Abstract
A novel 1-formyl-2-pyrazoline was synthesized by reaction of an α,β- unsaturated ketone with hydrazine hydrate and formic acid. The structure of the title compound was established by UV, IR, 1H NMR, 13C NMR and microanalysis.
1. Introduction
Substituted pyrazolines are fluorescent compounds with high quantum yields and are used as optical brighteners and whiteners [1]. 2-Pyrazolines exhibit good characteristics of blue photoluminescence and electroluminescence. Pyrazoline derivatives are used as hole-transporting materials and as fluorescence probes in chemosensors [2]. These are five-membered nitrogen-containing heterocyclic compounds and various procedures have been developed for their synthesis [3]. N-(2-Hydroxyphenyl)pyrazoles have been used as photoprotectors of polystyrene [4], analytical reagents [5], analgesic agents and as platelet aggregation inhibitors [6].
1-Substituted 3,5-diarylpyrazolines are stable compounds and α,β-unsaturated ketones are convenient and versatile materials for the synthesis of pyrazolines. One special significance of these compounds lies in their use as synthetic intermediates for preparing cyclopropane and pyrazole derivatives [7,8,9,10]. SAR studies revealed that the introduction of a pyrazole nucleus between two aryl rings of chalcones plays an integral role for the increased in vitro cytotoxic activity against a panel of human cancer cell lines [11]. The present study deals with the synthesis of 5-(3-nitrophenyl)-3-phenyl-4,5-dihydro-1H-pyrazole-1-carbaldehyde as a new representative of this compound class by reaction of an α,β-unsaturated ketone with hydrazine hydrate and formic acid.
2. Results and Discussion
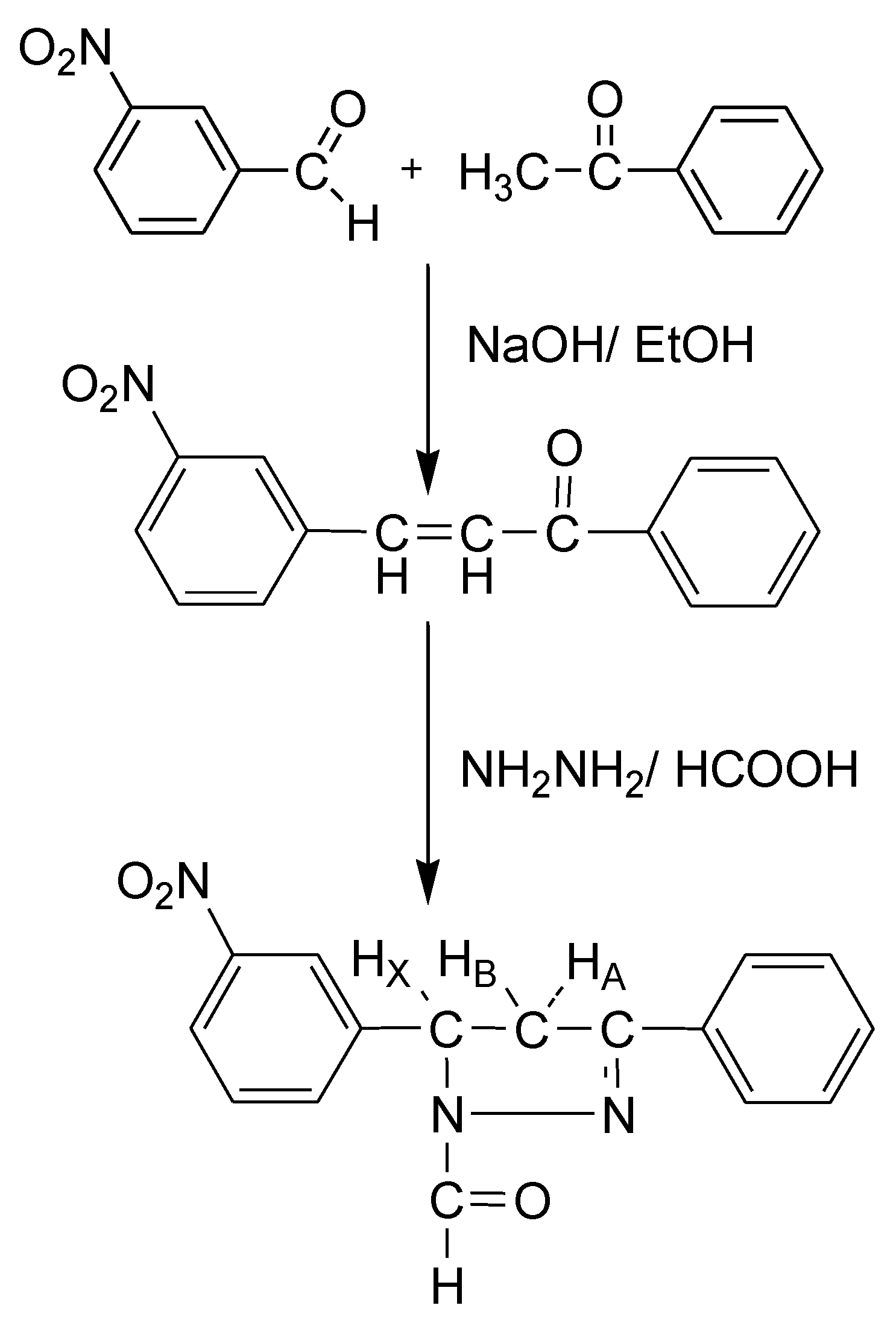
The title compound was prepared by the reaction of a chalcone and formic acid in a mixture of ethanol and hydrazine hydrate (Scheme 1).
Scheme 1.
The IR spectrum of the title compound showed a strong band for the carbonyl group at ν = 1680 cm-1, a band at ν = 1638 cm-1 for C=N and a band at 1155 cm-1 for C-N. In the 1H NMR spectrum, an ABX pattern was observable, HA, HB and HX appear as double doublets at δ 3.10–3.30, 3.75–3.80 and 5.40–5.50 ppm with JAB = 17.5 Hz, JAX = 4.7 Hz, and JBX = 11.8 Hz. The protons of the aromatic rings were observed at δ 7.03–7.76 ppm and the formyl proton appeared as a singlet at δ = 8.90 ppm. The 13C NMR spectrum revealed the presence of a methylene carbon at δ 42.37 ppm, a methine carbon at δ 58.36 ppm, a carbonyl carbon at δ 160.14 ppm and C=N at 148.6 ppm. The signals at δ 120.9–131.9 ppm show the presence of the aryl groups in the structure. The electronic spectrum of the compound in the UV region (solvent: methanol) showed three absorption bands at ~277, 245, 220 nm assignable to the n-π*, π-π* and n-σ* transitions, with molar absorptivity values (ε) of 3 × 105, 2.7 × 105, 2 × 105 L mol-1cm-1, respectively. The fluorescence spectrum of the compound showed an intense emission with λem at 330 nm by 275 nm excitation in methanol. On the basis of these spectral results, the molecule was characterized as the new structure, 5-(3-nitrophenyl)-3-phenyl-4,5-dihydro-1H-pyrazole-1-carbaldehyde. N-formyl derivatives of 2-pyrazolines have been reported previously [12]. The structure of a similar compound, 3-(4-methylphenyl)-5-[4-(methylthio)phenyl]-4,5-dihydro-1H-pyrazole-1-carbaldehyde, has also been established by crystallographic method [13].
3. Experimental
Reaction of chalcone, hydrazine hydrate and formic acid afforded a single compound. The progress of reaction was monitored by TLC, using hexane/ethyl acetate as the mobile phase. All the starting materials were of GR quality, Merck. Melting points were determined in open capillary with a Metzer apparatus and are uncorrected. The IR spectrum was recorded with KBr on a Perkin Elmer FT-IR-RX-01 spectrophotometer. The UV spectrum was recorded on a Perkin Elmer double-beam UV-Visible spectrophotometer (λ-25) in methanol. The fluorescence spectrum was recorded on a Perkin Elmer LS-55 spectrofluorimeter; an excitation lamp (Xe, 150 W) interfaced with the computer was used. 1H and 13C NMR spectra were obtained in CDCl3 on a Bruker Spectrospin DPX-400 (200/50 MHz) spectrometer using TMS as standard. Elemental analyses (C, H, N) were performed by Central Drug Research Institute, Lucknow, using a Heraeus Vario EL III analyser, and the results were within ±0.2% of the calculated values.
3.1. Preparation of chalcone
30 mmol of 3-nitrobenzaldehyde and 30 mmol of acetophenone were dissolved in methanol. The round-bottomed flask was placed in an ice bath and the mixture was stirred for 3 h with addition of 11% NaOH (cold solution) drop by drop. The resultant mixture was left to stand for 2 h. The yellow residue was crystallized from methanol to afford the chalcone. Yield 90%, m.p. 142–145 °C [14,15,16,17].
3.2. Synthesis of 5-(3-nitrophenyl)-3-phenyl-4,5-dihydro-1H-pyrazole-1-carbaldehyde
To a mixture of 15 mmol of the chalcone in 15 mL of formic acid, 30 mmol of hydrazine hydrate in 15 mL of ethanol were added dropwise. The reaction mixture was refluxed for 24 h with constant stirring, the resultant solution was cooled and poured onto crushed ice to obtain the crude product. The reaction product was recrystallized from ethyl acetate to give the title compound in 60% yield as white crystals, m.p. 195–198 °C. Anal. calc. for C16H13N3O3: C, 65.08, H, 4.40, N, 14.23; found: C, 65.06, H, 4.32, N, 14.18; UV/VIS λmax: nm 277, 245, 220; IR νmax: cm-1 1680 (C=O), 1638 (C=N), 1155 (C-N). 1H NMR (CDCl3) δ ppm: 3.30 (dd, HA, J = 4.7, 17.5 Hz, 1H), 3.60 (dd, HB, J = 11.8, 17.6 Hz, 1H), 5.70 (dd, HX, J = 4.7, 11.2 Hz, 1H), 7.80–7.20 (m, 9H 2 × Ph), 8.90 (s, 1H, CHO). 13C NMR (CDCl3) δ ppm: 160.1 (C=O), 155.5 (C-N), 148.6 (C=N), 131.9–120.9 (=CH, Ph), 58.36 (-CH), 42.37 (-CH2).
4. Conclusions
We have successfully synthesized a new pyrazoline, 5-(3-nitrophenyl)-3-phenyl-4,5-dihydro-1H-pyrazole-1-carbaldehyde, and characterized it by spectral studies. Quantitative fluorescence studies and biological activity investigations of the synthesized compound are in progress.
Supplementary materials
Supplementary File 1Supplementary File 2Supplementary File 3Acknowledgements
The authors are thankful to Asha Budakoti, NCL Pune for providing 1H and 13C NMR spectral data. This work was also supported by UGC New Delhi [Grant No. F.4-3/2006(BSR)/11-84/2008 (BSR)].
References
- Wang, P.; Onozawa-Kamatsuzaki, N.; Himeda, Y.; Sugihara, H.; Arakawa, H.; Kasuga, K. 3-(2-Pyridyl)-2-pyrazoline derivatives: Novel fluorescent probes for Zn2+ ion. Tetrahedron Lett. 2001, 42, 9199–9201. [Google Scholar] [CrossRef]
- De Silva, A.P.; Gunaratne, H.Q.N.; Gunnlaugsson, T.; Huxley, A.J.; McCoy, C.P.; Rademacher, J.T.; Rice, T.E. Signaling recognition events with fluorescent sensors and switches. Chem. Rev. 1997, 97, 1515–1566. [Google Scholar] [CrossRef] [PubMed]
- Elguero, J. Comprehensive Heterocyclic Chemistry; Pergamon Press: Oxford, UK, 1996; pp. 31–75. [Google Scholar]
- Catalan, J.; Fabero, F.; Claramunt, R.M.; Maria, M.D.S.; Foces-Foces, M.C.; Cano, F.H.; Martinez-Ripoll, M.; Elguero, J.; Sastre, R. New ultraviolet stabilizers: 3- and 5-(2´-hydroxyphenyl)pyrazoles. J. Am. Chem. Soc. 1992, 114, 5039–5048. [Google Scholar] [CrossRef]
- Lavai, A.; Silva, A.M.S.; Cavaleiro, J.A.S.; Alkorta, I.; Elguero, J.; Jeko, J. Synthesis of pyrazoles by treatment of 3-benzylchromones, 3-benzylflavones and their 4-thio analogues with hydrazine. Eur. J. Org. Chem. 2006, 2,825–2,832. [Google Scholar] [CrossRef]
- Khode, S.; Maddi, V.; Aragade, P.; Palkar, M.; Ronad, P.K.; Mamledesai, S.; Thippeswamy, A.H.M.; Satyanarayan, D. Synthesis and pharmacological evaluation of a novel series of 5-(substituted)aryl-3-(3-coumarinyl)-1-phenyl-2-pyrazolines as novel anti-inflammatory and analgesic agents. Eur. J. Med. Chem. 2009, 44, 1682–1688. [Google Scholar] [CrossRef] [PubMed]
- McGreer, D.E.; Morris, P.; Carmichael, G. Pyrazolines: Part III. The preparation and pyrolysis of 4,5-dimethyl-3-carbomethoxy-Δ2-pyrazoline and 3,5-dimethyl-3-carbomethoxy-Δ1-pyrazoline. Can. J. Chem. 1963, 41, 726. [Google Scholar] [CrossRef]
- Fieser, M.; Fieser, L.F. Reagents for Organic Synthesis; Wiley- Interscience: New York, NY, USA, 1969; p. 211. [Google Scholar]
- Freeman, J.P. A synthesis of cyclopropyl acetates1,2. J. Org. Chem. 1964, 29, 1379. [Google Scholar] [CrossRef]
- Nakamichi, N.; Kaeashita, Y.; Hayashi, M. Oxidative aromatization of 1,3,5-trisub-stitutedpyrazolines and Hantzsch 1,4-dihydropyridines by Pd/C in acetic acid. Org. Lett. 2002, 4, 3955–3957. [Google Scholar] [CrossRef] [PubMed]
- Bhat, B.A.; Dhar, K.; Puri, S.C.; Saxena, A.K.; Shanmugavel, M.; Qazi, G.N. Synthesis and biological evaluation of chalcones and their derived pyrazoles as potential cytotoxic agents. Bioorg. Med. Chem. Lett. 2005, 15, 3177–3180. [Google Scholar] [CrossRef] [PubMed]
- Seebacher, W.; Michl, G.; Belaj, F.; Brun, R.; Saf, R.; Weis, R. One-pot syntheses of 2-pyrazoline derivatives. Tetrahedron 2003, 59, 2811–2819. [Google Scholar] [CrossRef]
- Butcher, R.J.; Jasinski, J.P.; Prasad, D.J.; Narayana, B.; Yathirajan, H.S. 3-(4-Methylphenyl)-5-[4-(methylthio)phenyl]-4,5-dihydro-1H-pyrazole-1-carbaldehyde. Acta Cryst. 2007, E63, o4,005–o4,006. [Google Scholar] [CrossRef]
- Kalirajan, R.; Sivakumar, S.U.; Jubie, S.; Gowramma, B.; Suresh, B. Synthesis and biological evaluation of some heterocyclic derivatives of Chalcones. Int. J. ChemTech. Res. 2009, 1, 27–34. [Google Scholar]
- Jain, M.S.; Chourasia, O.P.; Rao, J.T. Synthetic and antimicrobial studies of some new chalcones of 3-bromo-4-(p-tolyl sulphonamido) acetophenone. E-j. chem. 2004, 1, 178–183. [Google Scholar] [CrossRef]
- Kohle, E.P.; Chadwell, H.M. Benzalacetophenone. Org. Synth. 1922, 2, 1. [Google Scholar]
- Borovik, V.P.; Shkurko, O.P. Synthesis of isomeric bis(aminophenyl)pyrimidines from nitrochalcones. Russ. J. Appl. Chem. 2008, 81, 254–258. [Google Scholar] [CrossRef]
© 2010 by the authors; licensee Molecular Diversity Preservation International, Basel, Switzerland. This article is an open-access article distributed under the terms and conditions of the Creative Commons Attribution license (http://creativecommons.org/licenses/by/3.0/).
