]
- Zhang, M.; Smith, J.; Harberd, N.; Jiang, C. The Regulatory Roles of Ethylene and Reactive Oxygen Species (ROS) in Plant Salt Stress Responses. Plant Mol. Biol. 2016, 91, 651–659. [Google Scholar] [CrossRef]
- Babourina, O.; Renge, L.Z. Ion Transport in Aquatic Plants. In Waterlogging Signalling and Tolerance in Plants; Mancuso, S., Shabala, S., Eds.; Springer: Berlin/Heidelberg, Germany, 2010; pp. 221–238. ISBN 978-3-642-10304-9. [Google Scholar]
- Choudhary, P.; Pramitha, L.; Rana, S.; Verma, S.; Aggarwal, P.; Muthamilarasan, M. Hormonal Crosstalk in Regulating Salinity Stress Tolerance in graminaceous Crops. Physiol. Plant. 2021, 173, 1587–1596. [Google Scholar] [CrossRef] [PubMed]
- Zorb, C.; Geilfus, C.; Muhling, K.; Ludwig-Muller, J. The Influence of Salt Stress on ABA and Auxin Concentrations in Two Maize Cultivars Differing in Salt Resistance. J. Plant Physiol. 2013, 170, 220–224. [Google Scholar] [CrossRef] [PubMed]
- Sripinyowanich, S.; Klomsakul, P.; Boonburapong, B.; Bangyeekhun, T.; Asami, T.; Gu, H.; Buaboocha, T.; Chadchawan, S. Exogenous ABA Induces Salt Tolerance in Indica Rice (Oryza Sativa L.): The Role of OsP5CS1 and OsP5CR Gene Expression during Salt Stress. Environ. Exp. Bot. 2013, 86, 94–105. [Google Scholar] [CrossRef]
- Haller, E.; Iven, T.; Feussner, I.; Stahl, M.; Frohlich, K.; Loffelhardt, B.; Gust, A.; Nurnberger, T. ABA-Dependent Salt Stress Tolerance Attenuates Botrytis Immunity in Arabidopsis. Front. Plant Sci. 2020, 11, 594827. [Google Scholar] [CrossRef]
- Raghavendra, A.; Gonugunta, V.; Christmann, A.; Grill, E. ABA Perception and Signalling. Trends Plant Sci. 2010, 15, 395–401. [Google Scholar] [CrossRef]
- Mansour, M.; Salama, K.; Al-Mutawa, M. Transport Proteins and Salt Tolerance in Plants. Plant Sci. 2003, 164, 891–900. [Google Scholar] [CrossRef]
- Ji, H.; Pardo, J.; Batelli, G.; Van Oosten, M.; Bressan, R.; Li, X. The Salt Overly Sensitive (SOS) Pathway: Established and Emerging Roles. Mol. Plant 2013, 6, 275–286. [Google Scholar] [CrossRef]
- Gao, Z.; He, X.; Zhao, B.; Zhou, C.; Liang, Y.; Ge, R.; Shen, Y.; Huang, Z. Overexpressing a Putative Aquaporin Gene from Wheat, TaNIP, Enhances Salt Tolerance in Transgenic Arabidopsis. Plant Cell Physiol. 2010, 51, 767–775. [Google Scholar] [CrossRef]
- Yool, A.; Campbell, E. Structure, Function and Translational Relevance of Aquaporin Dual Water and Ion Channels. Mol. Asp. Med. 2012, 33, 553–561. [Google Scholar] [CrossRef]
- Byrt, C.; Zhao, M.; Kourghi, M.; Bose, J.; Henderson, S.; Qiu, J.; Gilliham, M.; Schultz, C.; Schwarz, M.; Ramesh, S.; et al. Non-Selective Cation Channel Activity of Aquaporin AtPIP2;1 Regulated by Ca2+ and PH. Plant Cell Environ. 2017, 40, 802–815. [Google Scholar] [CrossRef]
- Kumari, A.; Bhatla, S.C. Regulation of Salt-Stressed Sunflower (Helianthus Annuus) Seedling’s Water Status by the Coordinated Action of Na+/K+ Accumulation, Nitric Oxide, and Aquaporin Expression. Funct. Plant Biol. 2021, 48, 573–587. [Google Scholar] [CrossRef] [PubMed]
- Xiong, W.; Zhang, J.; Lan, T.; Kong, W.; Wang, X.; Liu, L.; Chen, X.; Mo, B. High Resolution RNA-Seq Profiling of Genes Encoding Ribosomal Proteins across Different Organs and Developmental Stages in Arabidopsis Thaliana. Plant Direct. 2021, 5, e00320. [Google Scholar] [CrossRef] [PubMed]
- Whittle, C.; Krochko, J. Transcript Profiling Provides Evidence of Functional Divergence and Expression Networks among Ribosomal Protein Gene Paralogs in Brassica Napus. Plant Cell. 2009, 21, 2203–2219. [Google Scholar] [CrossRef] [PubMed]
- Beers, E. Programmed Cell Death during Plant Growth and Development. Cell Death Differ. 1997, 4, 649–661. [Google Scholar] [CrossRef]
- van Doorn, W. Plant Programmed Cell Death and the Point of No Return. Trends Plant Sci. 2005, 10, 478–483. [Google Scholar] [CrossRef]
- Wakeel, A. Potassium-Sodium Interactions in Soil and Plant under Saline-Sodic Conditions. J. Plant Nutr. Soil Sci. 2013, 176, 344–354. [Google Scholar] [CrossRef]
- Mostofa, M.; Saegusa, D.; Fujita, M.; Tran, L. Hydrogen Sulfide Regulates Salt Tolerance in Rice by Maintaining Na+/K+ Balance, Mineral Homeostasis and Oxidative Metabolism Under Excessive Salt Stress. Front. Plant Sci. 2015, 6, 1055. [Google Scholar] [CrossRef]
- Carden, D.; Walker, D.; Flowers, T.; Miller, A. Single-Cell Measurements of the Contributions of Cytosolic Na+ and K+ to Salt Tolerance. Plant Physiol. 2003, 131, 676–683. [Google Scholar] [CrossRef]
- Munns, R.; Tester, M. Mechanisms of Salinity Tolerance. Annu. Rev. Plant Biol. 2008, 59, 651–681. [Google Scholar] [CrossRef]
- White, P.; Bowen, H.; Broadley, M.; El-Serehy, H.; Neugebauer, K.; Taylor, A.; Thompson, J.; Wright, G. Evolutionary Origins of Abnormally Large Shoot Sodium Accumulation in Nonsaline Environments within the Caryophyllales. New Phytol. 2017, 214, 284–293. [Google Scholar] [CrossRef]
- Ievinsh, G.; Ievina, S.; Andersone-Ozola, U.; Samsone, I. Leaf Sodium, Potassium and Electrolyte Accumulation Capacity of Plant Species from Salt-Affected Coastal Habitats of the Baltic Sea: Towards a Definition of Na Hyperaccumulation. Flora 2021, 274, 151748. [Google Scholar] [CrossRef]
- Slabu, C.; Zorb, C.; Steffens, D.; Schubert, S. Is Salt Stress of Faba Bean (Vicia Faba) Caused by Na+ or Cl- Toxicity? J. Plant Nutr. Soil Sci. 2009, 172, 644–650. [Google Scholar] [CrossRef]
- Zhang, M.; Hu, C.; Sun, X.; Zhao, X.; Tan, Q.; Zhang, Y.; Li, N. Molybdenum Affects Photosynthesis and Ionic Homeostasis of Chinese Cabbage under Salinity Stress. Commun. Soil Sci. Plant Anal. 2014, 45, 2660–2672. [Google Scholar] [CrossRef]
- Shabala, S.; Cuin, T. Potassium Transport and Plant Salt Tolerance. Physiol Plant. 2008, 133, 651–669. [Google Scholar] [CrossRef] [PubMed]
- Rajsz, A.; Warzybok, A.; Migocka, M. Genes Encoding Cucumber Full-Size ABCG Proteins Show Different Responses to Plant Growth Regulators and Sclareolide. Plant Mol. Biol. Rep. 2016, 34, 720–736. [Google Scholar] [CrossRef]
- Schaedler, T.; Thornton, J.; Kruse, I.; Schwarzlander, M.; Meyer, A.; van Veen, H.; Balk, J. A Conserved Mitochondrial ATP-Binding Cassette Transporter Exports Glutathione Polysulfide for Cytosolic Metal Cofactor Assembly. J. Biol. Chem. 2014, 289, 23264–23274. [Google Scholar] [CrossRef]
- Verrier, P.; Bird, D.; Buria, B.; Dassa, E.; Forestier, C.; Geisler, M.; Klein, M.; Kolukisaoglu, U.; Lee, Y.; Martinoia, E.; et al. Plant ABC Proteins—A Unified Nomenclature and Updated Inventory. Trends Plant Sci. 2008, 13, 151–159. [Google Scholar] [CrossRef]
- Lee, E.; Kwon, M.; Ko, J.; Yi, H.; Hwang, M.; Chang, S.; Cho, M. Binding of Sulfonylurea by AtMRP5, an Arabidopsis Multidrug Resistance-Related Protein That Functions in Salt Tolerance. Plant Physiol. 2004, 134, 528–538. [Google Scholar] [CrossRef]
- Kim, D.; Jin, J.; Alejandro, S.; Martinoia, E.; Lee, Y. Overexpression of AtABCG36 Improves Drought and Salt Stress Resistance in Arabidopsis. Physiol. Plant. 2010, 139, 170–180. [Google Scholar] [CrossRef]
- Kim, D.; Bovet, L.; Maeshima, M.; Martinoia, E.; Lee, Y. The ABC Transporter AtPDR8 Is a Cadmium Extrusion Pump Conferring Heavy Metal Resistance. Plant J. 2007, 50, 207–218. [Google Scholar] [CrossRef]
- Wang, M.; Peng, Z.; Li, C.; Li, F.; Liu, C.; Xia, G. Proteomic Analysis on a High Salt Tolerance Introgression Strain of Triticum Aestivum/Thinopyrum Ponticum. Proteomics 2008, 8, 1470–1489. [Google Scholar] [CrossRef] [PubMed]
- Skillman, J. Quantum Yield Variation across the Three Pathways of Photosynthesis: Not yet out of the Dark. J. Exp. Bot. 2008, 59, 1647–1661. [Google Scholar] [CrossRef] [PubMed]
- Zheng, X.; Huang, Z.; Liu, Z.; Zheng, Z.; Zhang, Y.; Aweya, J.J. Transcriptome Analysis Reveals That SREBP Modulates a Large Repertoire of Genes Involved in Key Cellular Functions in Penaeus vannamei, although the Majority of the Dysregulated Genes Are Unannotated. Genes 2022, 13, 2057. [Google Scholar] [CrossRef] [PubMed]
- Houston, K.; Qiu, J.; Wege, S.; Hrmova, M.; Oakey, H.; Qu, Y.; Smith, P.; Situmorang, A.; Macaulay, M.; Flis, P.; et al. Barley Sodium Content Is Regulated by Natural Variants of the Na+ Transporter HvHKT1;5. Commun. Biol. 2020, 3, 258. [Google Scholar] [CrossRef] [PubMed]










| Sample Name | Raw Reads | Clean Reads | Clean Bases | Error Rate (%) | Q20 (%) | Q30 (%) | GC Content (%) |
|---|---|---|---|---|---|---|---|
| CP1 | 20,408,879 | 19,958,021 | 6.0 G | 0.03 | 97.85 | 93.75 | 48.35 |
| CP2 | 23,177,539 | 22,564,599 | 6.8 G | 0.03 | 97.75 | 93.55 | 48.10 |
| CP3 | 21,929,210 | 21,278,917 | 6.4 G | 0.03 | 97.67 | 93.21 | 48.20 |
| CL1 | 20,494,403 | 19,868,591 | 6.0 G | 0.03 | 97.89 | 93.81 | 48.32 |
| CL2 | 24,003,552 | 23,703,207 | 7.1 G | 0.03 | 97.95 | 93.90 | 46.17 |
| CL3 | 22,298,850 | 20,522,234 | 6.2 G | 0.03 | 97.94 | 93.99 | 48.00 |
| SP1 | 22,022,491 | 21,464,315 | 6.4 G | 0.03 | 97.87 | 93.77 | 47.92 |
| SP2 | 23,673,444 | 23,099,125 | 6.9 G | 0.03 | 97.90 | 93.78 | 47.23 |
| SP3 | 21,656,450 | 21,170,002 | 6.4 G | 0.03 | 97.76 | 93.53 | 47.42 |
| SL1 | 21,316,148 | 20,847,247 | 6.3 G | 0.03 | 97.64 | 93.08 | 48.08 |
| SL2 | 20,647,787 | 20,119,650 | 6.0 G | 0.03 | 97.87 | 93.76 | 48.04 |
| SL3 | 23,794,703 | 23,098,892 | 6.9 G | 0.03 | 97.89 | 93.82 | 46.82 |
| Gene ID | Leaf | Petiole | Description | ||
|---|---|---|---|---|---|
| log2FC | padj | log2FC | padj | ||
| Cluster-3509.63369 | 2.63 | 5.53 × 10−5 | - | - | chloride channel-CLC-g isoform X3 |
| Cluster-3509.15636 | −5.53 | 1.06 × 10−5 | −8.02 | 1.30 × 10−5 | sodium transporter |
| Cluster-3509.89148 | - | - | −3.58 | 2.02 × 10−7 | sodium transporter HKT1 |
| Cluster-3509.68931 | - | - | 1.37 | 2.09 × 10−2 | sodium-coupled neutral amino acid transporter 6 |
| Cluster-3509.72547 | −1.77 | 1.53 × 10−4 | - | - | potassium transporter 5 |
| Cluster-3509.60818 | −1.71 | 7.11 × 10−4 | - | - | potassium transporter 5 |
| Cluster-3509.37679 | −2.11 | 8.67 × 10−4 | - | - | potassium transporter 5 |
| Cluster-3509.83265 | - | - | 1.54 | 7.46 × 10−3 | potassium transporter 13 |
| Cluster-3509.60348 | - | - | −3.18 | 9.37 × 10−3 | potassium transporter |
| Cluster-3509.8544 | - | - | 2.75 | 2.07 × 10−2 | potassium channel SKOR |
| Cluster-3509.61628 | - | - | −1.45 | 2.80 × 10−2 | potassium channel AKT1 |
| Cluster-3509.9398 | −8.13 | 3.34 × 10−9 | - | - | F-type H+-transporting ATPase subunit beta |
| Cluster-19799.0 | −6.60 | 1.25 × 10−5 | - | - | F-type H+-transporting ATPase subunit alpha |
| Cluster-3509.35440 | 8.99 | 9.46 × 10−13 | 9.51 | 5.42 × 10−11 | S-type anion channel SLAH1 |
| Cluster-3509.35441 | 5.87 | 1.40 × 10−9 | 5.73 | 2.71 × 10−7 | S-type anion channel SLAH1 |
| Cluster-3509.97678 | - | - | 6.02 | 6.72 × 10−3 | S-type anion channel SLAH2-like |
| Cluster-3509.59617 | - | - | −2.50 | 2.12 × 10−2 | molybdate-anion transporter |
| Cluster-3509.72310 | −1.82 | 3.03 × 10−8 | - | - | Cation-transporting P-type ATPase |
| Cluster-3509.71994 | −1.50 | 1.43 × 10−7 | - | - | vacuolar cation/proton exchanger 3 |
| Cluster-3509.9326 | −3.46 | 1.41 × 10−5 | - | - | Cation transporter HKT6 isoform X1 |
| Cluster-3509.70982 | 1.59 | 6.33 × 10−4 | Cation-transporting P-type ATPase | ||
| Cluster-3509.103986 | - | - | −3.88 | 6.33 × 10−4 | vacuolar cation/proton exchanger 3 |
| Cluster-3509.78160 | 1.32 | 6.58 × 10−6 | - | - | low affinity sulfate transporter 3 |
| Cluster-3509.10275 | −6.77 | 2.47 × 10−6 | - | - | ABC transporter, ATP-binding protein |
| Cluster-3509.79575 | −6.64 | 4.14 × 10−30 | - | - | ABC transporter F family member 4 |
| Cluster-3509.81717 | −3.48 | 4.17 × 10−4 | - | - | ABC transporter G family member 29 |
| Cluster-3509.72632 | −1.89 | 3.0 × 10−4 | - | - | ABC transporter G family member 29 |
| Cluster-3509.77443 | −1.53 | 3.31 × 10−9 | - | - | ABC transporter B family member 9 |
| Cluster-3509.17628 | −1.49 | 2.43 × 10−7 | - | - | ABC transporter B family member 11 |
| Cluster-3509.60378 | −1.37 | 9.37 × 10−5 | - | - | ABC transporter C family member 3 |
| Cluster-3509.57758 | −1.34 | 1.57 × 10−4 | - | - | ABC transporter C family member 3 |
| Cluster-3509.41498 | −1.27 | 6.74 × 10−7 | - | - | ABC transporter G family member 45 |
| Cluster-3509.65058 | 1.57 | 4.07 × 10−5 | - | - | ABC transporter C family member 10 |
| Cluster-3509.74470 | 1.61 | 6.85 × 10−4 | - | - | ABC transporter C family member 10 |
| Cluster-3509.65059 | 1.84 | 1.20 × 10−7 | - | - | ABC transporter C family member 10 |
| Cluster-3509.98196 | 1.95 | 7.41 × 10−8 | - | - | ABC transporter I family member 17 |
| Cluster-21390.0 | 3.78 | 2.93 × 10−4 | - | - | ABC transporter G family member 6 |
| Cluster-18164.0 | 6.27 | 1.15 × 10−4 | - | - | ABC transporter G family member 6 |
| Cluster-3509.70646 | - | - | −4.10 | 6.78 × 10−4 | ABC transporter G family member 32 |
| Cluster-3509.100139 | - | - | −4.07 | 1.17 × 10−3 | ABC transporter G family member 32 |
| Cluster-3509.74471 | - | - | 1.43 | 1.54 × 10−3 | ABC transporter C family member 10 |
| Cluster-3509.84042 | - | - | 2.78 | 1.46 × 10−2 | ABC transporter |
| Cluster-3509.38354 | - | - | −2.14 | 2.24 × 10−2 | ABC−1 domain-containing protein |
| Cluster-3509.49551 | - | - | 1.65 | 3.15 × 10−2 | ABC transporter C family member 10 |
| Cluster-3509.14979 | - | - | −3.07 | 4.49 × 10−2 | ABC transporter B family member 15 |
| Cluster-3509.45963 | - | - | −3.12 | 4.70 × 10−2 | ABC transporter G family member 11 |
| Cluster-3509.62876 | 1.53 | 1.10 × 10−5 | 1.40 | 1.88 × 10−2 | ABC transporter C family member 10 |
| Cluster-3509.65270 | 1.57 | 1.09 × 10−5 | 1.32 | 3.39 × 10−2 | ABC transporter C family member 10 |
| Cluster-3509.81514 | 1.81 | 4.17 × 10−5 | 1.32 | 4.71 × 10−2 | ABC transporter C family member 10 |
| Cluster-3509.63514 | - | - | 2.27 | 4.00 × 10−2 | cationic amino acid transporter 2, vacuolar |
| Cluster-3509.79897 | - | - | −4.93 | 1.20 × 10−4 | polyamine transporter At3g13620 |
| Cluster-3509.45936 | −1.24 | 1.63 × 10−2 | - | - | ammonium transporter 1.3 |
| Cluster-3509.57872 | −1.16 | 6.17 × 10−2 | - | - | ammonium transporter 1 member 1 |
| Cluster-3509.83579 | - | - | −3.64 | 1.66 × 10−2 | ammonium transporter 2-like protein |
| Cluster-3509.78326 | - | - | −3.87 | 3.46 × 10−3 | ammonium transporter 3 member 1 |
| Cluster-3509.45936 | −1.24 | 1.63 × 10−2 | - | - | ammonium transporter 1.3 |
| Cluster-3509.57872 | −1.16 | 6.17 × 10−3 | - | - | ammonium transporter 1 member 1 |
| Cluster-3509.83579 | - | - | −3.64 | 1.66 × 10−2 | ammonium transporter 2-like protein |
| Cluster-3509.78326 | - | - | −3.87 | 3.46 × 10−3 | ammonium transporter 3 member 1 |
| Cluster-3509.68250 | 1.90 | 1.38 × 10−3 | - | - | NRT1/ PTR FAMILY 7.3 |
| Cluster-3509.102694 | −1.57 | 1.66 × 10−7 | −2.78 | 3.70 × 10−4 | NRT1/ PTR FAMILY 5.2 |
| Cluster-3509.70042 | - | - | 1.49 | 4.70 × 10−2 | NRT1/ PTR FAMILY 5.10 |
| Cluster-3509.96889 | - | - | 1.34 | 1.68 × 10−2 | NRT1/ PTR FAMILY 6.3 |
| Cluster-3509.49374 | - | - | −1.87 | 9.51 × 10−3 | NRT1/ PTR FAMILY 6.3 |
| Cluster-3509.63374 | - | - | −1.99 | 3.30 × 10−3 | high-affinity nitrate transporter-activating protein 2.1 |
| Cluster-3509.66551 | −4.90 | 2.26 × 10−4 | - | - | aquaporin TIP1−1 |
| Cluster-3509.74762 | −3.66 | 4.24 × 10−7 | - | - | aquaporin TIP1−1 |
| Cluster-3509.67781 | −4.16 | 3.58 × 10−6 | −5.08 | 7.25 × 10−17 | regulation of transcription; response to water |
| Cluster-3509.12700 | - | - | −4.02 | 2.49 × 10−2 | response to water; potassium ion transport |
| Gene ID | Leaf | Petiole | Description | ||
|---|---|---|---|---|---|
| log2FC | padj | log2FC | padj | ||
| Cluster-3509.15665 | −4.86 | 1.77 × 10−18 | - | - | auxin-responsive protein SAUR64 |
| Cluster-3509.16070 | −4.45 | 6.23 × 10−13 | - | - | auxin-responsive protein SAUR64 |
| Cluster-3509.1089 | 5.88 | 3.68 × 10−4 | - | - | auxin-responsive protein SAUR40 |
| Cluster-3509.18235 | −5.24 | 3.96 × 10−3 | - | - | auxin-responsive protein SAUR23 |
| Cluster-3509.48442 | −2.43 | 1.22 × 10−2 | - | - | auxin-responsive protein IAA12 |
| Cluster-3509.24672 | −4.85 | 8.29 × 10−3 | - | - | auxin-responsive protein SAUR64 |
| Cluster-3509.33603 | −5.46 | 1.25 × 10−11 | −6.04 | 3.03 × 10−5 | auxin-responsive protein SAUR68 |
| Cluster-3509.16069 | −5.51 | 1.11 × 10−10 | −4.56 | 8.48 × 10−4 | auxin-responsive protein SAUR64 |
| Cluster-3509.68953 | - | - | −7.01 | 9.30 × 10−33 | auxin-responsive GH3 family protein |
| Cluster-3509.66285 | - | - | −4.84 | 7.91 × 10−32 | auxin-responsive protein SAUR72 |
| Cluster-3509.18949 | - | - | −3.14 | 1.08 × 10−5 | auxin-responsive protein SAUR21 |
| Cluster-3509.72331 | - | - | −7.03 | 1.30 × 10−4 | auxin-responsive protein SAUR50 |
| Cluster-3509.70882 | - | - | −1.69 | 1.81 × 10−4 | auxin-responsive protein IAA4 |
| Cluster-3509.12053 | - | - | −4.98 | 3.35 × 10−4 | auxin-responsive protein SAUR50 |
| Cluster-3509.18253 | - | - | −2.64 | 6.98 × 10−4 | auxin-responsive protein SAUR32 |
| Cluster-3509.66935 | - | - | −2.64 | 7.45 × 10−4 | auxin-responsive protein SAUR32 |
| Cluster-3509.89040 | - | - | −2.82 | 3.72 × 10−3 | auxin-responsive protein SAUR71 |
| Cluster-3509.73182 | - | - | −1.27 | 6.51 × 10−3 | auxin-responsive protein IAA1 |
| Cluster-3509.14808 | - | - | −3.58 | 1.77 × 10−2 | auxin-responsive protein SAUR50 |
| Cluster-3509.70213 | - | - | −3.26 | 2.15 × 10−2 | GH3 auxin-responsive promoter |
| Cluster-3509.104407 | −6.95 | 4.94 × 10−4 | - | - | Auxin responsive SAUR protein |
| Cluster-3509.104944 | −6.90 | 5.47 × 10−4 | - | - | Auxin responsive SAUR protein |
| Cluster-3509.106362 | −4.01 | 3.91 × 10−2 | - | - | Auxin responsive SAUR protein |
| Cluster-3509.52587 | - | - | −1.51 | 8.83 × 10−3 | auxin response factor 18 |
| Cluster-3509.67431 | - | - | 2.30 | 4.21 × 10−2 | auxin response factor 5-like protein |
| Cluster-3509.15779 | −2.11 | 5.45 × 10−3 | - | - | auxin-induced protein 15A |
| Cluster-3509.60954 | −1.11 | 2.05 × 10−3 | - | - | auxin-induced protein 22D |
| Cluster-3509.62463 | −2.67 | 1.32 × 10−8 | −4.84 | 6.72 × 10−12 | auxin-induced protein AUX22 |
| Cluster-3509.38644 | −3.86 | 1.26 × 10−6 | −8.91 | 7.49 × 10−6 | auxin-induced protein AUX22 |
| Cluster-3509.18234 | - | - | −4.04 | 3.93 × 10−2 | auxin-induced protein 15A |
| Cluster-3509.69085 | −1.34 | 5.88 × 10−4 | −1.17 | 1.97 × 10−2 | auxin transporter protein 1 |
| Cluster-3509.69832 | −1.41 | 1.60 × 10−3 | −1.19 | 6.73 × 10−3 | auxin transporter-like protein 2 |
| Cluster-3509.29745 | −1.94 | 1.05 × 10−2 | −1.90 | 8.04 × 10−3 | auxin transporter-like protein 2 |
| Cluster-3509.57652 | −1.50 | 3.45 × 10−2 | −1.28 | 7.80 × 10−3 | auxin transporter-like protein 2 |
| Cluster-3509.34017 | - | - | −1.13 | 2.86 × 10−2 | auxin transporter-like protein 2 |
| Cluster-3509.65534 | −1.91 | 7.46 × 10−6 | - | - | AUX/IAA8b |
| Cluster-3509.62206 | −2.03 | 1.77 × 10−7 | - | - | AUX/IAA protein |
| Cluster-3509.103850 | −2.07 | 3.00 × 10−3 | - | - | AUX/IAA protein |
Disclaimer/Publisher’s Note: The statements, opinions and data contained in all publications are solely those of the individual author(s) and contributor(s) and not of MDPI and/or the editor(s). MDPI and/or the editor(s) disclaim responsibility for any injury to people or property resulting from any ideas, methods, instructions or products referred to in the content. |
© 2023 by the authors. Licensee MDPI, Basel, Switzerland. This article is an open access article distributed under the terms and conditions of the Creative Commons Attribution (CC BY) license (https://creativecommons.org/licenses/by/4.0/).
Share and Cite
Liu, X.; Chen, S.; Du, F.; Sun, L.; Huang, Q.; Gao, X.; Li, J.; Tong, H.; Yao, D. Insights into Adaptive Regulation of the Leaf-Petiole System: Strategies for Survival of Water Lily Plants under Salt Stress. Int. J. Mol. Sci. 2023, 24, 5605. https://doi.org/10.3390/ijms24065605
Liu X, Chen S, Du F, Sun L, Huang Q, Gao X, Li J, Tong H, Yao D. Insights into Adaptive Regulation of the Leaf-Petiole System: Strategies for Survival of Water Lily Plants under Salt Stress. International Journal of Molecular Sciences. 2023; 24(6):5605. https://doi.org/10.3390/ijms24065605
Chicago/Turabian StyleLiu, Xiaojing, Shaozhou Chen, Fengfeng Du, Linhe Sun, Qianhao Huang, Xiaojing Gao, Jinfeng Li, Haiying Tong, and Dongrui Yao. 2023. "Insights into Adaptive Regulation of the Leaf-Petiole System: Strategies for Survival of Water Lily Plants under Salt Stress" International Journal of Molecular Sciences 24, no. 6: 5605. https://doi.org/10.3390/ijms24065605
APA StyleLiu, X., Chen, S., Du, F., Sun, L., Huang, Q., Gao, X., Li, J., Tong, H., & Yao, D. (2023). Insights into Adaptive Regulation of the Leaf-Petiole System: Strategies for Survival of Water Lily Plants under Salt Stress. International Journal of Molecular Sciences, 24(6), 5605. https://doi.org/10.3390/ijms24065605

