Effect of the Proximity to the Quintero-Puchuncaví Industrial Zone on Compounds Isolated from Baccharis macraei Hook. & Arn: Their Antioxidant and Cytotoxic Activity
Abstract
1. Introduction
2. Results
2.1. Metals Contained
2.2. Photosynthetic Capacity of Collected Plants
2.3. Determination of Phytoconstituents from Extract
2.4. Antioxidant Activity from Extract
2.5. Identification of Phytoconstituents from Extracts Using GC-MS
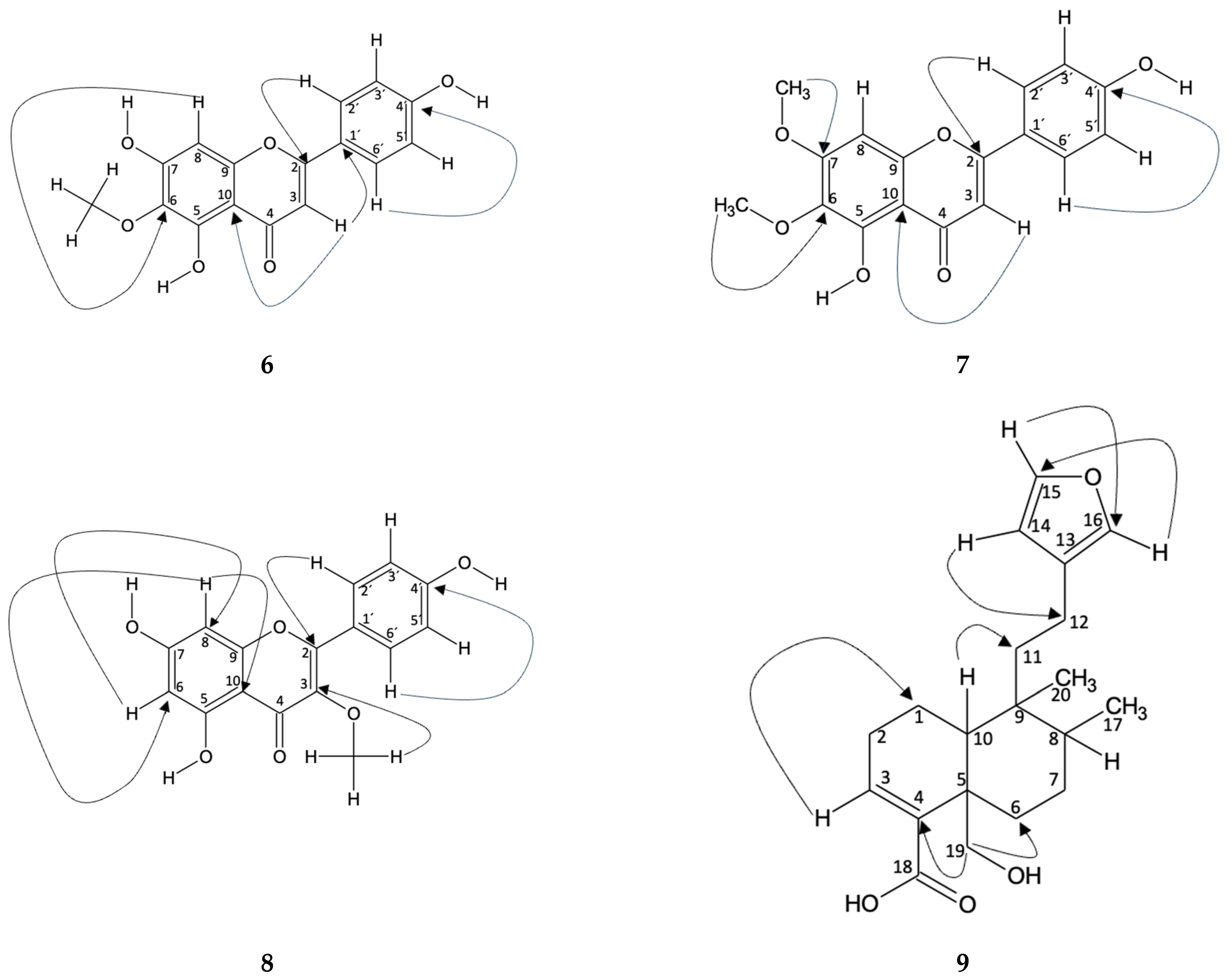
2.6. Identification of Compounds Isolated from the Extract
2.7. Cytotoxicity Activity of B. macraei Extracts and Isolated Compounds
2.8. Correlation between the Environmental Variables Measured in the Extract
3. Discussion
3.1. Metals Contained
3.2. Photosynthetic Capacity
3.3. Determination of Phytoconstituents from Extracts
3.4. Antioxidant Activity from Extracts
3.5. Identification of Compounds in the Extracts
3.6. Isolation and Identification of Compounds
3.7. Correlations among the Variables Studied
3.8. Cytotoxicity of Extracts and Compounds
4. Materials and Methods
4.1. Experimental Design
4.2. Plant Collection and Metal Measurement
4.3. Photosynthesis and Energy Dissipation as In Vivo Chlorophyll
4.4. Preparation of the Ethyl Acetate Extract
4.5. Estimation of Phytoconstituents of B. macraei Extracts
4.6. Determination of Antioxidant Activity of B. macraei Extracts
4.7. GC-MS Technique: Identification of Volatile and Semi-Volatile Compounds from B. macraei Extracts
4.8. Isolation of Compounds from B. macraei Extracts
4.9. Identification of Isolated Compounds from B. macraei Extracts
4.10. Cytotoxicity Activity of B. macraei Extracts and Isolated Phytoconstituents
4.11. Statistical Analysis
5. Conclusions
Supplementary Materials
Author Contributions
Funding
Institutional Review Board Statement
Informed Consent Statement
Data Availability Statement
Acknowledgments
Conflicts of Interest
References
- Panero, J.L.; Crozier, B.S. Macroevolutionary dynamics in the early diversification of Asteraceae. Mol. Phylogenet. Evol. 2016, 99, 116–132. [Google Scholar] [CrossRef] [PubMed]
- Barreda, V.D.; Palazzesi, L.; Tellería, M.C.; Olivero, E.B.; Raine, J.I.; Forest, F. Early evolution of the angiosperm clade Asteraceae in the Cretaceous of Antarctica. Proc. Natl. Acad. Sci. USA 2015, 112, 10989–10994. [Google Scholar] [CrossRef] [PubMed]
- Mandel, J.R.; Dikow, R.B.; Siniscalchi, C.M.; Thapa, R.; Watson, L.E.; Funk, V.A. A fully resolved backbone phylogeny reveals numerous dispersals and explosive diversifications throughout the history of Asteraceae. Proc. Natl. Acad. Sci. USA 2019, 116, 14083. [Google Scholar] [CrossRef] [PubMed]
- Villaseñor, J.L. Diversity and distribution of the family Asteraceae in Mexico. Bot. Sci. 2018, 96, 332–358. [Google Scholar] [CrossRef]
- Ferriol Molina, M.; López Del Rincón, C. Family Compositae (Asteraceae): General characters. 2017. Available online: http://hdl.handle.net/10251/81346 (accessed on 27 May 2024).
- Rehem, B.C.; da Silva Silva, A.G.; Gonçalves, D.S.; Silva, L.A.M.; da Paixao, J.L. Anatomia foliar de duas espécies da família Asteraceae usadas para fins medicinais no Sul da Bahia/Leaf anatomy. Braz. J. Dev. 2019, 5, 30272–30284. [Google Scholar] [CrossRef]
- Katinas, L.; Gutiérrez, D.G.; Grossi, M.A.; Crisci, J.V. Overview of the family Asteraceae (=Compositae) in the Argentine Republic. Boletín Soc. Argent. Botánica 2007, 42, 113–129. [Google Scholar]
- Prada, J.; Ordúz-Díaz, L.L.; Coy-Barrera, E. Baccharis latifolia: An underappreciated Asteraceae with Chemical and Biological potential in the Neotropics. Rev. Fac. Cienc. Básicas 2016, 12, 92–105. [Google Scholar] [CrossRef]
- Medeiros-Neves, B.; Teixeira, H.F.; von Poser, G.L. The genus Pterocaulon (Asteraceae)—A review on traditional medicinal uses, chemical constituents and biological properties. J. Ethnopharmacol. 2018, 224, 451–464. [Google Scholar] [CrossRef] [PubMed]
- Denisow-Pietrzyk, M.; Pietrzyk, Ł.; Denisow, B. Asteraceae species as potential environmental factors of allergy. Environ. Sci. Pollut. Res. 2019, 26, 6290–6300. [Google Scholar] [CrossRef]
- Del Vitto, L.A.; Petenatti, E.M. Asteraceae of economic and environmental importance. Part one. Morphological and taxonomic synopsis, ecological importance and plants of industrial interest. Multequina 2009, 18, 87–115. [Google Scholar]
- Fabri, R.L.; Nogueira, M.S.; Dutra, L.B.; Bouzada, M.L.M.; Scio, E. Potencial antioxidante e antimicrobiano de espécies da família Asteraceae. Rev. Bras. Plantas Med. 2011, 13, 183–189. [Google Scholar] [CrossRef]
- Perez-Chauca, E.; Saldaña-Bobadilla, V.; Minchan-Herrera, P. Ethnobotany, pharmacology, phytochemistry and medicinal uses of Huamanpinta in Peru-Chuquiraga spinosa Less. (Asteraceae). Ethnobot. Res. Appl. 2020, 19, 1–13. [Google Scholar]
- Rolnik, A.; Stochmal, A.; Olas, B. The in vitro antiplatelet activities of extracts from plants of the Asteraceae family. Biomed. Pharmacother. 2022, 149, 112809. [Google Scholar] [CrossRef] [PubMed]
- Nikolić, M.; Stevović, S. Asteraceae family as a sustainable planning tool in phytoremediation and its relevance in urban areas. Urban For. Urban Green. 2015, 14, 782–789. [Google Scholar] [CrossRef]
- Abad, M.J.; Bermejo, P. Baccharis (Compositae): A review update. Arkivoc 2007, 7, 76–96. [Google Scholar] [CrossRef]
- Campos, F.R.; Bressan, J.; Jasinski, V.G.; Zuccolotto, T.; da Silva, L.E.; Cerqueira, L.B. Baccharis (Asteraceae): Chemical constituents and biological activities. Chem. Biodivers. 2016, 13, 1–17. [Google Scholar] [CrossRef] [PubMed]
- Gutiérrez-Román, A.S.; Trejo-Tapia, G.; González-Cortazar, M.; Jiménez-Ferrer, E.; Trejo-Espino, J.L.; Zamilpa, A.; Ble-González, E.; Camacho-Díaz, B.; Herrera-Ruiz, M. Antiarthritic and anti-inflammatory effects of Baccharis conferta Kunth in a kaolin/carrageenan-induced monoarthritis model. J. Ethnopharmacol. 2022, 288, 114996. [Google Scholar] [CrossRef] [PubMed]
- Martinez, M.J.A.; Bessa, A.L.; Benito, P.B. Biologically active substances from the genus Baccharis L. (Compositae). Stud. Nat. Prod. Chem. 2005, 30, 703–759. [Google Scholar]
- Morales, G.; Paredes, A.; Sierra, P.; Loyola, L.A. Antimicrobial activity of three Baccharis species used in the traditional medicine of Northern Chile. Molecules 2008, 13, 790–794. [Google Scholar] [CrossRef]
- Cereceda-Balic, F.; de la Gala-Morales, M.; Palomo-Marín, R.; Fadic, X.; Vidal, V.; Funes, M.; Rueda-Holgado, F.; Pinilla-Gil, E. Spatial distribution, sources and risk assessment of the main ions and trace elements in rainwater in the Puchuncaví Valley, Chile: The impact of industrial activities. Air Pollut. Res. 2020, 11, 99–109. [Google Scholar] [CrossRef]
- Pino-Cortés, E.; Carrasco, S.; Acosta, J.; de Almeida Albuquerque, T.T.; Pedruzzi, R.; Díaz-Robles, L.A. An evaluation of photochemical modeling of air quality using CMAQ in the Quintero-Puchuncavi-Concón industrial zone, Chile. Air Pollut. Res. 2022, 13, 101336. [Google Scholar] [CrossRef]
- Gorena, T.; Fadic, X.; Cereceda-Balic, F. Cupressus macrocarpa leaves for biomonitoring the environmental impact of an industrial complex: The case of Puchuncaví-Ventanas in Chile. Chemosphere 2020, 260, 127521. [Google Scholar] [CrossRef] [PubMed]
- Tapia-Gatica, J.; González-Miranda, I.; Salgado, E.; Bravo, M.A.; Tessini, C.; Dovletyarova, E.A.; Paltseva, A.; Neaman, A. Advanced determination of the spatial gradient of risk for human health and ecological risk due to exposure to As, Cu, Pb and Zn in soils near the Ventanas Industrial Complex (Puchuncaví, Chile). Environ. Pollut. 2020, 258, 113488. [Google Scholar] [CrossRef] [PubMed]
- Rueda-Holgado, F.; Palomo-Marín, M.R.; Calvo-Blázquez, L.; Cereceda-Balic, F.; Pinilla-Gil, E. Fractionation of trace elements in total atmospheric deposition by filtrating-bulk passive sampling. Talanta 2014, 125, 125–130. [Google Scholar] [CrossRef] [PubMed]
- Salmanighabeshi, S.; Palomo-Marín, M.R.; Bernalte, E.; Rueda-Holgado, F.; Miró-Rodríguez, C.; Fadic-Ruiz, X.; Vidal-Cortez, V.; Cereceda-Balic, F.; Pinilla-Gil, E. Long-term evaluation of the ecological risk due to the deposition of elemental contaminants in the vicinity of the Puchuncaví-Ventanas industrial zone, central Chile. Total Environ. Sci. 2015, 527, 335–343. [Google Scholar] [CrossRef] [PubMed]
- Feng, D.; Wang, R.; Sun, X.; Liu, P.; Tang, J.; Zhang, C.; Liu, H. Heavy metal stress in plants: Ways to relieve it with exogenous substances. Total Environ. Sci. 2023, 897, 165397. [Google Scholar] [CrossRef]
- Asiminicesei, D.M.; Fertu, D.I.; Gavrilescu, M. Impact of Heavy Metal Pollution in the Environment on the Metabolic Profile of Medicinal Plants and Their Therapeutic Potential. Plants 2024, 13, 913. [Google Scholar] [CrossRef] [PubMed]
- Lazo, P.; Curé, M.; Gaete, H. Modeling of the dispersion of sulfurous anhydride in the community of the community of Puchuncaví using the ISC3 program. I will engineer. Chil. Eng. Mag. 2006, 14, 229–237. [Google Scholar]
- Wieczorek, J.; Baran, A.; Bubak, A. Mobility, bioaccumulation in plants, and risk assessment of metals in soils. Sci. Total Environ. 2023, 882, 163574. [Google Scholar] [CrossRef]
- Chauhan, J.; Singh, P.; Choyal, P.; Mishra, U.N.; Saha, D.; Kumar, R.; Anuragi, H.; Pandey, S.; Bosé, B.; Mehtac, B.; et al. Plant photosynthesis under abiotic stress: Damage, adaptive and signaling mechanisms. Plant Stress 2023, 10, 100296. [Google Scholar] [CrossRef]
- Nallakaruppan, N.; Thiagarajan, K. In vitro production of anthraquinones: A review. Plant Cell Tissue Organ Cult. (PCTOC) 2024, 156, 1–23. [Google Scholar] [CrossRef]
- Pradhan, D.; Biswasroy, P.; Rath, G.; Ghosh, G. Recent advances in the extraction of phytoconstituents from herbal sources. In Innovations in Fermentation and Phytopharmaceutical Technologies; Elsevier: Amsterdam, The Netherlands, 2022; pp. 109–125. [Google Scholar]
- Ueno, A.K.; Barcellos, A.F.; Grecco, S.D.; Sartorelli, P.; Guadagnin, R.C.; Romoff, P.; Ferreira, M.J.; Tcacenco, C.M.; Lago, J.H. Sesquiterpenes, diterpenes, alkenyl p-coumarates, and flavonoid from the aerial parts of Baccharis retusa (Asteraceae). Biochem. Syst. Ecol. 2018, 78, 39–42. [Google Scholar] [CrossRef]
- Ascari, J.; de Oliveira, M.S.; Nunes, D.S.; Granato, D.; Scharf, D.R.; Simionatto, E.; Otuki, M.; Soley, B.; Heiden, G. Chemical composition, antioxidant and anti-inflammatory activities of the essential oils from male and female specimens of Baccharis punctulata (Asteraceae). J. Ethnopharmacol. 2019, 234, 1–7. [Google Scholar] [CrossRef] [PubMed]
- Huang, L.; Huang, K.; Ning, H. Autophagy induction by hispidulin provides protection against sevoflurane-induced neuronal apoptosis in aged rats. Biomed. Pharmacother. 2018, 98, 460–468. [Google Scholar] [CrossRef] [PubMed]
- Barbosa, V.; Almeida, V.; Manfron, J.; Raman, V.; Oliveira, C.; Betim, F.; Cruz, L.S.; Dias, J.N.; de Oliveira, V.B.; Padilha, J.; et al. Actividad Antioxidante y Determinación de Compuestos Fenólicos, Flavonoides Totales e Hispidulina en Baccharis erioclada DC. Arch. Bras. De Biol. Y Tecnol. 2023, 66, e23220459. [Google Scholar]
- Youssef, D.; Frahm, A.W. Constituents of the Egyptian Centaurea scoparia; III. Phenolic constituents of the aerial parts. Med. Plant 1995, 61, 570–573. [Google Scholar] [CrossRef] [PubMed]
- Flamini, G.; Antognoli, E.; Morelli, I. Two flavonoids and other compounds from the aerial parts of Centaurea bracteata from Italy. Phytochemistry 2001, 57, 559–564. [Google Scholar] [CrossRef]
- Salinas-Sánchez, D.O.; Herrera-Ruiz, M.; Pérez, S.; Jiménez-Ferrer, E.; Zamilpa, A. Anti-inflammatory activity of hautriwaic acid isolated from Dodonaea viscosa leaves. Molecules 2012, 17, 4292–4299. [Google Scholar] [CrossRef] [PubMed]
- Huihui, Z.; Xin, L.; Zisong, X.; Yue, W.; Zhiyuan, T.; Meijun, A.; Yuehui, Z.; Wenxu, Z.; Nan, X.; Guangyu, S. Toxic effects of heavy metals Pb and Cd on mulberry (Morus alba L.) seedling leaves: Photosynthetic function and reactive oxygen species (ROS) metabolism responses. Ecotoxicol. Environ. Saf. 2020, 195, 110469. [Google Scholar] [CrossRef]
- Preetha, J.S.Y.; Sriram, D.; Premasudha, P.; Pudake, R.N.; Arun, M. Cerium oxide as a nanozyme for plant abiotic stress tolerance: An overview of the mechanisms. Plant Nano Biol. 2023, 6, 100049. [Google Scholar] [CrossRef]
- Retamozo, M.H.; Silva, C.C.; Tamayose, C.I.; Carvalho, J.C.; Romoff, P.; Fávero, O.A.; Ferreira, M.J. Chemical components of Baccharis sphenophylla (Asteraceae) leaves and their antioxidant effects. Plants 2023, 12, 1262. [Google Scholar] [CrossRef] [PubMed]
- Bobek, V.B.; Cruz, L.S.; Oliveira, C.; Betim, F.; Swiech, J.; Folquitto, D.G.; Sanches, C.A.; Manfron, J.; Warumby, S.M.; Padilha de Paula, J.F.; et al. Chemical composition and biological activity of Baccharis erioclada DC. essential oil. Braz. J. Pharm. Sci. 2022, 58, e19118. [Google Scholar] [CrossRef]
- Sghaier, M.B.; Skandrani, I.; Nasr, N.; Franca, M.G.D.; Chekir-Ghedira, L.; Ghedira, K. Flavonoids and sesquiterpenes from Tecurium ramosissimum promote antiproliferation of human cancer cells and enhance antioxidant activity: A structure–activity relationship study. Environ. Toxicol. Pharmacol. 2011, 32, 336–348. [Google Scholar] [CrossRef] [PubMed]
- Lucas, A.M.; Bento, A.F.M.L.; Vargas, R.M.F.; Scheffel, T.B.; Rockenbach, L.; Diz, F.M.; Capellari, A.R.; Morrone, F.B.; Cassel, E. Use of supercritical CO2 to obtain Baccharis uncinella extracts with antioxidant and antitumor activity. J. CO2 Util. 2021, 49, 101563. [Google Scholar] [CrossRef]
- Baird, R.B.; Eaton, A.D.; Rice, E.W. (Eds.) Standard Methods for the Examination of Water and Wastewater, 23rd ed.; American Public Health Association (APHA): Washington, DC, USA, 2023. [Google Scholar]
- Schreiber, U.; Endo, T.; Mi, H.; Asada, K. Analysis of chlorophyll fluorescence extinction by the saturation pulse method: Particular aspects related to the study of eukaryotic algae and cyanobacteria. Plant Cell. Physiol. 1995, 36, 873–882. [Google Scholar] [CrossRef]
- Celis-Plá, P.S.; Korbee, N.; Gómez-Garreta, A.; Figueroa, F.L. Seasonal photoacclimation patterns in the intertidal macroalga Cystoseira tamariscifolia (Ochrophyta). Science 2014, 78, 377–388. [Google Scholar]
- Figueroa, R.; Valdovinos, C.; Araya, E.; PARRA, O. Benthic macroinvertebrates as water quality indicators of rivers in southern Chile. Chil. J. Nat. Hist. 2003, 76, 275–285. [Google Scholar]
- Krall, J.P.; Edwards, G.E. Relationship between the activity of photosystem II and CO2 fixation in leaves. Plant. Physiol. 1992, 86, 180–187. [Google Scholar] [CrossRef]
- Baker, N.R. Chlorophyll fluorescence: A probe of in vivo photosynthesis. Year. Rev. Planta Biol. 2008, 59, 89–113. [Google Scholar] [CrossRef]
- Osório, J.; Osório, M.L.; Correia, P.J.; de Varennes, A.; Pestana, M. Chlorophyll fluorescence imaging as a tool to understand the impact of iron deficiency and resupply on photosynthetic performance of strawberry plants. Sci. Hortícolae 2014, 165, 148–155. [Google Scholar] [CrossRef]
- Martínez-Lobos, M.; Tapia-Venegas, E.; Celis-Plá, P.; Villena, J.; Jara-Gutiérrez, C.; Lobos Pessini, A.; Madrid-Villegas, A. Effect of Industrial Pollution in Puchuncaví Valley on the Medicinal Properties of Senecio fistulosus Poepp. ex Les (Asteraceae): Content of Phytoconstituents and Their Antioxidant and Cytotoxic Activities. Molecules 2023, 28, 7038. [Google Scholar] [CrossRef] [PubMed]
- Mellado, M.; Madrid, A.; Jara, C.; Espinoza, L. Antioxidant effects of Muehlenbeckia hastulata J. (Polygonaceae) extracts. J. Chil. Chem. Soc. 2012, 57, 1301–1304. [Google Scholar] [CrossRef]
- Brand-Williams, W.; Cuvelier, M.; Berset, C. Use of a Free Radical Method to Evaluate Antioxidant Activity. LWT-Food Sci. Technol. 1995, 28, 25–30. [Google Scholar] [CrossRef]
- Dudonné, S.; Vitrac, X.; Coutière, P.; Woillez, M.; Mérillon, J.M.J. Comparative Study of Antioxidant Properties and Total Phenolic Content of 30 Plant Extracts of Industrial Interest Using DPPH, ABTS, FRAP, SOD, and ORAC Assays. Agric. Food Chem. 2009, 57, 1768. [Google Scholar] [CrossRef] [PubMed]
- Romay, C.; Pascual, C.; Lissi, E.A. The reaction between ABTS radical cation and antioxidants and its use to evaluate the antioxidant status of serum samples. Med. Biol. Res. 1996, 29, 175. [Google Scholar]
- NIST/EPA/NIH: Mass Spectral Library with Search Program—SRD 1a. 2020. Available online: https://data.nist.gov/od/id/FDB5909746975200E043065706813E54159 (accessed on 3 March 2023).
- Santander, R.; Creixell, W.; Sanchez, E.; Tomic, G.; Silva, J.R.; Acevedo, C.A. Recognizing age at slaughter of cattle from beef samples using GC/MS-SPME chromatographic method. Food Bioprocess Tech. 2013, 6, 3345–3352. [Google Scholar] [CrossRef]
- Vichai, V.; Kirtikara, K. Sulforhodamine B colorimetric assay for cytotoxicity screening. Nat. Protoc. 2006, 1, 1112–1116. [Google Scholar] [CrossRef]
- Leiva, B.; Carrasco, I.; Montenegro, I.; Gaete, L.; Lemus, I.; Tchernitchin, A.; Bustamante, R.; Párraga, M.; Villena, J. Equol and daidzein decrease migration, invasion and matrix metalloproteinase (MMPs) gene expression in prostate cancer cell lines, DU-145 and PC-3. Boletín Latinoam. Y Caribe Plantas Med. Y Aromáticas 2015, 14, 251–262. [Google Scholar]
- Madrid, A.; Cardile, V.; González, C.; Montenegro, I.; Villena, J.; Caggia, S.; Graziano, A.; Russo, A. Psoralea glandulosa as a potential source of anticancer agents for the treatment of melanoma. Int. J. Mol. Sci. 2015, 16, 7944–7959. [Google Scholar] [CrossRef]






| Rhizosphere | Leaf | |||
|---|---|---|---|---|
| Metal | Far Zone (mg kg−1) | Near Zone (mg kg−1) | Far Zone (mg kg−1) | Near Zone (mg kg−1) |
| Arsenic | 6.27 | 6.065 | <5 | <5 |
| Copper | 29.45 | 44.8 | 15.1 | 11.4 |
| Lead | <5 | <5 | <5 | <5 |
| Zinc | 37.3 | 48.2 | 18.35 | 18.2 |
| Phenols (mg L−1 GAE) | Flavonoids (mg L−1 QE) | Anthraquinones (mg L−1 EE) | |||
|---|---|---|---|---|---|
| Far Zone | Near Zone | Far Zone | Near Zone | Far Zone | Near Zone |
| 67.301 ± 2.956 a | 52.292 ± 1.089 b | 38.353 ± 0.744 a | 58.772 ± 1.190 b | 0.000 ± 0.803 a | 0.532 ± 0.572 a |
| Organ/Positive Controls | DPPH (IC50) | FRAP (TEAC mM) | TRAP (TEAC mM) | |||
|---|---|---|---|---|---|---|
| Far Zone | Near Zone | Far Zone | Near Zone | Far Zone | Near Zone | |
| Leaf | 2.218 ± 0.015 a | 2.57 ± 0.116 a | 0.46 ± 0.001 a | 0.38 ± 0.004 b | 0.0366 ± 0.001 a | 0.0897 ± 0.002 b |
| TROLOXTM | 0.26 ± 0.00 b | 1.72 ± 0.02 c | - | |||
| GA | 0.06 ± 0.00 c | 1.52 ± 0.07 d | 1.13 ± 0.01 c | |||
| BHA | - | - | 1.06 ± 0.02 c | |||
| Peak Name | Far Zone | Near Zone | Chemical Class |
|---|---|---|---|
| % of Rel. Area | % of Rel. Area | ||
| 2-Pentanone,4-hydroxy-4-methyl- | 0.65 | 0.89 | Other |
| Benzene, 1,3-dimethyl- | 0.11 | - | Aromatic compounds |
| α-pinene | 0.33 | 1.63 | Monoterpene |
| (-)-Spathulenol | 0.81 | 1.84 | Oxygenated sesquiterpene |
| γ-Terpinene | - | 0.30 | Monoterpene |
| Ylangene | - | 1.64 | Sesquiterpene |
| Cis-β-Farnesene | 0.22 | 1.63 | Sesquiterpene |
| γ-Amorphene | - | 3.17 | Sesquiterpene |
| Cadina-1(10),4-diene | - | 5.72 | Sesquiterpene |
| Neophytadiene | - | 1.16 | Diterpene |
| n-propyl acetate | 0.14 | - | Other |
| Methyl Isobutyl Ketone | 0.22 | - | Other |
| 2-Propanol, 1-ethoxy- | 0.24 | - | Other |
| Glycinamide, N(2)-methyl- | 0.95 | - | Other |
| Acetic acid, butyl ester | 0.09 | - | Other |
| β-pinene | 0.27 | 1.38 | Monoterpene |
| Acetic acid, 2-ethylhexyl ester | 0.23 | - | Other |
| Copaene | 0.44 | - | Sesquiterpene |
| Ethyl hydrogen malonate | - | 0.21 | Other |
| Propanoic acid, ethyl ester | - | 0.25 | Other |
| β-Thujene | - | 0.35 | Monoterpene |
| (R)-1-Methyl-5-(1-methylvinyl) cyclohexene | - | 0.66 | Monoterpene |
| 4(15),5,10(14)-Germacratrien-1-ol | - | 0.42 | Oxygenated sesquiterpene |
| IC50 Values for Ethyl Acetate Extracts of B. macraei | |||||||
|---|---|---|---|---|---|---|---|
| HT-29 | PC-3 | MCF-7 | MCF-10 | ||||
| Far Zone | Near Zone | Far Zone | Near Zone | Far Zone | Near Zone | Far Zone | Near Zone |
| >100 | >100 | >100 | >100 | >100 | >100 | >100 | >100 |
| HT-29 | PC-3 | MCF-7 | MCF-10 | ||||||||||||||||
|---|---|---|---|---|---|---|---|---|---|---|---|---|---|---|---|---|---|---|---|
| 4 | 9 | 12 | 13 | 14 | 4 | 9 | 12 | 13 | 14 | 4 | 9 | 12 | 13 | 14 | 4 | 9 | 12 | 13 | 14 |
| >100 | >100 | >100 | >100 | >100 | >100 | >100 | >100 | >100 | >100 | >100 | >100 | >100 | >100 | >101 | >100 | >100 | >100 | >100 | >100 |
| Phenols | Flavonoids | DPPH | FRAP | TRAP | Cu Leaf | Cu Rhizosphere | ETR In Situ | |
|---|---|---|---|---|---|---|---|---|
| Phenols | - | |||||||
| Flavonoids | 0.762 | - | ||||||
| DPPH | −0.788 | −0.202 | - | |||||
| FRAP | −0.621 | −0.981 | 0.007 | - | ||||
| TRAP | −0.621 | −0.981 | 0.007 | 1.000 | - | |||
| Cu leaf | −0.121 | 0.552 | 0.706 | −0.703 | −0.703 | - | ||
| Cu rhizosphere | −0.945 | −0.931 | 0.545 | 0.842 | 0.842 | −0.687 | - | |
| ETR in situ | −0.638 | −0.985 | 0.029 | 1.000 | 1.000 | −0.209 | 0.854 | - |
| Phenols | Flavonoids | DPPH | FRAP | TRAP | Cu Leaf | Cu Rhizosphere | ETR In Situ | |
|---|---|---|---|---|---|---|---|---|
| Phenols | - | |||||||
| Flavonoids | −0.064 | - | ||||||
| DPPH | 0.879 | −0.532 | - | |||||
| FRAP | 0.949 | 0.254 | 0.684 | - | ||||
| TRAP | −0.924 | 0.441 | −0.995 | −0.756 | - | |||
| Cu leaf | 0.316 | −0.967 | 0.730 | 0.000 | −0.655 | - | ||
| Cu rhizosphere | −0.316 | 0.967 | −0.730 | 0.000 | −0.982 | −1.000 | - | |
| ETR in situ | 0.980 | −0.264 | 0.957 | 0.866 | 0.655 | 0.500 | −0.500 | - |
Disclaimer/Publisher’s Note: The statements, opinions and data contained in all publications are solely those of the individual author(s) and contributor(s) and not of MDPI and/or the editor(s). MDPI and/or the editor(s) disclaim responsibility for any injury to people or property resulting from any ideas, methods, instructions or products referred to in the content. |
© 2024 by the authors. Licensee MDPI, Basel, Switzerland. This article is an open access article distributed under the terms and conditions of the Creative Commons Attribution (CC BY) license (https://creativecommons.org/licenses/by/4.0/).
Share and Cite
Martínez-Lobos, M.; Tapia-Venegas, E.; Celis-Plá, P.; Villena, J.; Jara-Gutiérrez, C.; Lobos-Pessini, A.; Rigano, D.; Sirignano, C.; Madrid-Villegas, A. Effect of the Proximity to the Quintero-Puchuncaví Industrial Zone on Compounds Isolated from Baccharis macraei Hook. & Arn: Their Antioxidant and Cytotoxic Activity. Int. J. Mol. Sci. 2024, 25, 5993. https://doi.org/10.3390/ijms25115993
Martínez-Lobos M, Tapia-Venegas E, Celis-Plá P, Villena J, Jara-Gutiérrez C, Lobos-Pessini A, Rigano D, Sirignano C, Madrid-Villegas A. Effect of the Proximity to the Quintero-Puchuncaví Industrial Zone on Compounds Isolated from Baccharis macraei Hook. & Arn: Their Antioxidant and Cytotoxic Activity. International Journal of Molecular Sciences. 2024; 25(11):5993. https://doi.org/10.3390/ijms25115993
Chicago/Turabian StyleMartínez-Lobos, Manuel, Estela Tapia-Venegas, Paula Celis-Plá, Joan Villena, Carlos Jara-Gutiérrez, Alexandra Lobos-Pessini, Daniela Rigano, Carmina Sirignano, and Alejandro Madrid-Villegas. 2024. "Effect of the Proximity to the Quintero-Puchuncaví Industrial Zone on Compounds Isolated from Baccharis macraei Hook. & Arn: Their Antioxidant and Cytotoxic Activity" International Journal of Molecular Sciences 25, no. 11: 5993. https://doi.org/10.3390/ijms25115993
APA StyleMartínez-Lobos, M., Tapia-Venegas, E., Celis-Plá, P., Villena, J., Jara-Gutiérrez, C., Lobos-Pessini, A., Rigano, D., Sirignano, C., & Madrid-Villegas, A. (2024). Effect of the Proximity to the Quintero-Puchuncaví Industrial Zone on Compounds Isolated from Baccharis macraei Hook. & Arn: Their Antioxidant and Cytotoxic Activity. International Journal of Molecular Sciences, 25(11), 5993. https://doi.org/10.3390/ijms25115993

