Abstract
The reaction of 3-benzoylpyrrolo[2,1-c][1,4]benzothiazine-1,2,4-trione with 2,3-dimethylquinoxaline afforded 3-benzoyl-2-hydroxy-3a-[(3-methylquinoxalin-2-yl)methyl]-1H-pyrrolo[2,1-c][1,4]benzothiazine-1,4(3aH)-dione in a moderate yield. The compound was fully characterized.
1. Introduction
3a-(Quinoxalin-2-ylmethyl)pyrrolo[2,1-c][1,4]benzothiazine A (Figure 1) core is a heterocyclic hybrid of two pharmacologically promising scaffolds, 1,4-thiazine [1] and quinoxaline [2]. For example, several heterocyclic compounds with a 1,4-thiazine core were reported to show good antibacterial [3,4,5] and antihypertensive [6,7,8] activities (Figure 1). In addition, several quinoxaline-based structures were used to develop antimicrobial [9] and cytotoxic [10] agents, inhibitors of platelet-derived growth factor receptor tyrosine kinase (PDGFR) [11], acetylcholinesterase (AChE), and butyrylcholinesterase (BChE) [12] (Figure 1). Thus, structures with a 3a-(quinoxalin-2-ylmethyl)pyrrolo[2,1-c][1,4]benzothiazine A scaffold are attractive objects for medicinal and pharmaceutical studies.
Figure 1.
3a-[(Quinoxalin-2-yl)methyl]pyrrolo[2,1-c][1,4]benzothiazine core A and selected examples of pharmacologically active molecules based on the thiazine and quinoxaline scaffolds.
Recently, 3-aroylpyrrolo[1,2-a]quinoxaline-1,2,4(5H)-triones 1 ([e]-fused 1H-pyrrole-2,3-diones (FPDs) [13,14,15] bearing a quinoxaline core) were reported to react with quinaldine 2 or 2-methylquinoxalines 3, 4 to afford corresponding 3a-(quinolin-2-ylmethyl)pyrrolo[1,2-a]quinoxalines 5 or 3a-(quinoxalin-2-ylmethyl)pyrrolo[1,2-a]quinoxalines 6, 7 under mild conditions (Scheme 1) [16]. Compounds 5–7 bear isosteric moieties of the pharmacologically attractive 3a-(quinoxalin-2-ylmethyl)pyrrolo[2,1-c][1,4]benzothiazine A (Scheme 1).
Scheme 1.
Reaction of FPDs 1 with quinaldine 2 and 2-methylquinaxalines 3, 4 [13].
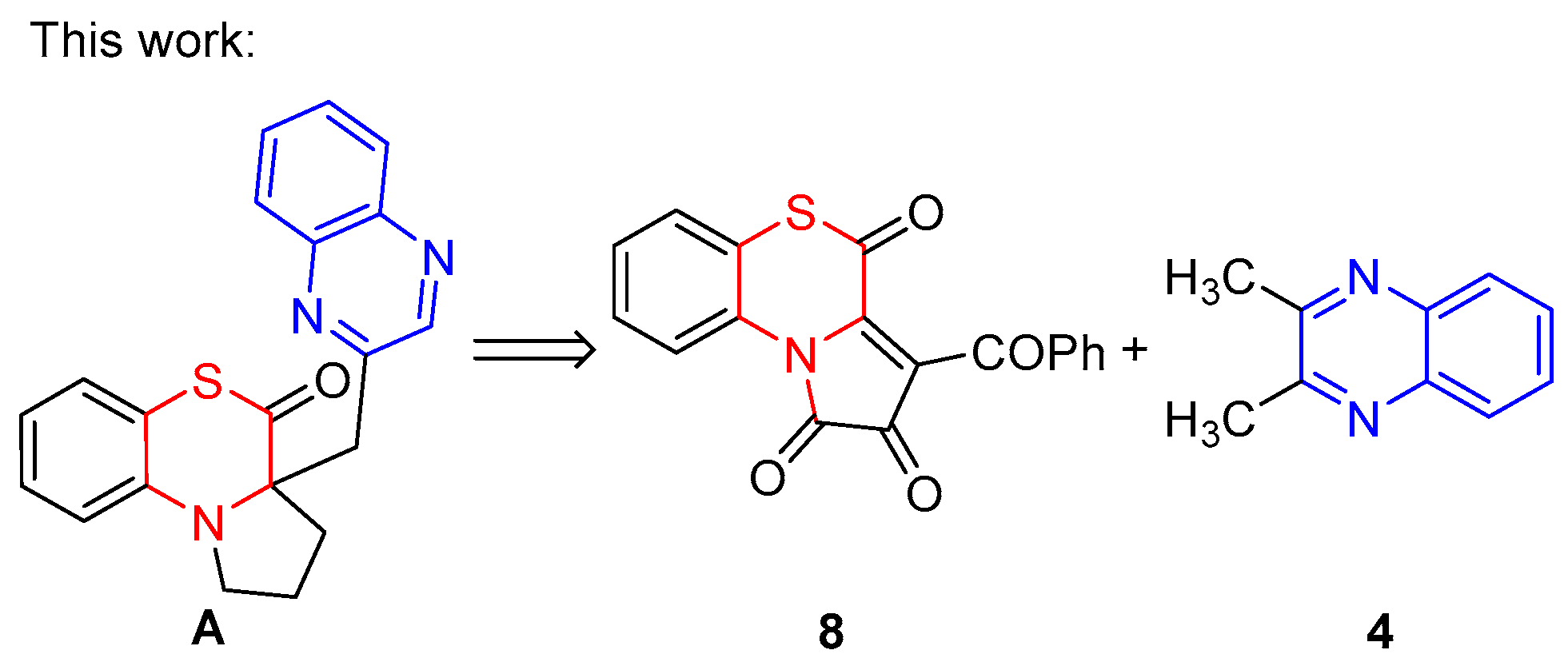
In order to achieve pharmacologically valuable 3a-(quinoxalin-2-ylmethyl)pyrrolo[2,1-c][1,4]benzothiazine A derivatives, we studied the reaction of an exemplar of a recently emerged class of FPDs bearing a 1,4-thiazine moiety (3-aroylpyrrolo[2,1-c][1,4]benzothiazine-1,2,4-triones (APBTTs) [17,18,19]), compound 8, with 2,3-dimethylquinoxaline 4 (Scheme 2).
Scheme 2.
Retrosynthetic analysis of 3a-(quinoxalin-2-ylmethyl)pyrrolo[2,1-c][1,4]benzothiazine A.
2. Results and Discussion
APBTTs are known to be prone to react with mononucleophiles NuH at three various electrophilic centers (C1, C3a, and C4), resulting in three types of products 9–11 [18] (Scheme 3). The reaction direction is highly dependent on the structure of NuH [18]. Thus, a study on the reactions of APBTTs with various nucleophiles is of high theoretical and practical interest.
Scheme 3.
Possible pathway reactions of APBTTs with mononucleophiles.
The title product 12 bearing a pursued 3a-(quinoxalin-2-ylmethyl)pyrrolo[2,1-c][1,4]benzothiazine A core was obtained in several steps (Scheme 4). Initially, benzoylpyruvic acid 13 was obtained via the Claisen condensation of acetophenone and diethyl oxalate in the presence of sodium methoxide [20]. Then, the reaction of compound 13, o-aminophenol, and dicyclohexylcarbodiimide (DCC) afforded 1,4-benzothiazinone 14 [21]. After that, acylation of compound 14 via oxalyl chloride resulted in APBTT 8 [17]. And finally, the reaction of APBTT 8 and 2,3-dimethylquinoxaline 4 afforded the title compound 12 in a moderate yield.
Scheme 4.
Synthesis of 3-benzoyl-2-hydroxy-3a-[(3-methylquinoxalin-2-yl)methyl]-1H-pyrrolo-[2,1-c][1,4]benzothiazine-1,4-(3aH)-dione 12.
Obviously, the formation of compound 12 proceeded via a nucleophilic attack of the CH2 group of the enamino–tautomer of 2,3-dimethylquinoxaline 4 on the C3a electrophilic center of APBTT 8 (Scheme 4).
The structure of compound 12 was confirmed using single-crystal X-ray analysis (CCDC 2307237, Figure 2, Figure 3 and Figure 4), IR, and NMR spectra.
Figure 2.
Molecular structure of compound 12 showing a 30% probability amplitude displacement ellipsoids (view 1).
Figure 3.
Molecular structure of compound 12 showing a 30% probability amplitude displacement ellipsoids (view 2).
Figure 4.
Molecular structure of compound 12 showing a 30% probability amplitude displacement ellipsoids (view 3).
3. Materials and Methods
3.1. General Information
1H and 13C NMR spectra (Supplementary Materials) were acquired using a Bruker Avance III 400 HD spectrometer (Bruker BioSpin AG, Faellanden, Switzerland) (at 400 and 100 MHz, respectively) in DMSO-d6 using the solvent residual signal (in 1H NMR, 2.50; in 13C NMR, 39.52) as an internal standard. The IR spectrum was recorded using a Perkin–Elmer Spectrum Two spectrometer (PerkinElmer Inc., Waltham, MA, USA) from a mull in mineral oil. Melting points were measured using a Mettler Toledo MP70 apparatus (Mettler-Toledo (MTADA), Schwerzenbach, Switzerland). Elemental analysis was conducted on a Vario MICRO Cube analyzer (Elementar Analysensysteme GmbH, Langenselbold, Germany). The single-crystal X-ray analysis of compound 12 was performed on an Xcalibur Ruby diffractometer (Agilent Technologies) (Oxfordshire, UK). The empirical absorption correction was introduced using a multi-scan method using the SCALE3 ABSPACK algorithm [22]. Using OLEX2 [23], the structures were solved with the SHELXS [24] program and refined using the full-matrix least-squares minimization in the anisotropic approximation for all non-hydrogen atoms with the SHELXL [25] program. Hydrogen atoms were positioned geometrically and refined using a riding model. All procedures with compound 8 were performed in oven-dried glassware. Benzene for procedures with compound 8 was distilled over Na before the use.
3.2. 3-Benzoyl-2-hydroxy-3a-[(3-methylquinoxalin-2-yl)methyl]-1H-pyrrolo[2,1-c][1,4]-benzothiazine-1,4-(3aH)-dione 12
A mixture of 50.0 mg (149 µmol) of APBTT 8 and 23.5 mg (149 µmol) of 2,3-dimethylquinaxaline 4 in 2 mL of anhydrous benzene was stirred in a screw-capped vial at 85 °C for 2 h (until a yellow transparent solution was formed instead of a dark violet suspension characteristic of APBTT 8). Then, the reaction mixture was cooled to room temperature. About 1 mL of the solvent was evaporated. The formed precipitate was filtered off. Then, it was stirred in 1 mL of benzene at 85 °C for 5 min. Then, the formed precipitate was filtered off to yield the title compound 12. Yield: 48 mg (65%); white powder; mp 161–163 °C (decomp.). 1H NMR (DMSO-d6, 400 MHz): δ = 11.88 (br. s, 1H), 8.08 (m, 1H), 7.91–7.84 (m, 2H), 7.74 (m, 4H), 7.57 (m, 2H), 7.50–7.41 (m, 3H), 7.34 (m, 1H), 4.12 (m, 1H), 3.24 (m, 1H), 2.66 (s, 3H) ppm. 13C NMR (DMSO-d6, 100 MHz): δ = 192.2 (C4), 191.2 (COPh), 163.8 (C1), 153.5 (C2), 152.2 (C2′=N), 151.5 (C3′=N), 139.7, 139.5, 137.6, 132.8, 129.6, 129.4, 129.1 (2C), 128.9, 128.3, 128.1 (2C), 128.1, 127.9, 126.6, 126.5, 123.3, 123.2, 111.6 (C3), 70.9 (C3a), 31.9 (CH2), 22.2 (CH3) ppm. IR (mineral oil): 3060, 1723, 1694, 1645 cm−1. Anal. Calcd. (%) for C28H19N3O4S: C 68.14; H 3.88; N 8.51. Found: C 68.10; H 3.96; and N 8.59. The crystal structure of compound 12 was deposited at the Cambridge Crystallographic Data Centre with the deposition number CCDC 2307237.
Supplementary Materials
The following supporting information can be downloaded online: copies of NMR spectra and crystallographic data for new compounds.
Author Contributions
Conceptualization, E.E.K. and E.A.L.; methodology, E.A.L.; investigation, E.A.L. (synthetic chemistry); writing—original draft preparation, E.E.K. and E.A.L.; writing—review and editing, E.E.K. and E.A.L.; supervision, E.E.K.; project administration, E.E.K.; funding acquisition E.E.K. All authors have read and agreed to the published version of the manuscript.
Funding
This work was supported by the Russian Science Foundation (RSF-22-73-00088).
Data Availability Statement
The presented data are available in this article.
Acknowledgments
The authors sincerely thank Maksim V. Dmitriev (Perm State University, Perm, Russia) for their help with single-crystal X-ray analysis.
Conflicts of Interest
The authors declare no conflict of interest.
References
- Choudhary, S.; Silakari, O. Chapter 7: Thiazine: A Versatile Heterocyclic Scaffold for Multifactorial Diseases. In Key Heterocycle Cores for Designing Multitargeting Molecules, 1st ed.; Silakari, O., Ed.; Elsevier: Amsterdam, The Netherlands, 2018; pp. 247–284. [Google Scholar] [CrossRef]
- Ajani, O.O. Present status of quinoxaline motifs: Excellent pathfinders in therapeutic medicine. Eur. J. Med. Chem. 2014, 85, 688–715. [Google Scholar] [CrossRef] [PubMed]
- Gao, L.; Hollingsworth, R.I. Design and Evaluation of Dihydroxytetrahydro-1H-pyrrolo[2,1-c]-[1,4]benzothiazines as Conformationally Restricted Transition-State Inhibitors of β-Ribosidases. J. Org. Chem. 2005, 70, 9013–9016. [Google Scholar] [CrossRef] [PubMed]
- Selvakumar, N.; Reddy, B.Y.; Kumar, G.S.; Khera, M.K.; Srinivas, D.; Kumar, M.S.; Das, J.; Iqbal, J.; Trehan, S. Synthesis of novel tricyclic oxazolidinones by a tandem SN2 and SNAr reaction: SAR studies on conformationally constrained analogues of Linezolid. Bioorg. Med. Chem. Lett. 2006, 16, 4416–4419. [Google Scholar] [CrossRef] [PubMed]
- Ellouz, M.; Sebbar, N.K.; Fichtali, I.; Ouzidan, Y.; Mennane, Z.; Charof, R.; Mague, J.T.; Urrutigoïty, M.; Essassi, E.M. Synthesis and antibacterial activity of new 1,2,3-triazolylmethyl-2H-1,4-benzothiazin-3(4H)-one derivatives. Chem. Cent. J. 2018, 12, 123. [Google Scholar] [CrossRef] [PubMed]
- Skiles, J.W.; Suh, J.T.; Williams, B.E.; Menard, P.R.; Barton, J.N.; Loev, B.; Jones, H.; Neiss, E.S.; Schwab, A. Angiotensin-converting enzyme inhibitors: New orally active 1,4-thiazepine-2,5-diones, 1,4-thiazine-2,5-diones, and 1,4-benzothiazepine-2,5-diones possessing antihypertensive activity. J. Med. Chem. 1986, 29, 784–796. [Google Scholar] [CrossRef] [PubMed]
- Corelli, F.; Manetti, F.; Tafi, A.; Campiani, G.; Nacci, V.; Botta, M. Diltiazem-like Calcium Entry Blockers: A Hypothesis of the Receptor-Binding Site Based on a Comparative Molecular Field Analysis Model. J. Med. Chem. 1997, 40, 125–131. [Google Scholar] [CrossRef] [PubMed]
- Kritz, H.; Oguogho, A.; Aghajanian, A.A.; Sinzinger, H. Semotiadil, a new calcium antagonist, is a very potent inhibitor of LDL-oxidation. Prostaglandins Leukot. Essent. Fat. Acids 1999, 61, 183–188. [Google Scholar] [CrossRef]
- Morales-Castellanos, J.J.; Ramírez-Hernández, K.; Gómez-Flores, N.S.; Rodas-Suárez, O.R.; Peralta-Cruz, J. Microwave-assisted Solvent-free Synthesis and in Vitro Antibacterial Screening of Quinoxalines and Pyrido[2,3b]pyrazines. Molecules 2012, 17, 5164–5176. [Google Scholar] [CrossRef]
- Abdelfattah, M.S.; Toume, K.; Ishibashi, M. Isolation and structure elucidation of izuminosides A–C: A rare phenazine glycosides from Streptomyces sp. IFM 11260. J. Antibiot. 2011, 64, 271–275. [Google Scholar] [CrossRef]
- Gazit, A.; App, H.; McMahon, G.; Chen, J.; Levitzki, A.; Bohmer, F.D. Tyrphostins. 5. Potent Inhibitors of Platelet-Derived Growth Factor Receptor Tyrosine Kinase: Structure—Activity Relationships in Quinoxalines, Quinolines, and Indole Tyrphostins. J. Med. Chem. 1996, 39, 2170–2177. [Google Scholar] [CrossRef]
- Suwanhom, P.; Saetang, J.; Khongkow, P.; Nualnoi, T.; Tipmanee, V.; Lomlim, L. Synthesis, Biological Evaluation, and In Silico Studies of New Acetylcholinesterase Inhibitors Based on Quinoxaline Scaffold. Molecules 2021, 26, 4895. [Google Scholar] [CrossRef]
- Konovalova, V.V.; Shklyaev, Y.V.; Maslivets, A.N. Reactions of fused pyrrole-2,3-diones with dinucleophiles. ARKIVOC 2015, i, 48–69. [Google Scholar] [CrossRef]
- Konovalova, V.V.; Maslivets, A.N. Synthesis of Spiro Compounds Based on 1H-Pyrrole-2,3-Diones. Mini-Rev. Org. Chem. 2019, 16, 173–192. [Google Scholar] [CrossRef]
- Lystsova, E.A.; Khramtsova, E.E.; Maslivets, A.N. Acyl(imidoyl)ketenes: Reactive Bidentate Oxa/Aza-Dienes for Organic Synthesis. Symmetry 2021, 13, 1509. [Google Scholar] [CrossRef]
- Konovalova, V.V.; Shklyaev, Y.V.; Maslivets, A.N. Reaction of 3-aroylpyrrolo[1,2-a]quinoxaline-1,2,4(5H)-triones with quinaldine and substituted quinoxalines. Rus. J. Org. Chem. 2015, 51, 680–685. [Google Scholar] [CrossRef]
- Khramtsova, E.E.; Lystsova, E.A.; Dmitriev, M.V.; Maslivets, A.N.; Jasiński, R. Reaction of Aroylpyrrolobenzothiazinetriones with Electron-Rich Dienophiles. ChemistrySelect 2021, 6, 6295–6301. [Google Scholar] [CrossRef]
- Lystsova, E.A.; Dmitriev, M.V.; Maslivets, A.N.; Khramtsova, E.E. Nucleophile-induced ring contraction in pyrrolo[2,1-c][1,4]benzothiazines: Access to pyrrolo[2,1-b][1,3]benzothiazoles. Beilstein J. Org. Chem. 2023, 19, 646–657. [Google Scholar] [CrossRef] [PubMed]
- Lystsova, E.A.; Novikov, A.S.; Dmitriev, M.V.; Maslivets, A.N.; Khramtsova, E.E. Approach to Pyrido[2,1-b][1,3]benzothiazol-1-ones via In Situ Generation of Acyl(1,3-benzothiazol-2-yl)ketenes by Thermolysis of Pyrrolo[2,1-c][1,4]benzothiazine-1,2,4-triones. Molecules 2023, 28, 5495. [Google Scholar] [CrossRef]
- Beyer, C.; Claisen, L. Ueber die Einführung von Säureradicalen in Ketone. Ber. Dtsch. Chem. Ges. 1887, 20, 2178–2188. [Google Scholar] [CrossRef]
- Stepanova, E.E.; Dmitriev, M.V.; Maslivets, A.N. Synthesis of 1,4-benzothiazinones from acylpyruvic acids or furan-2,3-diones and o-aminothiophenol. Beilstein J. Org. Chem. 2020, 16, 2322–2331. [Google Scholar] [CrossRef]
- CrysAlisPro, Version 1.171.37.33 (Release 27-03-2014 CrysAlis171.NET); Agilent Technologies: Santa Clara, CA, USA, 2014.
- Dolomanov, O.V.; Bourhis, L.J.; Gildea, R.J.; Howard, J.A.K.; Puschmann, H. OLEX2: A complete structure solution, refinement and analysis program. J. Appl. Cryst. 2009, 42, 339–341. [Google Scholar] [CrossRef]
- Sheldrick, G.M. A short history of SHELX. Acta Crystallogr. Sect. A Found. Crystallogr. 2008, 64, 112. [Google Scholar] [CrossRef] [PubMed]
- Sheldrick, G.M. Crystal structure refinement with SHELXL. Acta Crystallogr. Sect. C Struct. Chem. 2015, 71, 3–8. [Google Scholar] [CrossRef] [PubMed]
Disclaimer/Publisher’s Note: The statements, opinions and data contained in all publications are solely those of the individual author(s) and contributor(s) and not of MDPI and/or the editor(s). MDPI and/or the editor(s) disclaim responsibility for any injury to people or property resulting from any ideas, methods, instructions or products referred to in the content. |
© 2023 by the authors. Licensee MDPI, Basel, Switzerland. This article is an open access article distributed under the terms and conditions of the Creative Commons Attribution (CC BY) license (https://creativecommons.org/licenses/by/4.0/).







