(E)-2-Benzylidenecyclanones: Part XIX. Reaction of (E)-2-(4′-X-Benzylidene)-1-tetralones with Cellular Thiols: Comparison of Thiol Reactivities of Open-Chain Chalcones and Their Six- and Seven-Membered Cyclic Analogs
Abstract
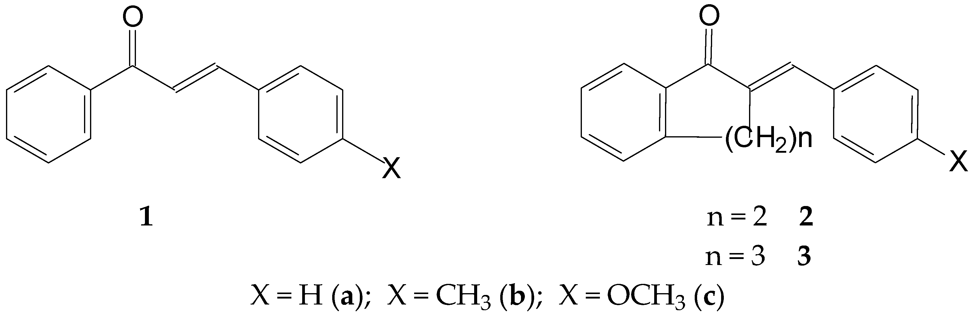
1. Introduction
2. Results
2.1. Reactions under Slightly Basic (pH 8.0) Conditions
2.2. Reactions under Slightly Acidic (pH 6.3) Conditions
2.3. Reactions under Acidic (pH 3.2) Conditions
2.4. Molecular Modeling Analysis
3. Discussion
4. Materials and Methods
4.1. Chemicals and Reagents
4.2. Preparation of Solutions
4.3. HPLC-UV Measurements
4.4. HPLC-MS Measurements
4.5. Molecular Modeling Analysis
5. Conclusions
Supplementary Materials
Author Contributions
Funding
Institutional Review Board Statement
Informed Consent Statement
Data Availability Statement
Acknowledgments
Conflicts of Interest
References
- Kenari, F.; Molnár, S.; Borges, I.D.; Napolitano, H.B.; Perjési, P. (E)-2-Benzylidenecyclanones: Part XVIII Study the possible link between glutathione reactivity and cancer cell cytotoxic effects of some cyclic chalcone analogs. A comparison of the reactivity of the open-chain and the seven-membered homologs. Int. J. Mol. Sci. 2023, 24, 8557. [Google Scholar] [CrossRef] [PubMed]
- Banoth, R.K.; Thatikonda, A. A review on natural chalcones an update. Int. J. Pharm. Sci. Res. 2020, 11, 546–555. [Google Scholar]
- Karthikeyan, C.; Narayana Moorthy, N.S.H.; Ramasamy, S.; Vanam, U.; Manivannan, E.; Karunagaran, D.; Trivedi, P. Advances in chalcones with anticancer activities. Recent Pat. Anti-Cancer Drug Discov. 2014, 10, 97–115. [Google Scholar] [CrossRef]
- Mahapatra, D.K.; Bharti, S.K.; Asati, V. Anti-cancer chalcones: Structural and molecular target perspectives. Eur. J. Med. Chem. 2015, 98, 69–114. [Google Scholar] [CrossRef] [PubMed]
- Zhou, B. Diverse molecular targets for chalcones with varied bioactivities. Med. Chem. 2015, 5, 388–404. [Google Scholar] [CrossRef] [PubMed]
- Zhuang, C.; Zhang, W.; Sheng, C.; Zhang, W.; Xing, C.; Miao, Z. Chalcone: A privileged structure in medicinal chemistry. Chem. Rev. 2017, 117, 7762–7810. [Google Scholar] [CrossRef] [PubMed]
- Gomes, M.; Muratov, E.; Pereira, M.; Peixoto, J.; Rosseto, L.; Cravo, P.; Andrade, C.; Neves, B. Chalcone derivatives: Promising starting points for drug design. Molecules 2017, 22, 1210. [Google Scholar] [CrossRef] [PubMed]
- Constantinescu, T.; Mihis, A.G. Two important anticancer mechanisms of natural and synthetic chalcones. Int. J. Mol. Sci. 2022, 23, 11595. [Google Scholar] [CrossRef] [PubMed]
- Rajendran, G.; Bhanu, D.; Aruchamy, B.; Ramani, P.; Pandurangan, N.; Bobba, K.N.; Oh, E.J.; Chung, H.Y.; Gangadaran, P.; Ahn, B.-C. Chalcone: A promising bioactive scaffold in medicinal chemistry. Pharmaceuticals 2022, 15, 1250. [Google Scholar] [CrossRef]
- Leite, F.F.; de Sousa, N.F.; de Oliveira, B.H.M.; Duarte, G.D.; Ferreira, M.D.L.; Scotti, M.T.; Filho, J.M.B.; Rodrigues, L.C.; de Moura, R.O.; Mendonça-Junior, F.J.B.; et al. Anticancer activity of chalcones and its derivatives: Review and in silico studies. Molecules 2023, 28, 4009. [Google Scholar] [CrossRef]
- Shalaby, M.A.; Rizk, S.A.; Fahim, A.M. Synthesis, reactions and application of chalcones: A systematic review. Org. Biomol. Chem. 2023, 21, 5317–5346. [Google Scholar] [CrossRef] [PubMed]
- Kozurkova, M.; Tomeckova, V. Interaction of chalcone derivatives with important biomacromolecules. In Chalcones and Their Synthetic Analogs; Nova Science Publisher: New York, NY, USA, 2020; pp. 95–133. [Google Scholar]
- Amslinger, S. The tunable functionality of α,β-unsaturated carbonyl compounds enables their differential application in biological systems. ChemMedChem 2010, 5, 351–356. [Google Scholar] [CrossRef] [PubMed]
- Moran, L.; Gutteridge, J.; Quinlan, G. Thiols in cellular redox signalling and control. Curr. Med. Chem. 2001, 8, 763–772. [Google Scholar] [CrossRef] [PubMed]
- Aw, T.Y. Cellular Redox: A Modulator of intestinal epithelial cell proliferation. Physiology 2003, 18, 201–204. [Google Scholar] [CrossRef] [PubMed]
- Folmer, F.; Blasius, R.; Morceau, F.; Tabudravu, J.; Dicato, M.; Jaspars, M.; Diederich, M. Inhibition of TNFα-induced activation of nuclear factor ΚB by Kava (Piper Methysticum) derivatives. Biochem. Pharmacol. 2006, 71, 1206–1218. [Google Scholar] [CrossRef] [PubMed]
- Laphanuwat, P.; Kongpetch, S.; Senggunprai, L.; Prawan, A.; Kukongviriyapan, V. Licochalcone A induces cholangiocarcinoma cell death via suppression of Nrf2 and NF-ΚB signaling pathways. Asian Pac. J. Cancer Prev. 2022, 23, 115–123. [Google Scholar] [CrossRef] [PubMed]
- de Freitas Silva, M.; Pruccoli, L.; Morroni, F.; Sita, G.; Seghetti, F.; Viegas, C.; Tarozzi, A. The Keap1/Nrf2-ARE pathway as a pharmacological target for chalcones. Molecules 2018, 23, 1803. [Google Scholar] [CrossRef] [PubMed]
- Egbujor, M.C.; Saha, S.; Buttari, B.; Profumo, E.; Saso, L. Activation of Nrf2 signaling pathway by natural and synthetic chalcones: A therapeutic road map for oxidative stress. Expert Rev. Clin. Pharmacol. 2021, 14, 465–480. [Google Scholar] [CrossRef]
- Jin, Y.L.; Jin, X.Y.; Jin, F.; Sohn, D.H.; Kim, H.S. Structure-activity relationship studies of anti-inflammatory TMMC derivatives: 4-dimethylamino group on the B ring responsible for lowering the potency. Arch. Pharm. Res. 2008, 31, 1145–1152. [Google Scholar] [CrossRef]
- Dinkova-Kostova, A.T.; Massiah, M.A.; Bozak, R.E.; Hicks, R.J.; Talalay, P. Potency of Michael reaction acceptors as inducers of enzymes that protect against carcinogenesis depends on their reactivity with sulfhydryl groups. Proc. Natl. Acad. Sci. USA 2001, 98, 3404–3409. [Google Scholar] [CrossRef]
- Dimmock, J.R.; Kandepu, N.M.; Nazarali, A.J.; Kowalchuk, T.P.; Motaganahalli, N.; Quail, J.W.; Mykytiuk, P.A.; Audette, G.F.; Prasad, L.; Perjési, P.; et al. Conformational and quantitative structure-activity relationship study of cytotoxic 2-arylidenebenzocycloalkanones. J. Med. Chem. 1999, 42, 1358–1366. [Google Scholar] [CrossRef] [PubMed]
- Dimmock, J.R.; Zello, G.A.; Oloo, E.O.; Quail, J.W.; Kraatz, H.-B.; Perjési, P.; Aradi, F.; Takács-Novák, K.; Allen, T.M.; Santos, C.L.; et al. Correlations between cytotoxicity and topography of some 2-arylidenebenzocycloalkanones determined by X-ray crystallography. J. Med. Chem. 2002, 45, 3103–3111. [Google Scholar] [CrossRef] [PubMed]
- Garai, J.; Radnai, B.; Vamos, E.; Kovacs, D.; Vantus, V.B.; Rumbus, Z.; Pakai, E.; Garami, A.; Gulyas-Fekete, G.; Agocs, A.; et al. Synthesis and evaluation of a new class of MIF inhibitors in activated macrophage cells and experimental septic shock in mice. Eur. J. Med. Chem. 2023, 247, 115050. [Google Scholar] [CrossRef] [PubMed]
- Kenari, F.; Molnár, S.; Perjési, P. Reaction of chalcones with cellular thiols. The effect of the 4-substitution of chalcones and protonation state of the thiols on the addition process. Diastereoselective thiol addition. Molecules 2021, 26, 4332. [Google Scholar] [CrossRef] [PubMed]
- Armstrong, R.N. Structure, catalytic mechanism, and evolution of the glutathione transferases. Chem. Res. Toxicol. 1997, 10, 2–18. [Google Scholar] [CrossRef] [PubMed]
- Mannervick, B. Versatility of glutathione transferase proteins. Biomolecules. 2023, 13, 1749. [Google Scholar] [CrossRef] [PubMed]
- Aldini, G.; Altomare, A.; Baron, G.; Vistoli, G.; Carini, M.; Borsani, L.; Sergio, F. N-acetylcysteine as an antioxidant and disulphide breaking agent: The reasons why. Free Radic. Res. 2018, 52, 751–762. [Google Scholar] [CrossRef] [PubMed]
- Rohani, N.; Hao, L.; Alexis, M.; Joughin, B.; Krismer, K.; Moufarrej, M.; Soltis, A.; Lauffenburger, D.; Yaffe, M.; Burge, C.; et al. Acidification of tumor at stromal boundaries drives transcriptome alterations associated with aggressive phenotypes. Cancer Res. 2019, 79, 1952–1966. [Google Scholar] [CrossRef]
- LoPachin, R.M.; Gavin, T.; DeCaprio, A.; Barber, D.S. Application of the hard and soft, acids and bases (HSAB) theory to toxicant–target interactions. Chem. Res. Toxicol. 2012, 25, 239–251. [Google Scholar] [CrossRef]
- Perjési, P.; Linnanto, J.; Kolehmainen, E.; Ősz, E.; Virtanen, E.E. E-2-Benzylidenebenzocycloalkanones. IV. Studies on transmission of substituent effects on 13C NMR chemical shifts of E-2-(X-benzylidene)-1-tetralones, and -benzosuberones. Comparison with the 13C NMR data of chalcones and E-2-(X-benzylidene)-1-indanones. J. Mol. Struct. 2005, 740, 81–89. [Google Scholar] [CrossRef]
- Allen, C.F.H.; Humphlett, W.J. The thermal reversibility of the Michael reaction: V. The effect of the structure of certain thiol adducts on cleavage. Can. J. Chem. 1966, 44, 2315–2321. [Google Scholar] [CrossRef]
- Bernardes, A.; D’Oliveira, G.D.C.; Silezin, A.; Kuzma, M.; Molnár, S.; Noda Pérez, C.; Perjési, P. Reagent-induced asymmetric induction in addition reaction of reduced glutathione onto bis-Mannich chalcones. Arch. Pharm. 2018, 351, 1700386. [Google Scholar] [CrossRef]
- Frisch, M.; Trucks, G.; Schlegel, H.; Scuseria, G.; Robb, M.; Cheeseman, J.; Scalmani, G.; Barone, V.; Petersson, G.; Nakatsuji, H. Gaussian 16 Revision C.01. 2016; Gaussian Inc.: Wallingford, CT, USA, 2016. [Google Scholar]
- Zhao, Y.; Truhlar, D.G. The M06 suite of density functionals for main group thermochemistry, thermochemical kinetics, non-covalent interactions, excited states, and transition elements: Two new functionals and systematic testing of four M06-class functionals and 12 other functionals. Theor. Chem. Acc. 2008, 120, 215–241. [Google Scholar]
- Zhang, G.; Musgrave, C.B. Comparison of DFT methods for molecular orbital eigenvalue calculations. J. Phys. Chem. A 2007, 111, 1554–1561. [Google Scholar] [CrossRef] [PubMed]
- Weiner, P.K.; Langridge, R.; Blaney, J.M.; Schaefer, R.; Kollman, P.A. Electrostatic potential molecular surfaces. Proc. Natl. Acad. Sci. USA 1982, 79, 3754–3758. [Google Scholar] [CrossRef] [PubMed]
- Náray-Szabó, G.; Ferenczy, G.G. Molecular electrostatics. Chem. Rev. 1995, 95, 829–847. [Google Scholar] [CrossRef]
- Fukui, K. The role of frontier orbitals in chemical reactions (Nobel Lecture). Angew. Chem. Int. Ed. Engl. 1982, 21, 801–809. [Google Scholar] [CrossRef]
- Fukui, K. Role of frontier orbitals in chemical reactions. Science 1982, 218, 747–754. [Google Scholar] [CrossRef]
















| Compound | P388 | L1210 | Molt 4/C8 | CEM |
|---|---|---|---|---|
| 2a | 30.2 | 121 ± 104 | 32.4 ± 16.6 | 7.42 ± 0.56 |
| 2b | 17.7 | 161 ± 159 | >500 | 460 ± 69 |
| 2c | 22.1 | 44.0 ± 2.9 | 9.41 ± 0.29 | 8.84 ± 0.22 |
| 3a | 12.7 | 106.0 ± 31 | 42.7 ± 3.3 | 28.9 ± 0.7 |
| 3b | 11.8 | 25.0 ± 7.4 | 21.3 ± 14.1 | 11.4 ± 1.6 |
| 3c | 1.6 | 0.34 ± 0.02 | 0.47 ± 0.33 | 0.35 ± 0.04 |
| Melphalan | 0.22 | 2.13 ± 0.03 | 3.24 ± 0.79 | 2.47 ± 0.30 |
| pH 3 | Compound | tR (E)-Isomer | Area Ratio 4 A315/A0 | tR (Z)-Isomer | Area (Z)-Isomer | tR GSH-1 | Area GSH-1 | tR GSH-2 | Area GSH-2 |
|---|---|---|---|---|---|---|---|---|---|
| 3.2 | 2b | 16.8 | 0.91 | ND 5 | - | 14.7 | 753 | ND 5 | - |
| 3.2 | 2c | 16.3 | 0.95 | 16.7 | 51.3 | 13.3 | 565 | 13.5 | 171 |
| 6.3 | 2b | 17.2 | 0.80 | ND 5 | - | 15.3 | 5914 | ND 5 | - |
| 6.3 | 2c | 16.8 | 0.85 | 17.1 | 67.6 | 14.5 | 3371 | 14.6 | 1489 |
| 8.0 | 2b | 17.1 | 0.13 | ND 5 | - | 15.1 | 21,325 | ND 5 | - |
| 8.0 | 2c | 16.9 | 0.22 | 17.2 | 85.9 | 14.6 | 16,474 | 14.8 | 7353 |
| pH 3 | Com-Pound | tR (E)-Isomer | Area Ratio 4 A315/0 | tR (Z)-Isomer | Area (Z)-Isomer | tR NAC-1 | Area NAC-1 | tR NAC-2 | Area NAC-2 |
|---|---|---|---|---|---|---|---|---|---|
| 3.2 | 2b | 16.8 | 0.69 | ND 5 | ND 5 | 15.8 | 738 | 16.2 | 412 |
| 3.2 | 2c | 16.4 | 0.76 | ND 5 | ND 5 | 15.2 | 660 | ND 5 | - |
| 6.3 | 2b | 17.2 | 0.92 | 17.0 | 119 | 16.2 | 1607 | 16.3 | 327 |
| 6.3 | 2c | 16.8 | 0.94 | ND 5 | ND 5 | 15.7 | 4050 | ND 5 | |
| 8.0 | 2b | 16.9 | 0.68 | ND 5 | ND 5 | 15.9 | 6372 | 16.0 | 3545 |
| 8.0 | 2c | 16.8 | 0.67 | ND 5 | ND 5 | 15.7 | 7564 | 15.8 | 4785 |
| Descriptors | 1a [1] kcal.mol−1 | 1b kcal.mol−1 | 1c kcal.mol−1 | 2a kcal.mol−1 | 2b kcal.mol−1 | 2c kcal.mol−1 | 3a [1] kcal.mol−1 | 3b kcal.mol−1 | 3c kcal.mol−1 | CH3SH kcal.mol−1 | CH3S- kcal.mol−1 |
|---|---|---|---|---|---|---|---|---|---|---|---|
| EHOMO | −183.24 | −177.98 | −170.84 | −181.22 | −176.17 | −169.03 | −179.86 | −175.34 | −168.25 | −184.76 | −173.50 |
| ELUMO | −35.98 | −34.03 | −31.96 | −31.57 | −30.30 | −29.08 | −30.36 | −27.09 | −25.65 | −2.98 | 78.00 |
| ΔEHOMO-LUMO | 147.27 | 143.95 | 138.89 | 149.64 | 145.87 | 139.94 | 149.50 | 148.25 | 142.60 | 181.78 | 251.50 |
| Chemical potential (μ) | −109.61 | −106.01 | −101.40 | −106.40 | −103.24 | −99.06 | −105.11 | −101.22 | −96.95 | −93.87 | 47.28 |
| Chemical hardness (η) | 147.27 | 143.95 | 138.89 | 149.64 | 145.87 | 139.94 | 149.50 | 148.25 | 142.60 | 181.78 | 251.50 |
| Electrophylicity index (ω) | 40.79 | 39.03 | 37.02 | 37.82 | 36.53 | 35.06 | 36.95 | 34.55 | 32.96 | −24.24 | 4.82 |
Disclaimer/Publisher’s Note: The statements, opinions and data contained in all publications are solely those of the individual author(s) and contributor(s) and not of MDPI and/or the editor(s). MDPI and/or the editor(s) disclaim responsibility for any injury to people or property resulting from any ideas, methods, instructions or products referred to in the content. |
© 2024 by the authors. Licensee MDPI, Basel, Switzerland. This article is an open access article distributed under the terms and conditions of the Creative Commons Attribution (CC BY) license (https://creativecommons.org/licenses/by/4.0/).
Share and Cite
Kenari, F.; Pintér, Z.; Molnár, S.; Borges, I.D.; Camargo, A.J.; Napolitano, H.B.; Perjési, P. (E)-2-Benzylidenecyclanones: Part XIX. Reaction of (E)-2-(4′-X-Benzylidene)-1-tetralones with Cellular Thiols: Comparison of Thiol Reactivities of Open-Chain Chalcones and Their Six- and Seven-Membered Cyclic Analogs. Int. J. Mol. Sci. 2024, 25, 7773. https://doi.org/10.3390/ijms25147773
Kenari F, Pintér Z, Molnár S, Borges ID, Camargo AJ, Napolitano HB, Perjési P. (E)-2-Benzylidenecyclanones: Part XIX. Reaction of (E)-2-(4′-X-Benzylidene)-1-tetralones with Cellular Thiols: Comparison of Thiol Reactivities of Open-Chain Chalcones and Their Six- and Seven-Membered Cyclic Analogs. International Journal of Molecular Sciences. 2024; 25(14):7773. https://doi.org/10.3390/ijms25147773
Chicago/Turabian StyleKenari, Fatemeh, Zoltán Pintér, Szilárd Molnár, Igor D. Borges, Ademir J. Camargo, Hamilton B. Napolitano, and Pál Perjési. 2024. "(E)-2-Benzylidenecyclanones: Part XIX. Reaction of (E)-2-(4′-X-Benzylidene)-1-tetralones with Cellular Thiols: Comparison of Thiol Reactivities of Open-Chain Chalcones and Their Six- and Seven-Membered Cyclic Analogs" International Journal of Molecular Sciences 25, no. 14: 7773. https://doi.org/10.3390/ijms25147773
APA StyleKenari, F., Pintér, Z., Molnár, S., Borges, I. D., Camargo, A. J., Napolitano, H. B., & Perjési, P. (2024). (E)-2-Benzylidenecyclanones: Part XIX. Reaction of (E)-2-(4′-X-Benzylidene)-1-tetralones with Cellular Thiols: Comparison of Thiol Reactivities of Open-Chain Chalcones and Their Six- and Seven-Membered Cyclic Analogs. International Journal of Molecular Sciences, 25(14), 7773. https://doi.org/10.3390/ijms25147773

