Abstract
Synthetic polymers, commonly known as plastics, are currently present in all aspects of our lives. Although they are useful, they present the problem of what to do with them after their lifespan. There are currently mechanical and chemical methods to treat plastics, but these are methods that, among other disadvantages, can be expensive in terms of energy or produce polluting gases. A more environmentally friendly alternative is recycling, although this practice is not widespread. Based on the practice of the so-called circular economy, many studies are focused on the biodegradation of these polymers by enzymes. Using enzymes is a harmless method that can also generate substances with high added value. Novel and enhanced plastic-degrading enzymes have been obtained by modifying the amino acid sequence of existing ones, especially on their active site, using a wide variety of genetic approaches. Currently, many studies focus on the common aim of achieving strains with greater hydrolytic activity toward a different range of plastic polymers. Although in most cases the depolymerization rate is improved, more research is required to develop effective biodegradation strategies for plastic recycling or upcycling. This review focuses on a compilation and discussion of the most important research outcomes carried out on microbial biotechnology to degrade and recycle plastics.
Keywords:
synthetic polymers; plastics; biodegradation; genetic engineering; PET; PETase; cutinase; esterase 1. Introduction
1.1. Definition and Classification of Plastics
Plastics are a type of synthetic polymeric material based on carbon and hydrogen and with high molecular weight [1]. Industrial-scale plastic production began in the 20th Century, and their use has increased over time [2,3]. Plastics can be classified according to different criteria. For example, depending on the composition of their backbone, they can be homochain polymers (when their backbone is made up exclusively of carbon) or heterochain polymers (if there are other elements, like oxygen and nitrogen, present in their backbone) [4]. Depending on the monomers that they are made of, they can be classified as homopolymers if they only have one monomer or copolymers if they have two or more different monomers [1]. Depending on their thermomechanical properties, they can be thermosets if, during their fabrication, covalent bonds are established between polymer chains, giving them high resistance and a shape that cannot be modified thermically; thermoplastics, if no covalent bonds are established between polymer chains so they can be fused and reshaped; or elastomers if they have a high elasticity [5]. Depending on the presence of benzene rings in their backbone, they can be aromatic if they have benzene rings or aliphatic if they do not have benzene rings [6]. Depending on the raw material they are made from, they can be petrochemical (the raw material is petroleum) or biobased (the raw material is biomass), and depending on their degradability by organisms, they can be biodegradable or non-biodegradable.
1.2. Advantages and Disadvantages of Plastics
In general, plastics are lightweight, long-lasting, inert and cheap and easy to produce. Their diversity is such that there are plastics with the ideal characteristics for almost any application. Furthermore, the use of mixtures and alloys, as well as additives, can change the properties of the material and adjust them as desired [1]. As plastics are remarkably diverse and can have vastly different properties, their uses are just as varied. They are used to make, among many others, fibers and textiles, toys, packaging, healthcare instruments, such as syringes and implants, and construction materials for insulation, pipes and cable coatings [1]. Even though plastics are generally cheap and easy to produce and have good mechanical properties, the field of engineering requires especially resistant materials for very specific applications. Though they are more expensive, the so-called “engineering plastics” are used for that purpose as they boast a high performance [1]. Other plastics, known as commodity plastics, are found in everyday items.
The most used commodity plastics are poly(ethylene terephthalate) (PET), high-density polyethylene (HDPE), poly(vinylchloride) (PVC), low-density polyethylene (LDPE), polypropylene (PP) and polystyrene (PS) [2,7,8]. Products made with these plastics can be identified according to the ASTM International Resin Identification Coding System (RIC). The “Others” category includes all other plastics, as well as products made with a mixture of two or more plastics [9]. The global annual production of plastics exceeded 400 million metric tonnes (400 Mt) in 2022, 362.3 of which were new petrochemical plastics. Commodity plastics make up the following percentages (see Figure 1): PET 6.2%, HDPE 12.2%, PVC 12.7%, LDPE 14.1%, PP 18.9% and PS 5.2% [10]. Out of the different uses, most plastic is destined for packaging. In 2019, 142 Mt (31%) of plastics were used in packaging [3,7]. Between 1950 and 2022, more than 10 billion metric tonnes (10.000 Mt) of plastics were produced [2,10,11].
Figure 1.
Global production of the 6 commodity plastics (in million metric tons). Data obtained from [10].
Despite their useful properties, the use of plastics has two main disadvantages, which have to do with the beginning and the end of their lifetime: the first one is the fact that most plastics are petrochemical, and the second one is the amount of non-biodegradable waste generated. Regarding their origin, the reserves of petroleum are limited as petroleum is a non-renewable resource, and given the production rate in 2020, it is estimated that reserves will last for 50 years [12]. For the purposes of this article, the waste generated is the most relevant problem.
2. Bioplastics as an Alternative to Petroleum-Based and Non-Biodegradable Plastics
The most recent assessments estimate that out of the 9200 Mt of plastics produced until 2017, 6500 Mt (70%) have become waste. Of this waste, 5000 Mt (54%) ended up in landfills or were released into the environment [13]. This plastic waste has reached virtually every corner of the planet. The five so-called garbage patches are notorious for accumulating 250,000 tons of plastic [7], but plastics are also found elsewhere. They have been found in rivers, lakes, drinking water and table salt and even in extremely remote places, such as the seabed and both polar regions. They have reached such areas mostly in the form of micro- and nanoplastics, whose size allows them to travel much further and even enter organisms’ cells [14]. Due to their composition and structure, plastics can remain in the environment for thousands of years [15], and their effects on living beings’ health, while a complicated matter that is still under study, are undoubtedly severely negative. This has been researched especially in marine ecosystems, where they can cause harm to many different organisms [8,16,17], but they are also apparent in terrestrial ecosystems [18] and human health [19,20]. Moreover, the additives used to modify the properties of plastics can also have toxic effects on organisms [21], and plastics can adsorb and accumulate heavy metals, persistent organic contaminants and even pathogens [22].
Due to their harmful effects on the environment, plastics, like any other type of waste, have to be managed appropriately. Recycling rates are overall very low, with only 600 Mt (6.5%) of plastics produced worldwide until 2017 having been recycled and more than 5000 Mt of them ending up in landfills or being released into the environment [13]. Landfilling plastic waste, though simple, is not an adequate waste management strategy, as landfills can leach microplastics [23,24] as well as other contaminants [25]. Moreover, plastic waste in the environment does not remain permanently unchanged, as it slowly undergoes physicochemical changes that partially break it down. These changes include photodegradation, hydrolysis and thermo-oxidation. However, this transformation results mostly in the fragmentation of plastic rather than its mineralization, generating smaller plastic fragments (micro- and nanoplastics) that still remain in the environment. In order for plastics to be mineralized and, therefore, completely removed from the environment, biological degradation is required [26]. This biological degradation can be performed by different organisms but, even if plastics end up mineralized by the action of these organisms, the degradation rates are so slow and the plastic permanence is so high that most plastics are considered non-biodegradable. Given the problems derived from the properties of the most used plastics, a new type of material has received a lot of attention: bioplastics.
Bioplastics are a type of plastic that differs from conventional plastic in at least one of two ways: the raw material they are made from or their biodegradability. Bioplastics can either be made from biomass—biobased plastics—or be biodegradable or have both properties [27]. A particular type of bioplastics is poly(hydroxyalkanoates) (PHAs). They are naturally produced by some microorganisms, mostly bacteria, for energy storage [28] and are both biobased (as they are produced by an organism that can be grown with renewable feedstock) [29] and biodegradable (as they can be easily enzymatically degraded) [30]. Just like plastics in general, bioplastics are very varied, so grouping them in the bioplastic category is not particularly informative of their properties, especially without specifying which criteria make them such. Therefore, when discussing individual plastics, this work will specify if they are petrochemical or biobased and biodegradable or non-biodegradable (Figure 2). The main benefits of using bioplastics are summarized in the fact that biobased plastics do not involve the use of petroleum, and biodegradable plastics can be fully mineralized by organisms. However, bioplastic production still has an environmental impact when the whole life cycle is considered [31], and regarding biodegradable plastics, this property does not mean that they can be released into the environment without consequences [32].
Figure 2.
Classification of plastics according to the raw material and biodegradability. PHAs (including a major type, i.e., PHBV) constitute a special category of plastics since they are completely natural.
Biodegradable plastics can remain in the environment for long periods of time [33,34,35,36] and carry potentially toxic substances [37]. They can even act as a reservoir of microbes with antibiotic-resistance genes [38], so their waste should be managed, too [39]. In the case of biodegradable plastics, the preferred waste management strategy is carrying out their degradation by organisms. There are international standards developed to clearly define the conditions and timescale of biodegradation [40,41,42,43,44,45,46], but their use is not mandatory, so the criteria to determine the biodegradability of plastics can be quite arbitrary. However, plastic is generally considered biodegradable if there are organisms that can mineralize it in a reasonable amount of time in controlled conditions, which must always be specified.
3. Biodegradation of Plastic Polymers
The last few decades have seen an increasing interest in both biodegradable plastics and organisms that can degrade plastics. As new species and strains are discovered and genetic engineering is used to improve the enzymes involved in biodegradation, plastics that were previously considered non-biodegradable can now be degraded by one organism or another and to a greater or lesser extent. Therefore, the categories of biodegradable and non-biodegradable plastics are not fixed and can change over time, but in this work, we will use the usual classification.
Plastic-degrading microorganisms include bacteria, fungi and microalgae [47]. This review focuses on bacterial strains. Although genetic engineering approaches have been performed for decades, only a few bacteria have been modified to improve their capability of degrading these synthetic plastics or to grant them this characteristic by modifying their metabolism. More specifically, the modifications performed consist of the heterologous expression of enzymes that come from other organisms, mutating/changing specific amino acids of the enzymes and the addition of domains or other protein structures to the enzymes. Different techniques have been used in order to carry out these modifications, such as metagenomic analysis, directed and non-directed mutagenesis and the use of fusion proteins or chimeras.
This review is a compilation of the studies in which bacteria have been genetically modified, whether to grant them or enhance their ability to degrade plastics or simply to perform genetic modifications and will only mention the polymers for which modified bacteria have been obtained. Table 1 shows the modified bacterial strains that have been developed for the degradation of plastic polymers according to research published in the scientific literature (i.e., PubMed, Scopus, etc.).
Table 1.
Heterologous expression of enzymes to degrade PET, PLA, PBAT, PVAC, PCL, PBS, PHV, PU and LMWPE.
Since PET is one of the most produced plastics worldwide and its degradation is challenging, a special focus is put in this review in relation to the microbial biodegradation strategies developed specifically for this polymer (summarized in Table 2).
Table 2.
Heterologous expression of enzymes to degrade PET.
3.1. Biodegradation of PET
PET is one of the most produced petrochemical synthetic polymers, accounting for around 6.2% of global plastic production in 2022 [10], and its market size surpasses other highly produced plastics, such as HDPE, PVC or PP [74]. The main reason why PET is so produced is because its molecular structure offers a lot of versatility, making it essential in our daily lives. PET is a long semi-aromatic thermoplastic polyester chain produced from ethylene glycol (EG) and terephthalic acid (TPA). Its production has two steps. First, the union of two EG molecules and one TPA molecule by esterification generates an intermediate molecule, bis(2-hydroxyethyl) terephthalate (BHET). Secondly, BHET along with catalysts, such as Sb2O3 or Sb(OAc)3, is subjected to a process of polymerization, creating the long chain through ester bonds (Figure 3A) [5,75]. When it comes to the manufacturing process, amorphous and semi-crystalline PET are produced depending on the thermal processing undergone during the polymerization. The main difference between these two types lies in the intrinsic viscosity and molecular weight. In the case of the amorphous polymer, the long polyester chains are randomly set out, resulting in a more flexible plastic. On the other hand, semi-crystalline materials are formed by amorphous domains and chains arranged in an orderly way, making the material more resistant and less ductile (Figure 3B). These differences in its molecular structure make it both chemically and thermally stable. This is what makes PET a strong and durable compound, ideal for a wide variety of applications, such as synthetic fibers for the textile industry, water bottles and packaging [5,76].
Figure 3.
(A) PET industrial formation process using BHET as intermediate. Based on [5]. (B) Molecular structure of amorphous (up) and semi-crystalline (down) materials of PET. Adapted from [77].
Despite the advantages provided by PET, it also presents the serious drawback of what to do with it after its useful life. Most PET comes to an end accumulated in landfills. It is estimated that it takes around 300 years to decompose, degrading over time because of solar radiation and heat, among other factors, and releasing harmful chemical compounds to the environment. The estimate increases if its degradation is not accelerated by heat or solar radiation, reaching 2500 years or more. PET is so difficult to degrade due to its physicochemical properties, which make it resistant to decomposition by water and organic and inorganic compounds [73,76].
For this reason, there are a series of methods, which involve mechanical, chemical and biological methods, to recycle and reuse this polymer, producing fibers and fabrics. The mechanical methods are the most widespread, but they are also very expensive, while in the case of chemical methods, the process can be harmful to the environment [70,78].
In contrast with the previously mentioned methods, biological methods are on the rise because they do not damage the environment. These methods are still in development and are based on the use of cells as factories of enzymes able to break the bonds of PET, releasing the monomers of which it is composed. After that, those different monomers can be subjected to a valorization process to generate high value-added molecules, such as polyhydroxyalkanoates, vanillic acid, gallic acid, lycopene, glycolic acid, pyrogallol, catechol and muconic acid, which can be used as flavors, cosmetics, sanitizers and animal feed and in pharmacy, among other uses [78,79].
3.1.1. Enzymes Involved in the PET Degradation Pathway
The reason why PET can be degraded by enzymes is because a lot of them are unspecific regarding their substrates. The current literature offers many names given to these enzymes, such as PET hydrolases, PET esterases, PET cutinases, PET depolymerases or PETases. PET esterases, PET cutinases and PET depolymerases are hydrolytic enzymes that are able to break the ester bonds of biological molecules, like suberin and cutin, and due to their unspecificity, it turns out that they can break those of PET as well. On the other hand, PETases are hydrolytic enzymes more specific to PET [80,81]. Due to the specificity, there are small differences between the different types of enzymes, such as PET cutinases, which can hydrolyze the ester bonds of aliphatic and aromatic molecules, while PETases can only hydrolyze bonds of aromatic molecules [54,65,69]. To simplify the following explanation, we will refer to all of them as PETases unless it is otherwise stated, with the understanding that PETases are enzymes that hydrolyze PET.
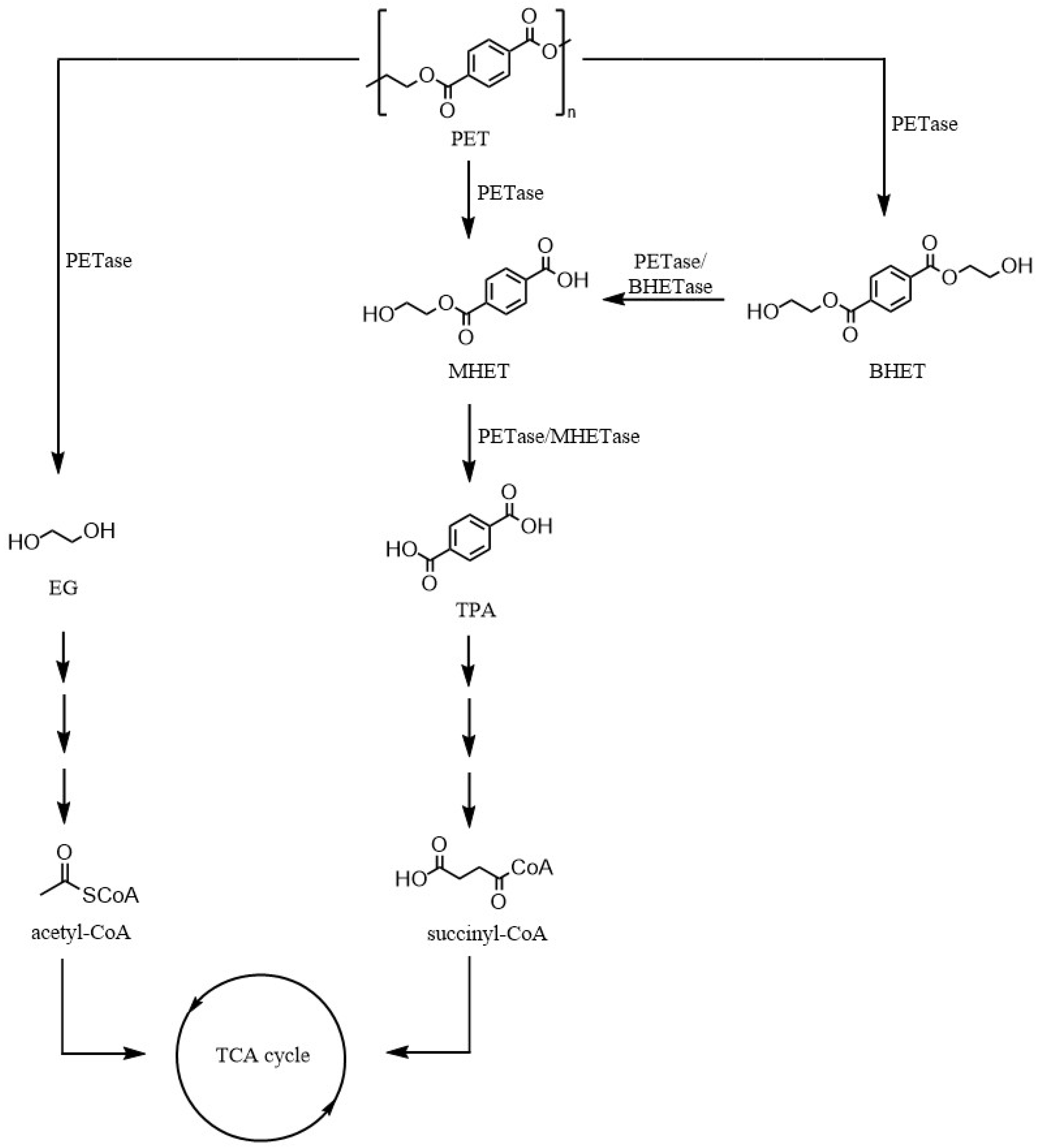
The hydrolyzation pathway of PET is summarized in Figure 4. In most cases, PETases are capable by themselves of firstly depolymerizing the PET chain and secondly degrading its monomers—mono(2-hydroxyethyl) terephthalate (MHET) and BHET—to finally form TPA and ethylene glycol. PETases can directly produce MHET and TPA, or In contrast, if BHET is generated, they can degrade it to MHET [5,78]. However, there are some PETases that are not able to carry out both steps by themselves, as is the case with PE-H (Pseudomonas aestusnigri) and IsPETase (Ideonella sakaiensis). Both can only depolymerize PET because they cannot break the ester bond of MHET, which accumulates [82]. In contrast, there are enzymes capable of degrading only MHET (MHETases). IsMHETase is an example, being able to degrade MHET to finally produce ethylene glycol and TPA. Although there are enzymes that do not carry out both degradation actions by themselves, they can complement each other. IsMHETase and IsPETase were found in I. sakaiensis 201-F6 when this strain was discovered in a medium whose only carbon source was PET [81]. Recently, a new category of enzymes has been discovered, BHETases, which specifically catalyze the transition from BHET to MHET. Two BHETases have been characterized, ChryBHETase from Chryseobacterium sp. and BsEst from Bacillus subtilis [83].
Figure 4.
Chemical structures of PET and products related to its hydrolyzation. Each arrow represents an enzymatic reaction. The presence of multiple arrows, like between EG—acetyl-CoA and TPA—succinyl-CoA, refers to the fact that there is more than one chemical reaction between one molecule and another. Adapted from [80].
As a consequence of the cooperation between PETases and MHETases or the action of only PETases, PET is hydrolyzed, and TPA and ethylene glycol are released, and they can be metabolized (Figure 4). TPA presents a biochemical pathway to finally be degraded to succinyl-CoA. Regarding ethylene glycol, it can be metabolized to obtain acetyl-CoA [78]. Both succinyl-CoA and acetyl-CoA are incorporated into the tricarboxylic acid cycle (TCA) to obtain energy for the bacteria and, in certain cases, some products of interest. For example, species I. sakaiensis and Geobacter sulfurreducens when cocultivated can degrade PET to ethylene glycol and generate electricity [84]. In another study, a Rhodococcus josii strain PET metabolized the PET hydrolysate and synthesized lycopene, which is used in medicine for cancer treatments [85]. One example of a modified bacteria is Escherichia coli modified to degrade PET and produce vanillin, present in cosmetic and food industries [70]. The cleavage of the ester bond happens inside the enzyme’s active site, and the ability of different enzymes to hydrolyze PET comes as a consequence of a nucleophilic similarity produced by three amino acids conserved in PETases, Ser-His-Asp. In contrast, the adjacent sequences to these amino acids are different among enzymes, varying their selectivity to substrates [50,63].
There are two proposed classifications for PETases in the literature. One of them is based on their sequence, while the other one is based on their protein structure. According to the sequence-based classification, PETases can be classified as type I and type II enzymes [5]. Type I enzymes have one C-terminal disulfide bridge, and type II enzymes have two, with one of them being close to the active site. This additional disulfide bridge provides type II enzymes more thermal stability and plays a key role in the hydrolytic action [5,63,86]. Another characteristic that differentiates both types is the amino acids present in the active site. Type I enzymes, such as LCC and Cut190, which will be mentioned later, have His159 and Phe/Tyr238 residues, and type II enzymes present Trp and Ser in the same locations. In addition, type II enzymes are subdivided into type IIa if they have Phe or Tyr residues instead of Ser238 or type IIb if they maintain Ser, as is the case with IsPETase. As an exception, type I enzymes may not have the disulfide bridge. This is the case with PET27 and PET30 from Aequorivita sp. CIP111184 and Kaistella jeonii, respectively. According to the structure-based classification, PETases can have three different structures, with IsPETase, Fusarium oxysporum cutinase and Chloroflexus sp. MS-G cutinase representing Structures 1, 2 and 3, respectively [87]. For example, IsPETase presents an α/β-hydrolase fold and a core made up of eight β-strands and six α-helices, as well as a highly polarized surface [65].
3.1.2. Modifications of Bacteria and Enzymes to Improve PET Degradation
Since the discovery of PET-degrading enzymes in the last century, efforts have been made to improve their degradation rate, either by searching for new enzymes and heterologously expressing them in other microorganisms or by modifying the existing ones. It was not until 2016 that the first PETase (IsPETase) was discovered in I. sakaiensis 201-F6, a specific enzyme that allowed the bacteria to use PET as its major carbon and energy source. The experiments were carried out at 30 °C and pH 7, and this enzyme was compared with three other enzymes with hydrolytic activity toward PET [81]. IsPETase has an α/β hydrolase fold like cutinases but with a larger active site [65]. After this discovery, modifications of this IsPETase have been carried out in order to obtain a higher degradation rate. The importance of the amino acids of the active site or close to it is emphasized, as will be seen afterward with cutinases. In addition, the presence of one amino acid or another may affect the enzyme–substrate interaction affinity and, therefore, the degradation of the polymer [86].
However, before IsPETase was discovered, different genetic engineering methods had already been carried out to increase the degradation speed of esterases and cutinases [55]. Site-directed mutagenesis was used to specifically modify the sequence close to the active site of a cutinase from Fusarium solani pisi. Mutations were carried out to create a bigger space in the active site to facilitate the entrance of the polymeric chain. The modifications that created a more hydrophobic binding site resulted in the greatest PET degradation compared with the native enzyme. PET was degraded at a rate of 12 mg/h/mg of modified cutinase at pH 8 and 50 °C, while the native enzyme degraded 0.05 mg/h/mg of the enzyme at pH 7.0 and 55 °C.
Continuing with the idea of increasing hydrophobicity, in 2011, two amino acids were removed from the active site of the cutinase Tfu_0883 from Thermobifida fusca, expanding the space and improving its capacity to hydrolyze polyesters due to better PET adsorption. In the same experimental conditions, after 4 h, the native enzyme reached a spectral value (k/s) of 0.1, while the modified enzyme reached almost 0.2. Stretching the time, at 48 h, the values were around 0.15 and 0.3, respectively [56]. In addition, the amino acids of surface regions outside the active site turned out to have a direct action in PET hydrolysis, as mentioned in Herrero-Acero et al. [57]. In this study, the cutinase Thc_Cut2 from Thermobifida cellulosilytica DSM44535 was modified by exchanging amino acids in the surface region. It was shown that exchanging a surface positive residue, like arginine, for a non-charged one, like asparagine and serine, makes a modified enzyme with a higher affinity for PET, according to their kcat/Km values. In this case, the modifications produced a variation in the hydrolytic capacity of the enzymes, but the hydrophobicity did not change at any time. It is speculated that these changes in the amino acid sequence may decrease the size of the active site, stabilizing the region.
A similar idea is mentioned in Kawai et al. [58], where CUT190 cutinase from Saccharomonospora viridis AHK190 was triple-mutated to Ser226Pro/Arg228Ser/Thr262Lys. It was previously known that in its native state, it is able to degrade different polymers, such as PCL, PBSA, PBS and PHB, among others. However, these modifications resulted in an enzyme with more activity and higher thermostability. A possible explanation for this result was that a polar amino acid with a positive charge, such as arginine, close to the binding site, could interact with negative charges that may be present in the substrate molecules [61]. For this reason, arginine was replaced by serine. In addition, it was concluded that the addition of Ca2+ to the medium provides greater thermostability to CUT190 [58]. In another study, Han et al. [61] obtained an enzyme with a mutation near the substrate binding site that facilitated the union with the substrate and increased its thermostability to 5 °C higher than the native enzyme.
In contrast, Austin et al. [65] achieved a modified IsPETase exchanging two amino acids—Ser238Phe/Trp159His—conserved in cutinases next to the active site. The modified enzyme had a smaller binding site and resulted in a slightly higher degradation rate of PET and polyethylene-2,5-furandicarboxylate (PEF), a semiaromatic polyester derived from PET. Hydrophobicity is mentioned to be relevant in the adsorption of the polymer by the active site. In the following work with IsPETase, eight modified enzymes were obtained. Three of them with modifications in their active site—Arg61Ala, Leu88Phe and Ile179Phe—resulted, respectively, in higher PET degradation rates of 13.5 mg PET/µmol PETase·L−1 per day, 17.5 mg PET/µmol PETase·L−1 per day and 22.5 mg PET/µmol PETase·L−1 per day compared with the native IsPETase of 8.2 mg PET/µmol PETase·L−1 per day. In two of them, the hydrophobicity remained constant, and in the third, it increased. However, the other five modified enzymes obtained lower results than the native one. In three of these, the hydrophobicity increased, and only in one mutant, it decreased [66]. Therefore, according to these studies, not only the hydrophobicity in the active site can influence PET depolymerization, but the type of amino acid that is modified can also affect it.
Focusing on another parameter, in 2019, it was tested to see if a more thermostable IsPETase was able to degrade PET at a faster rate. Native IsPETase has a Tm of 48.81 °C, while the obtained triple-mutated IsPETase—Ser121Glu/Asp186His/Arg280Ala—had a Tm of 57.62 °C. This mutant released 14 times more monomers at 40 °C than the native enzyme, obtaining an enzymatic activity of 120.9 µM and 8.7 µM, respectively [67].
In addition, there are genetic engineering works based on metagenomics, such as in Sulaiman et al. [54], where they cloned a leaf-branch compost cutinase (LC-cutinase or LCC), whose highest identity was with a Thermomonospora curvata lipase with 59.7%, and degradation of PET was achieved under the conditions of 50 °C and pH 8 at a rate of 12 mg/h/mg of the enzyme. This result is much greater when compared to T. fusca cutinase at 55 °C and pH 7, which consumes 0.05 mg of PET/h/mg of the enzyme [88].
The main drawback of expressing LC-cutinase is that it forms aggregates with itself due to electrostatic interactions as a result of increasing the temperature. This produces an inhibition in the depolymerization of PET. For this reason, it was tested to see if glycosylating LC-cutinase could prevent this. The result was that glycosylated LC-cutinase began to form aggregates at 10 °C above its native protein [62].
Following the idea that glycosylation can influence enzymes’ properties, another study used the previously mentioned cutinase Thc_Cut1 from Thermobifida cellulosilytica and generated two mutated cutinases without glycosylation sites. All were able to hydrolyze polyesters, such as PET, poly(butylene succinate) (PBS) and poly(3-hydroxybutyrate-co-3-hydroxyvalerate) (PHBV), but one of the mutants had higher PBS-degrading activity than the native enzyme [51]. Metagenomics was also used by Wei et al. [59], exchanging amino acids from the structure of a cutinase obtained with this technique for others from TfCut2, a polyester hydrolase from Thermobifida fusca KW3. The best mutants were those with modifications near the binding site. The mutations Gly62Ala and G62Ala/I213Ser achieved a weight loss of 42% of PET films, almost three times more compared to the native protein. This may be due to the fact that the wild-type enzyme is inhibited by MHET, and the substitution of these amino acids may decrease the affinity of the mutants for this molecule. To avoid the problem of inhibition by MHET, Barth et al. [60] used the dual-protein system with TfCut2 and the carboxylesterase TfCa, both from T. fusca KW3. With this, TfCut2 degraded PET, and TfCa achieved the same with BHET and MHET. This dual system generated 2.4 times more TPA than using TfCut2 alone. On the other hand, Tournier et al. [69] obtained a modified LC-cutinase with a higher affinity for PET and higher thermostability. This was achieved by exchanging two amino acids, previously tested using in silico methods, with which the new enzyme presented a disulfide bridge. This bridge conferred greater strength in the bond to the substrate, and the other two modifications improved thermostability. In its native state, this enzyme depolymerized 50% of the amorphous PET, while the modified LC-cutinase reached 90% after 10 h. Regarding productivity, it produced 16.7 g of TPA per liter per hour as a consequence of degrading PET. The optimal ratio to obtain these results was 3 mg of mutated enzyme/per g of PET.
Another article based on metagenomics modified the anaerobic bacteria Clostridium thermocellum to constitutively express and secrete LC-cutinase in large quantities. After 14 days incubating anaerobically at 60 °C, more than 60% of amorphous PET was degraded. It was 50 mg in total, corresponding to more than 2.2 mg each day [68].
One interesting aspect is obtaining high-value by-products through the degradation of PET, as shown by Sadler et al. [70]. Following this idea, they created the strain E. coli MG1655 RARE. This genetically modified strain is able to degrade PET, release TPA and obtain vanillin. This was made using PETases from I. sakaiensis and a de novo pathway to convert TPA to vanillin. To optimize the process, parameters such as temperature and cell permeabilization were improved, and 79% vanillin production was obtained compared to TPA.
In recent years, there has been a trend to create fusion proteins to depolymerize PET. This is the case with Zhu et al. [71]. They modified E. coli with the BIND-PETase dimer. It is a dimer in which the so-called biofilm-integrated nanofiber display (BIND) binds to the curli of bacteria. Curli are fibers on the outside of the cell that are involved in forming biofilms. Through this method, PETase bound to BIND remains on the surface of the cell and degrades the polymer. It is a system that provides thermostability to PETase and makes it able to degrade 9.1% semi-crystalline PET and microplastics between 2.5 and 50 mg.
Based on the protein fusion strategy, Chen et al. [72] synthesized two modified LC-cutinases. They based them on the modified LC-cutinase created by Tournier et al. [69] called LCCICCG and previously mentioned, which had higher catalytic activity and thermal stability but little affinity for PET. These two fusion proteins, LCCICCG-TrCBM and CfCBM-LCCICCG, were made by adding a substrate-binding domain to LCCICCG from Trichoderma reesei and Cellulomonas fimi, respectively. These domains were selected in silico based on the principles that domains from thermophilic organisms, domains that bind to ordered crystalline substrates and domains that are smaller than the rest of the protein are more adequate. It was estimated with the experimental results that the affinity for the polymer increased 1.4 fold in LCCICCG-TrCBM and 1.3 fold in CfCBM-LCCICCG, while they degraded 3.7% and 24.2% more PET, respectively.
Another recent project using this technique appears in Li et al. [73]. The researchers modified the non-pathogenic, moderate halophile Vibrio natriegens with a chimera of IsPETase and IsMHETase from I. sakaiensis, with the aim of degrading PET present in seawater. PET was almost completely transformed to TPA, and it was determined that the strain would take 24 years to completely decompose 1 g/L of PET. The creation of chimeras is a novel technique that still has a long way to go in relation to the degradation of synthetic polymers.
Concluding with this polymer, numerous techniques for its depolymerization have been carried out to improve the efficiency of enzymes or modify bacteria with these PETases. Today, research is still needed to obtain more efficient methods for bacteria. This is due to the physical–chemical structure of PET and its own disposition in space, with the semi-crystalline structure being more recalcitrant. The use of enzymes to treat the problem of this polymer has the advantage of being harmless to living beings and the environment, so further research should be carried out.
3.2. Biodegradation of Other Plastic Polymers
Genetic engineering approaches carried out to degrade synthetic polymers have not only focused on PET but also on other polymers, as described below.
3.2.1. Polyethylene (PE)
PE is a particular type of plastic that results from the polymerization of ethylene. A lot of plastics in this group are copolymers of ethylene and olefins, the latter of which result in branches in the plastic’s structure. This results in a wide variety of polyethylenes with different properties [89]. Multiple organisms have been discovered that can degrade different types of polyethylene [90,91,92].
In a study of genetic engineering, Gyung Yoon et al., who expressed the alkane hydroxylase gene (alkB) of Pseudomonas sp. E4 in E. coli BL21, found that it was able to degrade low-molecular-weight polyethylene (LMWPE) [53]. Kong et al. bound the latex clearing protein derived from Streptomyces sp. strain K30 (LcpK30) to the anchor peptide LCI and expressed it in E. coli in order to improve its ability to degrade low-density polyethylene (LDPE) [93].
3.2.2. Poly(butylene Adipate-co-terephthalate) (PBAT)
PBAT is a long-chain aliphatic–aromatic copolyester formed by subunits of TPA, adipic acid and 1,4-butanediol linked by ester bonds. It is estimated that its global production was more than 360 million tons in 2018 [94]. Its importance relies on the fact that, like PET, it is a plastic used in daily life due to the advantages it presents. It is easy and cheap to produce, resistant and very versatile due to its chemical structure, which gives it the property of being rigid and flexible [95]. PBAT is produced by the condensation of TPA, 1,4-butanediol and adipic acid, and catalysts with tin, zinc and titanium are used [96]. It is widely used in the textile industry, agriculture and packaging. It is also present in organic waste bags because its ester bonds are more easily degradable by enzymes. Its biodegradability has been demonstrated in previous studies, so it is considered a bioplastic [97].
However, its biodegradation rate is low [95]. For this reason, some studies have been carried out with cutinases to better understand the hydrolysis mechanism of PBAT. Due to the presence of ester bonds in PBAT, it is possible to extrapolate the cutinases research carried out on PET to biodegrade PBAT. This happens with Yang et al. [98], where researchers studied the structure of T. fusca cutinase TfCut. This enzyme is known to degrade PBAT into its monomers. A double-mutated cutinase, TfCut-DM, was created. TfCut-DM depolymerized all the PBAT into TPA after 48 h of culture, while, at that time, the native enzyme released more 1,4-butanediol-TPA than TPA. On the other hand, genes related to anaerobic living beings, such as Clostridium botulinum, have been researched. This is the case with the esterases Cbotu_EstA and Cbotu_EstB, which are expressed heterologously in E. coli BL21-Gold(DE3). They have been shown to be able to hydrolyze PBAT. However, some differences in the amino acids of its active site make Cbotu_EstA more efficient than Cbotu_EstB. In silico representations show that the active site of the first protein is larger, which can facilitate the entry of the polymer [49].
3.2.3. Poly(butylene succinate) (PBS)
PBS is an aliphatic polyester formed by the condensation of succinic acid and 1,4-butanediol. In the past, it was produced from compounds derived from petroleum. Nowadays, it is produced from renewable resources, such as sugar cane and corn, through bacterial fermentation [99]. This is a point in its favor in terms of being produced in greater quantities, along with the physical and chemical properties it has. It has a crystalline structure that gives it rigidity and some ductility and a wide temperature range with which to work. Among other uses, it is present in the textile industry and is a possible substitute for polypropylene [100].
The same proteins that hydrolyze PET and PBAT break the ester bonds of PBS. A study on the genetic engineering of cutinases is the one of Gamerith et al. [51], mentioned above for PET. In the article, they used Thc_Cut1 cutinase and two mutants, of which one of them resulted in hydrolyzing the PBS at a higher rate, degrading 92% of the dry weight after 96 h. This confirms its potential for PBS biodegradation.
3.2.4. Polylactic Acid (PLA)
PLA is an aliphatic polyester formed by monomers of lactic acid. In its manufacturing, it is normally made from hydroxyl acids. It is based on bacterial fermentation, as in the case of PBS, to synthesize lactic acid. Later, lactic acid is purified, and the monomers are condensated and linked by ester bonds. PLA is considered a bioplastic that can be chemically depolymerized to lactic acid in recycling processes. PLA is rigid and transparent, and compared to other bioplastics, it has a long durability. Among its uses, it is used as food packaging, for 3D printing, in medicine and the textile industry. PLA can be degraded by cutinases and esterases, as in the case of PET, PBAT and PBS [101].
There are almost no genetic engineering studies focused on PLA, partly because the same enzymes can hydrolyze multiple polymers and partly because PLA is not as recalcitrant as others, such as PET, making PLA less interesting when it comes to developing biodegradation strategies. There is, however, a patent on a protease from Thermus sp. Rt41A that has been mutated and whose variants are meant to be used to biologically degrade PLA and recover lactic acid monomers [48].
3.2.5. Poly(3-hydroxybutyrate-co-3-hydroxyvalerate) (PHBV)
PHBV, one of the most known PHAs, is a copolymer of hydroxyl-butyrate (HB) and hydroxyl-valerate (HV). When compared to PHB, another well-studied PHA, PHBV has better flexibility and a lower melting temperature [102]. The ratio between both monomers determines the plastic’s properties, with a higher content of HB resulting in higher strength and a higher content of HV resulting in higher flexibility and toughness [103]. PHBV’s properties can be improved in different ways [104], for example, by mixing it with agro-residues, which results in green composites that have enhanced physical properties [102], or by forming small crystal nuclei and then drawing the material, resulting in fibers with high tensile strength [105]. PHBV has many different uses [106]. It can be used for coatings and packaging [107,108,109] as well as 3D printing [110]. PHBV can also be used in the textile industry, especially when blended with poly(lactic acid) (PLA), a biobased and biodegradable plastic [111], and in cosmetics as microbeads for exfoliants [112]. The medical field has also found various uses for PHBV. For example, it can be used to make biocompatible scaffolds [113,114] or slowly release drugs like insulin [115] or drugs for treating tumors [116]. Each of the monomers of PHBV is synthesized in a different metabolic pathway. In one pathway, acetyl-CoA is transformed into acetoacetyl-CoA, which, in turn, is transformed into 3-hydroxybutyryl-CoA. In the other pathway, oxaloacetate is sequentially transformed into threonine, 2-ketobutyrate, propionyl-CoA, 3-ketovaleryl-CoA and R-3-Hydroxyvaleryl-CoA [117].
PHBV waste can be recycled. For example, PHBV-based face masks can be chemically recycled through hydrolysis [118]. However, as PHBV is a biodegradable plastic, carrying out its biodegradation is preferable. Its biodegradability when released to the environment is slow and depends greatly on environmental conditions [119], but PHBV has been estimated to biodegrade in rivers [120], and the highest degradation is reached when in activated sludge [121] or compost [122,123]. PHBV-degrading bacteria have been isolated from soil, specifically Actinomadura sp. AF-555 [124] and Streptomyces sp. MG [125], but very little is known about specific enzymes that can degrade PHBV. In an aforementioned study, the enzymes Thc_Cut1 and Thc_Cut1_koST from Thermobifida cellulosilytica DSM44535, expressed in P. pastoris, were able to degrade PHBV, though to a very limited extent [51].
3.2.6. Polyvinyl Acetate (PVAC)
PVAC, also known as PVAc, is a petrochemical plastic that is mostly used as an adhesive, particularly for paper and wood [126], but it has also found a use as part of graphene-derived composites [127]. The monomer, vinyl acetate monomer (VAM), is synthesized through the oxidative addition of acetic acid to ethylene, and acetic acid can be, in turn, synthesized from ethylene [128]. Polymerization reactions in PVAC include emulsion-, suspension- and solution polymerization [129].
It has been reported that fungi can grow on items made from PVAC, suggesting its biodegradation [130], but PVAC is generally considered to be non-biodegradable [128]. Liu et al. [50] developed a chimeric lipase–cutinase (Lip-Cut), originally from Thermomyces lanuginosus and Thielavia terrestris NRRL 8126, respectively, and expressed it in P. pastoris. They studied the use of this Lip-Cut in the process of deinking waste paper and found that the synergy between both enzymes improves the ability of the cutinase to both degrade PVAC and deink paper. Also, regarding paper waste treatment, Liu et al. [131] fused the cutinase from Humicola insolens to the E. coli anchor peptide OMP25, which can be adsorbed on the polyester polymethylmethacrylate (PMMA). They expressed the fusion protein in P. pastoris and concluded that the anchor peptide enhances the cutinase’s ability to degrade PVAC and the so-called stickies in waste paper recycling.
3.2.7. Poly(ε-caprolactone) (PCL)
PCL is a plastic well known for its use in the biomedical field [132,133], as it is biocompatible [134]. It can be used in drug delivery or wound dressing [135], but it stands out as a scaffold for tissue engineering, whether on its own [136] or as part of a blend or composite material [137]. Its monomer is ɛ-caprolactone, and its polymerization can be carried out by opening the monomer’s ring followed by the addition or, alternatively, by polymerizing 6-hydroxycaproic acid [138].
PCL is a biodegradable plastic [139,140], and its degradation is especially high when in anaerobic sludge [141] and compost [142] or when performed by bacteria isolated from compost [143]. Regarding engineered bacteria to degrade PCL, two examples have already been mentioned. Sulaiman et al. [54] found that LC-cutinase could degrade PCL in addition to, and better than, PET. The aforementioned CUT190 cutinase from Saccharomonospora viridis AHK190, when double-mutated and expressed in E. coli Rosetta-gami B (DE3), had an improved degradation activity of PCL, among other polymers [58].
3.2.8. Polyurethane (PU or PUR)
PU is a polymer synthesized by the union of a diol and a diisocyanate molecule linked by amide bonds. To accelerate the process, catalysts, such as 1,4-diazabicyclo[2.2.2]octane or dibutyltin dilaurate, can be added. Polyurethane is the eighth most consumed polymer in the world, with 18.6 MMt/yr. Its structure can be highly varied, and it has a lot of uses. Its main use is as a foaming agent, but it is also manufactured in thermal insulation processes and to protect against abrasion and corrosion, among other uses. Its drawback is that this manufacturing requires toxic substrates, making it difficult to recycle. For this reason, alternative routes to synthesize it are being sought. In addition, using biodegradation to eliminate this polymer in a harmless way is being studied [144]. PU has amide bonds that are hydrolyzed by amidases, releasing the monomers. To increase the degradation of PU, some researchers improved the adsorption of an amidase from Nocardia farcinica to PU by fusing it to a polymer-binding module originally from a polyhydroxyalkanoate depolymerase obtained from Alcaligenes faecalis [52]. However, there are not many studies based on the biodegradability of PU.
4. Conclusions
The magnitude of plastic usage and the later production of its waste, which in most cases remains in nature for decades, makes the search for alternative bioplastic materials or other compounds a matter of major importance for today’s society. In addition, the biodegradation of these materials and, where possible, the use of their constitutive monomers as carbon and energy sources for the growth of microorganisms that can produce valuable compounds are important goals to achieve [145].
Despite the fact that there are a large number of studies based on genetic modifications, most of them were carried out through modifications in the amino acid sequence. New strategies have been recently tested, such as the use of chimeras or fusion proteins, among others, but these approaches are a minority. Further research in the use of genetic techniques, as well as combining different strategies, is necessary to obtain new strains or proteins with a greater degradative capacity of these synthetic polymers.
An example of a new research field is the use of transcriptional regulators, such as Garrido et al. [146] have carried out. This work tested if the FarA transcription factor in Aspergillus oryzae was directly related to the synthesis of CutL1 and HsbA, a cutinase and a hydrophobic surface binding protein that participate in the degradation of poly(butylene succinate-co-adipate) (PBSA), a biodegradable polymer. The deletion of FarA produced a mutant with minimal concentrations of cutL1 and hsbA compared with its native strain and without the ability to degrade PBSA. This study differs from the ones described in the main text, as it consists of the basic research of an organism and its genetic regulation. This does not mean that the other studies ignore the subject of gene expression. In contrast, modifying bacteria to express an enzyme requires careful consideration of the genetic elements necessary for its successful production. The difference relies on studying genetic expression in the native organism, which cannot only help us understand their genetic regulation and metabolism but also give us hints on different approaches to enhance plastic degradation and how to use the native organism instead of relying on a different host organism.
It is also relevant to point out that the research tends to focus on enhancing an enzyme’s ability to degrade specific polymers, with almost no studies evaluating how the modifications performed may change specificity toward other polymers. Limiting the analysis to just a few substrates—for which the enzyme is already specific—is comprehensible, but using a wider variety of polymers could indicate if the modifications have a greater effect than expected and may be more useful.
In addition, there is little work on the tridimensional structure of the different enzymes—native or modified—that have been mentioned. Deeper research is necessary on this matter in order to better understand why changes happen regarding the affinity for the substrate or the stability, among other characteristics, according to the exchanged residues. Obtaining the structure of enzymes can be achieved not only through X-ray crystallography but also in silico by modeling. This is especially useful when proteins cannot be successfully purified and crystallized, but modeling goes even further. From molecular dynamics to substrate docking, these tools are used in some of the referenced studies to analyze enzymes’ properties and enhance their activities.
Similar to plastics themselves, approaches to studying their biodegradation are diverse, and this variety often comes with a lack of consistency between studies. The conditions in which the enzymes are used can differ, and some studies do not calculate enzymatic activity and limit themselves to detecting solid plastic disintegration or monomer liberation, and the works that calculate enzymatic activity can use different units. This can sometimes make it complicated to compare their conclusions.
Overall, more research is required to develop effective, i.e., quicker, safer and more efficient, biodegradation strategies for plastics, if possible. This applies not just to the plastics that are briefly addressed in this work but also to all plastics in general. Microbial biotechnology and genetic engineering approaches, together with the current development of artificial intelligence tools that provide a new direction in the study and design of novel of enzymes, can facilitate the generation and optimization of several types of plastic-degrading enzymes and valorization processes.
Nowadays, we are getting closer to achieving this aim thanks to the latest advances in DNA sequencing, metagenomics, bioinformatics, genome mining and machine learning tools, in conjunction with new genetic engineering techniques, such as CRISPR-Cas technologies.
Author Contributions
All authors participated in the writing of the work. F.S.-B. edited and handled the manuscript. All authors have read and agreed to the published version of the manuscript.
Funding
This research received no external funding.
Acknowledgments
Conflicts of Interest
The authors declare no conflicts of interest.
References
- Shrivastava, A. Introduction to Plastics Engineering. In Introduction to Plastics Engineering; Elsevier: Amsterdam, The Netherlands, 2018; pp. 1–16. ISBN 9780323395007. [Google Scholar]
- Nayanathara Thathsarani Pilapitiya, P.G.C.; Ratnayake, A.S. The World of Plastic Waste: A Review. Clean. Mater. 2024, 11, 100220. [Google Scholar] [CrossRef]
- Geyer, R.; Jambeck, J.R.; Law, K.L. Production, Use, and Fate of All Plastics Ever Made. Sci. Adv. 2017, 3, e1700782. [Google Scholar] [CrossRef] [PubMed]
- Gambarini, V.; Pantos, O.; Kingsbury, J.M.; Weaver, L.; Handley, K.M.; Lear, G. PlasticDB: A Database of Microorganisms and Proteins Linked to Plastic Biodegradation. Database 2022, 2022, baac008. [Google Scholar] [CrossRef]
- Tournier, V.; Duquesne, S.; Guillamot, F.; Cramail, H.; Taton, D.; Marty, A.; André, I. Enzymes’ Power for Plastics Degradation. Chem. Rev. 2023, 123, 5612–5701. [Google Scholar] [CrossRef]
- Zhou, S.; Kuester, T.; Bochow, M.; Bohn, N.; Brell, M.; Kaufmann, H. A Knowledge-Based, Validated Classifier for the Identification of Aliphatic and Aromatic Plastics by WorldView-3 Satellite Data. Remote Sens. Environ. 2021, 264, 112598. [Google Scholar] [CrossRef]
- Niaounakis, M. (Ed.) Management of Marine Plastic Debris; Plastics Design Library; William Andrew Publishing: Oxford, UK, 2017; ISBN 9780323443548. [Google Scholar]
- UN Environment Programme. Drowning in Plastics—Marine Litter and Plastic Waste Vital Graphics. UNEP—UN Environment Programme. Available online: http://www.unep.org/resources/report/drowning-plastics-marine-litter-and-plastic-waste-vital-graphics (accessed on 23 March 2024).
- Standard Practice for Coding Plastic Manufactured Articles for Resin Identification. Available online: https://www.astm.org/d7611_d7611m-21.html (accessed on 23 March 2024).
- Plastics Europe. Plastics—The Fast Facts 2023. Available online: https://plasticseurope.org/knowledge-hub/plastics-the-fast-facts-2023/ (accessed on 23 March 2024).
- Plastics Europe. Plastics—The Facts 2021. Available online: https://plasticseurope.org/knowledge-hub/plastics-the-facts-2021/ (accessed on 23 March 2024).
- Institute, E. Home. Statistical Review of World Energy. Available online: https://www.energyinst.org/statistical-review/home (accessed on 23 March 2024).
- Plastic Atlas 2019: Facts and Figures about the World of Synthetic Polymers; Heinrich Böll Foundation: Berlin, Germany, 2019; ISBN 9783869282114.
- Jambeck, J.R.; Geyer, R.; Wilcox, C.; Siegler, T.R.; Perryman, M.; Andrady, A.; Narayan, R.; Law, K.L. Plastic Waste Inputs from Land into the Ocean. Science 2015, 347, 768–771. [Google Scholar] [CrossRef]
- Chamas, A.; Moon, H.; Zheng, J.; Qiu, Y.; Tabassum, T.; Jang, J.H.; Abu-Omar, M.; Scott, S.L.; Suh, S. Degradation Rates of Plastics in the Environment. ACS Sustain. Chem. Eng. 2020, 8, 3494–3511. [Google Scholar] [CrossRef]
- United States Department of Commerce, National Oceanic and Atmospheric Administration. Ingestion 2014—Report on the Occurrence and Health Effects of Anthropogenic Debris Ingested by Marine Organisms. Available online: https://marinedebris.noaa.gov/wildlife-and-habitat-impacts/occurrence-and-health-effects-anthropogenic-debris-ingested-marine-organisms (accessed on 23 March 2024).
- Environment, U.N. From Pollution to Solution: A Global Assessment of Marine Litter and Plastic Pollution. Available online: http://www.unep.org/resources/pollution-solution-global-assessment-marine-litter-and-plastic-pollution (accessed on 23 March 2024).
- De Souza Machado, A.A.; Kloas, W.; Zarfl, C.; Hempel, S.; Rillig, M.C. Microplastics as an Emerging Threat to Terrestrial Ecosystems. Glob. Chang. Biol. 2018, 24, 1405–1416. [Google Scholar] [CrossRef] [PubMed]
- Wright, S.L.; Kelly, F.J. Plastic and Human Health: A Micro Issue? Environ. Sci. Technol. 2017, 51, 6634–6647. [Google Scholar] [CrossRef]
- Prata, J.C.; Da Costa, J.P.; Lopes, I.; Duarte, A.C.; Rocha-Santos, T. Environmental Exposure to Microplastics: An Overview on Possible Human Health Effects. Sci. Total Environ. 2020, 702, 134455. [Google Scholar] [CrossRef]
- Hahladakis, J.N.; Velis, C.A.; Weber, R.; Iacovidou, E.; Purnell, P. An Overview of Chemical Additives Present in Plastics: Migration, Release, Fate and Environmental Impact during Their Use, Disposal and Recycling. J. Hazard. Mater. 2018, 344, 179–199. [Google Scholar] [CrossRef]
- Hermabessiere, L.; Dehaut, A.; Paul-Pont, I.; Lacroix, C.; Jezequel, R.; Soudant, P.; Duflos, G. Occurrence and Effects of Plastic Additives on Marine Environments and Organisms: A Review. Chemosphere 2017, 182, 781–793. [Google Scholar] [CrossRef]
- Chamanee, G.; Sewwandi, M.; Wijesekara, H.; Vithanage, M. Global Perspective on Microplastics in Landfill Leachate; Occurrence, Abundance, Characteristics, and Environmental Impact. Waste Manag. 2023, 171, 10–25. [Google Scholar] [CrossRef] [PubMed]
- GodvinSharmila, V.; Shanmugavel, S.P.; Tyagi, V.K.; Rajesh Banu, J. Microplastics as Emergent Contaminants in Landfill Leachate: Source, Potential Impact and Remediation Technologies. J. Environ. Manag. 2023, 343, 118240. [Google Scholar] [CrossRef]
- Redko, V.; Wolska, L.; Potrykus, M.; Olkowska, E.; Cieszyńska-Semenowicz, M.; Tankiewicz, M. Environmental Impacts of 5-Year Plastic Waste Deposition on Municipal Waste Landfills: A Follow-up Study. Sci. Total Environ. 2024, 906, 167710. [Google Scholar] [CrossRef]
- Ali, S.S.; Elsamahy, T.; Koutra, E.; Kornaros, M.; El-Sheekh, M.; Abdelkarim, E.A.; Zhu, D.; Sun, J. Degradation of Conventional Plastic Wastes in the Environment: A Review on Current Status of Knowledge and Future Perspectives of Disposal. Sci. Total Environ. 2021, 771, 144719. [Google Scholar] [CrossRef] [PubMed]
- European Bioplastics. What Are Bioplastics? Available online: https://www.european-bioplastics.org/bioplastics/ (accessed on 23 March 2024).
- Raza, Z.A.; Abid, S.; Banat, I.M. Polyhydroxyalkanoates: Characteristics, Production, Recent Developments and Applications. Int. Biodeterior. Biodegrad. 2018, 126, 45–56. [Google Scholar] [CrossRef]
- Koller, M.; Salerno, A.; Braunegg, G. Polyhydroxyalkanoates: Basics, Production and Applications of Microbial Biopolyesters. In Bio-Based Plastics; Kabasci, S., Ed.; Wiley: Hoboken, NJ, USA, 2013; pp. 137–170. ISBN 9781119994008. [Google Scholar]
- Li, Z.; Yang, J.; Loh, X.J. Polyhydroxyalkanoates: Opening Doors for a Sustainable Future. NPG Asia Mater. 2016, 8, e265. [Google Scholar] [CrossRef]
- Bishop, G.; Styles, D.; Lens, P.N.L. Environmental Performance of Bioplastic Packaging on Fresh Food Produce: A Consequential Life Cycle Assessment. J. Clean. Prod. 2021, 317, 128377. [Google Scholar] [CrossRef]
- Manfra, L.; Marengo, V.; Libralato, G.; Costantini, M.; De Falco, F.; Cocca, M. Biodegradable Polymers: A Real Opportunity to Solve Marine Plastic Pollution? J. Hazard. Mater. 2021, 416, 125763. [Google Scholar] [CrossRef]
- Atiwesh, G.; Mikhael, A.; Parrish, C.C.; Banoub, J.; Le, T.-A.T. Environmental Impact of Bioplastic Use: A Review. Heliyon 2021, 7, e07918. [Google Scholar] [CrossRef]
- Emadian, S.M.; Onay, T.T.; Demirel, B. Biodegradation of Bioplastics in Natural Environments. Waste Manag. 2017, 59, 526–536. [Google Scholar] [CrossRef] [PubMed]
- García-Depraect, O.; Bordel, S.; Lebrero, R.; Santos-Beneit, F.; Börner, R.A.; Börner, T.; Muñoz, R. Inspired by Nature: Microbial Production, Degradation and Valorization of Biodegradable Bioplastics for Life-Cycle-Engineered Products. Biotechnol. Adv. 2021, 53, 107772. [Google Scholar] [CrossRef] [PubMed]
- Nandakumar, A.; Chuah, J.-A.; Sudesh, K. Bioplastics: A Boon or Bane? Renew. Sustain. Energy Rev. 2021, 147, 111237. [Google Scholar] [CrossRef]
- Savva, K.; Borrell, X.; Moreno, T.; Pérez-Pomeda, I.; Barata, C.; Llorca, M.; Farré, M. Cytotoxicity Assessment and Suspected Screening of Plastic Additives in Bioplastics of Single-Use Household Items. Chemosphere 2023, 313, 137494. [Google Scholar] [CrossRef]
- Di Cesare, A.; Pinnell, L.J.; Brambilla, D.; Elli, G.; Sabatino, R.; Sathicq, M.B.; Corno, G.; O’Donnell, C.; Turner, J.W. Bioplastic Accumulates Antibiotic and Metal Resistance Genes in Coastal Marine Sediments. Environ. Pollut. 2021, 291, 118161. [Google Scholar] [CrossRef] [PubMed]
- Cucina, M.; De Nisi, P.; Tambone, F.; Adani, F. The Role of Waste Management in Reducing Bioplastics’ Leakage into the Environment: A Review. Bioresour. Technol. 2021, 337, 125459. [Google Scholar] [CrossRef]
- UNE-EN 17033:2018; Plastics—Biodegradable Mulch Films for Use in Agriculture and Horticulture—Requirements and Test Methods. UNE: Madrid, Spain, 2018. Available online: https://www.une.org/encuentra-tu-norma/busca-tu-norma/norma?c=N0060868 (accessed on 23 March 2024).
- UNE-EN 14995:2007; Plastics—Evaluation of Compostability—Test Scheme and Specifications. UNE: Madrid, Spain, 2018. Available online: https://www.une.org/encuentra-tu-norma/busca-tu-norma/norma?c=N0039863 (accessed on 23 March 2024).
- UNE-EN 13432:2001; Requirements for Packaging Recoverable through Composting and Biodegradation. Test Scheme and Evaluation Criteria for the Final Acceptance of Packaging. UNE: Madrid, Spain, 2018. Available online: https://www.une.org/encuentra-tu-norma/busca-tu-norma/norma?c=N0024465 (accessed on 23 March 2024).
- ISO 17088:2021; Plastics—Organic Recycling—Specifications for Compostable Plastics. ISO: Geneva, Switzerland, 2021. Available online: https://www.iso.org/standard/74994.html (accessed on 23 March 2024).
- ISO 22403:2020; Plastics—Assessment of the Intrinsic Biodegradability of Materials Exposed to Marine Inocula under Mesophilic Aerobic Laboratory Conditions—Test Methods and Requirements. ISO: Geneva, Switzerland, 2020. Available online: https://www.iso.org/es/contents/data/standard/07/31/73121.html (accessed on 23 March 2024).
- ISO 17556:2019; Plastics—Determination of the Ultimate Aerobic Biodegradability of Plastic Materials in Soil by Measuring the Oxygen Demand in a Respirometer or the Amount of Carbon Dioxide Evolved. ISO: Geneva, Switzerland, 2019. Available online: https://www.iso.org/es/contents/data/standard/07/49/74993.html (accessed on 23 March 2024).
- ISO 14853:2016; Plastics—Determination of the Ultimate Anaerobic Biodegradation of Plastic Materials in an Aqueous System—Method by Measurement of Biogas Production. ISO: Geneva, Switzerland, 2016. Available online: https://www.iso.org/es/contents/data/standard/06/78/67804.html (accessed on 23 March 2024).
- Chia, W.Y.; Ying Tang, D.Y.; Khoo, K.S.; Kay Lup, A.N.; Chew, K.W. Nature’s Fight against Plastic Pollution: Algae for Plastic Biodegradation and Bioplastics Production. Environ. Sci. Ecotechnology 2020, 4, 100065. [Google Scholar] [CrossRef] [PubMed]
- Marty, A.; Duquense, S.; Guicherd, M.; Vuillemin, M.; Ben Khaled, M. Improved Plastic Degrading Proteases. WO 2018/1091183 A1, 21 June 2018. [Google Scholar]
- Perz, V.; Baumschlager, A.; Bleymaier, K.; Zitzenbacher, S.; Hromic, A.; Steinkellner, G.; Pairitsch, A.; Łyskowski, A.; Gruber, K.; Sinkel, C.; et al. Hydrolysis of Synthetic Polyesters by Clostridium botulinum Esterases. Biotech Bioeng. 2016, 113, 1024–1034. [Google Scholar] [CrossRef]
- Liu, M.; Yang, S.; Long, L.; Cao, Y.; Ding, S. Engineering a Chimeric Lipase-Cutinase (Lip-Cut) for Efficient Enzymatic Deinking of Waste Paper. BioResources 2017, 13, 981–996. [Google Scholar] [CrossRef]
- Gamerith, C.; Vastano, M.; Ghorbanpour, S.M.; Zitzenbacher, S.; Ribitsch, D.; Zumstein, M.T.; Sander, M.; Herrero Acero, E.; Pellis, A.; Guebitz, G.M. Enzymatic Degradation of Aromatic and Aliphatic Polyesters by P. pastoris Expressed Cutinase 1 from Thermobifida cellulosilytica. Front. Microbiol. 2017, 8, 938. [Google Scholar] [CrossRef] [PubMed]
- Gamerith, C.; Herrero Acero, E.; Pellis, A.; Ortner, A.; Vielnascher, R.; Luschnig, D.; Zartl, B.; Haernvall, K.; Zitzenbacher, S.; Strohmeier, G.; et al. Improving Enzymatic Polyurethane Hydrolysis by Tuning Enzyme Sorption. Polym. Degrad. Stab. 2016, 132, 69–77. [Google Scholar] [CrossRef]
- Gyung Yoon, M.; Jeong Jeon, H.; Nam Kim, M. Biodegradation of Polyethylene by a Soil Bacterium and AlkB Cloned Recombinant Cell. J. Bioremed. Biodegrad. 2012, 3, 1–8. [Google Scholar] [CrossRef]
- Sulaiman, S.; Yamato, S.; Kanaya, E.; Kim, J.-J.; Koga, Y.; Takano, K.; Kanaya, S. Isolation of a Novel Cutinase Homolog with Polyethylene Terephthalate-Degrading Activity from Leaf-Branch Compost by Using a Metagenomic Approach. Appl. Environ. Microbiol. 2012, 78, 1556–1562. [Google Scholar] [CrossRef]
- Araújo, R.; Silva, C.; O’Neill, A.; Micaelo, N.; Guebitz, G.; Soares, C.M.; Casal, M.; Cavaco-Paulo, A. Tailoring Cutinase Activity towards Polyethylene Terephthalate and Polyamide 6,6 Fibers. J. Biotechnol. 2007, 128, 849–857. [Google Scholar] [CrossRef] [PubMed]
- Silva, C.; Da, S.; Silva, N.; Matamá, T.; Araújo, R.; Martins, M.; Chen, S.; Chen, J.; Wu, J.; Casal, M.; et al. Engineered Thermobifida fusca Cutinase with Increased Activity on Polyester Substrates. Biotechnol. J. 2011, 6, 1230–1239. [Google Scholar] [CrossRef] [PubMed]
- Herrero Acero, E.; Ribitsch, D.; Dellacher, A.; Zitzenbacher, S.; Marold, A.; Steinkellner, G.; Gruber, K.; Schwab, H.; Guebitz, G.M. Surface Engineering of a Cutinase from Thermobifida cellulosilytica for Improved Polyester Hydrolysis. Biotechnol. Bioeng. 2013, 110, 2581–2590. [Google Scholar] [CrossRef] [PubMed]
- Kawai, F.; Oda, M.; Tamashiro, T.; Waku, T.; Tanaka, N.; Yamamoto, M.; Mizushima, H.; Miyakawa, T.; Tanokura, M. A Novel Ca2+-Activated, Thermostabilized Polyesterase Capable of Hydrolyzing Polyethylene Terephthalate from Saccharomonospora viridis AHK190. Appl. Microbiol. Biotechnol. 2014, 98, 10053–10064. [Google Scholar] [CrossRef] [PubMed]
- Wei, R.; Oeser, T.; Schmidt, J.; Meier, R.; Barth, M.; Then, J.; Zimmermann, W. Engineered Bacterial Polyester Hydrolases Efficiently Degrade Polyethylene Terephthalate Due to Relieved Product Inhibition. Biotech. Bioeng. 2016, 113, 1658–1665. [Google Scholar] [CrossRef]
- Barth, M.; Honak, A.; Oeser, T.; Wei, R.; Belisário-Ferrari, M.R.; Then, J.; Schmidt, J.; Zimmermann, W. A Dual Enzyme System Composed of a Polyester Hydrolase and a Carboxylesterase Enhances the Biocatalytic Degradation of Polyethylene Terephthalate Films. Biotechnol. J. 2016, 11, 1082–1087. [Google Scholar] [CrossRef]
- Han, X.; Liu, W.; Huang, J.-W.; Ma, J.; Zheng, Y.; Ko, T.-P.; Xu, L.; Cheng, Y.-S.; Chen, C.-C.; Guo, R.-T. Structural Insight into Catalytic Mechanism of PET Hydrolase. Nat. Commun. 2017, 8, 2106. [Google Scholar] [CrossRef] [PubMed]
- Shirke, A.N.; White, C.; Englaender, J.A.; Zwarycz, A.; Butterfoss, G.L.; Linhardt, R.J.; Gross, R.A. Stabilizing Leaf and Branch Compost Cutinase (LCC) with Glycosylation: Mechanism and Effect on PET Hydrolysis. Biochemistry 2018, 57, 1190–1200. [Google Scholar] [CrossRef] [PubMed]
- Joo, S.; Cho, I.J.; Seo, H.; Son, H.F.; Sagong, H.-Y.; Shin, T.J.; Choi, S.Y.; Lee, S.Y.; Kim, K.-J. Structural Insight into Molecular Mechanism of Poly(Ethylene Terephthalate) Degradation. Nat. Commun. 2018, 9, 382. [Google Scholar] [CrossRef] [PubMed]
- Liu, B.; He, L.; Wang, L.; Li, T.; Li, C.; Liu, H.; Luo, Y.; Bao, R. Protein Crystallography and Site-Direct Mutagenesis Analysis of the Poly(Ethylene Terephthalate) Hydrolase PETase from Ideonella sakaiensis. ChemBioChem 2018, 19, 1471–1475. [Google Scholar] [CrossRef] [PubMed]
- Austin, H.P.; Allen, M.D.; Donohoe, B.S.; Rorrer, N.A.; Kearns, F.L.; Silveira, R.L.; Pollard, B.C.; Dominick, G.; Duman, R.; El Omari, K.; et al. Characterization and Engineering of a Plastic-Degrading Aromatic Polyesterase. Proc. Natl. Acad. Sci. USA 2018, 115, E4350–E4357. [Google Scholar] [CrossRef]
- Ma, Y.; Yao, M.; Li, B.; Ding, M.; He, B.; Chen, S.; Zhou, X.; Yuan, Y. Enhanced Poly(Ethylene Terephthalate) Hydrolase Activity by Protein Engineering. Engineering 2018, 4, 888–893. [Google Scholar] [CrossRef]
- Son, H.F.; Cho, I.J.; Joo, S.; Seo, H.; Sagong, H.-Y.; Choi, S.Y.; Lee, S.Y.; Kim, K.-J. Rational Protein Engineering of Thermo-Stable PETase from Ideonella sakaiensis for Highly Efficient PET Degradation. ACS Catal. 2019, 9, 3519–3526. [Google Scholar] [CrossRef]
- Yan, F.; Wei, R.; Cui, Q.; Bornscheuer, U.T.; Liu, Y. Thermophilic Whole-cell Degradation of Polyethylene Terephthalate Using Engineered Clostridium thermocellum. Microb. Biotechnol. 2021, 14, 374–385. [Google Scholar] [CrossRef]
- Tournier, V.; Topham, C.M.; Gilles, A.; David, B.; Folgoas, C.; Moya-Leclair, E.; Kamionka, E.; Desrousseaux, M.-L.; Texier, H.; Gavalda, S.; et al. An Engineered PET Depolymerase to Break down and Recycle Plastic Bottles. Nature 2020, 580, 216–219. [Google Scholar] [CrossRef]
- Sadler, J.C.; Wallace, S. Microbial Synthesis of Vanillin from Waste Poly(Ethylene Terephthalate). Green Chem. 2021, 23, 4665–4672. [Google Scholar] [CrossRef]
- Zhu, B.; Ye, Q.; Seo, Y.; Wei, N. Enzymatic Degradation of Polyethylene Terephthalate Plastics by Bacterial Curli Display PETase. Environ. Sci. Technol. Lett. 2022, 9, 650–657. [Google Scholar] [CrossRef]
- Chen, Y.; Zhang, S.; Zhai, Z.; Zhang, S.; Ma, J.; Liang, X.; Li, Q. Construction of Fusion Protein with Carbohydrate-Binding Module and Leaf-Branch Compost Cutinase to Enhance the Degradation Efficiency of Polyethylene Terephthalate. IJMS 2023, 24, 2780. [Google Scholar] [CrossRef] [PubMed]
- Li, T.; Menegatti, S.; Crook, N. Breakdown of polyethylene therepthalate Microplastics under Saltwater Conditions Using Engineered Vibrio natriegens. AIChE J. 2023, 69, e18228. [Google Scholar] [CrossRef]
- Ellis, L.D.; Rorrer, N.A.; Sullivan, K.P.; Otto, M.; McGeehan, J.E.; Román-Leshkov, Y.; Wierckx, N.; Beckham, G.T. Chemical and Biological Catalysis for Plastics Recycling and Upcycling. Nat. Catal. 2021, 4, 539–556. [Google Scholar] [CrossRef]
- Pang, K.; Kotek, R.; Tonelli, A. Review of Conventional and Novel Polymerization Processes for Polyesters. Prog. Polym. Sci. 2006, 31, 1009–1037. [Google Scholar] [CrossRef]
- Papadopoulou, A.; Hecht, K.; Buller, R. Enzymatic PET Degradation. Chimia 2019, 73, 743. [Google Scholar] [CrossRef]
- Dhandapani, A.; Krishnasamy, S.; Thiagamani, S.M.K.; Periasamy, D.; Muthukumar, C.; Sundaresan, T.K.; Ali, S.; Kurniawan, R. Evolution, Prospects, and Predicaments of Polymers in Marine Applications: A Potential Successor to Traditional Materials. Recycling 2024, 9, 8. [Google Scholar] [CrossRef]
- Muringayil Joseph, T.; Azat, S.; Ahmadi, Z.; Moini Jazani, O.; Esmaeili, A.; Kianfar, E.; Haponiuk, J.; Thomas, S. Polyethylene Terephthalate (PET) Recycling: A Review. Case Stud. Chem. Environ. Eng. 2024, 9, 100673. [Google Scholar] [CrossRef]
- Kushwaha, A.; Goswami, L.; Singhvi, M.; Kim, B.S. Biodegradation of Poly(Ethylene Terephthalate): Mechanistic Insights, Advances, and Future Innovative Strategies. Chem. Eng. J. 2023, 457, 141230. [Google Scholar] [CrossRef]
- Lv, S.; Li, Y.; Zhao, S.; Shao, Z. Biodegradation of Typical Plastics: From Microbial Diversity to Metabolic Mechanisms. IJMS 2024, 25, 593. [Google Scholar] [CrossRef]
- Yoshida, S.; Hiraga, K.; Takehana, T.; Taniguchi, I.; Yamaji, H.; Maeda, Y.; Toyohara, K.; Miyamoto, K.; Kimura, Y.; Oda, K. A Bacterium That Degrades and Assimilates Poly(Ethylene Terephthalate). Science 2016, 351, 1196–1199. [Google Scholar] [CrossRef] [PubMed]
- Magalhães, R.P.; Cunha, J.M.; Sousa, S.F. Perspectives on the Role of Enzymatic Biocatalysis for the Degradation of Plastic PET. IJMS 2021, 22, 11257. [Google Scholar] [CrossRef] [PubMed]
- Li, A.; Sheng, Y.; Cui, H.; Wang, M.; Wu, L.; Song, Y.; Yang, R.; Li, X.; Huang, H. Discovery and Mechanism-Guided Engineering of BHET Hydrolases for Improved PET Recycling and Upcycling. Nat. Commun. 2023, 14, 4169. [Google Scholar] [CrossRef] [PubMed]
- Kalathil, S.; Miller, M.; Reisner, E. Microbial Fermentation of Polyethylene Terephthalate (PET) Plastic Waste for the Production of Chemicals or Electricity. Angew. Chem. Int. Ed. 2022, 61, e202211057. [Google Scholar] [CrossRef] [PubMed]
- Diao, J.; Hu, Y.; Tian, Y.; Carr, R.; Moon, T.S. Upcycling of Poly(Ethylene Terephthalate) to Produce High-Value Bio-Products. Cell Rep. 2023, 42, 111908. [Google Scholar] [CrossRef] [PubMed]
- Matak, M.Y.; Moghaddam, M.E. The Role of Short-Range Cys171–Cys178 Disulfide Bond in Maintaining Cutinase Active Site Integrity: A Molecular Dynamics Simulation. Biochem. Biophys. Res. Commun. 2009, 390, 201–204. [Google Scholar] [CrossRef] [PubMed]
- Han, W.; Zhang, J.; Chen, Q.; Xie, Y.; Zhang, M.; Qu, J.; Tan, Y.; Diao, Y.; Wang, Y.; Zhang, Y. Biodegradation of Poly(Ethylene Terephthalate) through PETase Surface-Display: From Function to Structure. J. Hazard. Mater. 2024, 461, 132632. [Google Scholar] [CrossRef] [PubMed]
- Müller, R.; Schrader, H.; Profe, J.; Dresler, K.; Deckwer, W. Enzymatic Degradation of Poly(Ethylene Terephthalate): Rapid Hydrolyse Using a Hydrolase from T. fusca. Macromol. Rapid Commun. 2005, 26, 1400–1405. [Google Scholar] [CrossRef]
- Kissin, Y.V. Polyethylene: End-Use Properties and Their Physical Meaning; Carl Hanser Verlag GmbH & Co. KG: München, Germany, 2020; ISBN 9781569908310. [Google Scholar]
- Zhang, Y.; Pedersen, J.N.; Eser, B.E.; Guo, Z. Biodegradation of Polyethylene and Polystyrene: From Microbial Deterioration to Enzyme Discovery. Biotechnol. Adv. 2022, 60, 107991. [Google Scholar] [CrossRef]
- Nedi, E.G.; Ebu, S.M.; Somboo, M. Identification and Molecular Characterization of Polyethylene Degrading Bacteria from Garbage Dump Sites in Adama, Ethiopia. Environ. Technol. Innov. 2024, 33, 103441. [Google Scholar] [CrossRef]
- Li, X.; Li, G.; Wang, J.; Li, X.; Yang, Y.; Song, D. Elucidating Polyethylene Microplastic Degradation Mechanisms and Metabolic Pathways via Iron-Enhanced Microbiota Dynamics in Marine Sediments. J. Hazard. Mater. 2024, 466, 133655. [Google Scholar] [CrossRef] [PubMed]
- Kong, D.; Zhang, H.; Yuan, Y.; Wu, J.; Liu, Z.; Chen, S.; Zhang, F.; Wang, L. Enhanced Biodegradation Activity toward Polyethylene by Fusion Protein of Anchor Peptide and Streptomyces Sp. Strain K30 Latex Clearing Protein. Int. J. Biol. Macromol. 2024, 264, 130378. [Google Scholar] [CrossRef] [PubMed]
- Jehanno, C.; Alty, J.W.; Roosen, M.; De Meester, S.; Dove, A.P.; Chen, E.Y.-X.; Leibfarth, F.A.; Sardon, H. Critical Advances and Future Opportunities in Upcycling Commodity Polymers. Nature 2022, 603, 803–814. [Google Scholar] [CrossRef] [PubMed]
- Shah, A.A.; Kato, S.; Shintani, N.; Kamini, N.R.; Nakajima-Kambe, T. Microbial Degradation of Aliphatic and Aliphatic-Aromatic Co-Polyesters. Appl. Microbiol. Biotechnol. 2014, 98, 3437–3447. [Google Scholar] [CrossRef] [PubMed]
- Jian, J.; Xiangbin, Z.; Xianbo, H. An Overview on Synthesis, Properties and Applications of Poly(Butylene-Adipate-Co-Terephthalate)–PBAT. Adv. Ind. Eng. Polym. Res. 2020, 3, 19–26. [Google Scholar] [CrossRef]
- Witt, U.; Yamamoto, M.; Seeliger, U.; Müller, R.-J.; Warzelhan, V. Biodegradable Polymeric Materials—Not the Origin but the Chemical Structure Determines Biodegradability. Angew. Chem. Int. Ed. 1999, 38, 1438–1442. [Google Scholar] [CrossRef]
- Yang, Y.; Min, J.; Xue, T.; Jiang, P.; Liu, X.; Peng, R.; Huang, J.-W.; Qu, Y.; Li, X.; Ma, N.; et al. Complete Bio-Degradation of Poly(Butylene Adipate-Co-Terephthalate) via Engineered Cutinases. Nat. Commun. 2023, 14, 1645. [Google Scholar] [CrossRef] [PubMed]
- Xu, J.; Guo, B. Poly(Butylene Succinate) and Its Copolymers: Research, Development and Industrialization. Biotechnol. J. 2010, 5, 1149–1163. [Google Scholar] [CrossRef]
- Aliotta, L.; Seggiani, M.; Lazzeri, A.; Gigante, V.; Cinelli, P. A Brief Review of Poly (Butylene Succinate) (PBS) and Its Main Copolymers: Synthesis, Blends, Composites, Biodegradability, and Applications. Polymers 2022, 14, 844. [Google Scholar] [CrossRef]
- Taib, N.-A.A.B.; Rahman, M.R.; Huda, D.; Kuok, K.K.; Hamdan, S.; Bakri, M.K.B.; Julaihi, M.R.M.B.; Khan, A. A Review on Poly Lactic Acid (PLA) as a Biodegradable Polymer. Polym. Bull. 2023, 80, 1179–1213. [Google Scholar] [CrossRef]
- Ahankari, S.S.; Mohanty, A.K.; Misra, M. Mechanical Behaviour of Agro-Residue Reinforced Poly(3-Hydroxybutyrate-Co-3-Hydroxyvalerate), (PHBV) Green Composites: A Comparison with Traditional Polypropylene Composites. Compos. Sci. Technol. 2011, 71, 653–657. [Google Scholar] [CrossRef]
- Inamuddin; Altalhi, T. (Eds.) Handbook of Bioplastics and Biocomposites Engineering Applications, 1st ed.; Wiley: Hoboken, NJ, USA, 2023; ISBN 9781119160137. [Google Scholar]
- Liang, X.; Cha, D.K.; Xie, Q. Properties, Production, and Modification of Polyhydroxyalkanoates. Resour. Conserv. Recycl. Adv. 2024, 21, 200206. [Google Scholar] [CrossRef]
- Tanaka, T.; Fujita, M.; Takeuchi, A.; Suzuki, Y.; Uesugi, K.; Ito, K.; Fujisawa, T.; Doi, Y.; Iwata, T. Formation of Highly Ordered Structure in Poly[(R)-3-Hydroxybutyrate-co-(R)-3-Hydroxyvalerate] High-Strength Fibers. Macromolecules 2006, 39, 2940–2946. [Google Scholar] [CrossRef]
- Park, H.; He, H.; Yan, X.; Liu, X.; Scrutton, N.S.; Chen, G.-Q. PHA Is Not Just a Bioplastic! Biotechnol. Adv. 2024, 71, 108320. [Google Scholar] [CrossRef] [PubMed]
- Pieters, K.; Mekonnen, T.H. Stable Aqueous Dispersions of Poly(3-Hydroxybutyrate-Co-3-Hydroxyvalerate) (PHBV) Polymer for Barrier Paper Coating. Prog. Org. Coat. 2024, 187, 108101. [Google Scholar] [CrossRef]
- Dai, Z.; Li, B.; He, M.; Li, J.; Zou, X.; Wang, Y.; Shan, Y. Biodegradable and High-Performance Composites of Poly (Butylene Adipate-Co-Terephthalate) with PHBV Chain-Functionalized Nanocellulose. Prog. Org. Coat. 2024, 187, 108136. [Google Scholar] [CrossRef]
- Jahangiri, F.; Mohanty, A.K.; Pal, A.K.; Shankar, S.; Rodriguez-Uribe, A.; Clemmer, R.; Gregori, S.; Misra, M. PHBV Coating on Biodegradable Plastic Sheet: Effect of Coating on Morphological, Mechanical and Barrier Properties. Prog. Org. Coat. 2024, 189, 108270. [Google Scholar] [CrossRef]
- Kovalcik, A. Recent Advances in 3D Printing of Polyhydroxyalkanoates: A Review. EuroBiotech J. 2021, 5, 48–55. [Google Scholar] [CrossRef]
- Uddin, M.d.K.; Novembre, L.; Greco, A.; Sannino, A. Polyhydroxyalkanoates, A Prospective Solution in the Textile Industry—A Review. Polym. Degrad. Stab. 2024, 219, 110619. [Google Scholar] [CrossRef]
- You, X.; Zhou, Y.; Jin, X.; Xiang, S.; Pei, X.; Zhou, H.; Liao, Z.; Tan, Y. Green Fabrication of PHBV Microbeads Using a Dimethyl Isosorbide Solvent for Skin Exfoliators. Green Chem. 2023, 25, 9948–9958. [Google Scholar] [CrossRef]
- Patel, R.; Gómez-Cerezo, M.N.; Huang, H.; Grøndahl, L.; Lu, M. Degradation Behaviour of Porous Poly(Hydroxybutyrate-Co-Hydroxyvalerate) (PHBV) Scaffolds in Cell Culture. Int. J. Biol. Macromol. 2024, 257, 128644. [Google Scholar] [CrossRef] [PubMed]
- Kalva, S.N.; Dalvi, Y.B.; Khanam, N.; Varghese, R.; Ahammed, I.; Augustine, R.; Hasan, A. Air-Jet Spun PHBV/PCL Blend Tissue Engineering Scaffolds Exhibit Improved Mechanical Properties and Cell Proliferation. Results Mater. 2023, 19, 100415. [Google Scholar] [CrossRef]
- Bayrami, S.; Chamani, M.; JamaliMoghadamSiahkali, S.; SeyedAlinaghi, S.; Shirmard, L.R.; Bayrami, S.; Javar, H.A.; Ghahremani, M.H.; Amini, M.; Tehrani, M.R.; et al. Preparation, Characterization and in Vitro Evaluation of Insulin-PHBV Nanoparticles/Alginate Hydrogel Composite System for Prolonged Delivery of Insulin. J. Pharm. Sci. 2024; in press. [Google Scholar] [CrossRef]
- Tebaldi, M.L.; Maia, A.L.C.; Poletto, F.; De Andrade, F.V.; Soares, D.C.F. Poly(-3-Hydroxybutyrate-Co-3-Hydroxyvalerate) (PHBV): Current Advances in Synthesis Methodologies, Antitumor Applications and Biocompatibility. J. Drug Deliv. Sci. Technol. 2019, 51, 115–126. [Google Scholar] [CrossRef]
- Meng, D.-C.; Shen, R.; Yao, H.; Chen, J.-C.; Wu, Q.; Chen, G.-Q. Engineering the Diversity of Polyesters. Curr. Opin. Biotechnol. 2014, 29, 24–33. [Google Scholar] [CrossRef]
- Rabello, L.G.; Ribeiro, R.C.D.C.; Pinto, J.C.C.D.S.; Thiré, R.M.D.S.M. Chemical Recycling of Green Poly(3-Hydroxybutyrate-Co-3-Hydroxyvalerate) (PHBV)-Based Air Filters through Hydrolysis. J. Environ. Chem. Eng. 2024, 12, 111816. [Google Scholar] [CrossRef]
- Lyshtva, P.; Voronova, V.; Barbir, J.; Leal Filho, W.; Kröger, S.D.; Witt, G.; Miksch, L.; Saborowski, R.; Gutow, L.; Frank, C.; et al. Degradation of a Poly(3-Hydroxybutyrate-Co-3-Hydroxyvalerate) (PHBV) Compound in Different Environments. Heliyon 2024, 10, e24770. [Google Scholar] [CrossRef] [PubMed]
- Ho, Y.-H.; Gan, S.-N.; Tan, I.K.P. Biodegradation of a Medium-Chain-Length Polyhydroxyalkanoate in Tropical River Water. ABAB 2002, 102–103, 337–348. [Google Scholar] [CrossRef] [PubMed]
- Arcos-Hernandez, M.V.; Laycock, B.; Pratt, S.; Donose, B.C.; Nikolić, M.A.L.; Luckman, P.; Werker, A.; Lant, P.A. Biodegradation in a Soil Environment of Activated Sludge Derived Polyhydroxyalkanoate (PHBV). Polym. Degrad. Stab. 2012, 97, 2301–2312. [Google Scholar] [CrossRef]
- Weng, Y.-X.; Wang, X.-L.; Wang, Y.-Z. Biodegradation Behavior of PHAs with Different Chemical Structures under Controlled Composting Conditions. Polym. Test. 2011, 30, 372–380. [Google Scholar] [CrossRef]
- Salomez, M.; George, M.; Fabre, P.; Touchaleaume, F.; Cesar, G.; Lajarrige, A.; Gastaldi, E. A Comparative Study of Degradation Mechanisms of PHBV and PBSA under Laboratory-Scale Composting Conditions. Polym. Degrad. Stab. 2019, 167, 102–113. [Google Scholar] [CrossRef]
- Shah, A.A.; Hasan, F.; Hameed, A. Degradation of Poly(3-Hydroxybutyrate-Co-3-Hydroxyvalerate) by a Newly Isolated Actinomadura Sp. AF-555, from Soil. Int. Biodeterior. Biodegrad. 2010, 64, 281–285. [Google Scholar] [CrossRef]
- Calabia, B.P.; Tokiwa, Y. A Novel PHB Depolymerase from a Thermophilic Streptomyces sp. Biotechnol. Lett. 2006, 28, 383–388. [Google Scholar] [CrossRef] [PubMed]
- Kolter, K.; Dashevsky, A.; Irfan, M.; Bodmeier, R. Polyvinyl acetate-based film coatings. Int J Pharm. 2013, 457, 470–479. [Google Scholar] [CrossRef] [PubMed]
- Rathi, V.; Brajpuriya, R.; Gupta, R.; Parmar, K.P.S.; Kumar, A. Graphene-Derived Composites: A New Frontier in Thermoelectric Energy Conversion. Energy Adv. 2024, 3, 389–412. [Google Scholar] [CrossRef]
- Amann, M.; Minge, O. Biodegradability of Poly(Vinyl Acetate) and Related Polymers. In Synthetic Biodegradable Polymers; Rieger, B., Künkel, A., Coates, G.W., Reichardt, R., Dinjus, E., Zevaco, T.A., Eds.; Springer: Berlin/Heidelberg, Germany, 2011; Volume 245, pp. 137–172. ISBN 9783642271533. [Google Scholar]
- Kricheldorf, H.R.; Nuyken, O.; Swift, G. (Eds.) Handbook of Polymer Synthesis: Second Edition; CRC Press: Boca Raton, FL, USA, 2004; ISBN 9780429117008. [Google Scholar]
- Cappitelli, F.; Sorlini, C. Microorganisms Attack Synthetic Polymers in Items Representing Our Cultural Heritage. Appl. Environ. Microbiol. 2008, 74, 564–569. [Google Scholar] [CrossRef] [PubMed]
- Liu, Z.; Li, G.; Zhang, F.; Wu, J. Enhanced Biodegradation Activity towards Poly(Ethyl Acrylate) and Poly(Vinyl Acetate) by Anchor Peptide Assistant Targeting. J. Biotechnol. 2022, 349, 47–52. [Google Scholar] [CrossRef] [PubMed]
- Dhanasekaran, N.P.D.; Muthuvelu, K.S.; Arumugasamy, S.K. Recent Advancement in Biomedical Applications of Polycaprolactone and Polycaprolactone-Based Materials. In Encyclopedia of Materials: Plastics and Polymers; Elsevier: Amsterdam, The Netherlands, 2022; pp. 795–809. ISBN 9780128232910. [Google Scholar]
- Patra, S.; Singh, M.; Pareek, D.; Wasnik, K.; Gupta, P.S.; Paik, P. Advances in the Development of Biodegradable Polymeric Materials for Biomedical Applications. In Encyclopedia of Materials: Plastics and Polymers; Elsevier: Amsterdam, The Netherlands, 2022; pp. 532–566. ISBN 9780128232910. [Google Scholar]
- Kumar, S.; Singh, R. Bio-Compatible Polymer Matrix for 3D Printing: A Review. In Encyclopedia of Materials: Plastics and Polymers; Elsevier: Amsterdam, The Netherlands, 2022; pp. 39–46. ISBN 9780128232910. [Google Scholar]
- Gupta, D.; Dogra, V.; Verma, D.; Chaudhary, A.K.; Tewari, M. PCL-Based Composites and Their Utilizations in the Medical Sector. In Bioresorbable Polymers and Their Composites; Elsevier: Amsterdam, The Netherlands, 2024; pp. 63–83. ISBN 9780443189159. [Google Scholar]
- Hou, Y.; Wang, W.; Bartolo, P. Investigation of Polycaprolactone for Bone Tissue Engineering Scaffolds: In Vitro Degradation and Biological Studies. Mater. Des. 2022, 216, 110582. [Google Scholar] [CrossRef]
- Yadav, A.L.; Gurave, P.M.; Gadkari, R.R.; Wazed Ali, S. PCL-Based Bionanocomposites in Tissue Engineering and Regenerative Medicine. In Bionanocomposites in Tissue Engineering and Regenerative Medicine; Elsevier: Amsterdam, The Netherlands, 2021; pp. 465–480. ISBN 9780128212806. [Google Scholar]
- Wypych, G. PCL Poly(ɛ-Caprolactone). In Handbook of Polymers; Elsevier: Amsterdam, The Netherlands, 2016; pp. 323–325. ISBN 9781895198928. [Google Scholar]
- Chen, D.R.; Bei, J.Z.; Wang, S.G. Polycaprolactone Microparticles and Their Biodegradation. Polym. Degrad. Stab. 2000, 67, 455–459. [Google Scholar] [CrossRef]
- Richert, A.; Dąbrowska, G.B. Enzymatic Degradation and Biofilm Formation during Biodegradation of Polylactide and Polycaprolactone Polymers in Various Environments. Int. J. Biol. Macromol. 2021, 176, 226–232. [Google Scholar] [CrossRef]
- Yagi, H.; Ninomiya, F.; Funabashi, M.; Kunioka, M. Anaerobic Biodegradation Tests of Poly(Lactic Acid) and Polycaprolactone Using New Evaluation System for Methane Fermentation in Anaerobic Sludge. Polym. Degrad. Stab. 2009, 94, 1397–1404. [Google Scholar] [CrossRef]
- Al Hosni, A.S.; Pittman, J.K.; Robson, G.D. Microbial Degradation of Four Biodegradable Polymers in Soil and Compost Demonstrating Polycaprolactone as an Ideal Compostable Plastic. Waste Manag. 2019, 97, 105–114. [Google Scholar] [CrossRef] [PubMed]
- Lefebvre, F.; David, C.; Vander Wauven, C. Biodegradation of Polycaprolactone by Micro-Organisms from an Industrial Compost of Household Refuse. Polym. Degrad. Stab. 1994, 45, 347–353. [Google Scholar] [CrossRef]
- Eling, B.; Tomović, Ž.; Schädler, V. Current and Future Trends in Polyurethanes: An Industrial Perspective. Macro Chem. Phys. 2020, 221, 2000114. [Google Scholar] [CrossRef]
- Santos-Beneit, F.; Chen, L.M.; Bordel, S.; Frutos de la Flor, R.; García-Depraect, O.; Lebrero, R.; Rodriguez-Vega, S.; Muñoz, R.; Börner, R.A.; Börner, T. Screening Enzymes That Can Depolymerize Commercial Biodegradable Polymers: Heterologous Expression of Fusarium solani Cutinase in Escherichia coli. Microorganisms 2023, 11, 328. [Google Scholar] [CrossRef]
- Garrido, S.M.; Kitamoto, N.; Watanabe, A.; Shintani, T.; Gomi, K. Functional Analysis of FarA Transcription Factor in the Regulation of the Genes Encoding Lipolytic Enzymes and Hydrophobic Surface Binding Protein for the Degradation of Biodegradable Plastics in Aspergillus oryzae. J. Biosci. Bioeng. 2012, 113, 549–555. [Google Scholar] [CrossRef] [PubMed]
Disclaimer/Publisher’s Note: The statements, opinions and data contained in all publications are solely those of the individual author(s) and contributor(s) and not of MDPI and/or the editor(s). MDPI and/or the editor(s) disclaim responsibility for any injury to people or property resulting from any ideas, methods, instructions or products referred to in the content. |
© 2024 by the authors. Licensee MDPI, Basel, Switzerland. This article is an open access article distributed under the terms and conditions of the Creative Commons Attribution (CC BY) license (https://creativecommons.org/licenses/by/4.0/).



