Abstract
Toona ciliata, also known as Chinese mahogany, is a high-quality and fast-growing wood species with a high economic value. The wood properties of T. ciliata of different provenances vary significantly. In this study, we conducted comprehensive transcriptome and metabolome analyses of red and non-red T. ciliata wood cores of different provenances to compare their wood properties and explore the differential metabolites and genes that govern the variation in their wood properties. Through combined analyses, three differential genes and two metabolites were identified that are possibly related to lignin synthesis. The lignin content in wood cores from T. ciliata of different provenances shows significant variation following systematic measurement and comparisons. The gene Tci09G002190, one of the three differential genes, was identified as a member of the CAD (Cinnamyl alcohol dehydrogenase) gene family of T. ciliata, which is associated with lignin synthesis. Our data provide insights into the determinants of the wood properties in T. ciliata, providing a solid foundation for research into the subsequent mechanisms of the formation of T. ciliata wood.
1. Introduction
Toona ciliata, belonging to the Toona order of the Meliaceae family, is an endangered plant with key protection status in China and is listed in the reference list of principal cultivated precious tree species [1]. As one of the precious fast-growing trees, T. ciliata is now an important species for plantation and use in Southern China [2]. Its wood has an attractive texture with russet hues and a straight shape when it is dried; it is also soft and corrosion-resistant with good machinability, making it of high economic value [3]. T. ciliata is marketed at home and abroad and is known as Chinese mahogany [2]. Previous research on T. ciliata breeding found that the wood of the species is not always dark reddish-brown in color, and that its wood basic density and fiber morphology show significant differences; the color of the wood from certain provenances of T. ciliata can be lighter or the red color may not be not obvious, with wood that is less dense and fibers that are fine and short. Other provenances, however, have high-quality wood that is darker in color, with higher basic density and fibers that are thick and long [4]. Clarification of the differences among provenances in the wood properties of T. ciliata and investigation of the mechanisms of wood formation would provide a solid basis for the selection and breeding of this species.
The main aim of metabolomics is to quantify the multiple dynamic responses of living organisms to external stimuli, pathophysiological changes, and their own genetic mutations at the metabolite level [5,6]. The introduction and development of this technique has provided a more efficient method of identifying metabolites in plants and elucidating the metabolic pathways regarding their synthesis in plants [7,8]. Transcriptome sequencing can obtain almost all the transcripts and gene sequences of an assigned cell or tissues of a species in an assigned state; the results can then be used to study the level of gene expression, the gene function, the gene structure, variable splicing, and the prediction of new transcripts [9]. Wood, as a natural polymeric compound, is mainly composed of cellulose, hemicellulose, lignin, and extractives [10]. And the wood’s color, basic density, odor, strength, and other factors will affect the wood’s properties [11,12,13]. At the same time, the color of wood and other wood properties are affected by many secondary metabolites. Consequently, the transcriptome and metabolome play an important role in the study of wood properties. In this study, under a comprehensive analysis of the metabolome and transcriptome, it was found that there are differential metabolites in the lignin synthesis pathway, and they are significantly related to differentially expressed genes, which provides a new direction for research.
Lignin, as a cell wall component and one of the three main components of plant secondary walls, provides mechanical support and water conduction within the vascular system. Studies have demonstrated that lignin can absorb light at up to 500 nm and is an important source of color production in wood [14], with different tree species having different organizational structures and functional groups [15]. The synthesis of lignin involves three pathways: the shikimic acid pathway, the phenylpropionic acid pathway, and the specific pathway, and involves many enzymes and monomers. And in these pathways, there will also be many small molecular substances or products that will directly or indirectly affect the color of the wood [16,17,18]. Understanding the synthesis mechanism of lignin is crucial for the study of wood properties.
In this study, different metabolites and genes were screened in red and non-red T. ciliata wood cores. Significant differences in the wood properties were observed following a combined analysis of the transcriptome and metabolome. We also analyzed the relationship between the metabolites and genes, exploring the reasons for the differences in the wood properties of T. ciliata. Our research lays a solid foundation for future research into the mechanism of T. ciliata wood formation.
2. Results
2.1. Metabolome Analysis
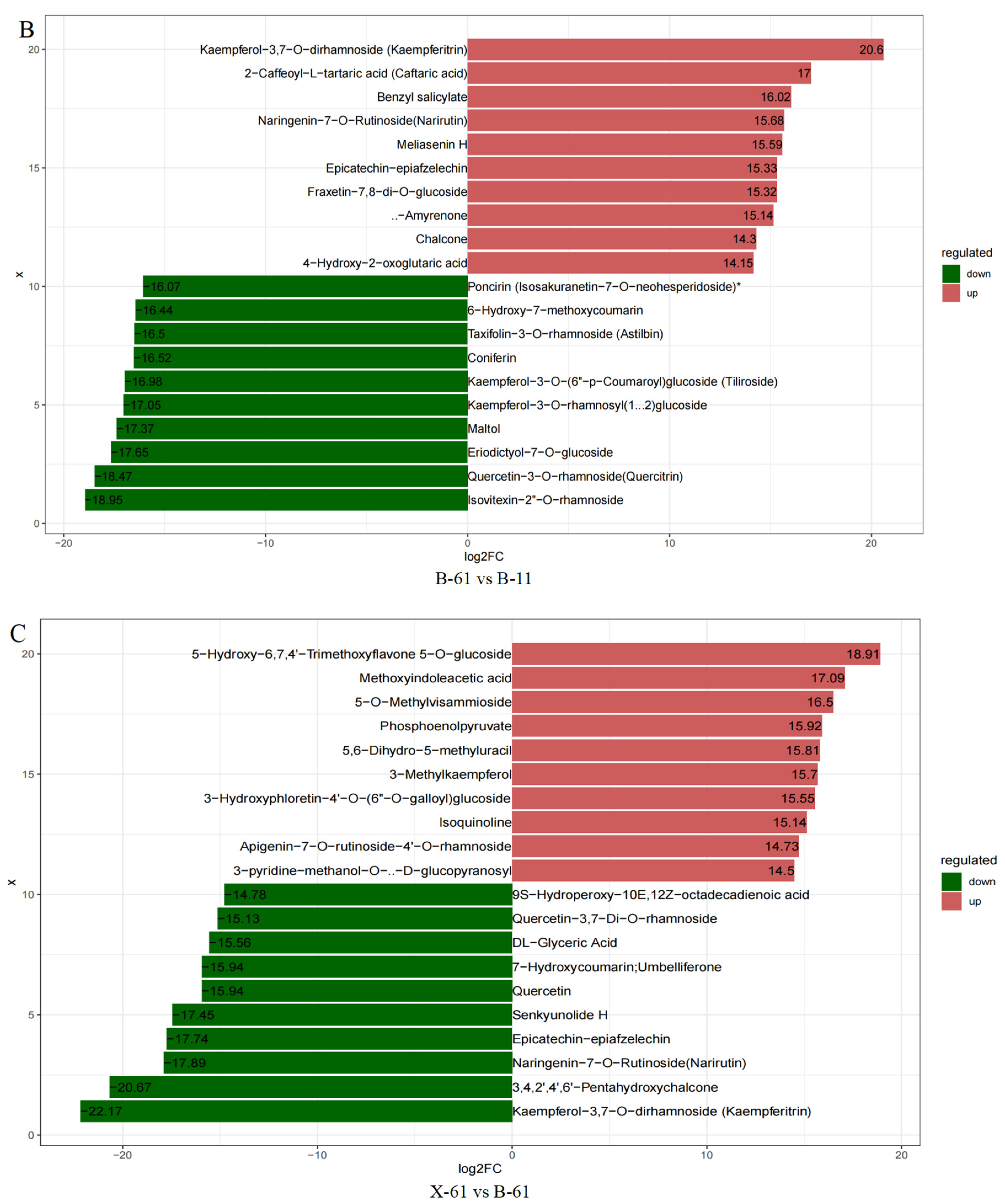
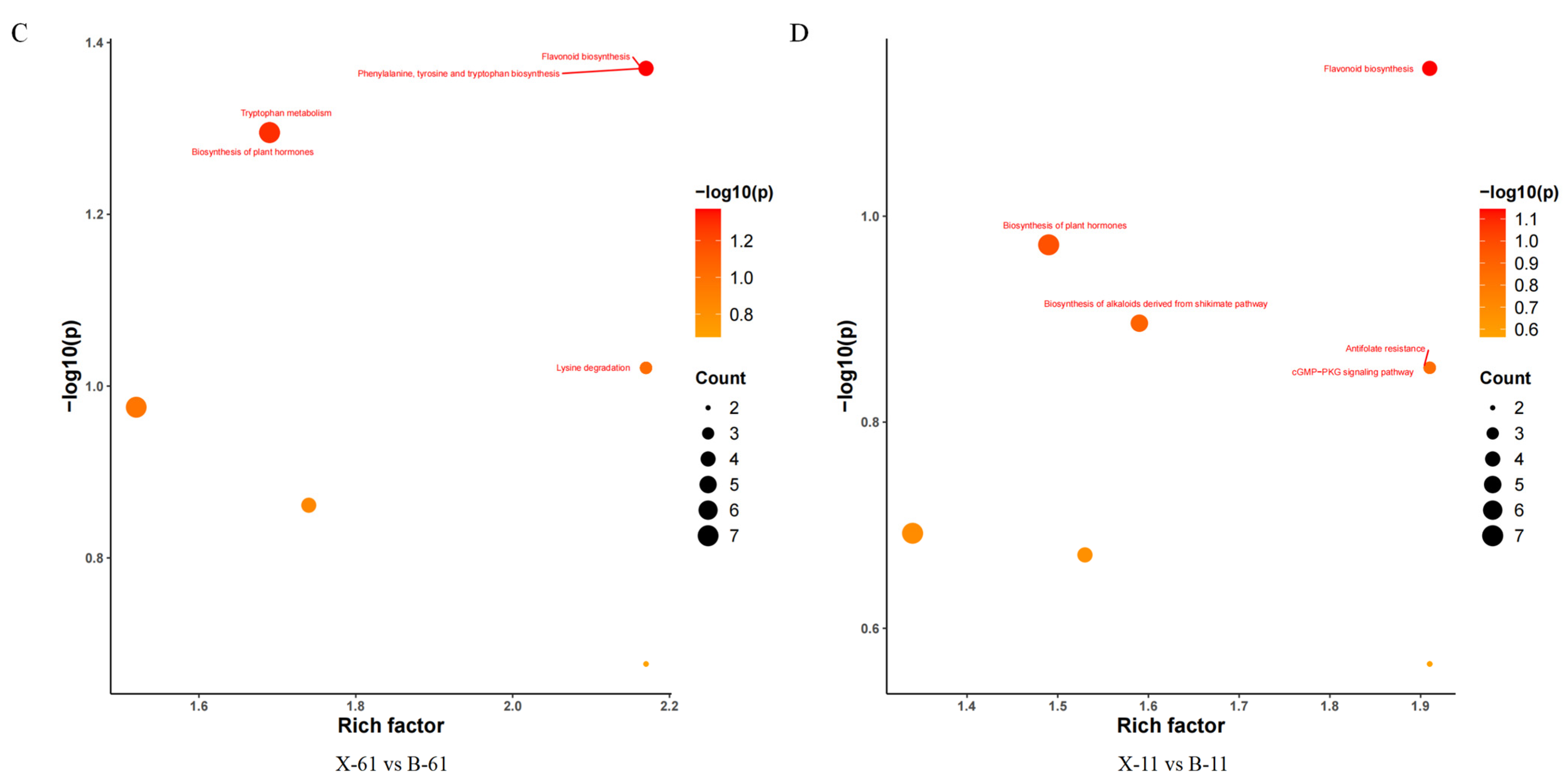
The principal component analysis (PCA) results indicated a high similarity between samples within groups and a low similarity between samples across groups (Figure 1A). A total of 52 differential metabolites were common across all groups (Figure 1B). In total, 322, 329, 513, and 522 differential metabolites were identified in groups X-61 vs. X-11, B-61 vs. B-11, X-61 vs. B-61, and X-11 vs. B-11, respectively. Among these, upregulated and downregulated differential metabolites are 157, 135, 307, and 299 and 165, 194, 206, and 223 in different groups, respectively (Figure 2 and Figure S1). Metabolic analyses were performed on each pair of the four groups, revealing significant differences in the metabolites involved in the phenylpropanoid biosynthesis pathway (Figure 3). The final metabolites of this pathway were observed to be the three types of lignin monomers (H-lignin, G-lignin, and S-lignin). These results suggest that the wood properties of T. ciliata vary and that differences in color may be related to the lignin content of the wood.
Figure 1.
(A) Three-dimensional plot of PCA for difference grouping; (B) Wayne’s plot of differential metabolites across groups, Different colours represent different groupings, Overlapping colors represent metabolites shared by two or more groups.


Figure 2.
Differential multiplicity histogram. Note: (A–D) are the different groups. Right: the label of each bar indicates the name of the metabolite differentiated by upregulation (red) and downregulation (green); the length of the bar represents logFC.

Figure 3.
Differential metabolite KEGG enrichment factor bubble plot. Note: (A–D) are the different groups. The x-axis is the enrichment factor of the differential metabolites enriched in that pathway, the y-axis is the pathway p-value, and the size of the dots represents the number of enriched differential metabolites.
2.2. Transcriptome Analysis
2.2.1. Transcriptome Sequencing Results
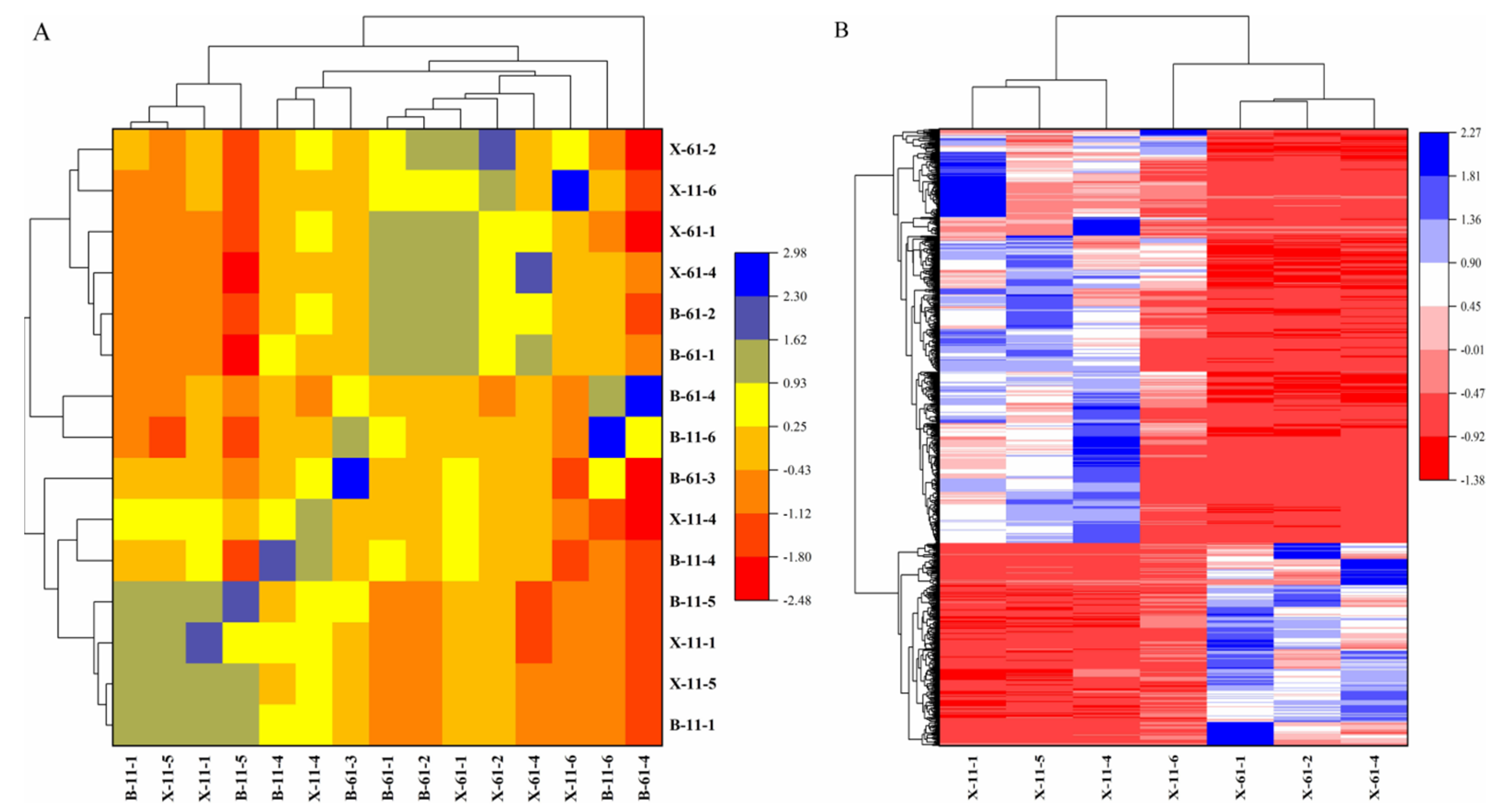
A transcriptome analysis was conducted on all samples, resulting in a total of 97.12 GB of clean data. Each sample contained 5.75 GB of clean data and a Q30 base percentage of 92.55% or higher. The clean reads of each sample were compared with the designated reference genome for sequence comparison. The comparison efficiency ranged from 80.54% to 94.24%. From the comparison results, variable splicing prediction and gene structure optimization analysis were performed. This resulted in the discovery of 1692 new genes, of which 593 were functionally annotated. Using a fold change ≥ 2 and an FDR < 0.01 as criteria for differential gene screening, results were obtained for differentially expressed gene lists, differentially expressed gene functional enrichment analyses, GSEA analyses, differential variable splicing, and differential gene–protein interactions in each comparison group (Figure 4).
Figure 4.
(A) Heatmap of expression correlation between two−by−two samples; (B) clustering of differentially expressed genes.
2.2.2. Differential Gene Results
Differentially expressed genes were identified using differential analysis software with screening based on the gene count value in each sample. The screening criteria used to identify differentially expressed genes were a fold change ≥ 2 and an FDR < 0.01. Using the X-11 sample as the control group, 734 differential genes were identified, with 241 upregulated and 493 downregulated genes in the X-61 sample. And 162 differential genes were identified, with 141 upregulated genes and 21 downregulated genes in the B-11 sample compared with the X-11 sample (X-11 vs. B-11). We compared the gene expression of the B-61 sample with that of the control group, the X-61 sample: 384 differential genes were identified, and 368 were upregulated while 16 were downregulated. Finally, a total of 705 differentially expressed genes were identified, with 299 genes upregulated and 406 genes downregulated in the B-61 sample when compared with the B-11 sample (B-11 vs. B-61) (Figure 5).
Figure 5.
Differential expression volcano plots: (A) X-11 vs. B-11; (B) X-61 vs. B-61; (C) X-11 vs. X-61; (D) B-11 vs. B-61.
2.2.3. Differential Gene Pathway Analysis
We enriched the pathways of the genes by comparing the heartwood or sapwood of the red and non-red groups (X-61, B-61, X-11, and B-11) to determine the role of differentially expressed genes in lignin synthesis. We then categorized the annotation results of the differentially expressed genes according to the types of pathways in the KEGG database. These differentially expressed genes were classified into five major categories: cellular processes, environmental information processing, genetic information processing, metabolism, and organismal systems. Most of those involved in the information processing, genetic information processing, metabolism, and organismal system categories were annotated under the pathways of the three major categories of environmental information processing, genetic information processing, and metabolism (Figure 6). There were eight differentially expressed genes in the pathway of phenylpropanoid biosynthesis (ko00940) in group X-61 vs. X-11 (Figure 7A). In group X-11 vs. B-11, the three most significantly varied pathways, with the lowest Q value, were amino sugar and nucleotide sugar metabolism (ko00520), phenylpropanoid biosynthesis (ko00940), and starch and sucrose metabolism (ko00500). The enriched pathway related to lignin synthesis was phenylpropanoid biosynthesis (ko00940), which is associated with seven differentially expressed genes (Figure 7B). There were eight differentially expressed genes in the phenylpropanoid biosynthesis (ko00940) pathway, which is related to lignin synthesis in group X-61 vs. B-61 (Figure 7C). Thus, we concluded that the genes that were differently expressed in the phenylpropanoid biosynthesis (ko00940) pathway might play an important role in lignin synthesis.

Figure 6.
KEGG classification map of differentially expressed genes.(A) X-11 vs. X-61; (B) X-11 vs. B-11; (C) X-61 vs. B-61; (D) B-11 vs. B-61.
Figure 7.
KEGG pathway enrichment scatter plot of differentially expressed genes.(A) X-11 vs. X-61; (B) X-11 vs. B-11; (C) X-61 vs. B-61; (D) B-11 vs. B-61.
2.3. Comprehensive Analysis of the Metabolome and Transcriptome
We identified 23 metabolic pathways in which differential genes and differential metabolites were jointly involved in X-61 and X-11 using comprehensive analysis of the transcriptome and metabolome. Among all these pathways, phenylpropanoid biosynthesis (ko00940) has the most differentially expressed genes and metabolites, with eight differential genes and three differential metabolites (Figure 8). The correlations between the differential genes and metabolites were analyzed, revealing that three differential genes (Tci03G002560, Tci02G000070, and Tci09G002190) were correlated with two metabolites (p-coumaryl alcohol and coniferin). The rest of the differential genes and metabolites have a correlation coefficient greater than 0.9 (representing a significant level), except for the correlation coefficients between Tci09G002190 and coniferin, among which Tci09G002190 and p-coumaryl have the most significant correlation (Figure 9).
Figure 8.
Top 10 pathways containing the most differential genes (yellow bar)/differential metabolites (blue bar).
Figure 9.
(A) Typical correlation analysis plot. Note: The four regions are distinguished by crosses in the figure and within the same region; the further the distance from the origin, the higher the correlation, and the higher the correlation between metabolites and genes that are closer in the same quadrant. The angle formed by the line connecting the gene and metabolite to the origin reflects the magnitude of the correlation; an acute angle represents a positive correlation, and an obtuse angle represents a negative correlation. (B) Correlation network diagram. Circles are differential metabolites, and squares are differential genes. The red line shows a positive correlation.
Thus, we chose Tci09G002190 as the target for the subsequent studies. The gene sequence of the transcriptome was compared with the reference sequence from NCBI. We observed that Tci09G002190 significantly overlaps with the CAD (cinnamyl alcohol dehydrogenase) gene sequence. Then, we analyzed the conserved structural domains and found that the protein encoded by the CAD gene contained conserved structural domains of ADH_N and ADH_zinc_N. CAD is a key enzyme in lignin synthesis; hence, we hypothesized that Tci09G002190 is related to lignin synthesis in T. ciliata.
2.4. qRT-PCR Verification
The non-red and red wood cores were set as the control and experimental group, and five genes that were significantly upregulated and downregulated were screened based on the results of differential ploidy of genes, counts, FDR (false discovery rate), etc., respectively (Table 1). Figure 10 demonstrates that the downregulated and upregulated genes are associated with high expression in the non-red and red groups, respectively. The downregulated genes also had a higher expression in the red group, confirming the transcriptome results.
Table 1.
Differentially expressed gene results.
Figure 10.
qRT-PCR validation results. Note: Values are means ± SD of three independent biological replicates. Asterisks denote Student’s t-test significance: * p < 0.05, ** p < 0.01, *** p < 0.001, and **** p < 0.0001.
2.5. Measurement of Lignin Content
The red wood cores were divided into two groups—red wood cores and non-red wood cores—measured according to the lignin determination method. The results are presented in Figure 8. The lignin content of the red wood cores (29.16%) was higher than that of the non-red wood cores (27.03%). This indicated that the color of T. ciliata wood could be affected by the lignin content to an extent (Figure 11).
Figure 11.
KALASON lignin content in different wood colors. Note: Values are means ±SD of three independent biological replicates. Asterisks denote Student’s t-test significance: *** p < 0.001.
2.6. Screening of Key Genes in Lignin Synthesis
From our comprehensive analysis of the metabolome and transcriptome, combined with the measurement of lignin content, we posited that lignin synthesis may be a key factor affecting the differences in the wood properties of T. ciliata. The differential gene Tci09G002190 was chosen for analysis. The sequence was screened from the transcriptome sequencing results, and a homology comparison of amino acid sequences was performed using NCBI. And 19 TcCADs were identified within the whole genome sequence of T. ciliata using TBtools. The 19 TcCAD genes were renamed, changing from TcCAD1 to TcCAD19, according to their distribution on different chromosomes. To further analyze the phylogenetic relationship of TcCAD genes in T. ciliata, the protein sequences of the CAD gene families of A. thaliana (9), O. sativa (7), and Populus trichocarpa (10) obtained from previous studies were subjected to multiple sequence alignment. It can be seen from the evolutionary tree that TcCAD2, TcCAD5, TcCAD11, TcCAD19, AtCAD4, and AtCAD5 are in the first class and belong to the same group (I). AtCAD4 and AtCAD5 have been proven to be related to the synthesis of lignin; therefore, TcCAD2, TcCAD5, TcCAD11, and TcCAD19 were chosen as target genes for further studies to investigate their functions in the phenylpropanoid biosynthesis pathway (Figure 12).
Figure 12.
Phylogenetic tree of CAD gene families in T. ciliata, A. thaliana, Populus trichocarpa, and O. sativa.
3. Discussion
Valuable broad-leaved species have become a scarce resource, particularly those with a high wood hardness; high density; attractive appearance, color, and texture; and special craft properties suitable for producing high-end furniture, musical instruments, handicrafts, as well as other high-end products [19]. At present, the forest resources in China are limited, and the existing forest stands are of low quality and are unevenly distributed, but the demand increases year by year. Forests are used not only for wood and other industries but also to improve ecological and environmental resources [20]. The selection and promotion of valuable broad-leaf species can satisfy the demand for particularly valuable wood and improve the value of forests. With the short supply of high-end wood, T. ciliata (which has excellent material properties and an attractive texture) represents an alternative precious wood species that can be used efficiently and has high economic, ecological, and social value. The color of wood is an important indicator to assess wood quality and its commercial value. There are significant differences in the wood color of T. ciliata of different provenances. Studies have demonstrated that the differences in wood properties are mainly influenced by the type and content of the wood components. Wood is a natural polymeric compound; from a chemical point of view, wood is mainly composed of cellulose, hemicellulose, lignin, and extractives. Of these, lignin, extractives, and hemicellulose have the greatest influence on the wood color [10].
In this study, we identified the metabolites involved in lignin synthesis as well as the genes encoding these metabolites by conducting a joint transcriptome–metabolome analysis, providing deep insight into differences in wood quality, including wood color. The transcriptome results reveal that there are eight differentially expressed genes in the phenylpropane synthesis pathway (ko00940) in the non-red and red wood cores of T. ciliata, which are likely related to lignin synthesis. There are also three differentially expressed metabolites in the phenylpropane synthesis pathway (ko00940) in both the red and non-red wood cores, including p-coumaryl alcohol, coniferin, and sinapinaldehyde. These can directly influence lignin synthesis, which contributes to different wood colors. The combined analysis of the integrated transcriptome and metabolome presented three differential genes (Tci03G002560, Tci02G000070, and Tci09G002190) associated with two metabolites (coumestrol and pinocembrin). We therefore hypothesized that the wood properties of the T. ciliata samples may be determined by their lignin content. We subsequently measured the lignin in the wood of different wood-color samples. The results reveal that the wood with different wood properties varies in the lignin content. The lignin content of the wood cores with darker wood colors is significantly higher than that of those with lighter wood colors, proving that the wood properties of T. ciliata are related to the lignin content. This also confirms the results obtained from the transcriptome and metabolome analyses of the wood of T. ciliata.
Following the metabolome and transcriptome analysis, the lignin content of T. ciliata wood with different wood colors was measured. The results show that the lignin content of T. ciliata wood varies considerably with its wood color, with the lignin content of the dark-colored wood core significantly higher than that of the lighter-colored one. This suggested that the wood color of T. ciliata might be related to the content of lignin, which agrees well with the results obtained from the transcriptome and metabolome analyses of T. ciliata wood.
The biosynthesis of lignin is an extremely complex process that initiates with phenylalanine. It undergoes a series of enzymatic reactions to form coumarin (p-coumaryl alcohol), mustard alcohol (sinapyl alcohol), and coniferyl alcohol [21] prior to a complex polymerization reaction with the help of various enzymes [22,23,24] to form three lignin monomers (G-lignin, H-lignin, and S-lignin). Among these, 35 different monomers have been identified to date [23]. The lignin synthesis pathway mainly involves eight structural genes, among which PAL, C4H, and 4CL are the pre-structural genes for lignin biosynthesis; COMT and F5H are the genes for G-lignin and S-lignin biosynthesis. Cinnamyl alcohol dehydrogenase (CAD) is one of the rate-limiting enzymes in the whole synthesis pathway [25,26]. Since the discovery of the first CAD gene in tobacco [27], CAD studies have been conducted on pomegranate and cotton [28,29]. The CAD gene family can be divided into three subclasses based on their homology and affinity to substrates [30]. Subclass 1 plays an important role in lignin biosynthesis; subclasses 2 and 3 belong to multi-substrate alcohol dehydrogenases [31,32], which have a variety of physiological roles. The function of subclass 3 CAD proteins remains to be elucidated [33], and lignin biosynthetic pathways are also continually being revised and updated [34,35,36,37,38,39].
Tci09G002190 was identified as a CAD (cinnamyl alcohol dehydrogenase) gene through further analysis. It is a key enzyme in the lignin synthesis pathway and mainly acts in the final step of this pathway. Its activity and content can affect the synthesis of coumarin alcohol (p-coumaryl alcohol), from which the lignin monomers are synthesized. Therefore, Tci09G002190 (TcCAD) was chosen as the target gene for the subsequent bioinformatic and subcellular localization studies.
Differences in wood color and wood properties are affected by many factors. The composition of wood relies on a combination of factors and is not dominated by any single one. Growth environments can also affect wood properties. Further in-depth research is required to fully explore the origins of varieties in wood properties and comprehensively analyze their influencing factors.
4. Materials and Methods
4.1. Plant Material
We used ten-year-old T. ciliata specimens of different provenances, which were planted at the Zengcheng Experimental Base of the South China Agricultural University. One was from Baoshan, Yunnan Province, China (named No. 61), and the other was from Kangaroo Valley, New South Wales, Australia (named No. 11). The wood characteristics of the two provenances were quite different, especially the wood color (Figure 13). The wood core of each provenance was divided into heartwood and sapwood, resulting in four groups (X-61, B-61, X-11, and B-11). The metabolic group had six replicates per group for a total of 24 samples, and the transcription group had four replicates per group for a total of 16 samples. The weight of each sample was between 10 and 15 g. The core was quickly separated into heartwood and sapwood and cut into 1 cm (0.3–0.5 g) pieces. Small sections of the samples were collected in a multi-directional manner, mixed, and evenly distributed. The samples were wrapped in tin foil and quickly frozen in liquid nitrogen at −80 ℃ for the subsequent transcriptome sequencing and metabolite extraction. There were four replicates used in the transcriptomic analysis and six replicates used in the metabolomic analysis. The two analytical materials overlapped.
Figure 13.
The T. ciliata wood cores were of different provenances. Note: On the left is a red wood core from Baoshan, and on the right is a non-red wood core from Australia.
4.2. Metabolite Determination
The 24 samples were subjected to a metabolomic analysis at Beijing Bemac Biotechnology Co., Ltd. (Beijing, China). A quality control analysis was performed based on the metabolomic data obtained from the experimental design, sample collection and processing, metabolite extraction, and analysis. This allowed for the screening of differential metabolites as well as the prediction and analysis of their function in the samples. The liquid-mass spectrometry system used for metabolomics analyses consisted of an Acquity I-Class PLUS ultra-high-performance liquid chromatography tandem with an AB Sciex Qtrap 6500+ high sensitivity mass spectrometer, The column used was an Acquity UPLC HSS T3 column (1.8 μm 2.1 * 100 mm) (Waters, Milford, MA, USA). The screened differential metabolites were functionally annotated using the KEGG and GO databases to obtain the metabolic pathways involved.
4.3. Transcriptome Sequencing
High-purity RNA was extracted and detected according to the method reported by Song et al. [3]. The library construction and sequencing were performed according to the manufacturer’s instructions at the same institution where the metabolomic was analyzed. Eukaryotic mRNA was enriched using magnetic beads with oligo (dT) primers. The mRNA was then randomly interrupted by adding a fragmentation buffer. The first cDNA strand was synthesized using mRNA as a template with six-base random primers. The second cDNA strand was synthesized by adding a buffer, dNTPs, RNase H, and DNA polymerase I in a buffered solution. The cDNA was purified using AMPure XP beads. The purified double-stranded cDNA underwent end repair, the addition of an A-tail, and ligation of sequencing junctions. The fragment-size selection was ascertained using AMPure XP beads. The cDNA library was obtained through PCR enrichment. Following the completion of the library construction, the effective concentration of the library (i.e., >2 nM) was accurately quantified using qPCR to ensure its quality.
The libraries were pooled and sequenced using the Illumina platform based on the target downstream data volume once the library passed the quality check(Illumina NovaSeq 6000 platform, San Diego, CA, USA).
4.4. Transcriptome Data Analysis
The downstream data underwent filtration to obtain clean data, which were then compared with a specified reference genome to obtain the mapped data. The mapped data were used for the library quality assessment, which included an insertion fragment length test and a randomness test. The mapped data were also used for a structural analysis, which included a variable splicing analysis, new gene discovery, and gene structure optimization. Subsequently, the data were used for an expression level analysis, which included a differential expression analysis, functional annotation, and the functional enrichment of differentially expressed genes based on the expression of the genes in different samples or groups of different samples.
4.5. Comprehensive Analysis of the Metabolome and Transcriptome
A principal component analysis (PCA) was used to compare trends in the metabolites. Differentially expressed genes (DEGs) were identified using a p-value threshold of less than 0.05. Their functions and signaling pathways were enriched and analyzed using the KEGG database. Pearson’s correlation coefficients were calculated to determine the relationship between the genes and metabolites using R software (R version 4.2.3). Only DEGs and differentially expressed metabolites (DEMs) with coefficients of R2 > 0.8 were selected. The gene and metabolite datasets were analyzed using canonical correlation analysis (CCA) to reveal the interactions between the metabolites and genes in the cores of the T. ciliata samples and to construct a network.
4.6. qRT-PCR Validation
Ten differentially expressed genes, including upregulated and downregulated genes and the target gene (Tci09G002190) observed between the red and non-red wood cores, were screened and verified using real-time quantitative PCR. The TRIZOL method was used to extract the total RNA and synthesize the corresponding cDNA. The primers for the fluorescence real-time quantitative PCR were designed using Premier 5.0 software and were based on the representative sequences of the sequencing library. The main equipment used in the experiment was the Roche Light Cyler 480 system. The TUB gene was used as the internal reference gene. The expression levels of the target genes were calculated using the 2−ΔΔCt method, with the expression level of the control group set to 1. This allowed for a comparison of the expression levels of each target gene with those of the control group.
4.7. Lignin Determination
T. ciliata wood core material for lignin extraction was consistent with that used for the metabolome and transcriptome. The samples were degreased by extraction with a ketone–alcohol mixture (acetone/ethanol = 2:1, v:v). Ten grams of the original samples were placed in a filter bag and extracted in a fume cupboard for 6 h until the extraction solution became colorless. The filter residue was placed in an oven at 60 °C to dry for 16 h, then cooled and weighed. An amount of 300 mg of the ketone–alcohol-extracted sample was accurately weighed into a 150 mL numbered reaction bottle. Then, 3 mL of 72% sulphuric acid was added while stirring constantly. The reaction bottle was placed in a water bath at 30 °C for 1 h, stirring every 5 min. After the water bath, 84 mL of deionized water was added to the reaction flask, and the flask was capped and placed in an autoclave (Yamato, Chongqing, China) at 121 °C for 1 h. After hydrolysis, the flask was removed and cooled to room temperature. The remaining residue in the reaction vessel was filtered through a crucible funnel to measure the acid-insoluble lignin content. All experimental determinations were conducted in triplicate.
where M is the mass of the sample obtained by weighing (300 mg), M1 is the mass of the crucible funnel plus residue, and M2 is the mass of the crucible funnel.
4.8. Phylogenetic Analysis of the TcCADs Gene Family in T. ciliata
The amino acid sequences of CAD proteins from T. ciliata and other species were used to construct a phylogenetic tree using the maximum likelihood (ML) method with MEGA7.0 software (http://www.bio-soft.net/tree/MEGA.htm, accessed on 6 December 2023), and 1000 replicates were set to calculate the bootstrap values to obtain the evolutionary status. The genes related to lignin biosynthesis were screened out as the main candidate genes for subsequent analyses of expression patterns and subcellular localization.
5. Conclusions
In this study, the lignin content of T. ciliata wood was measured using transcriptome and metabolome analyses for the first time. The metabolites related to lignin synthesis in the phenylpropanoid biosynthesis pathway (ko00940) and the genes related to the synthesis of this metabolite were mined using a combined transcriptome–metabolome analysis. Three genes related to lignin synthesis (Tci03G002560, Tci02G000070, and Tci09G002190) and two metabolites (p-coumaryl alcohol and coniferin) were identified. The correlation coefficients of the differential genes and differential metabolites were greater than 0.9 and reached a significant level, except that between Tci09G002190 and coniferin, and the correlation between Tci09G002190 and p-coumaryl alcohol was the most significant. We also identified the differential gene Tci09G002190 as a member of the CAD gene, which has previously been studied and observed to be associated with lignin synthesis. The lignin content is higher in the red wood cores of T. ciliata than in the non-red wood cores. In conclusion, greater attention can be given to the lignin synthesis mechanism in studies of wood properties of the precious tree species T. ciliata. This observation provides a solid basis for future research into the wood formation mechanisms of T. ciliata.
Supplementary Materials
The following supporting information can be downloaded at: https://www.mdpi.com/article/10.3390/ijms25084541/s1.
Author Contributions
Conceptualization, P.L.; methodology, P.L., Z.W. and Y.Z. (Yu Zhou); writing—original draft, Z.W.; validation, J.W., C.Y. and Q.Y.; data curation, Z.W., W.K. and Y.Z. (Yu Zhou); formal analysis, Z.W., J.W. and W.K.; writing—original draft, Z.W.; software, Y.Z. (Yongjia Zhang); project administration, P.L.; writing—review and editing, P.L. All authors have read and agreed to the published version of the manuscript.
Funding
This work was supported by the National Key R&D Program of China (Grant No. 2021YFD2200305) and the National Natural Science Foundation of China (Grant No. 32201587).
Data Availability Statement
The data presented in the study are deposited in the SRA repository in submission SUB14199550 (http://submit.ncbi.nlm.nih.gov/subs/sra/SUB14199550/overview, accessed on 6 December 2023); the accession numbers are SRR27848533, SRR27848532, SRR27848531, SRR27848530, SRR27848529, SRR27848528, SRR27848527, SRR27848526, SRR27848525, SRR27848524, SRR27848523, SRR27848522, SRR27848521, SRR27848520, and SRR27848519.
Acknowledgments
We gratefully acknowledge Guangdong Key Laboratory for Innovative Development and Utilization of Forest Plant Germplasm for providing conducive research spaces that have greatly facilitated our work and collaboration.
Conflicts of Interest
The authors declare no conflicts of interest.
References
- Zhang, C.H. Study on Characteristics and Suitable Region Distributions for Toona ciliata and Congenerics; China Academy of Forestry Sciences: Beijing, China, 2018. [Google Scholar]
- Liu, Q.; Arnold, R.J.; Yang, S.Z.; Wu, J.Y.; Li, Z.H.; Li, Y.; Cheng, Y. Foliar application of exogenous polyamines to ameliorate drought induced oxidative damage and physiological inhibition in Toona ciliata seedlings. Aust. For. 2019, 82, 139–150. [Google Scholar] [CrossRef]
- Song, H.; Li, Y.; Wang, Z.; Duan, Z.; Wang, Y.; Yang, E.; Que, Q.; Chen, X.; Li, P. Transcriptome profiling of Toona ciliata young stems in response to Hypsipyla robusta Moore. Front. Plant Sci. 2022, 25, 950945. [Google Scholar] [CrossRef] [PubMed]
- Li, P. Study on Geographic Variation and Genetic Diversity of Toona ciliata Roem. Ph.D. Dissertation, Beijing Forestry University, Beijing, China, 2015. [Google Scholar]
- Nicholson, J.K.; Lindon, J.C.; Holmes, E. ‘Metabonomics’: Understanding the metabolic responses of living systems to pathophysiological stimuli via multivariate statistical analysis of biological NMR spectroscopic data. Xenobiotica 1999, 29, 1181–1189. [Google Scholar] [CrossRef] [PubMed]
- Alseekh, S.; Fernie, A.R. Metabolomics 20 years on: What have we learned and what hurdles remain? Plant J. 2018, 94, 933–942. [Google Scholar] [CrossRef] [PubMed]
- Vuckovic, D. Current trends and challenges in sample preparation for global metabolomics using liquid chromatography-mass spectrometry. Anal. Bioanal. Chem. 2012, 403, 1523–1548. [Google Scholar] [CrossRef] [PubMed]
- Pandohe, J.; Kyereh, E.; Kulshrestha, S.; Xu, B.; Mahomoodally, M.F. Review of the recent developments in metabolomics-based phytochemical research. Crit. Rev. Food Sci. Nutr. 2023, 63, 3734–3749. [Google Scholar] [CrossRef] [PubMed]
- Liu, F.J.; Zhang, M.M.; Liu, C.H.; Liu, G.; Yu, S. Progress of transcriptome sequencing of woody oil plants. Biol. Plant. 2023, 67, 189–199. [Google Scholar] [CrossRef]
- Liu, Y. Wood Color Regulation Technology of Robinia Psoudoacacia Based on Coordination Reaction. Master’s Dissertation, Beijing Forestry University, Beijing, China, 2020. [Google Scholar]
- Meints, T.; Meints, T.; Stingl, R.; Hansmann, C. Wood colour of central European wood species: CIELAB characterisation and colour intensification. Eur. Wood Wood Prod. 2017, 75, 499–509. [Google Scholar] [CrossRef]
- Louzada, J.L.P.; Fonseca, F.M. The heritability of wood density components in Pinus pinaster Ait. and the implications for tree breeding. Ann. For. Sci. 2002, 59, 867–873. [Google Scholar] [CrossRef]
- Celedon, J.M.; Bohlmann, J. An extended model of heartwood secondary metabolism informed by functional genomics. Tree Physiol. 2018, 38, 311–319. [Google Scholar] [CrossRef]
- Qiu, Q.D. Screening of Indexes for Evaluating Paulownia Wood Color and Selection of Paulownia Individuals with Excellent Wood Color. Ph.D. Thesis, China Academy of Forestry Sciences, Beijing, China, 2014. [Google Scholar]
- Faleva, A.V.; Belesov, A.V.; Kozhevnikov, A.Y.; Falev, D.I.; Chukhchin, D.G.; Novozhilov, E.V. Analysis of the functional group composition of the spruce and birch phloem lignin. Int. J. Biol. Macromol. 2021, 166, 913–922. [Google Scholar] [CrossRef] [PubMed]
- Kim, J.; Hwang, S.; Lee, S.M. Metabolic engineering for the utilization of carbohydrate portions of lignocellulosic biomass. Metab. Eng. 2022, 71, 2–12. [Google Scholar] [CrossRef] [PubMed]
- Kacikova, D.; Kacik, F.; Cabalova, I.; Durkovic, J. Effects of thermal treatment on chemical, mechanical and colour traits in Norway spruce wood. Bioresour. Technol. 2013, 144, 669–674. [Google Scholar] [CrossRef] [PubMed]
- Keating, J.; Johansson, C.I.; Saddler, J.; Beatson, R. The nature of chromophores in high-extractives mechanical pulps: Western red cedar (Thuja plicata Donn) chemithermomechanical pulp (CTMP). Holzforschung 2006, 60, 365–371. [Google Scholar] [CrossRef]
- Jiang, X.M. Development of the Concept, Policy, Technical Problems of Valuable Broad-leaved Tree Species in Jiangxi Province and Countermeasures; Jiangxi Forestry Science and Technology: Jiangxi, China, 2013; pp. 3–8. [Google Scholar]
- Luo, W.Y.; Luo, P.; Liu, Y.J. Choice and Development of the Fine and Valuable Hardwood Tree Species in Tropical and South Subtropical Regions of China. Chin. J. Trop. Agric. 2010, 30, 15–21. [Google Scholar]
- Gall, D.L.; Ralph, J.; Donohue, T.J.; Noguera, D.R. Biochemical transformation of lignin for deriving valued commodities from lignocellulose. Curr. Opin. Biotechnol. 2017, 45, 120–126. [Google Scholar] [CrossRef]
- Mota, T.R.; de Souza, W.R.; Oliveira, D.M.; Martins, P.K.; Sampaio, B.L.; Vinecky, F.; Ribeiro, A.P.; Duarte, K.E.; Pacheco, T.F.; Monteiro, N.K.V.; et al. Suppression of a BAHD acyltransferase decreases p-coumaroyl on arabinoxylan and improves biomass digestibility in the model grass Setaria viridis. Plant J. 2021, 105, 136–150. [Google Scholar] [CrossRef] [PubMed]
- Vanholme, R.; De Meester, B.; Ralph, J.; Boerjan, W. Lignin biosynthesis and its integration into metabolism. Curr. Opin. Biotechnol. 2019, 56, 230–239. [Google Scholar] [CrossRef] [PubMed]
- Vanholme, R.; Cesarino, I.; Rataj, K.; Xiao, Y.; Sundin, L.; Goeminne, G.; Kim, H.; Cross, J.; Morreel, K.; Araujo, P.; et al. Caffeoyl shikimate esterase (CSE) is an enzyme in the lignin biosynthetic pathway in Arabidopsis. Science 2013, 341, 1103–1106. [Google Scholar] [CrossRef]
- Özparpucu, M.; Gierlinger, N.; Burgert, I.; Van Acker, R.; Vanholme, R.; Boerjan, W.; Pilate, G.; Dejardin, A.; Ruggeberg, M. The effect of altered lignin composition on mechanical properties of CINNAMYL ALCOHOL DEHYDROGENASE (CAD) deficient poplars. Planta 2018, 247, 887–897. [Google Scholar] [CrossRef]
- Gong, Y.; Xu, M.Q. Advance in cinnamyl alcohol dehydrogenase as a key enzyme of lignin biosynthesis. Biotechnol. Bull. 2010, 4, 47–49. [Google Scholar]
- Knight, M.E.; Halpin, C.; Schuch, W. Identification and characterisation of cDNA clones encoding cinnamyl alcohol dehydrogenase from tobacco. Plant Mol. Biol. 1992, 19, 793–801. [Google Scholar] [CrossRef] [PubMed]
- Hu, W.R.; Li, X.D.; Zhou, X.Y.; Li, X.R.; Yang, Y.; Li, B. Expression of GhCAD6 Gene in Cotton Fiber and the Effect on Structural Components. Acta Bot. Boreali-Occident. Sin. 2019, 39, 1114–1120. [Google Scholar]
- Hu, L.; Zhang, X.; Ni, H.; Yuan, F.; Zhang, S. Identification and Functional Analysis of CAD Gene Family in Pomegranate (Punica granatum). Genes 2022, 14, 26. [Google Scholar] [CrossRef] [PubMed]
- Siqueira, S.F.; Siqueira, M.S.; Garon, G.C.; Alves de Lima, L.G.; de Almeida Svartman, R.M.; Cesarino, I. The lignin toolbox of the model grass Setaria viridis. Plant Mol. Biol. 2019, 101, 235–255. [Google Scholar]
- Raes, J.; Rohde, A.; Christensen, J.H.; Van de Peer, Y.; Boerjan, W. Genome-wide characterization of the lignification toolbox in Arabidopsis. Plant Physiol. 2003, 133, 1051–1071. [Google Scholar] [CrossRef] [PubMed]
- Carocha, V.; Soler, M.; Hefer, C.; Cassan-Wang, H.; Fevereiro, P.; Myburg, A.; Paiva, J.A.P.; Grima-Pettenati, J. Genome-wide analysis of the lignin toolbox of Eucalyptus grandis. New Phytol. 2015, 206, 1297–1313. [Google Scholar] [CrossRef]
- Hirano, K.; Aya, K.; Kondo, M.; Okuno, A.; Morinaka, Y.; Matsuoka, M. OsCAD2 is the major CAD gene responsible for monolignol biosynthesis in rice culm. Plant Cell Rep. 2012, 31, 91–101. [Google Scholar] [CrossRef]
- Ralph, J.; Hatfield, R.D.; Piquemal, J.; Yahiaoui, N.; Pean, M.; Lapierre, C.; Boudet, A.M. NMR characterization of altered lignins extracted from tobacco plants down-regulated for lignification enzymes cinnamylalcohol dehydrogenase and cinnamoyl-CoA reductase. Proc. Natl. Acad. Sci. USA 1998, 95, 12803–12808. [Google Scholar] [CrossRef]
- Li, L.; Cheng, X.F.; Leshkevich, J.; Umezawa, T.; Harding, S.A.; Chiang, V.L. The last step of syringyl monolignol biosynthesis in angiosperms is regulated by a novel gene encoding sinapyl alcohol dehydrogenase. Plant Cell 2001, 13, 1567–1586. [Google Scholar] [CrossRef]
- Reddy, M.S.S.; Chen, F.; Shadle, G.; Jackson, L.; Aljoe, H.; Dixon, R.A. Targeted dowm-regulaion of cytocthrome P450 enzymes for forage quality improvement in alfalfa(Medicago sativa L.). Proc. Natl. Acad. Sci. USA 2005, 102, 16573–16578. [Google Scholar] [CrossRef] [PubMed]
- Chen, F.; Reddy, M.S.S.; Temple, S.; Jackson, L.; Shadle, G.; Dixon, R.A. Multi-site genetic modulation of monolignol biosynthesis suggests new routes for formation of syringyl lignin and wall-bound ferulic acid in alfalfa (Medicago sativa L.). Plant J. 2006, 48, 113–124. [Google Scholar] [CrossRef] [PubMed]
- Nakashima, J.; Chen, F.; Jackson, L.; Shadle, G.; Dixon, R. Multi-site genetic modulation of monolignol biosynthesis in alfalfa(Medicago sativa): Effects on lignin composition in specific cell types. New Phytol. 2008, 179, 738–750. [Google Scholar] [CrossRef] [PubMed]
- Zhao, Q. Lignification: Flexibility, Biosynthesis and Regulation. Trends Plant Sci. 2016, 21, 713–721. [Google Scholar] [CrossRef] [PubMed]
Disclaimer/Publisher’s Note: The statements, opinions and data contained in all publications are solely those of the individual author(s) and contributor(s) and not of MDPI and/or the editor(s). MDPI and/or the editor(s) disclaim responsibility for any injury to people or property resulting from any ideas, methods, instructions or products referred to in the content. |
© 2024 by the authors. Licensee MDPI, Basel, Switzerland. This article is an open access article distributed under the terms and conditions of the Creative Commons Attribution (CC BY) license (https://creativecommons.org/licenses/by/4.0/).
















