Analysis of Rfo-Mediated Network in Regulating Fertility Restoration in Brassica oleracea
Abstract
1. Introduction
2. Results
2.1. Morphology of the Ogura CMS Line and the Rfo-Transgenic Restorer Line
2.2. Overview of RNA-Seq Data Analysis
2.3. Screening of Differentially Expressed Genes (DEGs)
2.4. Analysis of Protein–Protein Interaction (PPI) Networks
2.5. The Enriched Significant Gene Ontology (GO) Pathways
2.6. The Enriched Significant Kyoto Encyclopedia of Genes and Genomes (KEGG) Pathways
2.7. Differentially Expressed Genes (DEGs) Associated with the Tapetum
2.7.1. Key DEGs Involved in Tapetum-Mediated Callose Metabolism
2.7.2. Key DEGs Involved in Tapetum-Mediated Pollen Wall Formation
2.7.3. Key DEGs Regulating the Tapetum PCD
2.7.4. Other DEGs Related with Pollen Development
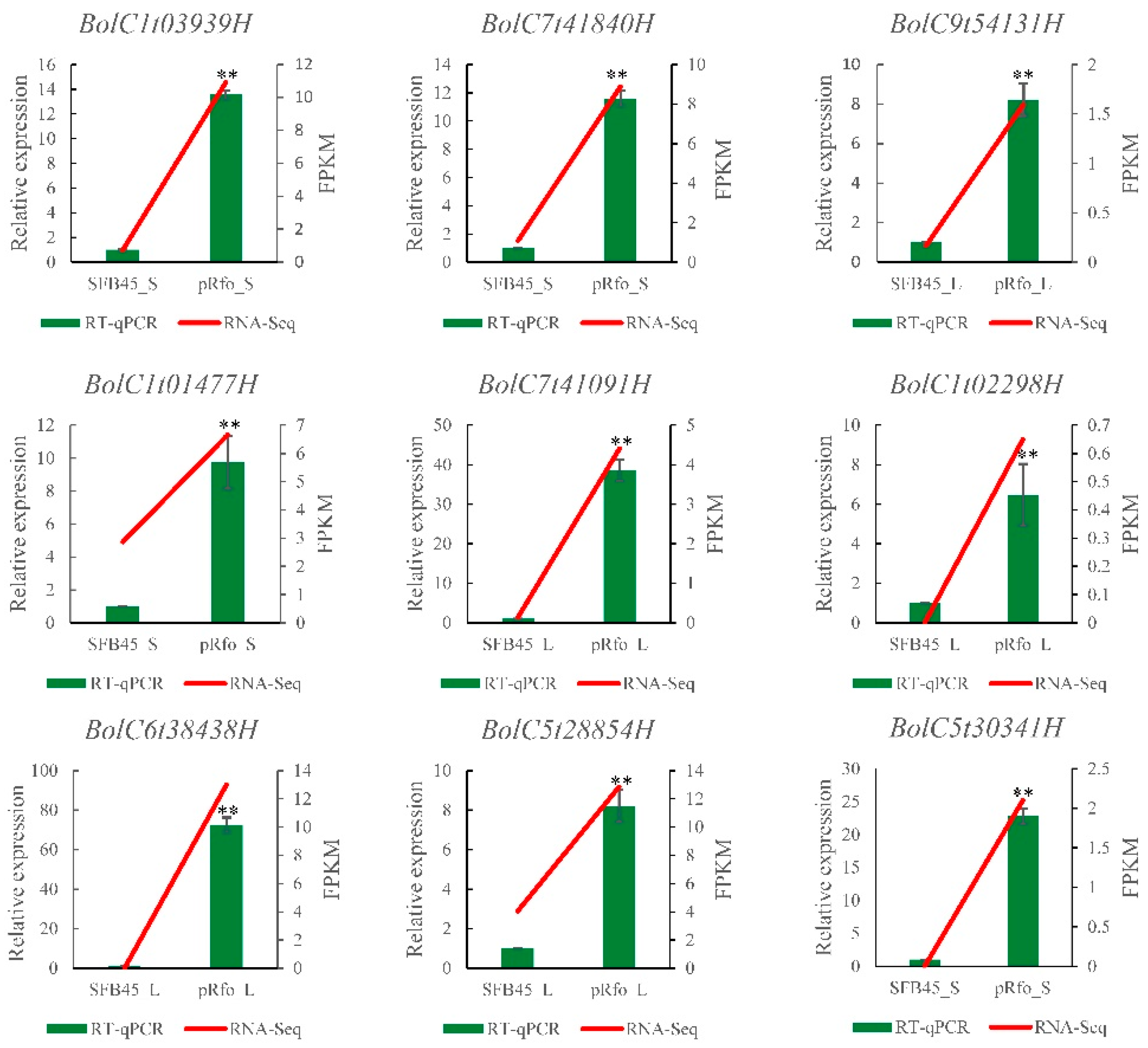
2.7.5. Validation of Expression of Some DEGs by Quantitative Real-Time PCR (RT-qPCR)
2.8. RFO Directly Interacts with ORF138 at the Protein Level
3. Discussion
4. Materials and Methods
4.1. Plant Material and Sample Collection
4.2. Southern Blot Analysis
4.3. Observation of Pollen Viability
4.4. RNA Extraction and Sequencing
4.5. Sequencing Data Analysis and Identification of DEGs
4.6. Protein–Protein Interaction
4.7. Functional Annotations of DEGs
4.8. Yeast Two-Hybrid Assay
4.9. BiFC Assay
4.10. RT-qPCR Analysis
5. Conclusions
Supplementary Materials
Author Contributions
Funding
Institutional Review Board Statement
Informed Consent Statement
Data Availability Statement
Conflicts of Interest
References
- Singh, K.; Singh, G.; Singh, L.; Aftab, N.; Thakur, A. Delineation of inbred lines of Indian mustard into diverse gene pools based on agro-morphological traits. Czech J. Genet. Plant Breed. 2023, 59, 109–116. [Google Scholar] [CrossRef]
- Han, F.; Yuan, K.; Sun, W.; Zhang, X.; Liu, X.; Zhao, X.; Yang, L.; Wang, Y.; Ji, J.; Liu, Y.; et al. A natural mutation in the promoter of Ms-cd1 causes dominant male sterility in Brassica oleracea. Nat. Commun. 2023, 14, 6212. [Google Scholar] [CrossRef] [PubMed]
- Yamagishi, H.; Bhat, S.R. Cytoplasmic male sterility in Brassicaceae crops. Breed. Sci. 2014, 64, 38–47. [Google Scholar] [CrossRef] [PubMed]
- Ren, W.; Si, J.; Chen, L.; Fang, Z.; Zhuang, M.; Lv, H.; Wang, Y.; Ji, J.; Yu, H.; Zhang, Y. Mechanism and utilization of Ogura cytoplasmic male sterility in cruciferae crops. Int. J. Mol. Sci. 2022, 23, 9099. [Google Scholar] [CrossRef]
- Wei, S.; Ma, L. Comprehensive insight into tapetum-mediated pollen development in Arabidopsis thaliana. Cells 2023, 12, 247. [Google Scholar] [CrossRef]
- Yang, H.; Xue, Y.; Li, B.; Lin, Y.; Li, H.; Guo, Z.; Li, W.; Fu, Z.; Ding, D.; Tang, J. The chimeric gene atp6c confers cytoplasmic male sterility in maize by impairing the assembly of the mitochondrial ATP synthase complex. Mol. Plant 2022, 15, 872–886. [Google Scholar] [CrossRef]
- Xing, M.; Sun, C.; Li, H.; Hu, S.; Lei, L.; Kang, J. Integrated analysis of transcriptome and proteome changes related to the Ogura cytoplasmic male sterility in cabbage. PLoS ONE 2018, 13, e0193462. [Google Scholar] [CrossRef]
- Chen, L.; Ren, W.; Zhang, B.; Guo, H.; Fang, Z.; Yang, L.; Zhuang, M.; Lv, H.; Wang, Y.; Ji, J.; et al. Comparative transcriptome analysis reveals a potential regulatory network for Ogura cytoplasmic male sterility in cabbage (Brassica oleracea L.). Int. J. Mol. Sci. 2023, 24, 6703. [Google Scholar] [CrossRef]
- Robil, J.M. A timely death of the tapetum underlies MORE FLORET1 (MOF1) regulation of male fertility in rice. Plant Physiol. 2024, 195, 1759–1761. [Google Scholar] [CrossRef]
- Liu, J.; Ye, Q.; Jiang, W.; Liu, S.; Wu, Z.; Hu, X.; Wang, X.; Zhang, Z.; Guo, D.; Chen, X.; et al. Abnormal Degraded Tapetum 1 (ADT1) is required for tapetal cell death and pollen development in rice. Theor. Appl. Genet. 2024, 137, 170. [Google Scholar] [CrossRef]
- Tang, J.; Lei, D.; Yang, J.; Chen, S.; Wang, X.; Huang, X.; Zhang, S.; Cai, Z.; Zhu, S.; Wan, J.; et al. OsALKBH9-mediated m6A demethylation regulates tapetal PCD and pollen exine accumulation in rice. Plant Biotechnol. J. 2024, 22, 2410–2423. [Google Scholar] [CrossRef] [PubMed]
- Shan, S.; Tang, P.; Wang, R.; Ren, Y.; Wu, B.; Yan, N.; Zhang, G.; Niu, N.; Song, Y. The characteristic analysis of TaTDF1 reveals its function related to male sterility in wheat (Triticum aestivum L.). BMC Plant Biol. 2024, 24, 746. [Google Scholar] [CrossRef] [PubMed]
- An, X.; Zhang, S.; Jiang, Y.; Liu, X.; Fang, C.; Wang, J.; Zhao, L.; Hou, Q.; Zhang, J.; Wan, X. CRISPR/Cas9-based genome editing of 14 lipid metabolic genes reveals a sporopollenin metabolon ZmPKSB-ZmTKPR1-1/-2 required for pollen exine formation in maize. Plant Biotechnol. J. 2024, 22, 216–232. [Google Scholar] [CrossRef] [PubMed]
- Yang, H.; Liu, F.; Wang, W.; Rui, Q.; Li, G.; Tan, X.; Ye, J.; Shen, H.; Liu, Y.; Liu, W.; et al. OsTKPR2 is part of a sporopollenin-producing metabolon required for exine formation in rice. J. Exp. Bot. 2023, 74, 1911–1925. [Google Scholar] [CrossRef]
- Tariq, N.; Yaseen, M.; Xu, D.; Rehman, H.M.; Bibi, M.; Uzair, M. Rice anther tapetum: A vital reproductive cell layer for sporopollenin biosynthesis and pollen exine patterning. Plant Biol. 2023, 25, 233–245. [Google Scholar] [CrossRef]
- Chen, L.; Ji, C.; Zhou, D.; Gou, X.; Tang, J.; Jiang, Y.; Han, J.; Liu, Y.G.; Chen, L.; Xie, Y. OsLTP47 may function in a lipid transfer relay essential for pollen wall development in rice. J. Genet. Genom. 2022, 49, 481–491. [Google Scholar] [CrossRef]
- Tao, Y.; Zou, T.; Zhang, X.; Liu, R.; Chen, H.; Yuan, G.; Zhou, D.; Xiong, P.; He, Z.; Li, G.; et al. Secretory lipid transfer protein OsLTPL94 acts as a target of EAT1 and is required for rice pollen wall development. Plant J. 2021, 108, 358–377. [Google Scholar] [CrossRef]
- Wang, Z.; Zou, Y.; Li, X.; Zhang, Q.; Chen, L.; Wu, H.; Su, D.; Chen, Y.; Guo, J.; Luo, D.; et al. Cytoplasmic male sterility of rice with boro II cytoplasm is caused by a cytotoxic peptide and is restored by two related PPR motif genes via distinct modes of mRNA silencing. Plant Cell 2006, 18, 676–687. [Google Scholar] [CrossRef]
- Lin, Y.; Yang, H.; Liu, H.; Lu, X.; Cao, H.; Li, B.; Chang, Y.; Guo, Z.; Ding, D.; Hu, Y.; et al. A P-type pentatricopeptide repeat protein ZmRF5 promotes 5′ region partial cleavages of atp6c transcripts to restore the fertility of CMS-C maize by recruiting a splicing factor. Plant Biotechnol. J. 2024, 22, 1269–1281. [Google Scholar] [CrossRef]
- Qin, X.; Warguchuk, R.; Arnal, N.; Gaborieau, L.; Mireau, H.; Brown, G.G. In vivo functional analysis of a nuclear restorer PPR protein. BMC Plant Biol. 2014, 14, 313. [Google Scholar] [CrossRef]
- Bonhomme, S.; Budar, F.; Lancelin, D.; Small, I.; Defrance, M.C.; Pelletier, G. Sequence and transcript analysis of the Nco2.5 Ogura-specific fragment correlated with cytoplasmic male sterility in Brassica cybrids. Mol. Gen. Genet. 1992, 235, 340–348. [Google Scholar] [CrossRef] [PubMed]
- Grelon, M.; Budar, F.; Bonhomme, S.; Pelletier, G. Ogura cytoplasmic male-sterility (CMS)-associated orf138 is translated into a mitochondrial membrane polypeptide in male-sterile Brassica cybrids. Mol. Gen. Genet. 1994, 243, 540–547. [Google Scholar] [CrossRef] [PubMed]
- Uyttewaal, M.; Arnal, N.; Quadrado, M.; Martin-Canadell, A.; Vrielynck, N.; Hiard, S.; Gherbi, H.; Bendahmane, A.; Budar, F.; Mireau, H. Characterization of Raphanus sativus pentatricopeptide repeat proteins encoded by the fertility restorer locus for Ogura cytoplasmic male sterility. Plant Cell 2008, 20, 3331–3345. [Google Scholar] [CrossRef] [PubMed]
- Wang, C.; Lezhneva, L.; Arnal, N.; Quadrado, M.; Mireau, H. The radish Ogura fertility restorer impedes translation elongation along its cognate CMS-causing mRNA. Proc. Natl. Acad. Sci. USA 2021, 118, 2105274118. [Google Scholar] [CrossRef]
- Pavlovic, S.; Damnjanovic, J.; Girek, L.U.M. Induction of direct somatic embryogenesis and genetic stability of somatic embryo-derived plants of broccoli. Czech J. Genet. Plant Breed. 2024, 60, 50–54. [Google Scholar] [CrossRef]
- Liu, C.Q.; Li, G.Q.; Yao, X.Q.; Huang, L.; Wu, X.Y.; Xie, Z.J. Characterization of Ogura CMS fertility-restored interspecific hybrids and backcross progenies from crosses between broccoli and rapeseed. Euphytica 2020, 216, 194. [Google Scholar] [CrossRef]
- Yu, H.L.; Fang, Z.Y.; Liu, Y.M.; Yang, L.M.; Zhuang, M.; Lv, H.H.; Li, Z.S.; Han, F.Q.; Liu, X.P.; Zhang, Y.Y. Development of a novel allele-specific Rfo marker and creation of Ogura CMS fertility-restored interspecific hybrids in Brassica oleracea. Theor. Appl. Genet. 2016, 129, 1625–1637. [Google Scholar] [CrossRef]
- Li, Q.; Xu, B.; Du, Y.; Peng, A.; Ren, X.; Si, J.; Song, H. Development of Ogura CMS restorers in Brassica oleracea subspecies via direct RfoB gene transformation. Theor. Appl. Genet. 2021, 134, 1123–1132. [Google Scholar] [CrossRef]
- Xu, F.; Su, T.; Zhang, X.; Qiu, L.; Yang, X.; Koizuka, N.; Arimura, S.I.; Hu, Z.; Zhang, M.; Yang, J. Editing of ORF138 restores fertility of Ogura cytoplasmic male sterile broccoli via mitoTALENs. Plant Biotechnol. J. 2024, 22, 1325–1334. [Google Scholar] [CrossRef]
- Zang, R.; Shahzad, K.; Zhang, X.; Guo, L.; Qi, T.; Tang, H.; Wang, R.; Wang, H.; Qiao, X.; Zhang, M.; et al. Dose effects of restorer gene modulate pollen fertility in cotton CMS-D2 restorer lines via auxin signaling and flavonoid biosynthesis. Plant Cell Rep. 2023, 42, 1705–1719. [Google Scholar] [CrossRef]
- Yang, Q.; Nong, X.; Xu, J.; Huang, F.; Wang, F.; Wu, J.; Zhang, C.; Liu, C. Unraveling the genetic basis of fertility restoration for cytoplasmic male sterile line WNJ01A originated from Brassica juncea in Brassica napus. Front. Plant Sci. 2021, 12, 721980. [Google Scholar] [CrossRef] [PubMed]
- Niu, F.; Liu, Z.; Liu, Y.; Bai, J.; Zhang, T.; Yuan, S.; Bai, X.; Zhao, C.; Zhang, F.; Sun, H.; et al. Comparative transcriptome analysis reveals the impact of daily temperature difference on male sterility in photo-thermo-sensitive male sterile wheat. BMC Genom. 2024, 25, 740. [Google Scholar] [CrossRef] [PubMed]
- Cheng, W.; Hong, C.; Zeng, F.; Liu, N.; Gao, H. Sequence variations affect the 5’ splice site selection of plant introns. Plant Physiol. 2023, 193, 1281–1296. [Google Scholar] [CrossRef] [PubMed]
- Dong, X.; Hong, Z.; Sivaramakrishnan, M.; Mahfouz, M.; Verma, D.P. Callose synthase (CalS5) is required for exine formation during microgametogenesis and for pollen viability in Arabidopsis. Plant J. 2005, 42, 315–328. [Google Scholar] [CrossRef]
- Stieglitz, H. Role of beta-1,3-glucanase in postmeiotic microspore release. Dev. Biol. 1977, 57, 87–97. [Google Scholar] [CrossRef]
- Shi, J.; Cui, M.; Yang, L.; Kim, Y.J.; Zhang, D. Genetic and biochemical mechanisms of pollen wall development. Trends Plant Sci. 2015, 20, 741–753. [Google Scholar] [CrossRef]
- Wang, K.; Guo, Z.L.; Zhou, W.T.; Zhang, C.; Zhang, Z.Y.; Lou, Y.; Xiong, S.X.; Yao, X.Z.; Fan, J.J.; Zhu, J.; et al. The regulation of sporopollenin biosynthesis genes for rapid pollen wall formation. Plant Physiol. 2018, 178, 283–294. [Google Scholar] [CrossRef]
- Quilichini, T.D.; Friedmann, M.C.; Samuels, A.L.; Douglas, C.J. ATP-binding cassette transporter G26 is required for male fertility and pollen exine formation in Arabidopsis. Plant Physiol. 2010, 154, 678–690. [Google Scholar] [CrossRef]
- Choi, H.; Ohyama, K.; Kim, Y.Y.; Jin, J.Y.; Lee, S.B.; Yamaoka, Y.; Muranaka, T.; Suh, M.C.; Fujioka, S.; Lee, Y. The role of Arabidopsis ABCG9 and ABCG31 ATP binding cassette transporters in pollen fitness and the deposition of steryl glycosides on the pollen coat. Plant Cell 2014, 26, 310–324. [Google Scholar] [CrossRef]
- Fang, C.; Wu, S.; Li, Z.; Pan, S.; Wu, Y.; An, X.; Long, Y.; Wei, X.; Wan, X. A systematic investigation of lipid transfer proteins involved in male fertility and other biological processes in maize. Int. J. Mol. Sci. 2023, 24, 1660. [Google Scholar] [CrossRef]
- Guo, X.; Li, L.; Liu, X.; Zhang, C.; Yao, X.; Xun, Z.; Zhao, Z.; Yan, W.; Zou, Y.; Liu, D.; et al. MYB2 is important for tapetal PCD and pollen development by directly activating protease expression in Arabidopsis. Int. J. Mol. Sci. 2022, 23, 3563. [Google Scholar] [CrossRef] [PubMed]
- Cheng, Z.; Guo, X.; Zhang, J.; Liu, Y.; Wang, B.; Li, H.; Lu, H. βVPE is involved in tapetal degradation and pollen development by activating proprotease maturation in Arabidopsis thaliana. J. Exp. Bot. 2020, 71, 1943–1955. [Google Scholar] [CrossRef] [PubMed]
- Zhang, D.; Liu, D.; Lv, X.; Wang, Y.; Xun, Z.; Liu, Z.; Li, F.; Lu, H. The cysteine protease CEP1, a key executor involved in tapetal programmed cell death, regulates pollen development in Arabidopsis. Plant Cell 2014, 26, 2939–2961. [Google Scholar] [CrossRef] [PubMed]
- Feng, J.; Qin, M.; Yao, L.; Li, Y.; Han, R.; Ma, L. The N-terminal acetyltransferase Naa50 regulates tapetum degradation and pollen development in Arabidopsis. Plant Sci. 2022, 316, 111180. [Google Scholar] [CrossRef]
- Zeng, J.; Duan, M.; Wang, Y.; Li, G.; You, Y.; Shi, J.; Liu, C.; Zhang, J.; Xu, J.; Zhang, S.; et al. Sporophytic control of tapetal development and pollen fertility by a mitogen-activated protein kinase cascade in rice. J. Integr. Plant Biol. 2024, 66, 1500–1516. [Google Scholar] [CrossRef]
- Hsieh, K.; Huang, A.H. Tapetosomes in Brassica tapetum accumulate endoplasmic reticulum-derived flavonoids and alkanes for delivery to the pollen surface. Plant Cell 2007, 19, 582–596. [Google Scholar] [CrossRef]
- Xue, J.S.; Qiu, S.; Jia, X.L.; Shen, S.Y.; Shen, C.W.; Wang, S.; Xu, P.; Tong, Q.; Lou, Y.X.; Yang, N.Y.; et al. Stepwise changes in flavonoids in spores/pollen contributed to terrestrial adaptation of plants. Plant Physiol. 2023, 193, 627–642. [Google Scholar] [CrossRef]
- Zhang, W.; Sun, Y.; Timofejeva, L.; Chen, C.; Grossniklaus, U.; Ma, H. Regulation of Arabidopsis tapetum development and function by DYSFUNCTIONAL TAPETUM1 (DYT1) encoding a putative bHLH transcription factor. Development 2006, 133, 3085–3095. [Google Scholar] [CrossRef]
- Sorensen, A.M.; Kröber, S.; Unte, U.S.; Huijser, P.; Dekker, K.; Saedler, H. The Arabidopsis ABORTED MICROSPORES (AMS) gene encodes a MYC class transcription factor. Plant J. 2003, 33, 413–423. [Google Scholar] [CrossRef]
- Quilichini, T.D.; Douglas, C.J.; Samuels, A.L. New views of tapetum ultrastructure and pollen exine development in Arabidopsis thaliana. Ann. Bot. 2014, 114, 1189–1201. [Google Scholar] [CrossRef]
- Xu, J.; Ding, Z.; Vizcay-Barrena, G.; Shi, J.; Liang, W.; Yuan, Z.; Werck-Reichhart, D.; Schreiber, L.; Wilson, Z.A.; Zhang, D. ABORTED MICROSPORES acts as a master regulator of pollen wall formation in Arabidopsis. Plant Cell 2014, 26, 1544–1556. [Google Scholar] [CrossRef] [PubMed]
- Wang, K.Q.; Yu, Y.H.; Jia, X.L.; Zhou, S.D.; Zhang, F.; Zhao, X.; Zhai, M.Y.; Gong, Y.; Lu, J.Y.; Guo, Y.; et al. Delayed callose degradation restores the fertility of multiple P/TGMS lines in Arabidopsis. J. Integr. Plant Biol. 2022, 64, 717–730. [Google Scholar] [CrossRef] [PubMed]
- Kim, S.S.; Grienenberger, E.; Lallemand, B.; Colpitts, C.C.; Kim, S.Y.; Souza Cde, A.; Geoffroy, P.; Heintz, D.; Krahn, D.; Kaiser, M.; et al. LAP6/POLYKETIDE SYNTHASE A and LAP5/POLYKETIDE SYNTHASE B encode hydroxyalkyl α-pyrone synthases required for pollen development and sporopollenin biosynthesis in Arabidopsis thaliana. Plant Cell 2010, 22, 4045–4066. [Google Scholar] [CrossRef] [PubMed]
- Grienenberger, E.; Kim, S.S.; Lallemand, B.; Geoffroy, P.; Heintz, D.; Souza Cde, A.; Heitz, T.; Douglas, C.J.; Legrand, M. Analysis of TETRAKETIDE α-PYRONE REDUCTASE function in Arabidopsis thaliana reveals a previously unknown, but conserved, biochemical pathway in sporopollenin monomer biosynthesis. Plant Cell 2010, 22, 4067–4083. [Google Scholar] [CrossRef]
- Zhu, L.; Zhang, T.; Teeri, T.H. Tetraketide α-pyrone reductases in sporopollenin synthesis pathway in Gerbera hybrida: Diversification of the minor function. Hortic. Res. 2021, 8, 207. [Google Scholar] [CrossRef]
- Xu, D.; Qu, S.; Tucker, M.R.; Zhang, D.; Liang, W.; Shi, J. Ostkpr1 functions in anther cuticle development and pollen wall formation in rice. BMC Plant Biol. 2019, 19, 104. [Google Scholar] [CrossRef]
- Xu, J.; Liao, R.; Xue, M.; Shang, S.; Zhou, M.; Liu, Z.; Feng, H.; Huang, S. Mutations in BrABCG26, encoding an ATP-binding cassette transporter, are responsible for male sterility in Chinese cabbage (Brassica rapa L. ssp. pekinensis). Theor. Appl. Genet. 2024, 137, 63. [Google Scholar] [CrossRef]
- Updegraff, E.P.; Zhao, F.; Preuss, D. The extracellular lipase EXL4 is required for efficient hydration of Arabidopsis pollen. Sex. Plant Reprod. 2009, 22, 197–204. [Google Scholar] [CrossRef]
- Lu, J.Y.; Xiong, S.X.; Yin, W.; Teng, X.D.; Lou, Y.; Zhu, J.; Zhang, C.; Gu, J.N.; Wilson, Z.A.; Yang, Z.N. MS1, a direct target of MS188, regulates the expression of key sporophytic pollen coat protein genes in Arabidopsis. J. Exp. Bot. 2020, 71, 4877–4889. [Google Scholar] [CrossRef]
- Mayfield, J.A.; Preuss, D. Rapid initiation of Arabidopsis pollination requires the oleosin-domain protein GRP17. Nat. Cell Biol. 2000, 2, 128–130. [Google Scholar] [CrossRef]
- Liu, Z.; Shi, X.; Li, S.; Hu, G.; Zhang, L.; Song, X. Tapetal-delayed programmed cell death (PCD) and oxidative stress-induced male sterility of Aegilops uniaristata cytoplasm in wheat. Int. J. Mol. Sci. 2018, 19, 1708. [Google Scholar] [CrossRef] [PubMed]
- Takahashi, F.; Mizoguchi, T.; Yoshida, R.; Ichimura, K.; Shinozaki, K. Calmodulin-dependent activation of MAP kinase for ROS homeostasis in Arabidopsis. Mol. Cell 2011, 41, 649–660. [Google Scholar] [CrossRef] [PubMed]
- Bhattacharya, J.; Nitnavare, R.B.; Bhatnagar-Mathur, P.; Reddy, P.S. Cytoplasmic male sterility-based hybrids: Mechanistic insights. Planta 2024, 260, 100. [Google Scholar] [CrossRef] [PubMed]
- Yamagishi, H.; Hashimoto, A.; Fukunaga, A.; Takenaka, M.; Terachi, T. Identification and variation of a new restorer of fertility gene that induces cleavage in orf138 mRNA of Ogura male sterility in radish. Theor. Appl. Genet. 2024, 137, 231. [Google Scholar] [CrossRef]
- Igarashi, K.; Kazama, T.; Toriyama, K. A gene encoding pentatricopeptide repeat protein partially restores fertility in RT98-type cytoplasmic male-sterile rice. Plant Cell Physiol. 2016, 57, 2187–2193. [Google Scholar] [CrossRef]
- Liu, Y.; Wei, M.; Liu, Y.; Fang, Z.; Zhang, Y.; Yang, L.; Lv, H.; Wang, Y.; Ji, J.; Zhang, X.; et al. Functional characterization of BoGL5 by an efficient CRISPR/Cas9 genome editing system in broccoli. Sci. Hortic. 2023, 319, 112136. [Google Scholar] [CrossRef]
- Maletich, G.; Pushin, A.; Rybalkin, E.; Plugatar, Y.; Dolgov, S.; Khvatkov, P. Organogenesis in a broad spectrum of grape genotypes and Agrobacterium-mediated transformation of the Podarok Magaracha grapevine cultivar. Plants 2024, 13, 2779. [Google Scholar] [CrossRef]
- Philippidis, A. StockWatch: Analysts mixed on Illumina after Q4 results, delivery of first NovaSeq X Plus system: Sequencing giant, Complete Genomics make key announcements at AGBT; Hillstream wows investors again; Kiora gains on IND approval; Phathom falls on FDA Complete Response Letter. GEN Edge 2023, 5, 162–166. [Google Scholar]
- Chen, S.; Zhou, Y.; Chen, Y.; Gu, J. fastp: An ultra-fast all-in-one FASTQ preprocessor. Bioinformatics 2018, 34, 884–890. [Google Scholar] [CrossRef]
- Kim, D.; Langmead, B.; Salzberg, S.L. HISAT: A fast spliced aligner with low memory requirements. Nat. Methods 2015, 12, 357–360. [Google Scholar] [CrossRef]
- Li, B.; Dewey, C.N. RSEM: Accurate transcript quantification from RNA-Seq data with or without a reference genome. BMC Bioinf. 2011, 12, 323. [Google Scholar] [CrossRef] [PubMed]
- Love, M.I.; Huber, W.; Anders, S. Moderated estimation of fold change and dispersion for RNA-seq data with DESeq2. Genome Biol. 2014, 15, 550. [Google Scholar] [CrossRef] [PubMed]
- Szklarczyk, D.; Franceschini, A.; Wyder, S.; Forslund, K.; Heller, D.; Huerta-Cepas, J.; Simonovic, M.; Roth, A.; Santos, A.; Tsafou, K.P.; et al. STRING v10: Protein-protein interaction networks, integrated over the tree of life. Nucleic Acids Res. 2015, 43, 447–452. [Google Scholar] [CrossRef] [PubMed]
- Shannon, P.; Markiel, A.; Ozier, O.; Baliga, N.S.; Wang, J.T.; Ramage, D.; Amin, N.; Schwikowski, B.; Ideker, T. Cytoscape: A software environment for integrated models of biomolecular interaction networks. Genome Res. 2003, 13, 2498–2504. [Google Scholar] [CrossRef]
- Xie, C.; Mao, X.; Huang, J.; Ding, Y.; Wu, J.; Dong, S.; Kong, L.; Gao, G.; Li, C.; Wei, L. KOBAS 2.0: A web server for annotation and identification of enriched pathways and diseases. Nucleic Acids Res. 2011, 39, 316–322. [Google Scholar] [CrossRef]
- Wang, M.; Yang, S.; Sun, L.; Feng, Z.; Gao, Y.; Zhai, X.; Dong, Y.; Wu, H.; Cui, Y.; Li, S.; et al. A CBL4-CIPK6 module confers salt tolerance in cucumber. Vegetable Res. 2022, 2, 7. [Google Scholar] [CrossRef]
- Ruan, W.; Guo, M.; Wang, X.; Guo, Z.; Xu, Z.; Xu, L.; Zhao, H.; Sun, H.; Yan, C.; Yi, K. Two RING-Finger Ubiquitin E3 ligases regulate the degradation of SPX4, an internal phosphate sensor, for phosphate homeostasis and signaling in rice. Mol. Plant 2019, 12, 1060–1074. [Google Scholar] [CrossRef]
- Livak, K.J.; Schmittgen, T.D. Analysis of relative gene expression data using real-time quantitative PCR and the 2−ΔΔCT method. Methods 2002, 25, 402–408. [Google Scholar] [CrossRef]








| Sample ID | Total Reads | Clean Reads | GC Content (%) | Q20 | Mapped Reads (%) |
|---|---|---|---|---|---|
| SFB45_L1 | 43,562,004 | 43,275,336 | 46.63% | 97.88% | 93.58% |
| SFB45_L2 | 52,851,156 | 52,452,396 | 46.60% | 97.70% | 93.55% |
| SFB45_L3 | 51,435,408 | 51,037,542 | 46.60% | 97.82% | 93.70% |
| SFB45_S1 | 51,794,632 | 51,411,684 | 46.49% | 98.16% | 94.13% |
| SFB45_S2 | 46,112,684 | 45,680,624 | 46.48% | 97.64% | 93.14% |
| SFB45_S3 | 41,202,802 | 40,811,612 | 46.46% | 97.77% | 93.41% |
| pRfo_L1 | 54,675,592 | 54,353,582 | 46.47% | 97.97% | 94.13% |
| pRfo_L2 | 43,224,430 | 42,933,156 | 46.55% | 97.91% | 93.73% |
| pRfo_L3 | 47,846,634 | 47,502,090 | 46.51% | 97.93% | 93.78% |
| pRfo_S1 | 48,812,596 | 48,375,164 | 46.75% | 97.95% | 93.49% |
| pRfo_S2 | 40,532,022 | 40,148,548 | 46.76% | 97.87% | 93.44% |
| pRfo_S3 | 47,956,782 | 47,532,436 | 46.75% | 97.78% | 93.61% |
Disclaimer/Publisher’s Note: The statements, opinions and data contained in all publications are solely those of the individual author(s) and contributor(s) and not of MDPI and/or the editor(s). MDPI and/or the editor(s) disclaim responsibility for any injury to people or property resulting from any ideas, methods, instructions or products referred to in the content. |
© 2024 by the authors. Licensee MDPI, Basel, Switzerland. This article is an open access article distributed under the terms and conditions of the Creative Commons Attribution (CC BY) license (https://creativecommons.org/licenses/by/4.0/).
Share and Cite
Xing, M.; Xu, Y.; Lu, Y.; Yan, J.; Zeng, A. Analysis of Rfo-Mediated Network in Regulating Fertility Restoration in Brassica oleracea. Int. J. Mol. Sci. 2024, 25, 12026. https://doi.org/10.3390/ijms252212026
Xing M, Xu Y, Lu Y, Yan J, Zeng A. Analysis of Rfo-Mediated Network in Regulating Fertility Restoration in Brassica oleracea. International Journal of Molecular Sciences. 2024; 25(22):12026. https://doi.org/10.3390/ijms252212026
Chicago/Turabian StyleXing, Miaomiao, Yuanyuan Xu, Yuyu Lu, Jiyong Yan, and Aisong Zeng. 2024. "Analysis of Rfo-Mediated Network in Regulating Fertility Restoration in Brassica oleracea" International Journal of Molecular Sciences 25, no. 22: 12026. https://doi.org/10.3390/ijms252212026
APA StyleXing, M., Xu, Y., Lu, Y., Yan, J., & Zeng, A. (2024). Analysis of Rfo-Mediated Network in Regulating Fertility Restoration in Brassica oleracea. International Journal of Molecular Sciences, 25(22), 12026. https://doi.org/10.3390/ijms252212026
