Benzoquinoline Derivatives: An Attractive Approach to Newly Small Molecules with Anticancer Activity
Abstract
1. Introduction
2. Results and Discussion
2.1. Chemistry
2.2. Anticancer Activity
- -
- Some compounds show high activity against multiple cancer cell lines, while others have a more selective effect;
- -
- The aromatic quaternary salts 3a–c have better activity than aliphatic salts 3d–g;
- -
- The major factor that affects the biological activity is the existence of the substituent from the para position of the benzoyl moiety. Thus, the compounds containing a methyl or a phenyl group exhibit the highest activity. Furthermore, the presence of a methoxy or chloro moiety seems to have a favorable effect on the activity;
- -
- The activity of quaternary salts is superior to that of HybB[f]Q cycloadducts, which could be attributed to the presence of a positively charged nitrogen atom in the molecule;
- -
- Cycloadducts of HybB[f]Q with a pyrrolo-benzo[f]quinoline structure exhibit greater activity than those with an isoindolo-benzo[f]quinoline structure. This suggests that a single fused cycle is preferable to two, for achieving anticancer activity.
3. Materials and Methods
3.1. General Information
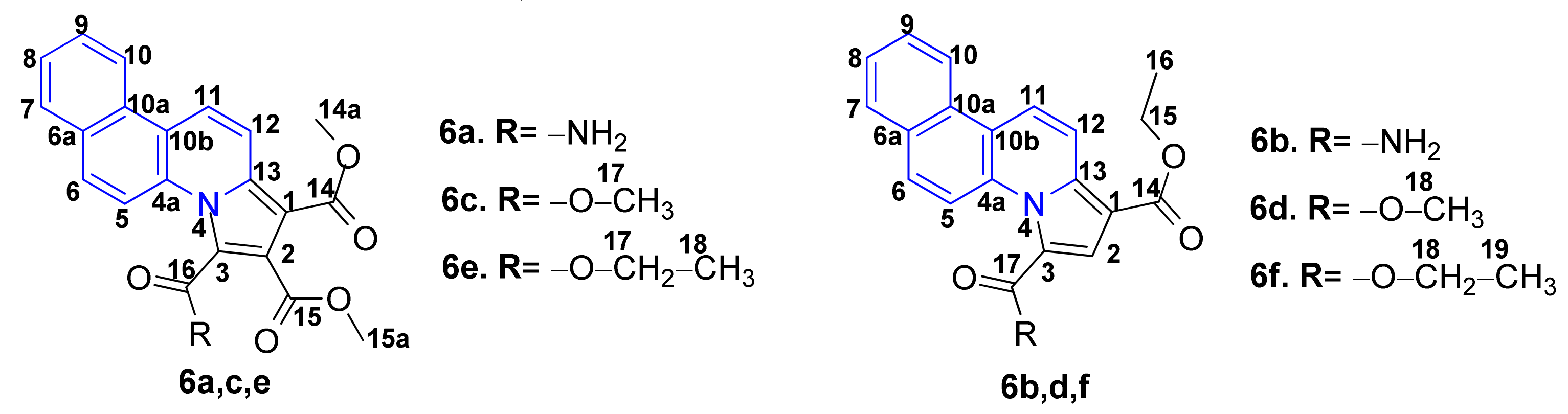
3.2. General Procedure for the Synthesis of the HybB[f]Q 6a–f with pyrrolo–benzo[f]quinoline Structure
3.2.1. Dimethyl 3–carbamoylbenzo[f]pyrrolo[1,2–a]quinoline–1,2–dicarboxylate (6a)
3.2.2. Ethyl 3–carbamoylbenzo[f]pyrrolo[1,2–a]quinoline–1–carboxylate (6b)
3.2.3. Trimethyl benzo[f]pyrrolo[1,2–a]quinoline–1,2,3–tricarboxylate (6c)
3.2.4. 1–Ethyl 3–methyl benzo[f]pyrrolo[1,2–a]quinoline–1,3–dicarboxylate (6d)
3.2.5. 3–Ethyl 1,2–dimethyl benzo[f]pyrrolo[1,2–a]quinoline–1,2,3–tricarboxylate (6e)
3.2.6. Diethyl benzo[f]pyrrolo[1,2–a]quinoline–1,3–dicarboxylate (6f)
3.3. General procedure for the synthesis of the HybB[f]Q 7a–e with isoindolo–benzo[f]quinoline structure
3.3.1. 9,14–Dioxo–9,14-dihydrobenzo[f]benzo[5,6]isoindolo[2,1–a]quinoline–15–carboxamide (7a)
3.3.2. Methyl 9,14–dioxo–9,14–dihydrobenzo[f]benzo[5,6]isoindolo[2,1–a]quinoline–15–carboxylate (7b)
3.3.3. Ethyl 9,14–dioxo–9,14–dihydrobenzo[f]benzo[5,6]isoindolo[2,1–a]quinoline–15–carboxylate (7c)
3.3.4. 15–([1,1’–Biphenyl]–4–carbonyl)benzo[f]benzo[5,6]isoindolo[2,1–a]quinoline–9,14–dione (7d)
3.3.5. 15–(4–Chlorobenzoyl)benzo[f]benzo[5,6]isoindolo[2,1–a]quinoline–9,14–dione (7e)
3.4. Cell Proliferation Assay
The Standard NCI/DTP Methodology of the In Vitro Cancer Screen [48]
4. Conclusions
Supplementary Materials
Author Contributions
Funding
Institutional Review Board Statement
Informed Consent Statement
Data Availability Statement
Acknowledgments
Conflicts of Interest
Sample Availability
References
- Ram, V.J.; Sethi, A.; Nath, M.; Pratap, R. Chapter 2. Six–Membered Heterocycles. In The Chemistry of Heterocycles: Chemistry of Six to Eight Membered N, O, S, P and Se; Dennis, S., McCloskey, E.M., Eds.; Elsevier: Amsterdam, The Netherlands, 2019; pp. 101–106. [Google Scholar]
- Amăriucăi–Mantu, D.; Mangalagiu, I.I.; Antoci, V. Synthesis of Benzo[f]Quinoline and its Derivatives: Mini Review. Med. Analy. Chem. Int. J. 2019, 3, 000133. [Google Scholar] [CrossRef]
- Sutherland, J.B.; Cross, E.L.; Heinze, T.M.; Freeman, J.P.; Moody, J.D. Fungal biotransformation of benzo[f]quinoline, ben-zo[h]quinoline, and phenanthridine. Appl. Microbiol. Biotechnol. 2005, 67, 405–411. [Google Scholar] [CrossRef] [PubMed]
- Lintelmann, J.; França, M.H.; Hübner, E.; Matuschek, G. A liquid chromatography–atmospheric pressure photoionization tandem mass spectrometric method for the determination of azaarenes in atmospheric particulate matter. J. Chromatogr. A 2010, 1217, 1636–1646. [Google Scholar] [CrossRef] [PubMed]
- Cheremisinoff, N.P.; Rosenfeld, P.E. Chapter 1. Wood–preserving chemicals. In Handbook of Pollution Prevention and Cleaner Production, Best Practices in the Wood and Paper Industries; Cheremisinoff, N.P., Rosenfeld, P.E., Eds.; Elsevier: Oxford, UK, 2010; pp. 1–26. [Google Scholar] [CrossRef]
- Ma, C.Y.; Ho, C.; Caton, J.E.; Griest, W.H.; Guerin, M.R. Isolation and identification of benzoquinolines in natural and synthetic crude oils. Fuel 1987, 66, 612–617. [Google Scholar] [CrossRef]
- Sikka, H.C.; Kandaswamia, C.; Kumar, S.; Rutkowski, J.P.; Dubey, S.K.; Earleyb, K.; Guptab, R.C. Hepatic DNA adductformation in ratstreatedwithbenzo[f]quinoline. Cancer Lett. 1988, 43, 133–138. [Google Scholar] [CrossRef]
- Antoci, V.; Oniciuc, L.; Amariucăi–Mantu, D.; Moldoveanu, C.; Mangalagiu, V.; Amarandei, A.M.; Lungu, C.N.; Dunca, S.; Mangalagiu, I.I.; Zbancioc, G. Benzoquinoline Derivatives: A Straightforward and Efficient Route to Antibacterial and Antifungal Agents. Pharmaceuticals 2021, 14, 335. [Google Scholar] [CrossRef]
- Elenich, O.V.; Lytvyn, R.Z.; Blinder, O.V.; Skripskaya, O.V.; Lyavinets, O.S.; Pitkovych, K.E.; Obushak, M.D.; Yagodinets, P.I. Synthesis and antimicrobial activity of 3–phenyl–1–methylquinolin–2–one derivatives. Pharm. Chem. J. 2019, 52, 969–974. [Google Scholar] [CrossRef]
- Der, H.; Kumbhani, J.; Patel, M.; Ram, K.; Joshi, D.; Chatrabhuji, P. Synthesis, characterization and biological evaluation of novel 3–amino–1– (phenyl)benzo[f]quinoline–3–carbonitrile derivatives. Int. J. Chem. Stud. 2016, 4, 5–9. [Google Scholar]
- Park, G.Y.; Wilson, J.J.; Song, Y.; Lippard, S.J. Phenanthriplatin, a monofunctional DNA–binding platinum anticancer drug candidate with unusual potency and cellular activity profile. PNAS 2012, 109, 11987–11992. [Google Scholar] [CrossRef]
- Dikusar, E.A.; Kadutskii, A.P.; Kozlov, N.G.; Yuvchenko, A.P.; Mel¢nichuk, L.A. Salts of spiro-derivatives of benzo[f]quinoline and several natural carboxylic acids. Chem. Nat. Compd. 2006, 42, 118–120. [Google Scholar] [CrossRef]
- Tietze, L.F.; Herzig, T.; Fecher, A. Novel Prodrugs Von 6–Hydroxy–2,3–dihydro–1H–indoles, 5–hydroxy–1,2–dihydro–3Hpyrrolo [3,2–E]indoles and 5–Hydroxy–1,2–dihydro–3H–benzo(e)indoles As Well As of 6–Hydroxy–1,2,3,4–tetrahydro benzo[f]quinoline Derivatives for Use in Selective Cancer Therapy. U.S. Patent 2004/0033962 A1, 2004. [Google Scholar]
- Moldoveanu, C.; Mangalagiu, I.; Zbancioc, G. Fluorescent Azasteroids through Ultrasound Assisted Cycloaddition Reactions. Molecules 2021, 26, 5098. [Google Scholar] [CrossRef]
- Zbancioc, G.; Ciobanu, C.I.; Mangalagiu, I.I.; Moldoveanu, C. Ultrasound–Assisted Synthesis of Fluorescent Azatetracyclic Derivatives: An Energy–Efficient Approach. Molecules 2022, 27, 3180. [Google Scholar] [CrossRef]
- Seo, J.; Park, S.R.; Kim, M.; Suh, M.C.; Lee, J. The role of electron-transporting Benzo[f]quinoline unit as an electron acceptor of new bipolar hosts for green PHOLEDs. Dye. Pigment. 2019, 162, 959–966. [Google Scholar] [CrossRef]
- Park, S.R.; Seo, J.S.; Ahn, Y.; Lee, J.H.; Suh, M.C. Thermallystablebenzo[f]quinolinebased bipolar hostmaterials for greenphosphorescentOLEDs. Org. Electron. 2018, 63, 194–199. [Google Scholar] [CrossRef]
- Goel, A.; Kumar, V.; Singh, S.P.; Sharma, A.; Prakash, S.; Singh, C.; Anand, R.S. Non–aggregating solvatochromic bipolar benzo[f]quinolines and benzo[a]acridines for organic electronics. J. Mater. Chem. 2012, 22, 14880. [Google Scholar] [CrossRef]
- Kamatani, J.; Hashimoto, M.; Igawa, S.; Okada, S. Organic Metal Complex, and Organic Light Emitting Device and Display Apparatus Using the Same. U.S. Patent 2022/11342514 B2, 2022. [Google Scholar]
- Vitaku, E.; Smith, D.T.; Njardarson, J.T. Analysis of the structural diversity, substitution patterns, and frequency of nitrogen heterocycles among US FDA approved pharmaceuticals. J. Med. Chem. 2014, 57, 10257–10274. [Google Scholar] [CrossRef]
- WHO. Cancer. Available online: https://www.who.int/news-room/fact-sheets/detail/cancer (accessed on 5 February 2022).
- NIH. Cancer Treatment. Available online: https://www.cancer.gov/about-cancer/treatment/types (accessed on 14 March 2023).
- Abraham, J.; Staffurth, J. Hormonal therapy for cancer. Medicine 2016, 44, 30–33. [Google Scholar] [CrossRef]
- Esfahani, K.; Roudaia, L.; Buhlaiga, N.; Del Rincon, S.V.; Papneja, N.; Miller, W.H., Jr. A review of cancer immunotherapy: From the past, to the present, to the future. Curr Oncol. 2020, 27 (Suppl. 2), 87–97. [Google Scholar] [CrossRef]
- Czogała, W.; Czogała, M.; Kwiecinska, K.; Bik-Multanowski, M.; Tomasik, P.; Hałubiec, P.; Łazarczyk, A.; Miklusiak, K.; Skoczen, S. The Expression of Genes Related to Lipid Metabolism and Metabolic Disorders in Children before and after Hematopoietic Stem Cell Transplantation—A Prospective Observational Study. Cancers 2021, 13, 3614. [Google Scholar] [CrossRef]
- Kinch, M.S. An analysis of FDA–approved drugs for oncology. Drug Discov. Today 2014, 19, 1831–1835. [Google Scholar] [CrossRef]
- Magalhaes, L.G.; Ferreira, L.L.G.; Andricopulo, A.D. Recent Advances and Perspectives in Cancer Drug Design. An. Acad. Bras. Cienc. 2018, 90, 1233–1236. [Google Scholar] [CrossRef]
- Barreca, M.; Spanò, V.; Raimondi, M.V.; Tarantelli, C.; Spriano, F.; Bertoni, F.; Barraja, P.; Montalbano, A. Recurrence of the oxazole motif in tubulin colchicine site inhibitors with anti-tumor activity. Eur. J Med Chem. Rep. 2021, 1, 100004. [Google Scholar] [CrossRef]
- El-Sherief, H.A.M.; Youssif, B.G.M.; Bukhari, S.N.A.; Abdel-Aziz, M.; Abdel-Rahman, H.M. Novel 1,2,4-triazole derivatives as potential anticancer agents: Design, synthesis, molecular docking and mechanistic studies. Bioorganic Chemistry 2018, 76, 314–325. [Google Scholar] [CrossRef] [PubMed]
- Barreca, M.; Spanò, V.; Rocca, R.; Bivacqua, R.; Abel, A.C.; Maruca, A.; Montalbano, A.; Raimondi, M.V.; Tarantelli, C.; Gaudio, E.; et al. Development of [1,2]oxazoloisoindoles tubulin polymerization inhibitors: Further chemical modifications and potential therapeutic effects against lymphomas. Eur. J. Med. Chem. 2022, 243, 114744. [Google Scholar] [CrossRef]
- Vieira, A.M.G.; Silvestre, O.F.; Silva, B.F.B.; Ferreira, C.J.O.; Lopes, I.; Gomes, A.C.; Espiña, B.; Sárria, M.P. pH-sensitive nanoliposomes for passive and CXCR-4-mediated marine yessotoxin delivery for cancer therapy. Nanomedicine 2022, 17, 717–739. [Google Scholar] [CrossRef]
- Diaconu, D.; Antoci, V.; Mangalagiu, V.; Amariucai-Mantu, D.; Mangalagiu, I.I. Quinoline–imidazole/benzimidazole derivatives as dual–/multi–targeting hybrids inhibitors with anticancer and antimicrobial activity. Sci. Rep. 2022, 12, 16988. [Google Scholar] [CrossRef]
- Lungu, C.N.; Bratanovici, B.I.; Grigore, M.M.; Antoci, V.; Mangalagiu, I.I. Hybrid imidazole–pyridine derivatives: An approach to novel anticancer DNA intercalators. Curr. Med. Chem. 2020, 27, 154–169. [Google Scholar] [CrossRef]
- Mantu, D.; Antoci, V.; Moldoveanu, C.; Zbancioc, G.; Mangalagiu, I.I. Hybrid imidazole (benzimidazole)/pyridine (quinoline) derivatives and evaluation of their anticancer and antimycobacterial activity. J. Enzym. Inhib. Med. Ch. 2016, 31 (Suppl. S2), 96–103. [Google Scholar] [CrossRef] [PubMed]
- Al Matarneh, C.M.; Mangalagiu, I.I.; Shova, S.; Danac, R. Synthesis, structure, antimycobacterial and anticancer evaluation ofnew pyrrolo–phenanthroline derivatives. J. Enz. Inhib. Med. Chem. 2016, 31, 470–480. [Google Scholar] [CrossRef]
- Marangoci, N.L.; Popovici, L.; Ursu, E.L.; Danac, R.; Clima, L.; Cojocaru, C.; Coroaba, A.; Neamtu, A.; Mangalagiu, I.I.; Pinteala, M.; et al. Pyridyl–indolizine derivatives as DNA binders and pH–sensible fluorescent dyes. Tetrahedron 2016, 72, 8215–8222. [Google Scholar] [CrossRef]
- Antoci, V.; Mantu, D.; Cozma, D.G.; Usru, C.; Mangalagiu, I.I. Hybrid anticancer 1,2–diazine derivatives with multiple mechanism of action. Part 3 [4,5]. Med. Hypotheses 2014, 82, 11–15. [Google Scholar] [CrossRef]
- Mantu, D.; Maftei, D.; Iurea, D.; Ursu, C.; Bejan, V. Synthesis, structure, and in vitro anticancer activity of new polycyclic 1,2-diazines. Med. Chem. Res. 2014, 23, 2909–2915. [Google Scholar] [CrossRef]
- Shoemaker, H.R. The NCI60 human tumour cell line anticancer drug screen. Nat. Rev. Cancer 2006, 6, 813–823. [Google Scholar] [CrossRef]
- Skehan, P.; Storeng, R.; Scudiero, D.; Monks, A.; McMahon, J.; Vistica, D.; Warren, J.T.; Bokesch, H.; Kenney, S.; Boyd, M.R. New colorimetric cytotoxicity assay for anticancer–drug screening. J. Natl. Cancer Inst. 1990, 82, 1107–1112. [Google Scholar] [CrossRef]
- Boyd, R.B. The NCI In Vitro Anticancer Drug Discovery Screen. In Anticancer Drug Development Guide; Teicher, B.A., Ed.; Cancer Drug Discovery and Development; Humana Press: Totowa, NJ, USA, 1997; pp. 23–42. [Google Scholar] [CrossRef]
- The COMPARE Program. Available online: http://dtp.nci.nih.gov/docs/compare/compare.html (accessed on 14 March 2023).
- Dolomanov, O.V.; Bourhis, L.J.; Gildea, R.J.; Howard, J.A.K.; Puschmann, H. OLEX2: A complete structure solution, refinement and analysis program. J. Appl. Crystallogr. 2009, 42, 339–341. [Google Scholar] [CrossRef]
- Sheldrick, G.M. SHELXT–Integrated space–group and crystal–structure determination. ActaCrystallogr. Sect. A Found. Crystallogr. 2015, 71, 3–8. [Google Scholar] [CrossRef]
- Sheldrick, G.M. Crystal structure refinement with SHELXL. ActaCrystallogr. Sect. C Struct. Chem. 2015, 71, 3–8. [Google Scholar] [CrossRef]
- Development. Available online: https://next.cancer.gov/developmentResources/default.htm (accessed on 14 March 2023).
- Cell Lines in the In Vitro Screen. Available online: https://dtp.cancer.gov/discovery_development/nci-60/cell_list.htm (accessed on 14 March 2023).
- The Standard NCI/DTP Methodology of the In Vitro Cancer Screen. Available online: https://dtp.cancer.gov/discovery_development/nci-60/methodology.html (accessed on 14 March 2023).




| Compd. | IR, cm−1(νC=O) | 1H–NMR | 13C–NMR | |||||
|---|---|---|---|---|---|---|---|---|
| H–10 | H–11 | H–14a | H–15a | H–15 | H–16 | |||
| 6a | 1722, 1690, 1644 | 8.78 | 8.67 | 3.86 | 3.86 | - | - | 102.8 (C–1), 122.7 (C–2), 124.3 (C–3), 133.8 (C–13) |
| 6b | 1694, 1638 | 8.78 | 8.67 | - | - | 4.38 | 1.40 | 104.5 (C–1), 120.0 (C–2), 124.0 (C–3), 135.9 (C–13) |
| 6c | 1716, 1693 | 8.53 | 8.47 | 3.94 | 4.03 | - | - | 104.5 (C–1), 117.0 (C–2), 132.0 (C–3), 138.0 (C–13) |
| 6d | 1687 | 8.54 | 8.44 | - | - | 4.41 | 1.45 | 106.8 (C–1), 127.4 (C–2), 119.3 (C–3), 139.5 (C–13) |
| 6e | 1700, 1690 | 8.52 | 8.47 | 3.94 | 4.03 | - | - | 104.5 (C–1), 117.2 (C–2), 131.9 (C–3), 137.9 (C–13) |
| 6f | 1688 | 8.56 | 8.46 | - | - | 4.44 | 1.46 | 106.8 (C–1), 127.2 (C–2), 119.8 (C–3), 139.4 (C–13) |
| H–6 | H–7 | H–8 | aliphatic region | |||||
| 7a | 1663, 1639 | 8.53 | 8.69 | 8.60 | - | 137.9 (C–9), 112.2 (C–10), 121.8 (C–17), 126.8 (C–18) | ||
| 7b | 1723, 1673, 1670 | 8.62 | 8.65 | 8.56 | 4.25 (H–21) | 134.6 (C–9), 111.6 (C–10), 120.3 (C–17), 124.8 (C–18) | ||
| 7c | 1720, 1670, 1663 | 8.24 | 8.31 | 8.14 | 4.75 (H–21), 1.55 (H–22) | 135.4 (C–9), 110.5 (C–10), 121.4 (C–17), 123.9 (C–18) | ||
| 7d | 1661, 1633 | 8.63 | 8.79 | 8.69 | - | 137.4 (C–9), 111.5 (C–10), 125.7 (C–17), 128.0 (C–18) | ||
| 7e | 1662, 1634 | 8.65 | 8.80 | 8.71 | - | 137.4 (C–9), 111.6 (C–10), 125.9 (C–17), 127.3 (C–18) | ||
| Cell Type | Compound/Growth Inhibition Percent (PGI%) a | ||||||||
|---|---|---|---|---|---|---|---|---|---|
| 3b | 3d | 3e | 3f | 3g | 6a | 6d | 7b | 7e | |
| Leukemia | |||||||||
| CCRF–CEM | 3 | 72 | 48 | 68 | 41 | 26 | 0 | 2 | 0 |
| HL–60 (TB) | 20 | 99 | 78 | 100(62) b | 70 | 0 | 0 | 1 | 0 |
| K–562 | 34 | 92 | 84 | 100(26) b | 83 | 17 | 0 | 0 | 0 |
| MOLT–4 | 33 | 86 | 68 | 100(3) b | 67 | 10 | 3 | 0 | 0 |
| RPMI–8226 | 40 | 95 | 75 | 93 | 67 | 33 | 13 | 0 | 0 |
| SR | 40 | 98 | 66 | 100(28) b | 88 | 28 | 20 | 9 | 0 |
| Non–small Cell Lung Cancer | |||||||||
| A549/ATCC | 9 | 76 | 62 | 59 | 43 | 0 | 0 | 0 | 0 |
| EKVX | 10 | 71 | 57 | 59 | 43 | 8 | 20 | 3 | 3 |
| HOP–62 | 0 | 64 | 56 | 56 | 28 | 0 | 20 | 8 | 8 |
| HOP–92 | 15 | 100(8) b | 88 | 93 | 87 | 25 | 17 | 0 | 1 |
| NCI–H226 | 22 | 64 | 41 | - | 32 | 32 | 22 | 8 | 0 |
| NCI–H23 | 29 | 73 | 72 | 56 | 41 | 26 | 17 | 7 | 4 |
| NCI–H322M | 5 | 57 | 31 | 36 | 37 | 25 | 0 | 1 | 0 |
| NCI–460 | 0 | 96 | 81 | 73 | 46 | 43 | 0 | 0 | 0 |
| NCI–H522 | 11 | 78 | 71 | 64 | 25 | 6 | 1 | 4 | 7 |
| Colon Cancer | |||||||||
| COLO 205 | 7 | 94 | 74 | 75 | 53 | 19 | 1 | 0 | 0 |
| HCC–2998 | 0 | 83 | 52 | 88 | 54 | 0 | 0 | 0 | 0 |
| HCT–116 | 48 | 88 | 70 | 85 | 81 | 19 | 11 | 0 | 0 |
| HCT–15 | 0 | 43 | 13 | 47 | 23 | 23 | 0 | 0 | 0 |
| HT29 | 0 | 88 | 80 | 87 | 79 | 5 | 1 | 0 | 0 |
| KM12 | 15 | 74 | 65 | 72 | 23 | 8 | 1 | 1 | 0 |
| SW–620 | 3 | 81 | 64 | 72 | 51 | 11 | 8 | 1 | 0 |
| CNS Cancer | |||||||||
| SF–268 | 26 | 57 | 62 | 52 | 16 | 11 | 0 | 0 | 0 |
| SF–295 | 5 | 77 | 70 | 66 | 53 | 15 | 16 | 3 | 1 |
| SF–539 | 23 | 75 | 47 | 39 | 65 | 30 | 3 | 9 | 12 |
| SNB–19 | 32 | 74 | 68 | 74 | 44 | 17 | 11 | 10 | 4 |
| SNB–75 | 13 | 57 | 18 | 29 | 2 | 29 | 20 | 4 | 13 |
| U251 | 40 | 82 | 72 | 70 | 46 | 2 | 8 | 0 | 0 |
| Melanoma | |||||||||
| LOX IMVI | 9 | 100(24) b | 54 | 89 | 82 | 25 | 9 | 5 | 10 |
| MALME–3M | 32 | 87 | 66 | 57 | 35 | 26 | 5 | 12 | 0 |
| M14 | 21 | 83 | 62 | 76 | 39 | 12 | 0 | 6 | 0 |
| MDA–MB–435 | 33 | 87 | 63 | 61 | 38 | 7 | 1 | 0 | 0 |
| SK–MEL–2 | 0 | 64 | 44 | 37 | 13 | 0 | 0 | 0 | 0 |
| SK–MEL–28 | 6 | 56 | 33 | 26 | 21 | 10 | 0 | 0 | 0 |
| SK–MEL–5 | 63 | 100(89) b | 100(32) b | 100(35) b | 62 | 29 | 0 | 0 | 0 |
| UACC–257 | 8 | 95 | 85 | 47 | 48 | 0 | 0 | 1 | 0 |
| UACC–62 | 43 | 68 | 44 | 34 | 36 | 7 | 20 | 8 | 3 |
| Ovarian Cancer | |||||||||
| IGROV1 | 14 | 69 | 33 | 52 | 51 | 24 | 19 | 0 | 0 |
| OVCAR–3 | 36 | 70 | 48 | 69 | 37 | 5 | 0 | 0 | 0 |
| OVCAR–4 | 39 | 80 | 67 | 91 | 37 | 36 | 34 | 0 | 0 |
| OVCAR–5 | 0 | 69 | 42 | 42 | 47 | 5 | 1 | 0 | 0 |
| OVCAR–8 | 1 | 78 | 74 | 74 | 49 | 26 | 4 | 0 | 0 |
| NCI/ADR–RES | 0 | 19 | 2 | 14 | 13 | 21 | 8 | 2 | 0 |
| SK–OV–3 | 12 | 66 | 50 | 47 | 27 | 0 | 10 | 7 | 5 |
| Renal Cancer | |||||||||
| 786–0 | 13 | 66 | 33 | 46 | 48 | 11 | 4 | 0 | 0 |
| A498 | 0 | 25 | 0 | 0 | 0 | 0 | 0 | 0 | 0 |
| ACHN | 0 | 50 | 21 | 44 | 33 | 28 | 41 | 0 | 18 |
| CAKI–1 | 12 | 47 | 21 | 67 | 27 | 9 | 38 | 9 | 8 |
| RXF 393 | 0 | 94 | 44 | 68 | 46 | 22 | 0 | 8 | - |
| SN12C | 15 | 85 | 83 | 74 | 46 | 17 | 22 | 0 | 0 |
| TK–10 | 0 | 59 | 27 | 31 | 35 | 0 | 0 | 0 | 0 |
| UO–31 | 16 | 70 | 44 | 71 | 68 | 37 | 45 | 26 | 30 |
| Prostate Cancer | |||||||||
| PC–3 | 29 | 81 | 73 | 86 | 64 | 23 | 19 | 0 | 5 |
| DU–145 | 0 | 64 | 44 | 58 | 32 | 26 | 0 | 0 | 0 |
| Breast Cancer | |||||||||
| MCF7 | 39 | 88 | 82 | 90 | 61 | 36 | 10 | 14 | 7 |
| MDA–MB–231/ATCC | 21 | 76 | 60 | 58 | 48 | 42 | 11 | 4 | 10 |
| HS 578T | 12 | 73 | 41 | 56 | 32 | 9 | 19 | 2 | 7 |
| BT–549 | 0 | 79 | 67 | 44 | 32 | 30 | 0 | 0 | 0 |
| T–47D | 10 | 56 | 62 | 64 | 35 | 21 | 3 | 10 | 0 |
| MDA–MB–468 | 85 | 100(10) b | 97 | 100(10) b | 69 | 29 | 0 | 2 | 0 |
Disclaimer/Publisher’s Note: The statements, opinions and data contained in all publications are solely those of the individual author(s) and contributor(s) and not of MDPI and/or the editor(s). MDPI and/or the editor(s) disclaim responsibility for any injury to people or property resulting from any ideas, methods, instructions or products referred to in the content. |
© 2023 by the authors. Licensee MDPI, Basel, Switzerland. This article is an open access article distributed under the terms and conditions of the Creative Commons Attribution (CC BY) license (https://creativecommons.org/licenses/by/4.0/).
Share and Cite
Oniciuc, L.; Amăriucăi-Mantu, D.; Diaconu, D.; Mangalagiu, V.; Danac, R.; Antoci, V.; Mangalagiu, I.I. Benzoquinoline Derivatives: An Attractive Approach to Newly Small Molecules with Anticancer Activity. Int. J. Mol. Sci. 2023, 24, 8124. https://doi.org/10.3390/ijms24098124
Oniciuc L, Amăriucăi-Mantu D, Diaconu D, Mangalagiu V, Danac R, Antoci V, Mangalagiu II. Benzoquinoline Derivatives: An Attractive Approach to Newly Small Molecules with Anticancer Activity. International Journal of Molecular Sciences. 2023; 24(9):8124. https://doi.org/10.3390/ijms24098124
Chicago/Turabian StyleOniciuc, Liliana, Dorina Amăriucăi-Mantu, Dumitrela Diaconu, Violeta Mangalagiu, Ramona Danac, Vasilichia Antoci, and Ionel I. Mangalagiu. 2023. "Benzoquinoline Derivatives: An Attractive Approach to Newly Small Molecules with Anticancer Activity" International Journal of Molecular Sciences 24, no. 9: 8124. https://doi.org/10.3390/ijms24098124
APA StyleOniciuc, L., Amăriucăi-Mantu, D., Diaconu, D., Mangalagiu, V., Danac, R., Antoci, V., & Mangalagiu, I. I. (2023). Benzoquinoline Derivatives: An Attractive Approach to Newly Small Molecules with Anticancer Activity. International Journal of Molecular Sciences, 24(9), 8124. https://doi.org/10.3390/ijms24098124

