In Vitro Functionality and Endurance of GMP-Compliant Point-of-Care BCMA.CAR-T Cells at Different Timepoints of Cryopreservation
Abstract
1. Introduction
2. Results
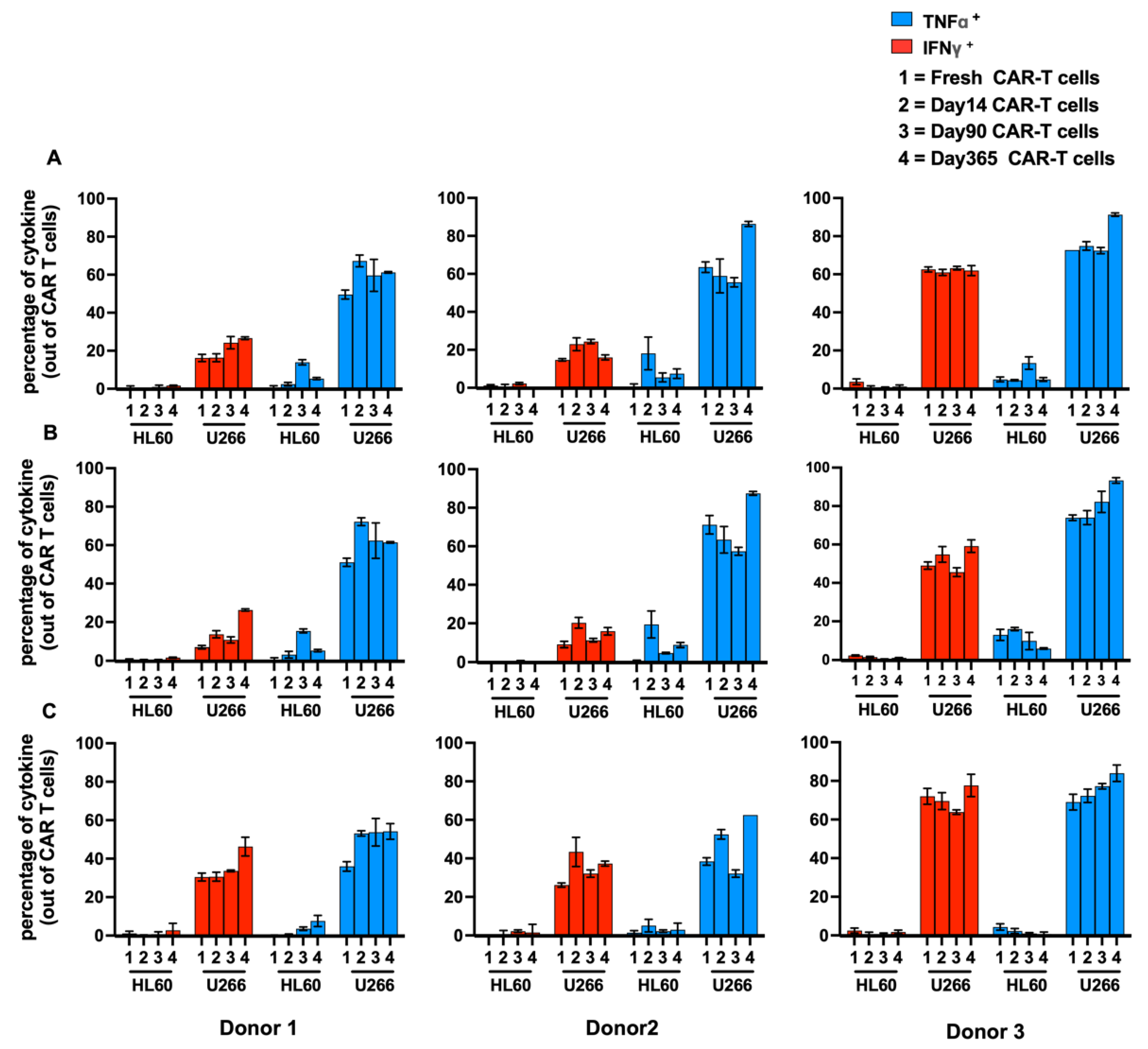
2.1. Cytokine Release Assays
2.2. Cytotoxic Assays
2.3. Co-Culture Assays
2.4. Memory T Cells
2.5. Exhaustion of T Cells
3. Discussion
4. Materials and Methods
4.1. BCMA.CAR-T Cells Preparation
4.1.1. Design and Produce
4.1.2. Transduction Efficiency
4.1.3. Culture
4.1.4. Thaw and Rest
4.2. Tumor Cell Lines
4.3. Intracellular Staining (ICS) and Flow Cytometry Assays
4.4. Functional Assays
4.4.1. Cytotoxicity Assay (Short-Term)
4.4.2. Co-Culture Assays (Long-Term) and Flow Cytometry Assays
4.5. Statistical Analysis
5. Conclusions
Supplementary Materials
Author Contributions
Funding
Institutional Review Board Statement
Informed Consent Statement
Data Availability Statement
Acknowledgments
Conflicts of Interest
References
- Kleber, M.; Ntanasis-Stathopoulos, I.; Terpos, E. BCMA in Multiple Myeloma-A Promising Key to Therapy. J. Clin. Med. 2021, 10, 4088. [Google Scholar] [CrossRef] [PubMed]
- Rollig, C.; Knop, S.; Bornhauser, M. Multiple myeloma. Lancet 2015, 385, 2197–2208. [Google Scholar] [CrossRef] [PubMed]
- Joseph, N.S.; Kaufman, J.L.; Dhodapkar, M.V.; Hofmeister, C.C.; Almaula, D.K.; Heffner, L.T.; Gupta, V.A.; Boise, L.H.; Lonial, S.; Nooka, A.K. Long-Term Follow-Up Results of Lenalidomide, Bortezomib, and Dexamethasone Induction Therapy and Risk-Adapted Maintenance Approach in Newly Diagnosed Multiple Myeloma. J. Clin. Oncol. 2020, 38, 1928–1937. [Google Scholar] [CrossRef] [PubMed]
- Lapietra, G.; Fazio, F.; Petrucci, M.T. Race for the Cure: From the Oldest to the Newest Monoclonal Antibodies for Multiple Myeloma Treatment. Biomolecules 2022, 12, 1146. [Google Scholar] [CrossRef] [PubMed]
- Strassl, I.; Schreder, M.; Steiner, N.; Rudzki, J.; Agis, H.; Kunz, T.; Muser, N.; Willenbacher, W.; Petzer, A.; Neumeister, P.; et al. The Agony of Choice-Where to Place the Wave of BCMA-Targeted Therapies in the Multiple Myeloma Treatment Puzzle in 2022 and Beyond. Cancers 2021, 13, 4701. [Google Scholar] [CrossRef] [PubMed]
- Usmani, S.; Ahmadi, T.; Ng, Y.; Lam, A.; Desai, A.; Potluri, R.; Mehra, M. Analysis of Real-World Data on Overall Survival in Multiple Myeloma Patients with ≥3 Prior Lines of Therapy Including a Proteasome Inhibitor (PI) and an Immunomodulatory Drug (IMiD), or Double Refractory to a PI and an IMiD. Oncologist 2016, 21, 1355–1361. [Google Scholar] [CrossRef]
- Shah, U.A.; Mailankody, S. Emerging immunotherapies in multiple myeloma. BMJ 2020, 370, m3176. [Google Scholar] [CrossRef]
- Gandhi, U.H.; Cornell, R.F.; Lakshman, A.; Gahvari, Z.J.; McGehee, E.; Jagosky, M.H.; Gupta, R.; Varnado, W.; Fiala, M.A.; Chhabra, S.; et al. Outcomes of patients with multiple myeloma refractory to CD38-targeted monoclonal antibody therapy. Leukemia 2019, 33, 2266–2275. [Google Scholar] [CrossRef]
- Choi, T.; Kang, Y. Chimeric antigen receptor (CAR) T-cell therapy for multiple myeloma. Pharmacol. Ther. 2021, 232, 108007. [Google Scholar] [CrossRef]
- Abbott, R.C.; Cross, R.S.; Jenkins, M.R. Finding the Keys to the CAR: Identifying Novel Target Antigens for T Cell Redirection Immunotherapies. Int. J. Mol. Sci. 2020, 21, 515. [Google Scholar] [CrossRef]
- Madry, C.; Laabi, Y.; Callebaut, I.; Roussel, J.; Hatzoglou, A.; Le Coniat, M.; Mornon, J.P.; Berger, R.; Tsapis, A. The characterization of murine BCMA gene defines it as a new member of the tumor necrosis factor receptor superfamily. Int. Immunol. 1998, 10, 1693–1702. [Google Scholar] [CrossRef] [PubMed]
- Tai, Y.T.; Acharya, C.; An, G.; Moschetta, M.; Zhong, M.Y.; Feng, X.; Cea, M.; Cagnetta, A.; Wen, K.; van Eenennaam, H.; et al. APRIL and BCMA promote human multiple myeloma growth and immunosuppression in the bone marrow microenvironment. Blood 2016, 127, 3225–3236. [Google Scholar] [CrossRef] [PubMed]
- Munshi, N.C.; Anderson, L.D.; Shah, N.; Madduri, D.; Berdeja, J.; Lonial, S.; Raje, N.; Lin, Y.; Siegel, D.; Oriol, A.; et al. Idecabtagene Vicleucel in Relapsed and Refractory Multiple Myeloma. N. Engl. J. Med. 2021, 384, 705–716. [Google Scholar] [CrossRef] [PubMed]
- Delforge, M.; Otero, P.R.; Shah, N.; Moshkovich, O.; Braverman, J.; Dhanda, D.S.; Lanar, S.; Devlen, J.; Miera, M.; Gerould, H.; et al. Analysis of patient-reported experiences up to 2 years after receiving idecabtagene vicleucel (ide-cel, bb2121) for relapsed or refractory multiple myeloma: Longitudinal findings from the phase 2 KarMMa trial. Leuk. Res. 2023, 129, 107074. [Google Scholar] [CrossRef]
- Delforge, M.; Shah, N.; Miguel, J.S.F.; Braverman, J.; Dhanda, D.S.; Shi, L.; Guo, S.; Yu, P.; Liao, W.; Campbell, T.B.; et al. Health-related quality of life with idecabtagene vicleucel in relapsed and refractory multiple myeloma. Blood Adv. 2022, 6, 1309–1318. [Google Scholar] [CrossRef]
- Chekol Abebe, E.; Yibeltal Shiferaw, M.; Tadele Admasu, F.; Asmamaw Dejenie, T. Ciltacabtagene autoleucel: The second anti-BCMA CAR T-cell therapeutic armamentarium of relapsed or refractory multiple myeloma. Front. Immunol. 2022, 13, 991092. [Google Scholar] [CrossRef]
- Hillengass, J.; Cohen, A.D.; Delforge, M.; Einsele, H.; Goldschmidt, H.; Weisel, K.; Raab, M.-S.; Scheid, C.; Schecter, J.M.; de Braganca, K.C.; et al. MM-183 CARTITUDE-2 Cohort A: Updated Clinical Data and Biological Correlative Analyses of Ciltacabtagene Autoleucel (cilta-cel) in Lenalidomide-Refractory Patients With Progressive Multiple Myeloma (MM) After 1–3 Prior Lines of Therapy (LOT). Clin. Lymphoma Myeloma Leuk. 2022, 22, S411. [Google Scholar] [CrossRef]
- Usmani, S.Z.; Martin, T.; Berdeja, J.G.; Jakubowiak, A.; Agha, M.; Cohen, A.D.; Deol, A.; Htut, M.; Lesokhin, A.; Munshi, N.C.; et al. MM-181 CARTITUDE-1: Two-Year Post Last Patient in (LPI) Results From the Phase 1b/2 Study of Ciltacabtagene Autoleucel (Cilta-Cel), a B-Cell Maturation Antigen (BCMA)-Directed Chimeric Antigen Receptor T (CAR-T) Cell Therapy, in Patients With Relapsed/Refractory Multiple Myeloma (RRMM). Clin. Lymphoma Myeloma Leuk. 2022, 22, S410–S411. [Google Scholar] [CrossRef]
- Lee, H.; Ahn, S.; Maity, R.; Leblay, N.; Ziccheddu, B.; Truger, M.; Chojnacka, M.; Cirrincione, A.; Durante, M.; Tilmont, R.; et al. Mechanisms of antigen escape from BCMA- or GPRC5D-targeted immunotherapies in multiple myeloma. Nat. Med. 2023, 29, 2295–2306. [Google Scholar] [CrossRef]
- Wang, L.; Gong, W.; Wang, S.; Neuber, B.; Sellner, L.; Schubert, M.L.; Hückelhoven-Krauss, A.; Kunz, A.; Gern, U.; Michels, B.; et al. Improvement of in vitro potency assays by a resting step for clinical-grade chimeric antigen receptor engineered T cells. Cytotherapy 2019, 21, 566–578. [Google Scholar] [CrossRef]
- Olivo Pimentel, V.; Yaromina, A.; Marcus, D.; Dubois, L.J.; Lambin, P. A novel co-culture assay to assess anti-tumor CD8(+) T cell cytotoxicity via luminescence and multicolor flow cytometry. J. Immunol. Methods 2020, 487, 112899. [Google Scholar] [CrossRef]
- Gad, E.; Rastetter, L.; Herendeen, D.; Curtis, B.; Slota, M.; Koehniein, M.; Disis, N. Optimizing the cryopreservation of murine splenocytes for improved antigen-specific T cell function in ELISPOT. J. ImmunoTher. Cancer 2013, 1, P211. [Google Scholar] [CrossRef][Green Version]
- Kumar, B.V.; Connors, T.J.; Farber, D.L. Human T Cell Development, Localization, and Function throughout Life. Immunity 2018, 48, 202–213. [Google Scholar] [CrossRef] [PubMed]
- Zhu, Y.; Tan, Y.; Ou, R.; Zhong, Q.; Zheng, L.; Du, Y.; Zhang, Q.; Huang, J. Anti-CD19 chimeric antigen receptor-modified T cells for B-cell malignancies: A systematic review of efficacy and safety in clinical trials. Eur. J. Haematol. 2016, 96, 389–396. [Google Scholar] [CrossRef] [PubMed]
- Xu, Y.; Zhang, M.; Ramos, C.A.; Durett, A.; Liu, E.; Dakhova, O.; Liu, H.; Creighton, C.J.; Gee, A.P.; Heslop, H.E.; et al. Closely related T-memory stem cells correlate with in vivo expansion of CAR.CD19-T cells and are preserved by IL-7 and IL-15. Blood 2014, 123, 3750–3759. [Google Scholar] [CrossRef] [PubMed]
- Hoffmann, J.M.; Schubert, M.L.; Wang, L.; Hückelhoven, A.; Sellner, L.; Stock, S.; Schmitt, A.; Kleist, C.; Gern, U.; Loskog, A.; et al. Differences in Expansion Potential of Naive Chimeric Antigen Receptor T Cells from Healthy Donors and Untreated Chronic Lymphocytic Leukemia Patients. Front. Immunol. 2017, 8, 1956. [Google Scholar] [CrossRef] [PubMed]
- Blaeschke, F.; Stenger, D.; Kaeuferle, T.; Willier, S.; Lotfi, R.; Kaiser, A.D.; Assenmacher, M.; Döring, M.; Feucht, J.; Feuchtinger, T. Induction of a central memory and stem cell memory phenotype in functionally active CD4+ and CD8+ CAR T cells produced in an automated good manufacturing practice system for the treatment of CD19+ acute lymphoblastic leukemia. Cancer Immunol. Immunother. 2018, 67, 1053–1066. [Google Scholar] [CrossRef] [PubMed]
- Sakuishi, K.; Apetoh, L.; Sullivan, J.M.; Blazar, B.R.; Kuchroo, V.K.; Anderson, A.C. Targeting Tim-3 and PD-1 pathways to reverse T cell exhaustion and restore anti-tumor immunity. J. Exp. Med. 2010, 207, 2187–2194. [Google Scholar] [CrossRef]
- Fourcade, J.; Sun, Z.; Pagliano, O.; Chauvin, J.-M.; Sander, C.; Janjic, B.; Tarhini, A.A.; Tawbi, H.A.; Kirkwood, J.M.; Moschos, S.; et al. PD-1 and Tim-3 Regulate the Expansion of Tumor Antigen–Specific CD8+ T Cells Induced by Melanoma Vaccines. Cancer Res. 2014, 74, 1045–1055. [Google Scholar] [CrossRef]
- Wolf, Y.; Anderson, A.C.; Kuchroo, V.K. TIM3 comes of age as an inhibitory receptor. Nat. Rev. Immunol. 2020, 20, 173–185. [Google Scholar] [CrossRef]
- Aleksandrova, K.; Leise, J.; Priesner, C.; Melk, A.; Kubaink, F.; Abken, H.; Hombach, A.; Aktas, M.; Essl, M.; Bürger, I.; et al. Functionality and Cell Senescence of CD4/CD8-Selected CD20 CAR T Cells Manufactured Using the Automated CliniMACS Prodigy® Platform. Transfus. Med. Hemother. 2019, 46, 47–54. [Google Scholar] [CrossRef] [PubMed]
- Bluhm, J.; Kieback, E.; Marino, S.F.; Oden, F.; Westermann, J.; Chmielewski, M.; Abken, H.; Uckert, W.; Höpken, U.E.; Rehm, A. CAR T Cells with Enhanced Sensitivity to B Cell Maturation Antigen for the Targeting of B Cell Non-Hodgkin’s Lymphoma and Multiple Myeloma. Mol. Ther. 2018, 26, 1906–1920. [Google Scholar] [CrossRef] [PubMed]
- McNeil, L.K.; Price, L.; Britten, C.M.; Jaimes, M.; Maecker, H.; Odunsi, K.; Matsuzaki, J.; Staats, J.S.; Thorpe, J.; Yuan, J.; et al. A harmonized approach to intracellular cytokine staining gating: Results from an international multiconsortia proficiency panel conducted by the Cancer Immunotherapy Consortium (CIC/CRI). Cytom. Part A 2013, 83A, 728–738. [Google Scholar] [CrossRef] [PubMed]
- Jedema, I.; van der Werff, N.M.; Barge, R.M.Y.; Willemze, R.; Falkenburg, J.H.F. New CFSE-based assay to determine susceptibility to lysis by cytotoxic T cells of leukemic precursor cells within a heterogeneous target cell population. Blood 2004, 103, 2677–2682. [Google Scholar] [CrossRef]







| Transduction Efficiency of BCMA.CAR-T Cells | Fresh | D14 | D90 | D365 |
|---|---|---|---|---|
| Donor 1 | 85.1 | 87.3 | 87.3 | 88.8 |
| Donor 2 | 83.2 | 81.6 | 84.4 | 79.6 |
| Donor 3 | 54.5 | 53.8 | 54.0 | 50.2 |
Disclaimer/Publisher’s Note: The statements, opinions and data contained in all publications are solely those of the individual author(s) and contributor(s) and not of MDPI and/or the editor(s). MDPI and/or the editor(s) disclaim responsibility for any injury to people or property resulting from any ideas, methods, instructions or products referred to in the content. |
© 2024 by the authors. Licensee MDPI, Basel, Switzerland. This article is an open access article distributed under the terms and conditions of the Creative Commons Attribution (CC BY) license (https://creativecommons.org/licenses/by/4.0/).
Share and Cite
Jiang, G.; Neuber, B.; Hückelhoven-Krauss, A.; Höpken, U.E.; Ding, Y.; Sedloev, D.; Wang, L.; Reichman, A.; Eberhardt, F.; Wermke, M.; et al. In Vitro Functionality and Endurance of GMP-Compliant Point-of-Care BCMA.CAR-T Cells at Different Timepoints of Cryopreservation. Int. J. Mol. Sci. 2024, 25, 1394. https://doi.org/10.3390/ijms25031394
Jiang G, Neuber B, Hückelhoven-Krauss A, Höpken UE, Ding Y, Sedloev D, Wang L, Reichman A, Eberhardt F, Wermke M, et al. In Vitro Functionality and Endurance of GMP-Compliant Point-of-Care BCMA.CAR-T Cells at Different Timepoints of Cryopreservation. International Journal of Molecular Sciences. 2024; 25(3):1394. https://doi.org/10.3390/ijms25031394
Chicago/Turabian StyleJiang, Genqiao, Brigitte Neuber, Angela Hückelhoven-Krauss, Uta E. Höpken, Yuntian Ding, David Sedloev, Lei Wang, Avinoam Reichman, Franziska Eberhardt, Martin Wermke, and et al. 2024. "In Vitro Functionality and Endurance of GMP-Compliant Point-of-Care BCMA.CAR-T Cells at Different Timepoints of Cryopreservation" International Journal of Molecular Sciences 25, no. 3: 1394. https://doi.org/10.3390/ijms25031394
APA StyleJiang, G., Neuber, B., Hückelhoven-Krauss, A., Höpken, U. E., Ding, Y., Sedloev, D., Wang, L., Reichman, A., Eberhardt, F., Wermke, M., Rehm, A., Müller-Tidow, C., Schmitt, A., & Schmitt, M. (2024). In Vitro Functionality and Endurance of GMP-Compliant Point-of-Care BCMA.CAR-T Cells at Different Timepoints of Cryopreservation. International Journal of Molecular Sciences, 25(3), 1394. https://doi.org/10.3390/ijms25031394

