Towards Clinical Development of Scandium Radioisotope Complexes for Use in Nuclear Medicine: Encouraging Prospects with the Chelator 1,4,7,10-Tetraazacyclododecane-1,4,7,10-tetraacetic Acid (DOTA) and Its Analogues †
Abstract
1. Introduction
2. Methods for the Detection of Scandium and Other Radionuclides in Nuclear Medicine
2.1. Overview of Radiopharmaceuticals and Radioimaging Methods
2.2. Radionuclides in Nuclear Medicine
3. Properties and Effects of Scandium in the Context of Nuclear Medicine
3.1. The Role of Scandium for Imaging and Therapy in Nuclear Medicine
3.2. The Production of Scandium Isotopes for Use in Medicine, Chemistry and Biochemistry
3.3. Processes Applied for the Production, Isolation and Purification of Sc-43, Sc-44, and Sc-47
4. The Use of DOTA and Its Structural Analogues as Scandium Chelating Agents for Radiolabeling Purposes
5. In Vitro and In Vivo Preclinical Studies and Clinical Trials of Sc-44 and Sc-47
| Entry | Type of System | Isotope | Complexating Agent | Targeting Moiety in Conjugate | Biological Target | Detection Method | Reference |
|---|---|---|---|---|---|---|---|
| 1 | In vitro, in vivo, ex vivo | Sc-44 | DOTA | cRGD peptides | integrin αvβ3 | PET | [156] |
| 2 | First in-human trial | Sc-44 | DOTA | TOC peptide | liver and lymph node metastases | whole-body PET/CT | [159] |
| 3 | In vitro, in vivo | Sc-44 | DOTA or NODAGA | RGD or NOC peptide | U87MG and AR42J tumors | PET/CT | [160] |
| 4 | In vitro | Sc-44 | DOTA | A7R, DR7A or K4R peptide | neuropilin-1 (NRP-1) | ELISA | [63] |
| 5 | In vitro, in vivo | Sc-44, Sc-47 | DOTA | PSMA-617/ SPION NP | prostate-specific membrane antigen (PSMA) | PET/MRI | [140] |
| 6 | In vitro, in vivo | Sc-44 Sc-47 | H3mpatcn/picaga | DUPA | PSMA | PET | [141,161] |
| 7 | In vitro, ex vivo, in vivo | Sc-44, Sc-45 | DOTA | BN[2-14]NH2 | GRPR | PET | [162] |
| 8 | In vitro, ex vivo, in vivo | Sc-44 | DO3AM | 2-nitroimidazole | hypoxia tumor | PET | [138] |

6. Future Prospects and Challenges in the Development of Scandium-DOTA Analogues
7. Conclusions
Funding
Conflicts of Interest
Abbreviations
| A | Ampere |
| A (in chemical element symbol) | Mass Number |
| A7R | Ala-Thr-Trp-Leu-Pro-Pro-Arg |
| AAZTA | 2,2-((1,4-Bis(carboxymethyl)-1,4-diazepan-6-yl)azanediyl)diacetic Acid |
| Ah | Ampere-hour |
| BN | Bombesin |
| Bq | Becquerel |
| cRGD | Cyclic Arginylglycylaspartic Acid |
| CT | Computed Tomography |
| D | Deuteron |
| DGA | Diglycolamide |
| DO3AM-NI | 2,2′,2″-(10-(2-((2-(2-Nitro-1H-imidazol-1-yl)ethyl)amino)-2-oxoethyl)-1,4,7,10-tetraazacyclododecane-1,4,7-triyl)triacetic Acid |
| DO3AP | 2,2′,2″-(10-(Phosphonomethyl)-1,4,7,10-tetraazacyclododecane-1,4,7-triyl)triacetic Acid |
| DO3APABn | 2,2′,2″-(10-(((4-Aminobenzyl)(hydroxy)phosphoryl)methyl)-1,4,7,10-tetraazacyclododecane-1,4,7-triyl)triacetic Acid |
| DO3APPrA | 2,2′,2″-(10-(((2-Carboxyethyl)(hydroxy)phosphoryl)methyl)-1,4,7,10-tetraazacyclododecane-1,4,7-triyl)triacetic Acid |
| DOTA | 2,2′,2″,2‴-(1,4,7,10-Tetraazacyclododecane-1,4,7,10-tetrayl)tetraacetic Acid |
| DOTA-NOC | 2,2′,2″-(10-(2-((1-((13-((1H-Indol-3-yl)methyl)-10-(4-aminobutyl)-4-((1,3-dihydroxybutan-2-yl)carbamoyl)-7-(1-hydroxyethyl)-16-(naphthalen-1-ylmethyl)-6,9,12,15,18-pentaoxo-1,2-dithia-5,8,11,14,17-pentaazacycloicosan-19-yl)amino)-1-oxo-3-phenylpropan-2-yl)amino)-2-oxoethyl)-1,4,7,10-tetraazacyclododecane-1,4,7-triyl)triacetic Acid |
| DOTA-PSMA-617 | ((1-Carboxy-5-(3-(naphthalen-2-yl)-2-(4-((2-(4,7,10-tris(carboxymethyl)-1,4,7,10-tetraazacyclododecan-1-yl)acetamido)methyl)cyclohexane-1-carboxamido)propanamido)pentyl)carbamoyl)glutamic Acid |
| DOTA-RGD | 2,2′,2″-(10-(2-((4-(14-Benzyl-11-(carboxymethyl)-5-(3-guanidinopropyl)-3,6,9,12,15-pentaoxo-1,4,7,10,13-pentaazacyclopentadecan-2-yl)butyl)amino)-2-oxoethyl)-1,4,7,10-tetraazacyclododecane-1,4,7-triyl)triacetic Acid |
| DOTATOC | 2,2′,2″-(10-(2-((1-((13-((1H-Indol-3-yl)methyl)-10-(4-aminobutyl)-4-((1,3-dihydroxybutan-2-yl)carbamoyl)-16-(4-hydroxybenzyl)-7-(1-hydroxyethyl)-6,9,12,15,18-pentaoxo-1,2-dithia-5,8,11,14,17-pentaazacycloicosan-19-yl)amino)-1-oxo-3-phenylpropan-2-yl)amino)-2-oxoethyl)-1,4,7,10-tetraazacyclododecane-1,4,7-triyl)triacetic Acid |
| DR7A | DArg-DPro-DPro-DLeu-DTrp-DThr-DAla |
| DTPA | 2,2′,2″,2‴-((((Carboxymethyl)azanediyl)bis(ethane-2,1-diyl))bis(azanetriyl))tetraacetic Acid |
| E | Energy of an Incident Photon in a Scintillator |
| e− | Electron |
| e+ | Positron |
| EDTA | 2,2′,2″,2‴-(Ethane-1,2-diylbis(azanetriyl))tetraacetic Acid |
| ELISA | Enzyme-Linked Immunosorbent Assay |
| eV | Electron Volt |
| FISRE | Free-Ion Selective Radiotracer Extraction |
| g | Ground State |
| GRPR | Gastrin Releasing Peptide Receptors |
| H3mpatcn | 2,2′-(7-((6-Carboxypyridin-2-yl)methyl)-1,4,7-triazonane-1,4-diyl)diacetic Acid |
| H3NOTA | 1,4,7-Triazacyclononane-1,4,7-triacetic Acid |
| H4pypa | 6,6′-(((Pyridine-2,6-diylbis(methylene))bis((carboxymethyl)azanediyl))bis(methylene))dipicolinic Acid |
| HDEHP | Di-2-ethylhexyl Phosphoric Acid |
| HFIR | High Flux Isotope Reactor |
| HPGe | High-Purity Germanium |
| HPLC | High Performance Liquid Chromatography |
| ID/g | Injected Dose per Gram of Radionuclide |
| iTLC | Instant Thin-Layer Chromatography |
| K4R | Lys(HArg)-Dab-Pro-Arg |
| LNCaP | Human Prostate Cancer Cell Line |
| log K | Stability Constant |
| log Ki | Protonation Constant |
| m | Metastable State |
| MBq/μmol | Megabecquerel per Micromole or Apparent Molar Activity |
| MCi | Millicurie |
| MP-AES | Microwave Plasma-Atomic Emission Spectrometry |
| MRI | Magnetic Resonance Imaging |
| N | Number of Neutrons |
| nat-V | Natural Vanadium |
| NBD | 2,2′,2″,2‴-(2-(4-Nitrobenzyl)-1,4,7,10-tetraazacyclododecane-1,4,7,10-tetrayl)tetraacetic Acid |
| NI | 2-Nitroimidazole |
| NODAGA-NOC | 2,2′-(7-(4-((1-((13-((1H-Indol-3-yl)methyl)-10-(4-aminobutyl)-4-((1,3-dihydroxybutan-2-yl)carbamoyl)-7-(1-hydroxyethyl)-16-(naphthalen-1-ylmethyl)-6,9,12,15,18-pentaoxo-1,2-dithia-5,8,11,14,17-pentaazacycloicosan-19-yl)amino)-1-oxo-3-phenylpropan-2-yl)amino)-1-carboxy-4-oxobutyl)-1,4,7-triazonane-1,4-diyl)diacetic Acid |
| NODAGA-RGD | 2,2-(7-(1-Carboxy-4-((4-(11-(carboxymethyl)-5-(3-guanidinopropyl)-14-(4-hydroxybenzyl)-3,6,9,12,15-pentaoxo-1,4,7,10,13-pentaazacyclopentadecan-2-yl)butyl)amino)-4-oxobutyl)-1,4,7-triazonane-1,4-diyl)diacetic Acid |
| NOTA | 2,2′,2″-(1,4,7-Triazonane-1,4,7-triyl)triacetic Acid |
| NRP-1 protein | Neuropilin-1 Protein |
| p | Proton |
| PC-3 cells | Prostate Cancer cells |
| PET | Positron Emission Tomography |
| picagaDUPA | 17-(4-(Carboxymethyl)-7-((6-carboxypyridin-2-yl)methyl)-1,4,7-triazonan-1-yl)-5,10,14-trioxo-4,6,11,13-tetraazaheptadecane-1,3,7,17-tetracarboxylic Acid |
| PSI | Paul Scherrer Institute |
| PSMA | Prostate-Specific Membrane Antigen |
| PTFE | Polytetrafluoroethylene |
| RGD | Arg-Gly-Asp or Arginylglycylaspartic Acid |
| s | Seconds |
| SCID | Severe Combined Immunodeficiency Disease |
| SCX | Strong Cation Exchange |
| SEM | Scanning Electron Microscopy |
| SiPM | Silicon Photomultiplier |
| SPECT | Single-Photon Emission Computed Tomography |
| SPION | Super-Paramagnetic Iron Oxide Nanoparticles |
| t1/2 | Half-life |
| TBP | Tributyl Phosphate |
| TEM | Transmission Electron Microscopy |
| TETA | 2,2′,2″,2‴-(1,4,8,11-Tetraazacyclotetradecane-1,4,8,11-tetrayl)tetraacetic Acid |
| TLC | Thin-Layer Chromatography |
| UTEVA | Uranium and Tetravalent Actinide |
| UV | Ultraviolet |
| V/M | Volume-to-Muscle ratio |
| VECC | Variable Energy Cyclotron Center |
| x | Alpha or Beta Particle |
| X | Position of an Incident Photon in a Scintillator on X-Axis |
| X (in nuclear decay reactions) | Parent Nucleus |
| X* | Excited Nuclear State of Parent Nucleus |
| Y | Position of an Incident Photon in a Scintillator on Y-Axis |
| Υ (in nuclear decay reactions) | Daughter Nucleus |
| y | Years |
| Z | Atomic Number |
| α | Alpha Particle |
| β | Beta Particle |
| β+ | Positron |
| γ | Gamma Radiation |
| μL | Microliters |
References
- Jalilian, A.R.; Gizawy, M.A.; Alliot, C.; Takacs, S.; Chakarborty, S.; Rovais, M.R.A.; Pupillo, G.; Nagatsu, K.; Park, J.H.; Khandaker, M.U.; et al. IAEA activities on 67Cu, 186Re, 47Sc theranostic radionuclides and radiopharmaceuticals. Curr. Radiopharm. 2021, 14, 306–314. [Google Scholar] [CrossRef]
- Srivastava, S.C.; Mausner, L.F. Therapeutic radionuclides: Production, physical characteristics, and applications. In Therapeutic Nuclear Medicine; Springer: Berlin/Heidelberg, Germany, 2013; pp. 11–50. [Google Scholar]
- Poli, G.L.; Torres, L.; Coca, M.; Veselinovic, M.; Lassmann, M.; Delis, H.; Fahey, F. Paediatric Nuclear Medicine Practice: An International Survey by the IAEA. Eur. J. Nucl. Med. Mol. Imaging 2020, 47, 1552–1563. [Google Scholar] [CrossRef]
- Payolla, F.B.; Massabni, A.C.; Orvig, C. Radiopharmaceuticals for diagnosis in nuclear medicine: A short review. Eclética Química 2019, 44, 11–19. [Google Scholar]
- Ilem-Ozdemir, D.; Gundogdu, E.A.; Ekinci, M.; Ozgenc, E.; Asikoglu, M. Nuclear medicine and radiopharmaceuticals for molecular diagnosis. In Biomedical Applications of Nanoparticles; William Andrew Publishing: Norwich, NY, USA, 2019; pp. 457–490. [Google Scholar]
- Baskar, R.; Lee, K.A.; Yeo, R.; Yeoh, K.W. Cancer and Radiation Therapy: Current Advances and Future Directions. Int. J. Med. Sci. 2012, 9, 193–199. [Google Scholar] [CrossRef]
- Moding, E.J.; Kastan, M.B.; Kirsch, D.G. Strategies for optimizing the response of cancer and normal tissues to radiation. Nat. Rev. Drug Discov. 2013, 12, 526–542. [Google Scholar] [CrossRef]
- Ionescu, E.; Gurau, D.; Stanga, D.; Dragusin, M.; Neacsu, E. Radiological characterization plan for decommissioning IFIN-HH’s Cyclotron. Prog. Nucl. Energy 2024, 168, 104988. [Google Scholar] [CrossRef]
- Begg, A.C.; Stewart, F.A.; Vens, C. Strategies to improve radiotherapy with targeted drugs. Nat. Rev. Cancer 2011, 11, 239–253. [Google Scholar] [CrossRef]
- Zaknun, J.J.; Bodei, L.; Mueller-Brand, J.; Pavel, M.E.; Baum, R.P.; Hörsch, D.; O’Dorisio, M.S.; O’Dorisio, T.M.; Howe, J.R.; Cremonesi, M.; et al. The joint IAEA, EANM, and SNMMI practical guidance on peptide receptor radionuclide therapy (PRRNT) in neuroendocrine tumours. Eur. J. Nucl. Med. Mol. Imaging 2013, 40, 800–816. [Google Scholar] [CrossRef] [PubMed]
- Dhoundiyal, S.; Srivastava, S.; Kumar, S.; Singh, G.; Ashique, S.; Pal, R.; Neeraj Mishra, N.; Taghizadeh-Hesary, F. Radiopharmaceuticals: Navigating the frontier of precision medicine and therapeutic innovation. Eur. J. Med. Res. 2024, 29, 26. [Google Scholar] [CrossRef]
- Talip, Z.; Favaretto, C.; Geistlich, S.; van der Meulen, N.P. A Step-by-Step Guide for the Novel Radiometal Production for Medical Applications: Case Studies with 68Ga, 44Sc, 177Lu and 161Tb. Molecules 2020, 25, 966. [Google Scholar] [CrossRef]
- Kontoghiorghes, G.J. Advances on Chelation and Chelator Metal Complexes in Medicine. Int. J. Mol. Sci. 2020, 21, 2499. [Google Scholar] [CrossRef] [PubMed]
- Konstantinou, E.; Pashalidis, I.; Kolnagou, A.; Kontoghiorghes, G.J. Interactions of hydroxycarbamide (hydroxyurea) with iron and copper: Implications on toxicity and therapeutic strategies. Hemoglobin 2011, 35, 237–246. [Google Scholar] [CrossRef] [PubMed]
- Pashalidis, I.; Kontoghiorghes, G.J. Molecular factors affecting the complex formation between deferiprone (L1) and Cu(II). Possible implications on efficacy and toxicity. Arzneimittelforschung 2001, 51, 998–1003. [Google Scholar] [CrossRef] [PubMed]
- Ford-Hutchinson, A.W.; Perkins, D.J. The binding of scandium ions to transferrin in vivo and in vitro. Eur. J. Biochem. 1971, 21, 55–59. [Google Scholar] [CrossRef] [PubMed]
- Kontoghiorghe, C.N.; Kolnagou, A.; Kontoghiorghes, G.J. Potential clinical applications of chelating drugs in diseases targeting transferrin-bound iron and other metals. Expert. Opin. Investig. Drugs 2013, 22, 591–618. [Google Scholar] [CrossRef] [PubMed]
- Kontoghiorghes, G.J. Iron mobilization from transferrin and non-transferrin-bound-iron by deferiprone. Implications in the treatment of thalassemia, anemia of chronic disease, cancer and other conditions. Hemoglobin 2006, 30, 183–200. [Google Scholar] [CrossRef] [PubMed]
- Matazova, E.V.; Egorova, B.V.; Zubenko, A.D.; Pashanova, A.V.; Mitrofanov, A.A.; Fedorova, O.A.; Ermolaev, S.V.; Vasiliev, A.N.; Kalmykov, S.N. Insights into Actinium Complexes with Tetraacetates─AcBATA versus AcDOTA: Thermodynamic, Structural, and Labeling Properties. Inorg. Chem. 2023, 62, 12223–12236. [Google Scholar] [CrossRef]
- Sneddon, D.; Cornelissen, B. Emerging chelators for nuclear imaging. Curr. Opin. Chem. Biol. 2021, 63, 152–162. [Google Scholar] [CrossRef]
- Prado-Wohlwend, S.; Del Olmo-García, M.I.; Bello-Arques, P.; Merino-Torres, J.F. Response to targeted radionuclide therapy with [131I]MIBG AND [177Lu]Lu-DOTA-TATE according to adrenal vs. extra-adrenal primary location in metastatic paragangliomas and pheochromocytomas: A systematic review. Front. Endocrinol. 2022, 13, 957172. [Google Scholar] [CrossRef]
- Okarvi, S.M. Recent developments of prostate-specific membrane antigen (PSMA)-specific radiopharmaceuticals for precise imaging and therapy of prostate cancer: An overview. Clin. Transl. Imaging 2019, 7, 189–208. [Google Scholar] [CrossRef]
- Jensen, S.B. Radioactive Molecules 2021–2022. Molecules 2024, 29, 265. [Google Scholar] [CrossRef]
- Mohapatra, S.K.; Dash, A.K. Special Dosage Forms and Drug Delivery Systems. In Pharmaceutics, 2nd ed.; Academic Press: Cambridge, MA, USA, 2024; pp. 393–436. [Google Scholar]
- Jaszczak, R.J. The early years of single photon emission computed tomography (SPECT): An anthology of selected reminiscences. Phys. Med. Biol. 2006, 51, R99–R115. [Google Scholar] [CrossRef] [PubMed]
- Raju, G.; Nayak, S.; Acharya, N.; Sunder, M.; Kistenev, Y.; Mazumder, N. Exploring the future of regenerative medicine: Unveiling the potential of optical microscopy for structural and functional imaging of stem cells. J. Biophotonics 2024, 17, e202300360. [Google Scholar] [CrossRef] [PubMed]
- Chung, E.J.; Tirrell, M. Recent Advances in Targeted, Self-Assembling Nanoparticles to Address Vascular Damage Due to Atherosclerosis. Adv. Healthc. Mater. 2015, 4, 2408–2422. [Google Scholar] [CrossRef] [PubMed]
- Lamba, M.; Singh, P.R.; Bandyopadhyay, A.; Goswami, A. Synthetic 18F labeled biomolecules that are selective and promising for PET imaging: Major advances and applications. RSC Med. Chem. 2024; advance article. [Google Scholar] [CrossRef]
- van der Meulen, N.P.; Strobel, K.; Lima, T.V.M. New Radionuclides and Technological Advances in SPECT and PET Scanners. Cancers 2021, 13, 6183. [Google Scholar] [CrossRef] [PubMed]
- Lu, W.; Duan, Y.; Li, K.; Cheng, Z.; Qiu, J. Metabolic interactions between organs in overweight and obesity using total-body positron emission tomography. Int. J. Obes. 2024, 48, 94–102. [Google Scholar] [CrossRef] [PubMed]
- Phelps, M.E. PET: The Merging of Biology and Imaging into Molecular Imaging. J. Nucl. Med. 2000, 41, 661–681. [Google Scholar]
- von Schulthess, G.K. Molecular Anatomic Imaging: PET-CT and SPECT-CT Integrated Modality Imaging; Lippincott Williams & Wilkins: Philadelphia, PA, USA, 2007. [Google Scholar]
- Kamel, E.M.; Goerres, G.W.; Burger, C.; von Schulthess, G.K.; Steinert, H.C. Recurrent laryngeal nerve palsy in patients with lung cancer: Detection with PET-CT image fusion—Report of six cases. Radiology 2002, 224, 153–156. [Google Scholar] [CrossRef]
- Shreve, P.D.; Anzai, Y.; Wahl, R.L. Pitfalls in oncologic diagnosis with FDG PET imaging: Physiologic and benign variants. Radiographics 1999, 19, 61–77. [Google Scholar] [CrossRef]
- Soderlund, A.T.; Chaal, J.; Tjio, G.; Totman, J.J.; Conti, M.; Townsend, D.W. Beyond 18F-FDG: Characterization of PET/CT and PET/MR scanners for a comprehensive set of positron emitters of growing application—18F, 11C, 89Zr, 124I, 68Ga, and 90Y. J. Nucl. Med. 2015, 56, 1285–1291. [Google Scholar] [CrossRef] [PubMed]
- Moskal, P.; Stępień, E. Prospects and clinical perspectives of total-body PET imaging using plastic scintillators. PET Clin. 2020, 15, 439–452. [Google Scholar] [CrossRef]
- Raeymaeckers, S.; De Brucker, Y.; Vanderhasselt, T.; Buls, N.; De Mey, J. Detection of parathyroid adenomas with multiphase 4DCT: Towards a true four-dimensional technique. BMC Med. Imaging 2021, 21, 64. [Google Scholar] [CrossRef] [PubMed]
- Naqvi, S.; Imran, M.B. Single-Photon Emission Computed Tomography (SPECT) Radiopharmaceuticals. In Medical Isotopes; IntechOpen: London, UK, 2021; p. 5. [Google Scholar]
- Peterson, T.E.; Furenlid, L.R. SPECT detectors: The Anger Camera and beyond. Phys. Med. Biol. 2011, 56, R145–R182. [Google Scholar] [CrossRef] [PubMed]
- Lodge, M.A.; Frey, E.C. Nuclear Medicine Imaging Devices, Chapter 11; IAEA: Vienna, Austria, 2014; pp. 312–397. [Google Scholar]
- Dyer, M.R.; Jing, Z.; Duncan, K.; Godbe, J.; Shokeen, M. Advancements in the development of radiopharmaceuticals for nuclear medicine applications in the treatment of bone metastases. Nucl. Med. Biol. 2024, 130–131, 108879. [Google Scholar] [CrossRef] [PubMed]
- Bisogni, M.G. Quality assurance in particle therapy with PET. In Monte Carlo in Heavy Charged Particle Therapy; CRC Press: Boca Raton, FL, USA, 2024; pp. 97–109. [Google Scholar]
- van der Meulen, N.P.; Bunka, M.; Domnanich, K.A.; Müller, C.; Haller, S.; Vermeulen, C. Cyclotron production of (44)Sc: From bench to bedside. Nucl. Med. Biol. 2015, 42, 745–751. [Google Scholar] [CrossRef] [PubMed]
- Tsai, W.T.K.; Wu, A.M. Aligning physics and physiology: Engineering antibodies for radionuclide delivery. J. Labelled Comp. Radiopharm. 2018, 61, 693–714. [Google Scholar] [CrossRef] [PubMed]
- Liu, S. Bifunctional Coupling Agents for Radiolabeling of Biomolecules and Target-Specific Delivery of Metallic Radionuclides. Adv. Drug Deliv. Rev. 2008, 60, 1347–1370. [Google Scholar] [CrossRef]
- Gudkov, S.V.; Shilyagina, N.Y.; Vodeneev, V.A.; Zvyagin, A.V. Targeted Radionuclide Therapy of Human Tumors. Int. J. Mol. Sci. 2016, 17, 33. [Google Scholar] [CrossRef]
- Yeong, C.H.; Cheng, M.H.; Ng, K.H. Therapeutic radionuclides in nuclear medicine: Current and future prospects. J. Zhejiang Univ. Sci. B (Biomed. Biotechnol.) 2014, 15, 845–863. [Google Scholar] [CrossRef]
- Lee, H.H.; Chen, J.C. Investigation of attenuation correction for small-animal single photon emission computed tomography. Comput. Math. Methods Med. 2013, 2013, 430276. [Google Scholar] [CrossRef]
- Lange, R.; Schreuder, N.; Hendrikse, H. Radiopharmaceuticals. In Practical Pharmaceutics: An International Guideline for the Preparation, Care and Use of Medicinal Products; Springer International Publishing: Cham, Switzerland, 2023; pp. 531–550. [Google Scholar]
- Sgouros, G.; Bodei, L.; McDevitt, M.R.; Nedrow, J.R. Radiopharmaceutical therapy in cancer: Clinical advances and challenges. Nat. Rev. Drug Discov. 2020, 19, 589–608. [Google Scholar] [CrossRef] [PubMed]
- Notni, J.; Wester, H.J. Re-thinking the role of radiometal isotopes: Towards a future concept for theranostic radiopharmaceuticals. J. Label. Compd. Radiopharm. 2018, 61, 141–153. [Google Scholar] [CrossRef]
- Yordanova, A.; Eppard, E.; Kürpig, S.; Bundschuh, R.A.; Schönberger, S.; Gonzalez-Carmona, M.; Feldmann, G.; Ahmadzadehfar, H.; Essler, M. Theranostics in nuclear medicine practice. Onco Targets Ther. 2017, 10, 4821–4828. [Google Scholar] [CrossRef] [PubMed]
- Velikyan, I. Radionuclides for imaging and therapy in oncology. In Cancer Theranostics; Academic Press: Cambridge, MA, USA, 2014; pp. 285–325. [Google Scholar]
- Caldorera-Moore, M.E.; Liechty, W.B.; Peppas, N.A. Responsive theranostic systems: Integration of diagnostic imaging agents and responsive controlled release drug delivery carriers. Acc. Chem. Res. 2011, 44, 1061–1070. [Google Scholar] [CrossRef] [PubMed]
- Qaim, S.M.; Scholten, B.; Neumaier, B. New developments in the production of theranostic pairs of radionuclides. J. Radioanal. Nucl. Chem. 2018, 318, 1493–1509. [Google Scholar] [CrossRef]
- Riva, S.; Yusenko, K.V.; Lavery, N.P.; Jarvis, D.J.; Brown, S.G. The scandium effect in multicomponent alloys. Int. Mater. Rev. 2016, 61, 203–228. [Google Scholar] [CrossRef]
- Whetter, J.N.; Vaughn, B.A.; Koller, A.J.; Boros, E. An Unusual Pair: Facile Formation and In Vivo Validation of Robust Sc–18F Ternary Complexes for Molecular Imaging. Angew. Chem. 2022, 134, e202114203. [Google Scholar] [CrossRef]
- Müller, C.; Domnanich, K.A.; Umbricht, C.A.; van der Meulen, N.P. Scandium and terbium radionuclides for radiotheranostics: Current state of development towards clinical application. Brit. J. Radiol. 2018, 91, 20180074. [Google Scholar] [CrossRef]
- Trencsényi, G.; Képes, Z. Scandium-44: Diagnostic Feasibility in Tumor-Related Angiogenesis. Int. J. Mol. Sci. 2023, 24, 7400. [Google Scholar] [CrossRef]
- Mikolajczak, R.; Huclier-Markai, S.; Alliot, C.; Haddad, F.; Szikra, D.; Forgacs, V.; Garnuszek, P. Production of scandium radionuclides for theranostic applications: Towards standardization of quality requirements. EJNMMI Radiopharm. Chem. 2021, 6, 19. [Google Scholar] [CrossRef] [PubMed]
- Banerjee, S.R.; Pomper, M.G. Clinical Applications of Gallium-68. Appl. Radiat. Isot. 2013, 76, 2–13. [Google Scholar] [CrossRef] [PubMed]
- Domnanich, K.A.; Eichler, R.; Müller, C.; Jordi, S.; Yakusheva, V.; Braccini, S.; Behe, M.; Schibli, R.; Türler, A.; van der Meulen, N.P. Production and separation of 43Sc for radiopharmaceutical purposes. EJNMMI Radiopharm. Chem. 2017, 2, 14. [Google Scholar] [CrossRef] [PubMed]
- Masłowska, K.; Redkiewicz, P.; Halik, P.K.; Witkowska, E.; Tymecka, D.; Walczak, R.; Choiński, J.; Misicka, A.; Gniazdowska, E. Scandium-44 Radiolabeled Peptide and Peptidomimetic Conjugates Targeting Neuropilin-1 Co-Receptor as Potential Tools for Cancer Diagnosis and Anti-Angiogenic Therapy. Biomedicines 2023, 11, 564. [Google Scholar] [CrossRef]
- Zhang, J.; Singh, A.; Kulkarni, H.R.; Schuchardt, C.; Müller, D.; Wester, H.J.; Maina, T.; Rosch, F.; van der Meulen, N.P.; Muller, C.; et al. From bench to bedside—The bad Berka experience with first-in-human studies. Semin. Nucl. Med. 2019, 49, 422–437. [Google Scholar] [CrossRef] [PubMed]
- Hooijman, E.L.; Radchenko, V.; Ling, S.W.; Konijnenberg, M.; Brabander, T.; Koolen, S.L.; de Blois, E. Implementing Ac-225 labelled radiopharmaceuticals: Practical considerations and (pre-) clinical perspectives. EJNMMI Radiopharm. Chem. 2024, 9, 9. [Google Scholar] [CrossRef] [PubMed]
- Müller, C.; Bunka, M.; Haller, S.; Köster, U.; Groehn, V.; Bernhardt, P.; van der Meulen, N.P.; Türler, A.; Schibli, R. Promising Prospects for 44Sc-/47Sc-Based Theragnostics: Application of 47Sc for Radionuclide Tumor Therapy in Mice. J. Nucl. Med. 2014, 55, 1658–1664. [Google Scholar] [CrossRef] [PubMed]
- Kankanamalage, P.H.; Brossard, T.; Song, J.; Nolen, J.; Rotsch, D.A. Photonuclear production of 47Ca for 47Ca/47Sc generator from natural CaCO3 targets. Appl. Radiat. Isot. 2023, 200, 110943. [Google Scholar] [CrossRef]
- Mikolajczak, R.; Meule, N.P.; Lapi, S.E. Radiometals for imaging and theranostics, current production, and future perspectives. J. Label. Compd. Radiopharm. 2019, 62, 615–634. [Google Scholar] [CrossRef]
- Filosofov, D.V.; Loktionova, N.S.; Rösch, F. A 44Ti/44Sc radionuclide generator for potential application of 44Sc-based PET-radiopharmaceuticals. Radiochim. Acta 2010, 98, 149–156. [Google Scholar] [CrossRef]
- Roesch, F. Scandium-44: Benefits of a Long-Lived PET Radionuclide Available from the 44Ti/44Sc Generator System. Curr. Radiopharm. 2012, 5, 187–201. [Google Scholar] [CrossRef]
- Pruszynki, M.; Loktionova, N.S.; Filosofov, D.V.; Rösch, F. Post-elution processing of 44Ti/44Sc generator-derived 44Sc for clinical application. Appl. Radiat. Isot. 2010, 68, 1636–1641. [Google Scholar] [CrossRef] [PubMed]
- Gajecki, L.; Marino, C.M.; Cutler, C.S.; Sanders, V.A. Evaluation of hydroxamate-based resins towards a more clinically viable 44Ti/44Sc radionuclide generator. Appl. Radiat. Isot. 2023, 192, 110588. [Google Scholar] [CrossRef]
- Valdovinos, H.F.; Hernandez, R.; Barnhart, T.E.; Graves, S.; Cai, W.; Nickles, R.J. Separation of cyclotron-produced (44)Sc from a natural calcium target using a dipentyl pentylphosphonate functionalized extraction resin. Appl. Radiat. Isot. 2015, 95, 23–29. [Google Scholar] [CrossRef]
- Kilian, K.; Pyrzyńska, K. Scandium Radioisotopes—Toward New Targets and Imaging Modalities. Molecules 2023, 28, 7668. [Google Scholar] [CrossRef] [PubMed]
- Krajewski, S.; Cydzik, I.; Abbas, K.; Bulgheroni, A.; Simonelli, F.; Holzwarth, U.; Bilewicz, A. Cyclotron production of 44Sc for clinical application. Radiochim. Acta 2013, 101, 333–338. [Google Scholar] [CrossRef]
- Koning, A.J.; Rochman, D.; Kopecky, J.; Sublet, J.C.; Bauge, E.; Hilaire, S.; Romain, P.; Morillon, B.; Duarte, H.; van der Marck, S.; et al. TALYS-Based Evaluated Nuclear Data Library; TENDL; American Nuclear Society: Westmont, IL, USA, 2015. [Google Scholar]
- Synowiecki, M.A.; Perk, L.R.; Nijsen, J.F.W. Production of novel diagnostic radionuclides in small medical cyclotrons. EJNMMI Radiopharm. Chem. 2018, 3, 3. [Google Scholar] [CrossRef] [PubMed]
- van der Meulen, N.P.; Hasler, R.; Talip, Z.; Grundler, P.V.; Favaretto, C.; Umbricht, C.A.; Müller, C.; Dellepiane, G.; Carzaniga, T.S.; Braccini, S. Developments toward the implementation of (44)Sc production at a medical cyclotron. Molecules 2020, 25, 4706. [Google Scholar] [CrossRef] [PubMed]
- Sitarz, M.; Szkliniarzd, K.; Jastrzębskia, J.; Choińskia, J.; Guertine, A.; Haddad, F.; Jakubowskia, A.; Kapinosa, K.; Kisielińskia, M.; Majkowskaf, A.; et al. Production of Sc medical radioisotopes with proton and deuteron beams. Appl. Radiat. Isot. 2018, 142, 104–112. [Google Scholar] [CrossRef] [PubMed]
- Szkliniarz, K.; Sitarz, M.; Walczak, R.; Jastrzebski, J.; Bilewicz, A.; Choinski, J.; Jakubowski, A.; Majkowska, A.; Stolarz, A.; Trzcińska, A.; et al. Production of medical Sc radioisotopes with an alpha particle beam. Appl. Radiat. Isot. 2016, 118, 182–189. [Google Scholar] [CrossRef]
- Minegishi, K.; Nagatsu, K.; Fukada, M.; Suzuki, H.; Ohya, T.; Zhang, M.R. Production of scandium-43 and -47 from a powdery calcium oxide target via the (nat/44)Ca(alpha,x)-channel. Appl. Radiat. Isot. 2016, 116, 8–12. [Google Scholar] [CrossRef] [PubMed]
- Carzaniga, T.S.; van der Meulen, N.P.; Hasler, R.; Kottler, C.; Peier, P.; Turler, A.; Vermeulen, E.; Vockenhuber, C.; Braccini, S. Measurement of the (43)Sc production cross-section with a deuteron beam. Appl. Radiat. Isot. 2019, 145, 205–208. [Google Scholar] [CrossRef] [PubMed]
- Juget, F.; Durán, T.; Nedjadi, Y.; Talip, Z.; Grundler, P.V.; Favaretto, C.; Casolaro, P.; Dellepiane, G.; Braccini, S.; Bailat, C.; et al. Activity Measurement of 44Sc and Calibration of Activity Measurement Instruments on Production Sites and Clinics. Molecules 2023, 28, 1345. [Google Scholar] [CrossRef] [PubMed]
- Severin, G.W.; Engle, J.W.; Valdovinos, H.F.; Barnhart, T.E.; Nickles, R.J. Cyclotron produced 44gSc from natural calcium. Appl. Radiat. Isot. 2012, 70, 1526–1530. [Google Scholar] [CrossRef] [PubMed]
- Radchenko, V.; Meyer, C.A.L.; Engle, J.W.; Naranjo, C.M.; Unc, G.A.; Mastren, T.; Brugh, M.; Birnbaum, E.R.; John, K.D.; Nortier, F.M.; et al. Separation of 44Ti from proton irradiated scandium by using solid-phase extraction chromatography and design of 44Ti/44Sc generator system. J. Chromatogr. A 2016, 1477, 39–46. [Google Scholar] [CrossRef] [PubMed]
- Alliot, C.; Kerdjoudj, R.; Michel, N.; Haddad, F.; Huclier-Markai, S. Cyclotron production of high purity (44m,44)Sc with deuterons from (44)CaCO3 targets. Nucl. Med. Biol. 2015, 42, 524–529. [Google Scholar] [CrossRef] [PubMed]
- Becker, K.V.; Aluicio-Sarduy, E.; Bradshaw, T.; Hurley, S.A.; Olson, A.P.; Barrett, K.E.; Jeanine, B.; Ellison, P.A.; Barnhart, T.E.; Pirasteh, A.; et al. Cyclotron production of 43Sc and 44gSc from enriched 42CaO, 43CaO, and 44CaO targets. Front. Chem. 2023, 11, 1167783. [Google Scholar] [CrossRef] [PubMed]
- Chakravarty, R.; Banerjee, D.; Chakraborty, S. Alpha-induced production and robust radiochemical separation of 43Sc as an emerging radiometal for formulation of PET radiopharmaceuticals. Appl. Radiat. Isot. 2023, 199, 110921. [Google Scholar] [CrossRef] [PubMed]
- Fathi, F.; Banaem, L.M.; Shamsaei, M.; Samani, A.; Maragheh, M.G. Production, biodistribution, and dosimetry of 47Sc-1,4,7,10-tetraazacyclododecane-1,4,7,10-tetramethylene phosphonic acid as a bone-seeking radiopharmaceutical. J. Med. Phys. 2015, 40, 156–164. [Google Scholar] [CrossRef]
- El-Din, A.M.S.; Rizk, H.E.; Attallah, M.F. Purification of Carrier-Free 47Sc of Biomedical Interest: Selective Separation Study from natCa(n,γ). Separations 2023, 10, 8. [Google Scholar] [CrossRef]
- Gizawy, M.A.; Mohamed, N. Theoretical and experimental investigations of Sc-47 production at Egyptian Second Research Reactor (ETRR-2). J. Radioanal. Nucl. Chem. 2021, 328, 1–7. [Google Scholar] [CrossRef]
- Gizawy, M.A.; Mohamed, N.M.A.; Aydia, M.I.; Soliman, M.A.; Shamsel-Din, H.A. Feasibility study on production of Sc-47 from neutron irradiated Ca target for cancer theranostics applications. Radiochim. Acta 2020, 108, 207–215. [Google Scholar] [CrossRef]
- Bokhari, T.H.; Mushtaq, A.; Khan, I.U. Separation of no-carrier-added radioactive scandium from neutron irradiated titanium. J. Radioanal. Nucl. Chem. 2009, 283, 389–393. [Google Scholar] [CrossRef]
- Bartoś, B.; Majkowska, A.; Krajewski, S.; Bilewicz, A. New separation method of no-carrier-added 47Sc from titanium targets. Radiochim. Acta 2012, 100, 457–462. [Google Scholar] [CrossRef]
- Deilami-Nezhad, L.; Moghaddam-Banaem, L.; Sadeghi, M.; Asgari, M. Production and purification of Scandium-47: A potential radioisotope for cancer theranostics. Appl. Radiat. Isot. 2016, 118, 124–130. [Google Scholar] [CrossRef] [PubMed]
- Mausner, L.F.; Kolsky, K.L.; Mease, R.C.; Chinol, M.; Meinken, G.E.; Straub, R.F.; Srivastava, S.C.; Pietrelli, L.; Steplewski, Z. Production and evaluation of Sc-47 for radioimmunotherapy. J. Labelled Comp. Radiopharm. 1993, 32, 388–390. [Google Scholar]
- Pawlak, D.; Wojdowska, W.; Parus, L.J.; Cieszykowska, I.; Zoltowska, M.; Garnuszek, P.; Mikolajczak, R. Comparison of separation methods for 47Ca/47Sc radionuclide generator. Appl. Radiat. Isot. 2019, 151, 140–144. [Google Scholar] [CrossRef] [PubMed]
- Mamtimin, M.; Harmon, F.; Starovoitova, V.N. Sc-47 production from titanium targets using electron linacs. Appl. Radiat. Isot. 2015, 102, 1–4. [Google Scholar] [CrossRef] [PubMed]
- Rotsch, D.A.; Brown, M.A.; Nolen, J.A.; Brossard, T.; Henning, W.F.; Chemerisov, S.D. Electron linear accelerator production and purification of scandium-47 from titanium dioxide targets. Appl. Radiat. Isot. 2018, 131, 77–82. [Google Scholar] [CrossRef]
- Jafari, A.; Aboudzadeh, M.R.; Azizakram, H.; Sadeghi, M.; Alirezapour, B.; Rajabifar, S.; Yousefi, K. Investigations of proton and deuteron induced nuclear reactions on natural and enriched titanium, calcium and vanadium targets, with special reference to the production of (47)Sc. Appl. Radiat. Isot. 2019, 152, 145–155. [Google Scholar] [CrossRef]
- Starovoitova, V.N.; Cole, P.L.; Grimm, T.L. Accelerator-based photoproduction of promising beta-emitters 67Cu and 47Sc. J. Radioanal. Nucl. Chem. 2015, 305, 127–132. [Google Scholar] [CrossRef]
- Snow, M.S.; Foley, A.; Ward, J.L.; Kinlaw, M.T.; Stoner, J.; Carney, K.P. High purity 47Sc production using high-energy photons and natural vanadium targets. Appl. Radiat. Isot. 2021, 178, 109934. [Google Scholar] [CrossRef] [PubMed]
- Meiers, J.L.; Foley, A.; Beattie, C.; Snow, M.S. Exploring rapid chemical separations of Sc-47 produced from photonuclear reactions on natural vanadium targets. J. Radioanal. Nucl. Chem. 2022, 331, 5623–5630. [Google Scholar] [CrossRef]
- Srivastava, S.C. A Bridge not too Far: Personalized Medicine with the use of Theragnostic Radiopharmaceuticals. J. Postgrad. Med. Edu Res. 2013, 47, 31–46. [Google Scholar] [CrossRef]
- Misiak, R.; Walczak, R.; Was, B.; Bartyzel, M.; Mietelski, J.W.; Bilewicz, A. (47)Sc production development by cyclotron irradiation of (48)Ca. J. Radioanal. Nucl. Chem. 2017, 313, 429–434. [Google Scholar] [CrossRef]
- Carzaniga, T.S.; Braccini, S. Cross-section measurement of 44mSc, 47Sc, 48Sc and 47Ca for an optimized 47Sc production with an 18 MeV medical PET cyclotron. Appl. Radiat. Isot. 2019, 143, 18–23. [Google Scholar] [CrossRef] [PubMed]
- Ditroi, F.; Tarkanyi, F.; Takacs, S.; Hermanne, A. Activation cross-sections of proton induced reactions on vanadium in the 37-65 MeV energy range. Nucl. Instrum. Meth B 2016, 381, 16–28. [Google Scholar] [CrossRef]
- Patra, S.; Ghosh, S.; Banerjee, D.; Singh, K.; Thakare, S.V.; Chakravarty, R. Robust electrochemical method for separation of theranostic 44Sc/47Sc pair of radiometals. Sep. Purif. Technol. 2024, 345, 127400. [Google Scholar] [CrossRef]
- Pupillo, G.; Mou, L.; Boschi, A.; Calzaferri, S.; Canton, L.; Cisternino, S.; Dominicis, L.D.; Duatti, A.; Fontana, A.; Haddad, F.; et al. Production of 47Sc with natural vanadium targets: Results of the PASTA project. J. Radioanal. Nucl. Chem. 2019, 322, 1711–1718. [Google Scholar] [CrossRef]
- Mamis, E.; Duchemin, C.; Berlin, V.; Bernerd, C.; Bovigny, M.; Chevallay, E.; Crepieux, B.; Gadelshin, V.M.; Heinke, R.; Hernandez, R.M.; et al. Target Development towards First Production of High-Molar-Activity 44gSc and 47Sc by Mass Separation at CERN-MEDICIS. Pharmaceuticals 2024, 17, 390. [Google Scholar] [CrossRef]
- Rizk, H.E.; Breky, M.M.E.; Attallah, M.F. Development of purification of no-carrier-added 47Sc of theranostic interest: Selective separation study from the natTi(n,p) process. Radiochim. Acta 2023, 3, 273–282. [Google Scholar] [CrossRef]
- Walczak, R.; Krajewski, S.; Szkliniarz, K.; Sitarz, M.; Abbas, K.; Choinski, J.; Jakubowski, A.; Jastrzębski, J.; Majkowska, A.; Simonelli, F.; et al. Cyclotron production of (43)Sc for PET imaging. EJNMMI Phys. 2015, 2, 33. [Google Scholar] [CrossRef] [PubMed]
- Mausner, L.; Kolsky, K.L.; Joshi, V.; Srivastava, S.C. Radionuclide development at BNL for nuclear medicine therapy. Appl. Radiat. Isot. 1998, 49, 285–294. [Google Scholar] [CrossRef] [PubMed]
- McLain, D.R.; Brossard, T.W.; De Kruijff, R.; Kankanamalage, P.H.A.; Rotsch, D.A. Evaluation of two extraction chromatography resins for scandium and titanium separation for medical isotope production. J. Radioanal. Nucl. Chem. 2023, 332, 553–562. [Google Scholar] [CrossRef]
- Loveless, C.S.; Blanco, J.R.; Diehl, G.L.; Elbahrawi, R.T.; Carzaniga, T.S.; Braccini, S.; Lapi, S.E. Cyclotron Production and Separation of Scandium Radionuclides from Natural Titanium Metal and Titanium Dioxide Targets. J. Nucl. Med. 2021, 62, 131–136. [Google Scholar] [CrossRef] [PubMed]
- Lima, T.V.M.; Gnesin, S.; Strobel, K.; Pérez, M.D.S.; Roos, J.E.; Müller, C.; van der Meulen, N.P. Fifty Shades of Scandium: Comparative Study of PET Capabilities Using Sc-43 and Sc-44 with Respect to Conventional Clinical Radionuclides. Diagnostics 2021, 11, 1826. [Google Scholar] [CrossRef] [PubMed]
- Huang, Y.; Qiu, Y.; Zhang, Z.; Wang, W.; Peng, W.; Cao, Y. A perspective on molecular recognition technology for recovering critical metals from minerals and processing wastes. Sep. Purif. Technol. 2024, 347, 127734. [Google Scholar] [CrossRef]
- Chaple, I.F.; Lapi, S.E. Production and use of the first-row transition metal PET radionuclides (43,44)Sc, (52)Mn, and (45)Ti. J. Nucl. Med. 2018, 59, 1655–1659. [Google Scholar] [CrossRef]
- Kilian, K.; Cheda, Ł.; Sitarz, M.; Szkliniarz, K.; Choiński, J.; Stolarz, A. Separation of (44)Sc from natural calcium carbonate targets for synthesis of (44)Sc-DOTATATE. Molecules 2018, 23, 1787. [Google Scholar] [CrossRef] [PubMed]
- Saini, S.; Lapi, S.E. Titanium-45 (45Ti) Radiochemistry and Applications in Molecular Imaging. Pharmaceuticals 2024, 17, 479. [Google Scholar] [CrossRef]
- Połosak, M.; Piotrowska, A.; Krajewski, S.; Bilewicz, A. Stability of (47)Sc-complexes with acyclic polyamino-polycarboxylate ligands. J. Radioanal. Nucl. Chem. 2013, 295, 1867–1872. [Google Scholar] [CrossRef]
- Loveless, C.S.; Blanco, J.R.; Braccini, S.; Lapi, S. Evaluation of cyclotron produced 43,44,47Sc from titanium (0) and titanium dioxide. J. Labelled Comp. Radiopharm. 2019, 1, 569–570. [Google Scholar]
- Pietrelli, L.; Mausner, L.F.; Kolsky, K.L. Separation of carrier-free47Sc from titanium targets. J. Radioanal. Nucl. Chem. 1992, 157, 335–345. [Google Scholar] [CrossRef]
- Majkowska-Pilip, A.; Bilewicz, A. Macrocyclic complexes of scandium radionuclides as precursors for diagnostic and therapeutic radiopharmaceuticals. J. Inorg. Biochem. 2011, 105, 313–320. [Google Scholar] [CrossRef] [PubMed]
- Patel, M.; Karamalidis, A. Adsorption-Based Separation and Recovery of Rare Earth Elements. Authorea Prepr. 2023. [CrossRef]
- Liu, X.; Chen, C.; Li, M.; Li, M.; Ren, J.; Zhang, Q. Practical Synthesis of Tenofovir Alafenamide Fumarate Inspired by New Retrosynthetic Disconnection Featuring a Novel Carbon–Phosphorus Bond Construction Methodology. Org. Process. Res. Dev. 2023, 27, 1079–1093. [Google Scholar] [CrossRef]
- Pasechnik, L.A.; Skachkov, V.M.; Chufarov, A.Y.; Suntsov, A.Y.; Yatsenko, S.P. High purity scandium extraction from red mud by novel simple technology. Hydrometallurgy 2021, 202, 105597. [Google Scholar] [CrossRef]
- Mishra, B.; Gostu, S. Materials Sustainability for Environment: Red-Mud Treatment. Front. Chem. Sci. Eng. 2017, 11, 483–496. [Google Scholar] [CrossRef]
- van de Voorde, M.; van Hecke, K.; Cardinaels, T.; Binnemans, K. Radiochemical processing of nuclear-reactor-produced radiolanthanides for medical applications. Coord. Chem. Rev. 2019, 382, 103–125. [Google Scholar] [CrossRef]
- Pourmand, A.; Dauphas, N. Distribution coefficients of 60 elements on TODGA resin: Application to Ca, Lu, Hf, U and Th isotope geochemistry. Talanta 2010, 81, 741–753. [Google Scholar] [CrossRef]
- Boron-Brenner, L. Development of Chemical Separation Methods Using Transition Metals for Nuclear Forensic and Medicinal Applications. Available from ProQuest Dissertations & Theses Global. (Order No. 10813737). 2018. Available online: https://www.proquest.com/dissertations-theses/development-chemical-separation-methods-using/docview/2124413447/se-2 (accessed on 31 May 2018).
- Roman, A.R.; Bond, E.M. A new method for separating first row transition metals and actinides from synthetic melt glass. J. Radioanal. Nucl. Chem. 2016, 307, 2471–2478. [Google Scholar] [CrossRef]
- Fani, M.; Maecke, H.R. Radiopharmaceutical development of radiolabelled peptides. Eur. J. Nucl. Med. Mol. Imaging 2012, 39 (Suppl. S1), S11–S30. [Google Scholar] [CrossRef] [PubMed]
- Cutler, C.S.; Hennkens, H.M.; Sisay, N.; Huclier-Markai, S.; Jurisson, S.S. Radiometals for combined imaging and therapy. Chem. Rev. 2013, 113, 858–883. [Google Scholar] [CrossRef] [PubMed]
- Huclier-Markai, S.; Alliot, C.; Sebti, J.; Brunel, B.; Aupiais, J. A comparative thermodynamic study of the formation of scandium complexes with DTPA and DOTA. RSC Adv. 2015, 5, 99606–99617. [Google Scholar] [CrossRef]
- Pniok, M.; Kubíček, V.; Havlíčková, J.; Kotek, J.; Sabatie-Gogová, A.; Plutnar, J.; Huclier-Markai, S.; Hermann, P. Thermodynamic and Kinetic Study of Scandium(III) Complexes of DTPA and DOTA: A Step Toward Scandium Radiopharmaceuticals. Chem. Eur. J. 2014, 20, 7944–7955. [Google Scholar] [CrossRef] [PubMed]
- Kerdjoudj, R.; Pniok, M.; Alliot, C.; Kubíček, V.; Havlíčková, J.; Rösch, F.; Hermann, P.; Huclier-Markai, S. Scandium(III) complexes of monophosphorus acid DOTA analogues: A thermodynamic and radiolabelling study with 44Sc from cyclotron and from a 44Ti/44Sc generator. Dalton Trans. 2016, 45, 1398–1409. [Google Scholar] [CrossRef] [PubMed]
- Szücs, D.; Csupász, T.; Szabó, J.P.; Kis, A.; Gyuricza, B.; Arató, V.; Forgács, V.; Vágner, A.; Nagy, G.; Garai, I.; et al. Synthesis, Physicochemical, Labeling and In Vivo Characterization of 44Sc-Labeled DO3AM-NI as a Hypoxia-Sensitive PET Probe. Pharmaceuticals 2022, 26, 666. [Google Scholar] [CrossRef]
- Pruszyński, M.; Majkowska-Pilip, A.; Loktionova, N.S.; Eppard, E.; Roesch, F. Radiolabeling of DOTATOC with the long-lived positron emitter 44Sc. Appl. Radiat. Isot. 2012, 70, 974–979. [Google Scholar] [CrossRef] [PubMed]
- Ünak, P.; Yasakçı, V.; Tutun, E.; Karatay, K.B.; Walczak, R.; Wawrowicz, K.; Żelechowska-Matysiak, K.; Majkowska-Pilip, A.; Bilewicz, A. Multimodal Radiobioconjugates of Magnetic Nanoparticles Labeled with 44Sc and 47Sc for Theranostic Application. Pharmaceutics 2023, 15, 850. [Google Scholar] [CrossRef] [PubMed]
- Vaughn, B.A.; Ahn, S.H.; Aluicio-Sarduy, E.; Devaraj, J.; Olson, A.P.; Engle, J.; Boros, E. Chelation with a twist: A bifunctional chelator to enable room temperature radiolabeling and targeted PET imaging with scandium-44. Chem. Sci. 2020, 11, 333–342. [Google Scholar] [CrossRef]
- Nagy, G.; Szikra, D.; Trencsényi, G.; Fekete, A.; Garai, I.; Giani, A.M.; Negri, R.; Masciocchi, N.; Maiocchi, A.; Uggeri, F.; et al. AAZTA: An ideal chelating agent for the development of (44) Sc PET imaging agents. Angew. Chem. Int. Ed. 2017, 56, 2118–2122. [Google Scholar] [CrossRef] [PubMed]
- Aldrich, K.E.; Popov, I.A.; Root, H.D.; Batista, E.R.; Greer, S.M.; Kozimor, S.A.; Lilley, L.M.; Livshits, M.Y.; Mocko, V.; Janicke, M.T.; et al. Synthesis, solid-state, solution, and theoretical characterization of an “in-cage” scandium-NOTA complex. Dalton Trans. 2022, 51, 9994–10005. [Google Scholar] [CrossRef] [PubMed]
- Fersing, C.; Masurier, N.; Rubira, L.; Deshayes, E.; Lisowski, V. AAZTA-derived chelators for the design of innovative radiopharmaceuticals with theranostic applications. Pharmaceuticals 2022, 15, 234. [Google Scholar] [CrossRef] [PubMed]
- Li, L.; Jaraquemada-Peláez, M.G.; Kuo, H.T.; Merkens, H.; Choudhary, N.; Gitschtaler, K.; Jermilova, U.; Colpo, N.; Uribe-Munoz, C.; Radchenko, V.; et al. Functionally versatile and highly stable Chelator for (111)in and (177)Lu: Proof-of-principle prostate-specific membrane antigen targeting. Bioconjugate Chem. 2019, 30, 1539–1553. [Google Scholar] [CrossRef] [PubMed]
- Li, L.; Jaraquemada-Peláez, M.d.G.; Aluicio-Sarduy, E.; Wang, X.; Jiang, D.; Sakheie, M.; Kuo, H.-T.; Barnhart, T.E.; Cai, W.; Radchenko, V.; et al. [nat/44Sc(pypa)]−: Thermodynamic Stability, Radiolabeling, and Biodistribution of a Prostate-Specific-Membrane-Antigen-Targeting Conjugate. Inorg. Chem. 2020, 59, 1985–1995. [Google Scholar] [CrossRef] [PubMed]
- Huclier-Markai, S.; Kerdjoudj, R.; Alliot, C.; Bonraisin, A.C.; Michel, N.; Haddad, F.; Barbet, J. Optimization of reaction conditions for the radiolabeling of DOTA and DOTA-peptide with 44m/44Sc and experimental evidence of the feasibility of an in vivo PET generator. Nucl. Med. Biol. 2014, 41, e36–e43. [Google Scholar] [CrossRef] [PubMed]
- Combes, R.D.; Berridge, T.; Connelly, J.; Eve, M.D.; Garner, R.C.; Toon, S.; Wilcox, P. Early microdose drug studies in human volunteers can minimise animal testing: Proceedings of a workshop organised by Volunteers in Research and Testing. Eur. J. Pharm. Sci. 2003, 19, 1–11. [Google Scholar] [CrossRef]
- Panwar, P.; Iznaga-Escobar, N.; Mishra, P.; Shrivastava, V.; Sharma, R.K.; Chandra, R.; Mishra, A.K. Radiolabeling and biological evaluation of DOTA-Ph-Al derivative conjugated to anti-EGFR antibody ior egf/r3 for targeted tumor imaging and therapy. Cancer Biol. Ther. 2005, 4, 854–860. [Google Scholar] [CrossRef] [PubMed]
- Huclier-Markai, S.; Sabatie, A.; Ribet, A.; Kubíček, V.; Paris, M.; Vidaud, C.; Hermann, P.; Cutler, C.S. Chemical and biological evaluation of scandium(III)-polyaminopolycarboxylate complexes as potential PET agents and radiopharmaceuticals. Radiochim. Acta 2011, 99, 653–662. [Google Scholar] [CrossRef]
- Izatt, R.M.; Pawlak, K.; Bradshaw, J.S.; Bruening, R.L. Thermodynamic and Kinetic Data for Macrocycle Interaction with Cations, Anions, and Neutral Molecules. Chem. Rev. 1995, 95, 2529–2586. [Google Scholar] [CrossRef]
- Hu, A.; Aluicio-Sarduy, E.; Brown, V.; MacMillan, S.N.; Becker, K.V.; Barnhart, T.E.; Radchenko, V.; Ramogida, C.F.; Engle, J.W.; Wilson, J.J. Py-Macrodipa: A Janus Chelator Capable of Binding Medicinally Relevant Rare-Earth Radiometals of Disparate Sizes. J. Am. Chem. Soc. 2021, 143, 10429–10440. [Google Scholar] [CrossRef] [PubMed]
- Kontoghiorghe, C.N.; Andreou, N.; Constantinou, K.; Kontoghiorghes, G.J. World health dilemmas: Orphan and rare diseases, orphan drugs and orphan patients. World J. Methodol. 2014, 4, 163–188. [Google Scholar] [CrossRef] [PubMed]
- Kontoghiorghes, G.J.; Kleanthous, M.; Kontoghiorghe, C.N. The History of Deferiprone (L1) and the Paradigm of the Complete Treatment of Iron Overload in Thalassaemia. Mediterr. J. Hematol. Infect. Dis. 2020, 12, e2020011. [Google Scholar] [CrossRef] [PubMed]
- Kontoghiorghes, G.J.; Kolnagou, A.; Demetriou, T.; Neocleous, M.; Kontoghiorghe, C.N. New Era in the Treatment of Iron Deficiency Anaemia Using Trimaltol Iron and Other Lipophilic Iron Chelator Complexes: Historical Perspectives of Discovery and Future Applications. Int. J. Mol. Sci. 2021, 22, 5546. [Google Scholar] [CrossRef] [PubMed]
- Hernandez, R.; Valdovinos, H.F.; Yang, Y.; Chakravarty, R.; Hong, H.; Barnhart, T.E.; Cai, W. 44Sc: An Attractive Isotope for Peptide-Based PET Imaging. Mol. Pharm. 2014, 11, 2954–2961. [Google Scholar] [CrossRef] [PubMed]
- Eppard, E.; de la Fuente, A.; Benešová, M.; Khawar, A.; Bundschuh, R.A.; Gärtner, F.C.; Kreppel, B.; Kopka, K.; Essler, M.; Rösch, F. Clinical translation and first in-human use of [44Sc]Sc-PSMA-617 for PET imaging of metastasized castrate-resistant prostate cancer. Theranostics 2017, 7, 4359–4369. [Google Scholar] [CrossRef] [PubMed]
- Singh, A.; van der Meulen, N.P.; Müller, C.; Klette, I.; Kulkarni, H.R.; Türler, A.; Schibli, R.; Baum, R.P. First-in-Human PET/CT imaging of metastatic neuroendocrine neoplasms with cyclotron-produced 44Sc-dotatoc: A proof-of-concept study. Cancer Biother. Radiopharm. 2017, 32, 124–132. [Google Scholar] [CrossRef] [PubMed]
- Singh, A.; Baum, R.; Klette, I.; Van der Meulen, N.; Mueller, C.; Tuerler, A.; Schibli, R. Scandium-44 DOTATOC PET/CT: First in-human molecular imaging of neuroendocrine tumors and possible perspectives for Theranostics. J. Nucl. Med. 2015, 56 (Suppl. S3), 267. [Google Scholar]
- Domnanich, K.A.; Müller, C.; Farkas, R.; Schmid, R.M.; Ponsard, B.; Schibli, R.; Türler, A.; van der Meulen, N.P. 44Sc for labeling of DOTA-and NODAGA-functionalized peptides: Preclinical in vitro and in vivo investigations. EJNMMI Radiopharm. Chem. 2017, 1, 8. [Google Scholar] [CrossRef]
- Vaughn, B.A.; Loveless, C.S.; Cingoranelli, S.J.; Schlyer, D.; Lapi, S.E.; Boros, E. Evaluation of 177Lu and 47Sc Picaga-Linked, Prostate-Specific Membrane Antigen-Targeting Constructs for Their Radiotherapeutic Efficacy and Dosimetry. Mol. Pharm. 2021, 18, 4511–4519. [Google Scholar] [CrossRef]
- Koumarianou, E.; Loktionova, N.S.; Fellner, M.; Roesch, F.; Thews, O.; Pawlak, D.; Archimandritis, S.C.; Mikolajczak, R. 44Sc-DOTA- BN[2-14]NH2 in comparison to 68Ga-DOTA-BN[2-14]NH2 in pre-clinical investigation. Is 44Sc a potential radionuclide for PET? Appl. Radiat. Isot. 2012, 70, 2669–2676. [Google Scholar] [CrossRef] [PubMed]
- Kontoghiorghes, G.J.; Barr, J.; Nortey, P.; Sheppard, L. Selection of a new generation of orally active alpha-ketohydroxypyridine iron chelators intended for use in the treatment of iron overload. Am. J. Hematol. 1993, 42, 340–349. [Google Scholar] [CrossRef] [PubMed]
- Kontoghiorghes, G.J.; Bartlett, A.N.; Sheppard, L.; Barr, J.; Nortey, P. Oral iron chelation therapy with deferiprone. Monitoring of biochemical, drug and iron excretion changes. Arzneimittelforschung 1995, 45, 65–69. [Google Scholar] [PubMed]
- Kontoghiorghes, G.J.; Bartlett, A.N.; Hoffbrand, A.V.; Goddard, J.G.; Sheppard, L.; Barr, J.; Nortey, P. Long-term trial with the oral iron chelator 1,2-dimethyl-3-hydroxypyrid-4-one (L1). I. Iron chelation and metabolic studies. Br. J. Haematol. 1990, 76, 295–300. [Google Scholar] [CrossRef] [PubMed]
- Kontoghiorghes, G.J. Ethical issues and risk/benefit assessment of iron chelation therapy: Advances with deferiprone/deferoxamine combinations and concerns about the safety, efficacy and costs of deferasirox. Hemoglobin 2008, 32, 1–15. [Google Scholar] [CrossRef] [PubMed]
- Kontoghiorghes, G.J. Drug Selection and Posology, Optimal Therapies and Risk/Benefit Assessment in Medicine: The Paradigm of Iron-Chelating Drugs. Int. J. Mol. Sci. 2023, 24, 16749. [Google Scholar] [CrossRef] [PubMed]
- Kontoghiorghes, G.J. Iron mobilisation from lactoferrin by chelators at physiological pH. Biochim. Biophys. Acta 1986, 882, 267–270. [Google Scholar] [CrossRef] [PubMed]
- Ianiro, G.; Niro, A.; Rosa, L.; Valenti, P.; Musci, G.; Cutone, A. To Boost or to Reset: The Role of Lactoferrin in Energy Metabolism. Int. J. Mol. Sci. 2023, 24, 15925. [Google Scholar] [CrossRef] [PubMed]
- National Food Institute—Technical University of Denmark; Doulgeridou, A.; Amlund, H.; Sloth, J.J.; Hansen, M. Review of Potentially Toxic Rare Earth Elements, Thallium and Tellurium in Plant-based Foods. EFSA J. 2020, 18 (Suppl. S1), e181101. [Google Scholar] [CrossRef]
- Kang, J.; Kang, A.M. Trend of the research on rare earth elements in environmental science. Environ. Sci. Pollut. Res. Int. 2020, 27, 14318–14321. [Google Scholar] [CrossRef]
- de Vries-Huizing, D.M.V.; Versleijen, M.W.J.; Sinaasappel, M.; Walraven, I.; Geluk-Jonker, M.M.; Tesselaar, M.E.T.; Hendrikx, J.J.M.A.; de Wit-van der Veen, B.J.; Stokkel, M.P.M. Haematotoxicity during peptide receptor radionuclide therapy: Baseline parameters differences and effect on patient’s therapy course. PLoS ONE 2021, 16, e0260073. [Google Scholar] [CrossRef] [PubMed]
- Hörmann, A.A.; Klingler, M.; Rangger, C.; Mair, C.; Decristoforo, C.; Uprimny, C.; Virgolini, I.J.; von Guggenberg, E. Radiopharmaceutical Formulation and Preclinical Testing of 68Ga-Labeled DOTA-MGS5 for the Regulatory Approval of a First Exploratory Clinical Trial. Pharmaceuticals 2021, 14, 575. [Google Scholar] [CrossRef] [PubMed]
- Imberti, C.; Adumeau, P.; Blower, J.E.; Al Salemee, F.; Baguña Torres, J.; Lewis, J.S.; Zeglis, B.M.; Terry, S.Y.A.; Blower, P.J. Manipulating the In Vivo Behaviour of 68Ga with Tris(Hydroxypyridinone) Chelators: Pretargeting and Blood Clearance. Int. J. Mol. Sci. 2020, 21, 1496. [Google Scholar] [CrossRef] [PubMed]
- Eybl, V.; Svihovcova, P.; Koutensky, J.; Kontoghiorghes, G.J. Interaction of L1, L1NAII and deferoxamine with gallium in vivo. Drugs Today 1992, 28, 173–175. [Google Scholar]
- Selyutina, O.Y.; Babenko, S.V.; Slepneva, I.A.; Polyakov, N.E.; Kontoghiorghes, G.J. Increased Free Radical Generation during the Interaction of a Quinone-Quinoline Chelator with Metal Ions and the Enhancing Effect of Light. Pharmaceuticals 2023, 16, 1116. [Google Scholar] [CrossRef] [PubMed]
- Kontoghiorghes, G.J. Design, properties, and effective use of the oral chelator L1 and other alpha-ketohydroxypyridines in the treatment of transfusional iron overload in thalassemia. Ann. N. Y. Acad. Sci. 1990, 612, 339–350. [Google Scholar] [CrossRef] [PubMed]
- Sheppard, L.; Kontoghiorghes, G.J. Comparative iron binding studies of bis and tris (3-hydroxy-2-methylpyrid-4-ones) and desferrioxamine. Inorg. Chim. Acta 1991, 188, 177–183. [Google Scholar] [CrossRef]
- Kontoghiorghes, G.J. New Iron Metabolic Pathways and Chelation Targeting Strategies Affecting the Treatment of All Types and Stages of Cancer. Int. J. Mol. Sci. 2022, 23, 13990. [Google Scholar] [CrossRef]







| Isotope | Nuclear Reaction | Target Structure | References |
|---|---|---|---|
| Sc-43 | 43Ca(p,n)43Sc | natCaCO3, 43CaCO3 | [43,62,79] |
| 44Ca(p,2n)43Sc | 44CaCO3, CaCO3, CaO | [43,87] | |
| 46Ti(p,α)43Sc | 46TiO2 | [61,74,87] | |
| 42Ca(d,n)43Sc | 42Ca, 42CaCO3 | [74,82,87] | |
| natCa(α,n)43Ti (t1/2 = 509 ms)➔43Sc | 40Ca, natCaCO3, 40CaCO3 | [76,80,82] | |
| natCa(α,p)43Sc | natCaCO3, 40CaCO3 | [77,80,82] | |
| Sc-44 | 45Sc(p,2n)44Ti (t1/2 = 60 y) (generator 44Ti➔44Sc) | 45Sc | [3,69,70,85,88] |
| 43Ca(d,n)44gSc | CaCO3, CaO | [82] | |
| natCa(p,n)44Sc | natCa(NO3)2 | [29] | |
| 44Ca(p,n)44Sc/44mSc | 44CaCO3, CaCO3, CaO | [29,43,82] | |
| 44Ca(p,n)44Sc/44mSc | 44CaO | [77,83] | |
| 44Ca(d,2n)44Sc/44mSc | 44CaCO3 | [78,86] | |
| 44Ca(a,n)44Sc | 44CaO | [81] | |
| 47Ti (p,α)44Sc | 47TiO2 | [75] |
| Isotope | Nuclear Reaction | Target Structure | References |
|---|---|---|---|
| Sc-47 | 46Ca(n,γ)47Ca → 47Sc | 46CaCO3 | [69,79,82,95,96,97,106] |
| natCa(n,γ)47Ca → 47Sc | natCa | [90,105,106] | |
| 48Ca(p,2n)47Sc | 48CaCO3 | [75] | |
| 44Ca(α,p) 47Sc | 44CaO | [59,81] | |
| natTi(n,p)47Sc | natTi | [93,111] | |
| 47Ti(n,p)47Sc | 47TiO2 | [80,81,90,91,112] | |
| 50Ti(p,α)47Sc | 50TiO2 | [113] | |
| 48Ti(p,2p)47Sc | 48TiO2 | [104,113] | |
| 50Ti(d,αn)47Sc | 50TiO2 | [113] | |
| 49Ti(d,α)47Sc | 49TiO2 | [113] | |
| 47Ti(d,2p)47Sc | 47TiO2 | [113] | |
| 48Ti(γ,p)47Sc | 48TiO2 | [113,114] | |
| 51V(p,αp)47Sc | natV | [43] | |
| natV(p,αp)47Sc | natV | [103] | |
| natV(p,x)47Sc | natV | [100,107,108,109] |
| Target Material | Separation Method | Recovery Yield (%) | References |
|---|---|---|---|
| CaO | Extraction and ion exchange resins | - | [49,90] |
| CaCO3 | Extraction chromatography | 80 | [40,91] |
| 93 | [33] | ||
| 75 | [44] | ||
| 95 | [51,59,92] | ||
| 52–79 | [77] | ||
| 95 | [93] | ||
| Ion exchange column | 77 | [12,87,94] | |
| Sinking | - | [47,50] | |
| Ti(0) | Extraction chromatography | 88 | [86,87] |
| ΤiO2 | Ion exchange column | 88 | [97] |
| Extraction chromatography | 97.7 | [97] |
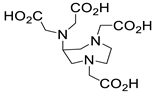
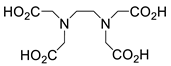
| Entry | Chelator Structure | Acronym | References |
|---|---|---|---|
| 1 | ![]() | DOTA | [95,135,136] |
| 2 | ![]() | DO3AP | [137] |
| 3 | ![]() | DO3APPrA | [137] |
| 4 | ![]() | DO3APABn | [137] |
| 5 | ![]() | DO3AM-NI | [138] |
| 6 | ![]() | NBD | [139] |
| 7 | ![]() | TETA | [135] |
| 8 | ![]() | H3mpatcn | [141] |
| 9 | ![]() | NOTA | [142,143] |
| 10 | ![]() | AAZTA | [142,144] |
| 11 | ![]() | EDTA | [135] |
| 12 | ![]() | DTPA | [136] |
| 13 | ![]() | H4pypa | [145,146] |
Disclaimer/Publisher’s Note: The statements, opinions and data contained in all publications are solely those of the individual author(s) and contributor(s) and not of MDPI and/or the editor(s). MDPI and/or the editor(s) disclaim responsibility for any injury to people or property resulting from any ideas, methods, instructions or products referred to in the content. |
© 2024 by the authors. Licensee MDPI, Basel, Switzerland. This article is an open access article distributed under the terms and conditions of the Creative Commons Attribution (CC BY) license (https://creativecommons.org/licenses/by/4.0/).
Share and Cite
Ioannidis, I.; Lefkaritis, G.; Georgiades, S.N.; Pashalidis, I.; Kontoghiorghes, G.J. Towards Clinical Development of Scandium Radioisotope Complexes for Use in Nuclear Medicine: Encouraging Prospects with the Chelator 1,4,7,10-Tetraazacyclododecane-1,4,7,10-tetraacetic Acid (DOTA) and Its Analogues. Int. J. Mol. Sci. 2024, 25, 5954. https://doi.org/10.3390/ijms25115954
Ioannidis I, Lefkaritis G, Georgiades SN, Pashalidis I, Kontoghiorghes GJ. Towards Clinical Development of Scandium Radioisotope Complexes for Use in Nuclear Medicine: Encouraging Prospects with the Chelator 1,4,7,10-Tetraazacyclododecane-1,4,7,10-tetraacetic Acid (DOTA) and Its Analogues. International Journal of Molecular Sciences. 2024; 25(11):5954. https://doi.org/10.3390/ijms25115954
Chicago/Turabian StyleIoannidis, Ioannis, George Lefkaritis, Savvas N. Georgiades, Ioannis Pashalidis, and George J. Kontoghiorghes. 2024. "Towards Clinical Development of Scandium Radioisotope Complexes for Use in Nuclear Medicine: Encouraging Prospects with the Chelator 1,4,7,10-Tetraazacyclododecane-1,4,7,10-tetraacetic Acid (DOTA) and Its Analogues" International Journal of Molecular Sciences 25, no. 11: 5954. https://doi.org/10.3390/ijms25115954
APA StyleIoannidis, I., Lefkaritis, G., Georgiades, S. N., Pashalidis, I., & Kontoghiorghes, G. J. (2024). Towards Clinical Development of Scandium Radioisotope Complexes for Use in Nuclear Medicine: Encouraging Prospects with the Chelator 1,4,7,10-Tetraazacyclododecane-1,4,7,10-tetraacetic Acid (DOTA) and Its Analogues. International Journal of Molecular Sciences, 25(11), 5954. https://doi.org/10.3390/ijms25115954














