Abstract
In this study, we examined the oxidation of (E)-2-hydroxy-1-naphthaldehyde oxime with lead tetraacetate in tetrahydrofuran that produced novel (E)-7a,8,9,10-tetrahydro-12H-naphtho[1,2-e]pyrrolo[2,1-b][1,3]oxazin-12-one oxime and 1-(pyrrolidin-1-yl)naphtho[1,2-d]isoxazole and known 7a,8,9,10-tetrahydro-12H-naphtho[1,2-e]pyrrolo-[2,1-b][1,3]oxazin-12-one in 15, 18, and 10% yields, respectively. The oxime is partially hydrolyzed to its corresponding ketone. Modifying the oxidants and reaction conditions did not improve the product yields. Based on previous studies in our laboratory, we proposed that the reactions proceed via the formation of an o-naphthoquinone nitrosomethide intermediate; 1D and 2D NMR, HRMS, IR, and UV-VIS spectra provided information that supported the structure of the products.
1. Introduction
Benzo[d]isoxazole (or 1,2-benzisoxazole) is one of the most significant scaffolds in medicinal chemistry today. 3-Substituted benzo[d]isoxazoles display a broad range of bioactivities, including antimicrobial, anticonvulsant, antitubercular, antipsychotic, anticancer, antithrombotic, and acetylcholinesterase inhibition properties [1]. The importance of these compounds is further highlighted by United States FDA-approved drugs (Figure 1) such as Zonisamide [2], an antiepileptic, and the antipsychotics, Risperidone [3] and Paliperidone [4]. The synthesis of benzo[d]isoxazoles has been adequately covered in the literature [5,6,7].
Figure 1.
FDA-approved 3-substituted benzo[d]isoxazole drugs.
Naphtho[1,2-d]isoxazoles have been studied much less. The first derivative to be reported was the parent compound, which was synthesized by the cyclodehydration of 2-hydroxy-1-naphthaldehyde oxime with acetic anhydride [8]. 2-Hydroxy-1-naphthaldehyde oxime was also cyclodehydrated to naphtho[1,2-d]isoxazole with TsCl and Et3N [9]. During the synthesis of diazonaphthoquinones from the corresponding naphthols by diazo transfer from 2-azido-1,3-dimethylimidazolinium chloride, the use of 2-hydroxy-1-naphthaldehyde afforded naphtho[1,2-d]isoxazole and 1-diazo-2(1H)naphthalenone in 70 and 10% yields, respectively [10,11]. The azido complex derived from 2-hydroxy-1-naphthaldehyde and TMSN3 in the presence of ZrCl4 underwent nitrogen extrusion reactions to produce naphtho[1,2-d]isoxazole and 2-hydroxy-1-naphthonitrile in 65 and 15% yields, respectively [12]. The synthesis of 1-substituted naphtho[1,2-d]-isoxazoles is limited to 1-aryl, phenyl, or hydroxy substituents. 1-(Aryl or phenyl)naphtho[1,2-d]isoxazoles were prepared by the oxidative cyclisation of 1-[(2-hydroxynaphthalen-1-yl)(aryl or phenyl)methyl]ureas with PhI(OAc)2 [13]. Transformation of 2-hydroxy-1-naphthonitrile and 1-bromo-4-methoxybenzene into 1-(4-methoxyphenyl)naphtho[1,2-d]isoxazole was achieved by a Barbier−Grignard-type reaction mediated by PPh3−Mg [14]. A PPh3−DIAD-triggered Mitsunobu heterocyclization of N,2-dihydroxy-1-naphthamide and diisopropyl azodicarboxylate led to naphtho[1,2-d]isoxazol-1-ol [15].
The first synthesis of parent 7a,8,9,10-tetrahydro-12H-naphtho[1,2-e]pyrrolo[2,1-b]-[1,3]oxazin-12-one was accomplished by coupling of phenyl 2-hydroxy-1-naphthoate to 3-(1,3-dioxolan-2-yl)propan-1-amine under microwave irradiation and deacetalization–bicyclization of intermediate amide using SnCl2·2H2O [16]. Six years later, the same parent compound was synthesized by a copper-catalyzed intramolecular dehydrogenative (sp3)C−O bond formation of (2-hydroxynaphthalen-1-yl)(pyrrolidin-1-yl)methanone [17].
2. Results
As illustrated in Scheme 1 and Table 1, (E)-2-hydroxy-1-naphthaldehyde oxime (2) [18] was prepared, in 96% yield, by heating commercially available 2-hydroxy-1-naphthaldehyde (1) with five equivalents of hydroxylamine hydrochloride in 95% ethanol, along with pyridine, at 60 °C for 3 h. The oxidation of (E)-2 occurred with 2 equivalents of lead(IV) acetate (LTA) in the presence of 1.5 equivalents of pyrrolidine in anhydrous THF at 0 °C for 30 min and then at room temperature for 12 h. After workup, the residue was subjected to flash column chromatography, to afford (E)-7a,8,9,10-tetrahydro-12H-naphtho[1,2-e]pyrrolo[2,1-b]-[1,3]oxazin-12-one oxime (3), 1-(pyrrolidin-1-yl)naphtho[1,2-d]isoxazole (4), and 7a,8,9,10-tetrahydro-12H-naphtho[1,2-e]pyrrolo[2,1-b][1,3]oxazin-12-one (5) [16,17] in 15, 18, and 10% yields, respectively. This experiment, the workup, and purification of products were used for all further experiments (Table 1) with appropriate changes of oxidant, equivalents of pyrrolidine, solvent, and time. Thus, to assess the effectiveness of the related reagents, phenyliodine(III) diacetate [PhI(OAc)2, PIDA], phenyliodine(III) bis(trifluoroacetate) [PhI(OCOCF3)2, PIFA], and μ-oxobis[phenyl-(trifluoromethoxy)iodine(III)] {[(PhI(OCOCF3)]2O, μ-oxo-bridged PIFA}, the experiment was conducted three times, each time substituting LTA with one of these reagents. Because μ-oxo-bridged PIFA was insoluble in THF, DCM was used instead (Table 1, entry 6). The results showed that the yields of (E)-3, 4, and 5 after the oxidation of (E)-2 with PIDA in THF were lower than the corresponding yields of (E)-2 with LTA in THF. (E)-2 with PIFA in THF produced even lower yields of (E)-3, 4, and 5. The oxidation of (E)-2 with μ-oxo-bridged PIFA in DCM resulted in six faint spots and polar material that moved on TLC as a streak when eluted with methanol. It was thus concluded that attempting to separate the components of this reaction by flash column chromatography or HPLC would not be of any synthetic value. The oxidation of (E)-2 with PIDA or PIFA in DCM followed the same trend and produced lower yields of (E)-3, 4, and 5 than the corresponding yields of (E)-2 with LTA in THF. Again, the yields of (E)-3, 4, and 5 from (E)-2 and PIFA in DCM are again lower than the respective yields from (E)-2 and PIDA in DCM (Table 1, entries 4 and 5). Better yields, but slightly lower than the first reaction (Table 1, entry 1), were obtained from (E)-2 and PIDA in MeCN (Table 1, entry 7). Since PIDA was shown to be the next promising oxidant after LTA, the next three oxidations used 3.0 equivalents of PIDA and 2.5 equivalents of pyrrolidine in THF, DCM, or MeCN (Table 1, entries 8, 9, and 10). The starting material (E)-2 in these reactions was consumed in 8 h, and three main spots, together with several faint spots and a polar spot, appeared after TLC examination, while workup and the separation of products by flash column chromatography was similar to the first reaction (Table 1, entry 1). The yields of (E)-3, 4, and 5 from the oxidation of (E)-2 with PIDA in THF, DCM, or MeCN were again lower than the corresponding yields from the oxidation of (E)-2 by LTA in THF (Table 1, entry 1). Therefore, increasing the equivalents of PIDA and pyrrolidine, as well as conducting the oxidations in three different solvents, did not affect the outcome of the reaction or substantially alter the yields of the three products.
Scheme 1.
Synthesis of oxime (E)-2 and its oxidation using LTA, PIDA, PIFA, or μ-oxo-bridged PIFA in THF, DCM, or MeCN with pyrrolidine as the nucleophile for 8 or 12 h (Table 1).
Table 1.
Screening of oxidants and reaction conditions 1.
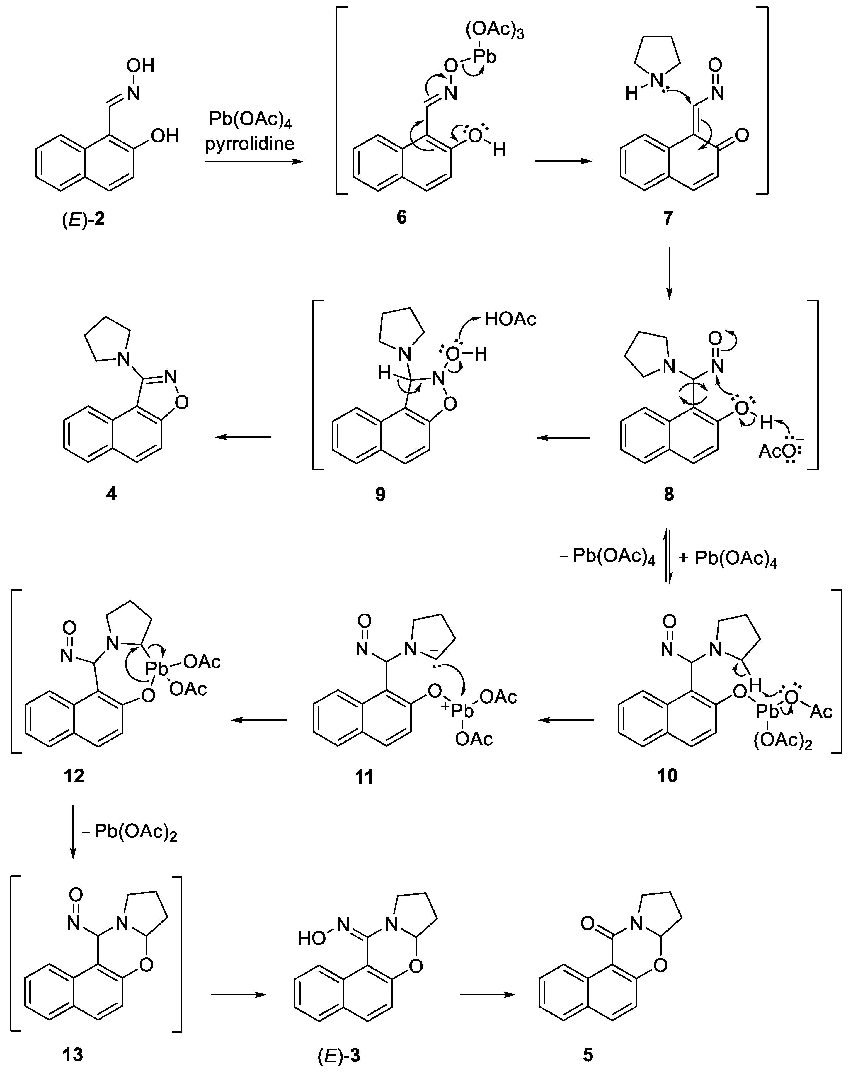
For the formation of products (E)-3, 4, and 5, we propose (Scheme 2) that the oxygen atom of the aldoxime group of (E)-2 displaces the acetate anion from LTA to form the organolead intermediate 6, having eliminated acetic acid. From complex 6, lead(II) acetate and acetic acid are eliminated to furnish o-naphthoquinone nitrosomethide 7, which then undergoes Michael addition by pyrrolidine onto the N=O bearing exocyclic alkene carbon atom to afford nitroso adduct 8. Cyclization of 8 by a 5-exo-trig addition reaction between hydroxy and nitroso groups forms the intermediate 1-pyrrolidin-1-ylnaphtho[1,2-d]isoxazol-2(1H)-ol 9. Elimination of water from 9 affords 4. On the other hand, a free rotation about the benzylic σ-bond of 8 and reaction of the naphthol OH with LTA leads to organolead intermediate 10. Intramolecular abstraction of the acidic proton of the pyrrolidine group in 10 and elimination of acetic acid gives zwitterionic intermediate 11, which cyclizes to intermediate naphthopyrrolo-oxazaplumbepine 12. Rearrangement of the lead and oxygen atoms in compound 12 affords 12-nitrosonaphthopyrrolooxazine 13, which in the presence of acid tautomerizes to the oxime (E)-3. The oxime is unstable in the presence of LTA and is partially hydrolyzed to the ketone 5.
Scheme 2.
Proposed mechanism for oxidative generation of o-naphthoquinone nitrosomethide 7 from (E)-2-hydroxy-1-naphthaldehyde oxime (2), Michael addition, and further reactions.
3. Discussion
In our earlier work, the oxidative cyclisation of (E)-2 with LTA in THF led to the formation of 4-hydroxynaphtho[1,8-de][1,2]oxazine 14 and naphtho[1,2-d]isoxazole 2-oxide 15 [19]. The latter compound was isolated only once by chance. Thereafter, whenever the reaction was repeated, 14 and spiro dimer 16 were isolated (Scheme 3) [20]. Oxidative peri-cyclization and alkoxylation of (E)-2 to 3a-alkoxynaphtho[1,8-de][1,2]oxazin-4(3aH)-ones 17 was achieved using PhI(OAc)2 in various aliphatic alcohols. When the alcohol in this reaction was the non-nucleophilic t-BuOH, only oxidative peri-cyclization occurred to give 14 [21]. These reactions have been rationalized by invoking the agency of the peri-orientated o-naphthoquinone nitrosomethide 18 generated from the oxidation of oxime (E)-2. The intriguing structural features reflected in the reactivity profile of this intermediate have been reported [22,23].
Scheme 3.
Earlier work on the reactions of (E)-2-hydroxy-1-naphthaldehyde oxime (2) with Pb(OAc)4 and PhI(OAc)2. Analogously, products 21 and 22 could be expected for the reaction of (E)-2.
At the start of the present work, we repeated the oxidation of (E)-2 with LTA in THF (Scheme 3), but this time, we added pyrrolidine as a nucleophile (Table 1, entry 1). We anticipated that the in situ generated o-naphthoquinone nitrosomethide 7 (Scheme 2) would function as a Michael acceptor towards pyrrolidine and form nitroso intermediate 8 (Scheme 2). The latter is expected to tautomerize to oxime 19, oxidize to o-naphthoquinone nitrosomethide 20, and then undergo 6π-electrocyclization to 21. In the literature, there are many examples of 3-substituted benzo[d]isoxazole 2-oxides [24,25]. The same reaction is also expected to produce 14 and 16 (Scheme 3), depending on the efficiency of the competing Michael addition. The use of PIDA instead of LTA in the oxidation of (E)-2 with pyrrolidine (Table 1, entries 2, 4, 7–10) was anticipated to furnish naphthooxazinone 22, based on the reaction that gave 17. Compounds 14, 16, 21, and 22 were absent in all the reactions listed in Table 1.
Products (E)-3 and 4 were fully characterized using 1H and 13C NMR, DEPT-135, 1H-1H COSY, 1H-13C HSQC, 1H-13C HMBC, IR and UV–VIS spectra, and HRMS spectra (see Supplementary Materials for the mentioned spectra) that confirmed their molecular formula. The UV–VIS spectrum of (E)-3 showed two strong absorptions at 284.6 nm and 339.2 nm, which do not fall within the absorption range typically observed for unsubstituted naphthalene (214.4 and 233.0 nm) [26]. This is probably due to different sample concentrations. In the IR spectrum, the (OH) str. absorption band is not visible in the region 3400–3300 cm−1 probably due to hydrogen bonding; the absorption band at 3063 (w) cm−1 was assigned to aromatic C-H str. and at 2910 (w) to aliphatic C-H str., while the absorption bands at 1618 (m) and 1588 (m) cm−1 were assigned to aromatic C=C str. vibrations. In the 1H NMR spectrum of product (E)-3 in CDCl3, the broad singlet at 10.05 ppm represented the proton of the hydroxyl group. In the aromatic region, the most downfield proton, a doublet at 8.63 ppm, was assigned to H-1 of the naphthalene ring. The remaining five protons of the naphthalene ring were determined to be a doublet at 7.82 ppm of H-5, a doublet at 7.77 ppm of H-4, a triplet at 7.51 ppm of H-2, a triplet at 7.36 ppm of H-3, and a doublet at 7.22 ppm of H-6. A doublet of doublets at 5.98 ppm was assigned to the aliphatic H-7a of the pyrrolidine ring. The remaining three multiplets in the pyrrolidine ring at 3.11–2.98, 2.30–2.16, and 1.82–1.67 ppm, each integrated for two protons, were assigned to the three methylene groups at H-10, H-8, and H-9, respectively. The connectivity of those protons was supported by the 1H-1H COSY spectrum. The 13C NMR spectrum in CDCl3 showed 15 signals as expected. Furthermore, complete 1H and 13C NMR chemical shift assignments of compound (E)-3 were determined from 1H-13C HSQC and 1H-13C HMBC experiments. A DEPT-135 experiment also supported these findings. High-resolution mass spectrometry analysis by ESI confirmed the expected molecular ion at m/z = 255.1125 [M + H]+, which was calculated for C15H15N2O2+ m/z = 255.1128. The 1H and 13C NMR spectroscopic data of compound 5 are in good agreement with the corresponding published data [17]. In the 1H NMR spectrum of 5 in CDCl3, the region from 9.15 ppm to 7.14 ppm showed a total of six aromatic protons. The singlet at 5.56 ppm corresponded to the aliphatic proton of the pyrrolidine ring, while the peaks at 4.03 and 3.67 ppm, 2.49 and 2.42–2.34 ppm, and 2.18 and 2.03 ppm each integrated for one proton, with the pairs of peaks assigned to the three methylene groups in the pyrrolidine ring. The 13C NMR spectrum in CDCl3 showed 15 signals that agreed with the number of carbon atoms in the molecule. Furthermore, high-resolution mass spectrometry analysis that was recorded by ESI confirmed the expected molecular ion at m/z = 240.1017 [M + H]+, which was calculated for C15H14NO2+ m/z = 240.1019. The 1H NMR peaks in compound (E)-3 were in a similar ppm range to those in compound 5. Additionally, the peak at 161.45 ppm in the 13C NMR spectrum of 5, which was assigned to the carbonyl group, was not observed in the 13C NMR spectrum of (E)-3. These observations provide additional support for the proposed structure of (E)-3. The UV–VIS spectrum of compound 4 showed three strong absorptions at 214.4, 233.0, and 249.6 nm. The first two are within the range of the absorptions found in unsubstituted naphthalene [26] and the third is within the range of the absorptions found in substituted isoxazoles [27]. In the IR spectrum, the absorption band at 3056 (w) cm−1 was assigned to aromatic C–H str., and at 2974 (w) and 2874 (w) cm−1 to aliphatic C–H str., while the absorption bands at 1647 (m) and 1618 (m) cm−1 were assigned to aromatic C=C str. vibrations. In the 1H NMR spectrum of product 4 in CDCl3, the doublets at 8.29 and 7.79 ppm each integrated for one proton and corresponded to H-9 and H-6, respectively. The multiplet at 7.43 ppm integrated for one proton and corresponded to H-8, while the multiplet at 7.42 ppm integrated for two protons and corresponded to H-4 and H-5. The triplet at 7.34 ppm integrated for one proton and was assigned to H-7. Thus, the total number of aromatic protons was six. The aliphatic signals at 3.65 ppm integrate for four protons and, together with the signals at 1.98 ppm that also integrate for four protons, represent the eight protons of the N-substituted pyrrolidine ring and were assigned to H-2′,5′ and H-3′,4′, respectively. The connectivity of those protons was supported by the 1H-1H COSY spectra. The 13C NMR spectrum showed 13 signals. Signals at 47.7 ppm and 25.8 ppm contained two equivalent carbon atoms, each bringing the total number of carbon atoms to 15, as expected. A DEPT-135 experiment also supported these findings. Moreover, complete 1H and 13C NMR chemical shift assignments of compound 4 were determined from 1H-13C HSQC and 1H-13C HMBC experiments. In the 1H NMR spectrum of parent naphtho[1,2-d]isoxazole in CDCl3, there was a singlet at 9.11 ppm that corresponded to the imine proton [9]. This proton was absent in the 1H NMR spectrum of product 4. This observation excluded compound 22 from being a product since in the related compound 17, the imine proton appears as a singlet in the region 8.33 ppm to 8.15 ppm. High-resolution mass spectrometry analysis, using ESI, confirmed the expected molecular ion of 4 at m/z = 239.1173 [M + H]+, which was calculated for C15H15N2O+ m/z = 239.1178. The calculated m/z = 255.1134 for C15H15N2O2+ [M + H]+ of 21 did not appear in the HRMS spectrum of 4.
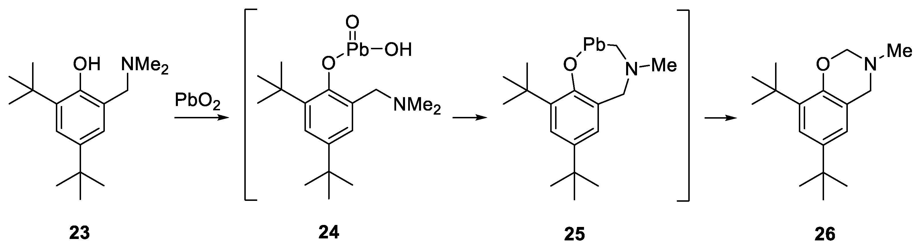
Scheme 2 describes the proposed mechanism of the oxidation of (E)-2 to 4, (E)-3 and 5, where an analogy to the intermediacy of cyclic organolead intermediate 12 has been reported by Belostotskaya and co-workers [28] who oxidatively cyclized o-(dimethylaminomethyl)phenol 23 into 1,3-benzoxazine 26 (Scheme 4), via the proposed cyclic organolead intermediate 25. In the last step of the mechanism outlined in Scheme 2, it was proposed that oxime (E)-3 undergoes partial hydrolysis to form the ketone 5. The reaction of ketoximes with Koser’s reagent [PhI(OH)OTs] in tetrahydrofuran was reported [29] to afford the corresponding ketones, supporting this hypothesis.
Scheme 4.
Proposed mechanism by Belostotskaya and co-workers for the oxidation of 23 to 1,3-benzoxazine 26 via the cyclic organolead intermediate 25.
Our expectation from the present research was that the main product of this reaction would be 1-(pyrrolidin-1-yl)naphtho[1,2-d]isoxazole (4), and we had hoped that this would provide a method to introduce nucleophiles in position 1 of naphtho[1,2-d]isoxazole. While there was initial interest in synthesizing a series of 3-substituted naphtho[1,2-d]isoxazole derivatives to explore their biological activities, the low yield of compound 4 and the consistent formation of products (E)-3 and 5 in all reaction trials ultimately reduced enthusiasm for the project.
4. Materials and Methods
All reactions were carried out under a N2 atmosphere. Solvents and reagents were used as received from the manufacturers (Aldrich, Acros, and Alfa Aesar) except for DCM, EtOAc, and hexane, which were purified and dried according to recommended procedures. Organic solutions were concentrated by rotary evaporation at 23–40 °C under reduced pressure (15 Torr). Melting points were taken on a Büchi 510 apparatus (Büchi Labortechnik AG, Switzerland). The IR spectra were acquired on an Agilent Cary 630 FTIR spectrophotometer (Agilent Technologies, Santa Clara, CA, USA) as a solid and reported in wave numbers (cm−1). The UV spectra were recorded using a Jasco V-630 UV-Vis spectrophotometer (Jasco Europe s.r.l., Cremella, Italy). The samples were measured in a 1 cm quartz cell at room temperature in MeCN with concentrations of 9 × 10−2 mM for (E)-3, 25 × 10−6 mM for 4, and 1 × 10−1 mM and 1 × 10−2 mM for 5. Samples for 1H and 13C NMR experiments were dissolved in dry CDCl3 and were recorded using Bruker Avance 400 MHz and Avance NEO 500 MHz spectrometers (Brüker BioSpin GmbH, Rheinstetten, Germany). The Avance NEO spectrometer was equipped with a cryoprobe (NEO-TCPI), and all NMR experiments were performed at 298 K. The chemical shifts (δ) were reported in ppm and referenced to the residual solvent signal. Coupling constants (J) were given in Hz. The high-resolution ESI mass spectra were measured on a Thermo Fisher Scientific Orbitrap XL system (Thermo Fisher Scientific, Waltham, MA, USA). Analytical thin layer chromatography (TLC) was performed with Merck 70–230-mesh silica gel precoated TLC aluminum plates. TLC plates were observed under UV light at 254 and 365 nm. Flash column chromatography was carried out using Carlo Erba Reactifs-SDS silica gel 60.
General Methodology for the Synthesis of (E)-7a,8,9,10-Tetrahydro-12H-naphtho[1,2-e]pyrrolo[2,1-b][1,3]oxazin-12-one oxime (3), 1-(Pyrrolidin-1-yl)naphtho[1,2-d]isoxazole (4), and 7a,8,9,10-Tetrahydro-12H-naphtho[1,2-e]pyrrolo-[2,1-b][1,3]oxazin-12-one (5)
To a stirred solution of (E)-2-hydroxy-1-naphthaldehyde oxime (2) (200 mg, 1.068 mmol, 1 equiv) in dry THF (10 mL) at 0 °C, under a nitrogen atmosphere, pyrrolidine (113 mg, 1.6 mmol, 1.5 equiv) was added followed by a slow addition of Pb(OAc)4 (940 mg, 2.136 mmol, 2 equiv). The reaction was stirred at 0 °C for 30 min and then at room temperature for 12 h. TLC examination revealed the absence of the starting material spot and the presence of three new spots (visualized under a UV lamp). A 5% solution of NaHCO3 (20 mL) was added dropwise to bring the pH = 7–8. The THF/H2O reaction mixture was extracted with DCM (3 × 10 mL), the combined organic extracts were washed with brine (20 mL), dried over anhydrous Na2SO4, and the solvent was removed under reduced pressure. The acquired brown oil was purified by flash column chromatography (10% EtOAc in hexane) to give (E)-3 (42 mg, 15% yield) as a brown solid, 4 (43 mg, 18% yield) as a yellow solid, and 5 (26 mg, 10% yield) as a light brown solid.
(E)-7a,8,9,10-Tetrahydro-12H-naphtho[1,2-e]pyrrolo[2,1-b][1,3]oxazin-12-one oxime (3). Rf = 0.35 (EtOAc/hexane, 20:80); m.p. 65–67 °C; UV-VIS (MeCN), nm (9 × 10−2 mM): λmax 284.6 (log ε 12,264), 339.2 (log ε 6318); FTIR (solid) cm−1: 3063 (w), 2910 (m), 1618 (m), 1588 (m); 1H NMR (400 MHz, CDCl3) δ 10.02 (s, 1H, OH), 8.63 (d, J = 8.7 Hz, 1H, H-1), 7.82 (d, J = 9.0 Hz, 1H, H-5), 7.77 (d, J = 8.1 Hz, 1H, H-4), 7.51 (t, J = 7.8 Hz, 1H, H-2), 7.36 (t, J = 7.5 Hz, 1H, H-3), 7.22 (d, J = 8.9 Hz, 1H, H-6), 5.98 (dd, J = 4.7, 1.5 Hz, 1H, H-7a), 3.11–2.98 (m, 2H, CH2-10), 2.30–2.16 (m, 2H, CH2-8), 1.82–1.67 (m, 2H, CH2-9); 13C NMR (100.6 MHz, CDCl3) δ 158.4 (C-12), 157.4 (C-6a), 133.5 (C-5), 131.9 (C-12b), 128.8 (C-4a), 128.7 (C-4), 127.7 (C-2), 124.7 (C-1), 123.8 (C-3), 118.7 (C-6), 102.5 (C-12a), 98.5 (C-7a), 52.7 (C-10), 33.7 (C-8), 23.3 (C-9); HRMS (ESI): m/z [M + H]+ calcd. for C15H15N2O2+: 255.1128. Found: 255.1125.
(Pyrrolidin-1-yl)naphtho[1,2-d]isoxazole (4). Rf = 0.20 (EtOAc/hexane, 20:80); m.p. 91–93 °C; UV-VIS (MeCN), nm (25 × 10−6 mM): λmax 214.4 (log ε = 29,368), 233.0 (log ε = 21,404), 249.6 (log ε = 22,156), 289.4 (log ε = 4246), 310.6 (log ε = 4936), 338.8 (log ε = 7152); FTIR (solid) cm−1: 3056 (w), 2974 (w), 2874 (w), 1647 (m), 1618 (s); 1H NMR (400 MHz, CDCl3) δ 8.29 (d, J = 8.2 Hz, 1H, H-9), 7.79 (d, J = 8.2 Hz, 1H, H-6), 7.42 (s, 3H, H-4, H-5, H-8), 7.34 (ddd, J = 8.2, 6.8, 1.3 Hz, 1H, H-7), 3.65 (s, 4H, H-2′, H-5′), 1.98 (s, 4H, H-3′, H-4′); 13C NMR (100.6 MHz, CDCl3) δ 161.3 (C-1), 145.1 (C-9b), 138.8 (C-5a), 131.2 (C-9a), 128.5 (C-6), 125.6 (C-8), 125.0 (C-3a), 124.6 (C-7), 122.5 (C-9), 120.4 (C-5), 109.8 (C-4), 47.7 (C-2′, C-5′), 25.8 (C-3′, C-4′); HRMS (ESI): m/z [M + H]+ calcd. for C15H15N2O+: 239.1178. Found: 239.1173.
7a,8,9,10-Tetrahydro-12H-naphtho[1,2-e]pyrrolo[2,1-b][1,3]oxazin-12-one (5). Rf = 0.10 (EtOAc/hexane, 20:80); m.p. 118–120 °C; UV-VIS (MeCN), nm (1 × 10−1 mM): λmax 276.2 (log ε = 3201), 289.2 (log ε = 3628), 300.6 (log ε = 4110), 341.4 (log ε = 3399), 356.6 (log ε = 2474), 390.8 (log ε = 639), 409.8 (log ε = 521), nm (1 × 10−2 mM): λmax 212.0 (log ε = 55,450), 224.2 (log ε = 56,120), 251.2 (log ε = 38,180), FTIR (solid) cm−1: 3068 (w), 2919 (m), 1739 (m), 1625 (m), 1521 (m); 1H NMR (400 MHz, CDCl3) δ 9.15 (d, J = 8.6 Hz, 1H), 7.91 (d, J = 8.9 Hz, 1H), 7.80 (d, J = 8.2 Hz, 1H), 7.67–7.59 (m, 1H), 7.46 (t, J = 7.5 Hz, 1H), 7.14 (d, J = 8.9 Hz, 1H), 5.56 (dd, J = 6.0, 4.4 Hz, 1H), 4.03 (dt, J = 13.2, 6.8 Hz, 1H), 3.67 (dt, J = 12.3, 6.8 Hz, 1H), 2.49 (dt, J = 13.3, 6.7 Hz, 1H), 2.42–2.34 (m, 1H), 2.18 (dt, J = 13.4, 6.8 Hz, 1H), 2.03 (td, J = 13.1, 6.5 Hz, 1H); 13C NMR (100.6 MHz, CDCl3) δ 161.6, 157.8, 135.0, 131.9, 130.2, 128.5, 128.3, 126.2, 125.0, 117.1, 112.6, 88.3, 45.2, 32.3, 22.1; spectroscopic data are in agreement with those reported in the literature [17]. HRMS (ESI): m/z [M + H]+ calcd. for C15H14NO2+: 240.1019. Found: 240.1017.
Supplementary Materials
The following supporting information can be downloaded. Figure S1: 1H NMR spectrum of compound (E)-3; Figure S2: 13C NMR spectrum of compound (E)-3; Figure S3: DEPT-135 13C NMR spectrum of compound (E)-3; Figure S4: 1H-1H COSY NMR spectrum of compound (E)-3; Figure S5: 1H-13C HSQC NMR spectrum of compound (E)-3; Figure S6: 1H-13C HMBC spectrum of compound (E)-3; Figure S7: 1H and 13C NMR chemical shift assignments of compound (E)-3; Figure S8: HRMS (ESI) spectrum of compound (E)-3; Figure S9: IR spectrum of compound (E)-3; Figure S10: UV spectrum of compound (E)-3; Figure S11: 1H NMR spectrum of compound 4; Figure S12: 13C NMR spectrum of compound 4; Figure S13: DEPT-135 13C NMR spectrum of compound 4; Figure S14: 1H-1H COSY NMR spectrum of compound 4; Figure S15: 1H-13C HSQC NMR spectrum of compound 4; Figure S16: 1H-13C HMBC NMR spectrum of compound 4; Figure S17: 1H and 13C NMR chemical shift assignments of compound; Figure S18: HRMS (ESI) spectrum of compound 4; Figure S19: IR spectrum of compound 4; Figure S20: UV spectrum of compound 4; Figure S21: 1H NMR spectrum of compound 5; Figure S22: 13C NMR spectrum of compound 5 Figure S23: HRMS (ESI) spectrum of compound 5; Figure S24: IR spectrum of compound 5; Figure S25: UV spectra of compound 5.
Author Contributions
Conceptualization, G.V. and P.G.T. (Petros G. Tsoungas); methodology, I.E.G.; investigation, A.k.S., I.E.G., D.A., P.G.T. (Panteleimon G. Takis) and A.N.T.; writing—original draft preparation, G.V.; writing—review and editing, G.V. and P.G.T. (Petros G. Tsoungas); supervision, G.V.; project administration, G.V. All authors have read and agreed to the published version of the manuscript.
Funding
This research received no external funding.
Data Availability Statement
Data are contained within the article and supplementary materials.
Acknowledgments
We appreciate the use of NMR and mass spectrometry facilities funded by the Network of Research Supporting Laboratories of the University of Ioannina and thank Vasiliki Boti for providing high-resolution mass spectra.
Conflicts of Interest
The authors declare no conflicts of interest.
Abbreviations
The following abbreviations are used in this manuscript:
| LTA | Lead tetraacetate |
| PIDA | Phenyliodine(III) diacetate |
| PIFA | Phenyliodine(III) bis(trifluoroacetate) |
| μ-Oxo-bridged PIFA | μ-Oxo-bis[phenyl(trifluoromethoxy)iodine(III)] |
References
- Rakesh, K.P.; Shantharam, C.S.; Sridhara, M.B.; Manukumar, H.M.; Qin, H.L. Benzisoxazole: A Privileged Scaffold for Medicinal Chemistry. Med. Chem. Comm. 2017, 8, 2023–2039. [Google Scholar] [CrossRef] [PubMed]
- Schulze-Bonhage, A. Zonisamide in the Treatment of Epilepsy Schulze-Bonhage Zonisamide. Expert. Opin. Pharmacother. 2010, 11, 115–126. [Google Scholar] [CrossRef]
- Harrison, T.C.; Goa, K.L.; Beauclair, L. Long-Acting Risperidone. A Review of Its Use in Schizophrenia. CNS Drugs 2004, 18, 113–132. [Google Scholar] [CrossRef]
- Solanki, P.V.; Uppelli, S.B.; Pandit, B.S.; Mathad, V.T. An Improved and Efficient Process for the Production of Highly Pure Paliperidone, a Psychotropic Agent, via DBU Catalyzed N-Alkylation. ACS Sustain. Chem. Eng. 2013, 1, 243–248. [Google Scholar] [CrossRef]
- Lukoyanov, A.A.; Aksenova, S.A.; Tabolin, A.A.; Sukhorukov, A.Y. 3-Halo-5,6-Dihydro-4 H-1,2-Oxazine N -Oxides as Synthetic Equivalents of Unsaturated Nitrile Oxides in the [3 + 2]-Cycloaddition with Arynes: Synthesis of Substituted 3-Vinyl-1,2-Benzisoxazoles. Org. Biomol. Chem. 2024, 22, 3615–3621. [Google Scholar] [CrossRef] [PubMed]
- Shastri, R. Review on Synthesis of 3-Substituted 1,2-Benzisoxazole Derivatives. Chem. Sci. Trans 2016, 5, 8–20. [Google Scholar] [CrossRef]
- Giomi, D.; Cordero, F.M.; Machetti, F. Isoxazoles. In Comprehensive Heterocyclic Chemistry III; Katritzky, A.R., Ramsden, C.A., Scriven, E.F.V., Taylor, R.J.K., Eds.; Elsevier Science: Oxford, UK, 2008; Volume 4, pp. 365–485. [Google Scholar]
- Mahadevan, K.M.; Vaidya, V.P.; Vagdevi, H.M. Synthesis of Novel Naphtho[2,1-b]Furopyrimidine Derivatives. Indian. J. Chem. Sect. B 2003, 42, 1931–1936. [Google Scholar] [CrossRef]
- Dale, T.J.; Sather, A.C.; Rebek, J. Synthesis of Novel Aryl-1,2-Oxazoles from Ortho-Hydroxyaryloximes. Tetrahedron Lett. 2009, 50, 6173–6175. [Google Scholar] [CrossRef]
- Kitamura, M.; Sakata, R.; Tashiro, N.; Ikegami, A.; Okauchi, T. Synthesis of Diazonaphthoquinones from Naphthols by Diazo-Transfer Reaction. Bull. Chem. Soc. Jpn. 2015, 88, 824–833. [Google Scholar] [CrossRef]
- Kitamura, M.; Tashiro, N.; Sakata, R.; Okauchi, T. Synthesis of Diazonaphthoquinones from Naphthols by Diazo-Transfer Reaction with 2-Azido-1,3-Dimethylimidazolinium Chloride. Synlett 2010, 2010, 2503–2505. [Google Scholar] [CrossRef]
- Nimnual, P.; Tummatorn, J.; Thongsornkleeb, C.; Ruchirawat, S. Utility of Nitrogen Extrusion of Azido Complexes for the Synthesis of Nitriles, Benzoxazoles, and Benzisoxazoles. J. Org. Chem. 2015, 80, 8657–8667. [Google Scholar] [CrossRef] [PubMed]
- Shelke, A.; Bhong, B.; Karade, N. Oxidation of 1-Amidoalkyl-2-Naphthols Using (Diacetoxyiodo)Benzene: Unusual Formation of 1-Arylnaphtho[1,2-d]Isoxazoles. Synthesis 2014, 46, 752–756. [Google Scholar] [CrossRef]
- Chen, G.; Liu, H.; Li, S.; Tang, Y.; Lu, P.; Xu, K.; Zhang, Y. A Novel PPh 3 Mediated One-Pot Method for Synthesis of 3-Aryl or Alkyl 1,2-Benzisoxazoles. Org. Lett. 2017, 19, 1792–1795. [Google Scholar] [CrossRef]
- Van Eker, D.; Chauhan, J.; Murphy, W.A.; Conlon, I.L.; Fletcher, S. Chromatography-Free, Mitsunobu-Triggered Heterocyclizations of Salicylhydroxamic Acids to 3-Hydroxybenzisoxazoles. Tetrahedron Lett. 2016, 57, 5301–5303. [Google Scholar] [CrossRef]
- Cayley, A.; Gallagher, K.; Ménard-Moyon, C.; Schmidt, J.; Diorazio, L.; Taylor, R. Preparation of Novel Polycyclic Heterocycles Using a Tin(II) Chloride Dihydrate-Mediated Deacetalisation-Bicyclisation Sequence. Synthesis 2008, 2008, 3846–3856. [Google Scholar] [CrossRef]
- Modak, A.; Dutta, U.; Kancherla, R.; Maity, S.; Bhadra, M.; Mobin, S.M.; Maiti, D. Predictably Selective (sp3)C-O Bond Formation through Copper Catalyzed Dehydrogenative Coupling: Facile Synthesis of Dihydro-Oxazinone Derivatives. Org. Lett. 2014, 16, 2602–2605. [Google Scholar] [CrossRef]
- Whiting, E.; Lanning, M.E.; Scheenstra, J.A.; Fletcher, S. Chromatography-Free Entry to Substituted Salicylonitriles: Mitsunobu-Triggered Domino Reactions of Salicylaldoximes. J. Org. Chem. 2015, 80, 1229–1234. [Google Scholar] [CrossRef]
- Supsana, P.; Tsoungas, P.G.; Varvounis, G. A Novel One-Pot Synthesis of Isomeric Naphtho[1,2-d]Isoxazole 2-Oxide and Naphtho[1,8-de][1,2]Oxazine Ring Systems. A Case of Simultaneous o- and Peri-Cyclisation in Naphthalene. Tetrahedron Lett. 2000, 41, 1845–1847. [Google Scholar] [CrossRef]
- Supsana, P.; Tsoungas, P.G.; Aubry, A.; Skoulika, S.; Varvounis, G. Oxidation of 1-Acyl-2-Naphthol Oximes: peri- and o-Cyclisation and Spiro Cyclodimerisation of Naphthoquinone Nitrosomethide Intermediates. Tetrahedron 2001, 57, 3445–3453. [Google Scholar] [CrossRef]
- Dolka, C.; Van Hecke, K.; Van Meervelt, L.; Tsoungas, P.G.; Van der Eycken, E.V.; Varvounis, G. Novel Thermal and Microwave-Assisted Facile Route to Naphthalen-2(1H)-Ones via an Oxidative Alkoxylation-Ring-Opening Protocol. Org. Lett. 2009, 11, 2964–2967. [Google Scholar] [CrossRef]
- Kozielewicz, P.; Tzeli, D.; Tsoungas, P.G.; Zloh, M. Arene-Fused 1,2-Oxazole N-Oxides and Derivatives. The Impact of the N–O Dipole and Substitution on Their Aromatic Character and Reactivity Profile. Can It Be a Useful Structure in Synthesis? A Theoretical Insight. Struct. Chem. 2014, 25, 1837–1846. [Google Scholar] [CrossRef]
- Pal, S.; Khan, M.N.; Karamthulla, S.; Choudhury, L.H. Synthesis of Pyranocoumarin Fused Spirooxindoles via Knoevenagel/Michael/Cyclization Sequence: A Regioselective Organocatalyzed Multicomponent Reaction. Tetrahedron Lett. 2015, 56, 359–364. [Google Scholar] [CrossRef]
- Tsoungas, G.P.; Cordopatis, P.; Gardikis, Y.; Potamitis, C.; Zervou, M. Xanthones in Heterocyclic Synthesis. An Efficient Route for the Synthesis of C-3 o-Hydroxyaryl Substituted 1,2-Benzisoxazoles and Their N-Oxides, Potential Scaffolds for Angiotensin(II) Antagonist Hybrid Peptides. Heterocycles 2011, 83, 1077–1091. [Google Scholar] [CrossRef]
- Jadhav, V.K.; Deshmukh, A.P.; Wadagaonkar, P.P.; Salunkhe, M.M. Sodium Perborate: A Facile Synthesis of 1,2-Benzisoxazole 2-Oxides. Synth. Commun. 2000, 30, 1521–1527. [Google Scholar] [CrossRef]
- Hesse, M.; Meier, H.; Zeeh, B. (Eds.) Spectroscopic Methods in Organic Chemistry; Georg Thieme Verlag: Stuttgart, Germany, 2008; ISBN 9783131060426. [Google Scholar]
- Bracken, C.; Baumann, M. Development of a Continuous Flow Photoisomerization Reaction Converting Isoxazoles into Diverse Oxazole Products. J. Org. Chem. 2020, 85, 2607–2617. [Google Scholar] [CrossRef]
- Belostotskaya, I.S.; Vol’eva, V.B.; Komissarova, N.L.; Dekaprilevich, M.O.; Khrustalev, V.N.; Karmilov, A.Y.; Ershov, V.V. Oxidation of 2-Dialkylaminomethyl-4,6-Di-Tert-Butylphenols. Russ. Chem. Bull. 1997, 46, 1272–1280. [Google Scholar] [CrossRef]
- Maegawa, T.; Oishi, R.; Maekawa, A.; Segi, K.; Hamamoto, H.; Nakamura, A.; Miki, Y. The Reaction of Ketoximes with Hypervalent Iodine Reagents: Beckmann Rearrangement and Hydrolysis to Ketones. Synthesis 2022, 54, 4095–4103. [Google Scholar] [CrossRef]
Disclaimer/Publisher’s Note: The statements, opinions and data contained in all publications are solely those of the individual author(s) and contributor(s) and not of MDPI and/or the editor(s). MDPI and/or the editor(s) disclaim responsibility for any injury to people or property resulting from any ideas, methods, instructions or products referred to in the content. |
© 2025 by the authors. Licensee MDPI, Basel, Switzerland. This article is an open access article distributed under the terms and conditions of the Creative Commons Attribution (CC BY) license (https://creativecommons.org/licenses/by/4.0/).




