Simple Summary
Given the background of global urbanization and its detrimental effects on avian diversity, it is of great importance for us to gain a spatial-temporal perspective on the gross avian communities residing in different habitat types within a given urban area. Based on field survey and multiple statistics, our results showed that urban environments filter avian species by their feeding types, which result as simplified bird communities in highly urbanized green spaces. Based on the seasonal fluctuations in avian communities’ residing habitats of different urbanization levels, we recommend that high-quality habitats (large municipal parks) must be effectively protected to promote the sustainable development of human–environment ecosystems. Our results provide important practical guidance for regional urban landscape planning.
Abstract
Background: Being an excellent indicator of habitat quality, birds are more and more popular in urban studies. Selective impacts of urban environments on avian communities have been repeatedly demonstrated, however, limited information is available under a spatial-temporal perspective, especially for subtropical young cities. Methods: Bird communities were surveyed and environmental data were collected in different types of urban green spaces surrounded by urban matrix during 2018 and 2019. Various statistical analyses were used to describe avian communities residing in different habitats and evaluate bird–environment relationships. Results: Avian community structure differed between major habitat types. At intensely urbanized roadside green spaces sites, omnivores dominated over insectivores, which were regional dominators. Woodland area was key in all urban habitat types, however, the importance decreased with increasing woodland size. Bird species richness in residential parks and individual abundance in roadside green spaces were negatively influenced by environmental noise and visitor density, respectively. Resident bird species and individuals dominated over migrants, and municipal parks presented higher species richness and abundance than other habitat types during winter. Conclusions: Highly simplified habitats in urban areas represent poor wintering habitats, whereas municipal parks served as key refugia. Continued urbanization will place further pressure on habitats which are more natural; thus, municipal parks and other natural habitats must be protected to construct sustainable human-coupled ecosystems.
1. Introduction
Humans dominate the Earth, resulting in frequent conflicts with natural ecosystems [1]; thus, it is essential to create sustainable human-coupled ecosystems [2,3,4]. Specifically, more than half of the gross human population resides on about 3% of the land surface [5]. The physiological and psychological separation between humans and nature leads to physical and mental illness [6]. Yet, psychological anxiety and stress can be relieved by cultural ecosystem services provided by birds, which connect citizens and nature [7,8,9]. Thus, effective conservation of avian diversity within urban areas could be valuable for both birds and citizens.
However, in several studies, it was repeatedly suggested that there is a global homogenization trend in biodiversity under the prosperous urbanization trend [10,11]. Urban environments generally favor a small subset of common species while discouraging the majority of others [11], which usually appeared as predictable species turnover across a given urbanization gradient [12]. However, limited information is available for young sub-tropical cities. While some endangered species are protected effectively, many populations and species have been lost over the last 100 years, which will continue in the future [13]. Many of the decreasing bird assemblages are found in urban areas, forming an important part of urban ecosystems and connecting multiple ecosystem processes [14]. Consequently, declining bird individual numbers could unbalance the sustainability of the human–environment ecosystems.
Urban landscapes contain mosaics of habitat patches, with different structures and functions, which are inhabited by a variety of avian communities [15]. Based on landscape configuration and eco-function classification, urban green spaces were classified as parks, roadside green spaces, residential green, and wetlands in this study. Most studies on bird–environment relationships have focused on one or several types of those green spaces; in other words, few studies have evaluated all major habitat types used by birds in a single region [15]. Yet, such studies could provide information on how regional ecological networks are coupled, which could be used as references to establish the sustainability of given urban ecosystems.
Habitat fragmentation is a major contributor to the loss of biodiversity [16]. At the landscape scale, the size and fragmentation of habitat patches determine species diversity [17,18]. The species-area relationship generally fits all major biological assemblages, and is consistent across multiple spatial scales and different habitat types [19,20]. Globally, the bird species-area relationship in urban areas appears to be linear [21]. Furthermore, the urban matrix limits bird dispersal in a way that reflects the theoretical concept of island biogeography [22]; however, this limitation could be efficiently solved by establishing eco-corridors [23,24]. Habitat-scale factors (such as tree species richness, shrub cover, and vertical structure complexity) might have a stronger influence on local bird diversity than landscape configuration [25,26,27]. Diverse tree species provide different types of foraging and nesting sites, while complex vertical vegetation structures allow birds from multiple ecological types to utilize vertical space. In addition, various types of disturbance (such as traffic noise and light pollution) are negatively correlated with bird diversity in roadside green spaces [28,29], which, though supporting lower species richness compared to parks and gardens of similar size [28,29], are also an important component of urban green space, providing eco-corridors that connect birds in nearby “real habitats”.
While the migration of birds has been extensively studied [30,31,32], knowledge about local movements at the community level remain limited. Tracking studies generally focus on the foraging or home range size of individual birds [33,34], which are not representative of population or community movement patterns. Evaluation of different habitat types in a suburban area demonstrated significant differences in bird species richness across habitat types. In addition, meaningful ecological mechanisms could be derived from avian community structure and its spatial-temporal change, which could also help clarify the dynamic change process of local environment, and provide targeted advices for future avian diversity conservation and habitat management [35].
Studies on avian taxonomic diversity are relatively scarce in young subtropical urban regions [36]. Here, we modeled seasonal patterns in bird distribution across major urban forest types in a given region (Shenzhen, China) to elucidate the drivers under a spatio-temporal perspective. We applied this information to quantify the sustainability of a given human–environment ecosystem, based on current urbanization trends and future urban planning. The size of Shenzhen has increased from 27 km2 to 946 km2 over the last 40 years. Due to this fast growth, birds have likely been unable to adapt to urbanization over this short evolutionary timescale; consequently, their habitat preferences are more intrinsic than that of other cities with more gradual urbanization. This study used field collected data to evaluate: (1) the community structure of birds across habitat types and their differences; (2) factors that could be used to predict the composition of avian communities in different habitat types, and (3) seasonal patterns in the distribution of bird communities across habitat types and the associated drivers, including habitat availability, heterogeneity, niche diversity, and anthropogenic disturbances. We anticipate that our results could provide insights on the sustainable urbanization in this human–environment ecosystem.
2. Materials and Methods
2.1. Study Area
Shenzhen is a coastal city in southern China, which is one of the four major cities in the Great Bay Area (113°92′ E, 22°40′ N). The terrestrial area of this city covers 1991.64 km2. By the end of 2018, the resident population was 13.06 million, with sustained growth. It is the first fully urbanized city in China. The terrain of Shenzhen is high in the southeast and low in the northwest. The highest peak in the city is Wutong Mountain (943.7 m above sea level). Shenzhen City belongs to subtropical marine climate zone, with long summers and short winters. Both rainfall and sunshine are abundant. The average annual temperature is 23.0 °C, while the rainfall is 1935.8 mm. Precipitation is mainly concentrated in the flood season (April to September, about 86% of annual rainfall). Forests remain the dominant land-use type of the gross study region, despite coverage decreasing from 45.5% in 2005 to 39.3% in 2017 [37]. However, most forests are secondary or plantations, with no primeval forest remaining.
2.2. Selection of Sampling Sites
Based on previous studies and the green space structure in our study area, we classified the major urban green spaces as parks (including residential parks (Resi_parks) and municipal parks (Muni_parks)), roadside green spaces (Traf_green), and green space in residential communities (Resi_comm). Residential parks are typically small (generally less than 5 ha), and are located in residential neighborhoods to provide services for nearby residents. In comparison, municipal parks are generally large (generally exceed 5 ha), public green spaces, with certain cultural characteristics to provide services to most of the population.
Based on the Shenzhen Park list (with a total number of 1206), 14 residential parks, 18 municipal parks, and 17 residential communities were selected at random. Fifteen roadside green spaces belts (range: 0.1 km to 2.5 km length) with different lane numbers were selected, which are evenly distributed within the city boundary. The study area and the geographical distribution of our sampling sites are shown in Figure 1.
Figure 1.
Study area and geographical distribution of our sampling sites.
2.3. Bird Surveys and Documenting Disturbance
We counted bird species and individuals during the breeding (2018.7–8) and wintering (2019.1–2) periods [38]. The sampling effort was the same for both seasons. Transects in parks were 50 m wide, and encompassed all micro-habitat types present. A single surveyor (first author) walked along the line transects at 2 km/h, and counted all bird species heard or seen on either side (25 m width) of the line. Birds that hovered in the sky or transited through the line transecting above the tree tops without landing were recorded separately, and excluded from the bird–environment relationship analyses. All bird surveys were conducted on clear days with low wind (i.e., <30 km/h), usually within 4 h after sunrise. We also counted the number of people inside the line transects, and calculated human density as the ratio of visitor numbers to the survey area. Environment noise was measured at 100 m intervals. If the line transect was shorter than 100 m, we measured noise at one end and at the midpoint of the line transect, by holding the noise meter (SNDWAY, SW-524) above the surveyor’s head. We recorded the maximum and minimum noise level (FAST mode, dBA) across 30 s. The noise value was averaged for each site to produce a final noise level.
Green patches within residential communities are frequently separated by buildings or bare ground; thus, we used the point counting method, with a radius of 25 m, to count bird species and individuals in residential communities. Using Google Earth, one to two points in each major green patch were selected. At the center of each point, all bird species and individuals were counted over a 5 min period. The number of people were counted at the same time. The noise level was measured after the bird survey at each point.
For birds in roadside green spaces, we conducted positioning surveys. From one end of a given roadside green spaces belt, we counted all bird species and individuals on either side of the roadside green spaces by walking in the green belts. On small roads with only two lanes, we walked once on either side of the roads at each site. For roads with more than two lanes, we walked along both sides of the roadside green spaces in opposite directions, because vegetation might differ on different sides of a given roadside green spaces belt. In addition, high noise levels prevented us from hearing bird calls from the other side of the given green belts. To avoid repeat records, we checked for birds moving between the two sides, and excluded possible repeats based on records from a hand-GPS (Garmin, GPSmap 631sc). All other parameters were recorded as in the parks.
2.4. Vegetation Survey
The vegetation survey was conducted in July–August of 2019 using the random quadrat sampling method. One to six 10 m × 10 m quadrats were randomly placed at each park site (if the quadrat was located in a grid with more than 50% grassland, it was replaced), depending on park size (i.e., 0–1 ha: 1 quadrat; 1.01–2 ha: 2 quadrats; 2.01–5 ha: 3 quadrats; 5.01–10 ha: 4 quadrats; 10.01–20 ha: 5 quadrats; >20.01 ha: 6 quadrats). For residential communities, one vegetation quadrat was settled at each bird survey point. For roadside green spaces, two quadrats were conducted for green belts shorter than 1 km, and six quadrats for all others; however, the minimum distance between two quadrats always exceeded 100 m. If the width of the roadside green spaces belt was less than 10 m, the quadrat was stretched (i.e., to be rectangular in shape) until the area reached 100 m2. Furthermore, two to three 1 m × 1 m herbaceous quadrats were placed in each vegetation quadrat depending on the distribution of herbaceous plants. In vegetation quadrats, we recorded species, strains/cluster number, height, and coverage of trees and shrubs, and the DBH (diameter at breast height) of trees. In herbaceous quadrats, we recorded the species, coverage of each herb species, and the total coverage of the herb layer. Tree height and the coverage of each layer (herb (0–0.5 m), shrub (0.6–2 m), tree (>2.1 m)) were estimated visually. Shrub height was measured with a tape measure. DBH was measured with a DBH ruler. To avoid system error, all estimates were made by the same surveyor.
Vertical vegetation structure at the local habitat scale was characterized by measuring foliage height diversity (FHD) in each vegetation quadrat. A survey line was extended from the center of each quadrat to the four directions, with observation points occurring at 5 m intervals. At each point, we recorded the appearance of living foliage at 0–1, 1.01–2, 2.01–5, 5.01–10, 10.01–20, and >20 m height [39], using the height of one surveyor as a visual reference. FHD was calculated as the Shannon–Wiener diversity index.
2.5. Classification of Land Cover and Acquisition of Landscape Indices
Land cover classification was based on high-resolution QuickBird satellite imagery, using eCognition 8.7.1. The sampling area was delineated in Google Earth. We used the supervised classification method to classify land cover as woodland, grassland, waterbodies, and sealed surface.
Using the buffer analysis in ArcGIS 10.3 and Fragstats 3.3, within a 200 and 1000 m buffer region, we measured the percentage cover of woodland and sealed surfaces, woodland patch density, woodland patch connectivity, and woodland patch cohesion index. The area and largest patch index of woodland were measured at three spatial scales (sampling site, 200 m and 1000 m radius around each site). We also measured the connectivity index of woodland patches in all sampled residential communities. The length and average width of green belts were measured for roadside green spaces. The above landscape indexes were used to analyze variation in the forest bird community (see Table 1 for details).
Table 1.
Landscape indexes targeting forest bird communities, along with basic information.
2.6. Data Analysis
Forest birds and waterbirds respond to environmental configurations differently, with waterbirds primarily occupying aquatic habitat. Therefore, first, we classified bird species as waterbirds (including Grallatore, Natatores, and Alcedinidae) and forest birds (all species except for waterbirds) [40]. We further classified the forest bird species as carnivores (C), insectivores (I), insectivore–frugivores (IF), granivores (G), omnivores (O), and nectarivores (N) based on feeding preferences [41]. All bird species were classified as Resident (R), Passenger (P), Summer breeders (S), and Winter visitors (W) based on residency types [42]. To distinguish how residence status affected the seasonal distribution of avian communities, we classified all birds as migrants except for residents. Due to waterbodies only occurring in a part of municipal parks, we did not conduct statistical analysis for waterbirds.
In the bird–environment relationship analyses, predictive environmental variables are different by habitat types: for green patches located within the urban region, including parks, roadside green spaces, and residential communities, they are vegetation indexes (species richness and coverage of tree/shrub/herb, FHD), disturbance indexes (visitor density and noise level), and landscape indexes (Table 1). Response variables were species richness and the abundance of given bird guilds.
Multi-response Permutation Procedures (MRPP) based on Bray–Curtis distance were used to evaluate differences in species composition between habitat types [43]. Chance corrected within-group agreement (A) >0 indicates that differences between groups is greater than that within groups, and vice versa. When observed delta is higher, between group differences are higher. Before proceeding the MRPP analysis, we log-transformed (ln (x + 1)) species abundance data to improve linearity. Based on the calculated distance, we conducted cluster analysis, with MDS plots being drawn to reflect the spatial relationships between bird communities across habitat types using Nonmetric Multidimensional Scaling (NMDS). MRPP analysis was conducted using package “vegan” [44].
Based on the AICc criterion, the bird–environment relationship was measured using multiple linear regression. First, we produced a Pearson correlation matrix, and calculated variance inflation factors (VIF) to check multicollinearity. Then we drew the residual plot and Q-Q plot to confirm that the initial model fit the basic assumptions of linear regression. We removed descriptive variables with high VIF values until the for each was <2. We then used stepwise regression to select the best model. Models with ∆AICc < 2 were selected as the best model subsets [45]. Multiple linear regressions were conducted using package “ape” [46], “MuMIn” [47], and “car” [48] implemented in R version 3.5.1 [49].
To determine seasonal distribution patterns of bird communities across habitat types, we drew box plots for bird species richness and abundance from different habitat types and in different seasons. Paired t-tests were used to compare differences between habitat types and seasons. Before the t-test, we checked the normality of our data sets. We conducted logarithmic transformation (ln(x) or ln (x + 1)), where necessary.
3. Results
3.1. Bird Community Structure and Distribution Patterns with Respect to Habitat Type and Season
In our field survey, 130 bird species were recorded, belonging to 15 families and 46 orders. During the breeding season, 5530 individuals, 86 species, 35 orders, and 12 families were recorded (forest birds: 73 species, 5162 individuals; waterbirds: 13 species, 368 individuals). During the wintering season, 7219 individuals, 91 species, 39 orders, and 12 families were recorded (forest birds: 62 species, 5897 individuals; waterbirds: 29 species, 1322 individuals). More forest bird species were present during the breeding season compared to the wintering season; however, the number of individuals was lower. Compared to the breeding season, there were more waterbird species and individuals in the wintering season. Insectivores (species richness) dominated all habitat types and seasons, followed by omnivores (Figure 2), when excluding roadside green spaces (omnivores > insectivores) and residential communities (omnivores = insectivores). The taxonomic list of bird species recorded in each habitat type and the taxonomic list of plant species are provided in Supplementary File S2.
Figure 2.
Cumulative histogram for the feeding type structure of avian communities in different habitat types during the breeding (A) and wintering (B) season. C—carnivores, I—insectivores, IF—insectivore–frugivores, G—granivores, O—omnivores, and N—nectarivores.
MRPP analysis showed that, except for residential communities and roadside green spaces, all other habitat comparisons for bird community structure were significantly different within and across seasons (Table 2). Where A > 0, between group differences are higher compared to within group differences, with observed delta values being equivalent to the expected delta values; thus, both differences were relevant. Cluster analysis produced consistent results, with a two-dimension relationship between bird communities across habitats (Figure 3). Bird communities in municipal parks were distinct to other habitat types, representing less urbanized green spaces. Community structure in residential communities and roadside green spaces was similar.
Table 2.
Multi-response Permutation Procedures for analysis for all combinations of habitat types.
Figure 3.
NMDS analysis of avian community structure in different habitat types during the breeding season (Bray–Curtis similarity, original data; stress = 0.210). The figure delineates species matrix distance across sites and habitat types, and the spatial relationship between species matrices within different habitat types. Due to the cluster results for the two phenological phases being very similar, we only displayed those for the breeding season.
3.2. Key Predictive Environmental Factors for Bird Communities across Habitat Types and Seasons
Most of the best models own a high R2, among which, woodland area, FHD, and tree species richness strongly contributed to more than two habitat types (Table S1). Woodland area influenced the structuring of forest bird communities in all analyzed habitat types. The number of herbaceous species mainly influenced the richness and abundance of forest birds in residential parks during the breeding season, and the abundance of wintering forest birds in residential communities. Environment noise levels and woodland percentage within the 200 m radius buffer region mainly influenced the structure of forest bird communities in residential parks. Tree cover and visitor density mainly influenced the structure of forest bird communities in roadside green spaces during the breeding season. The species number and coverage of shrub, and the cohesion index of woodland patches within a 1000 m radius buffer region, mainly influenced the richness of forest bird species in residential communities during both seasons.
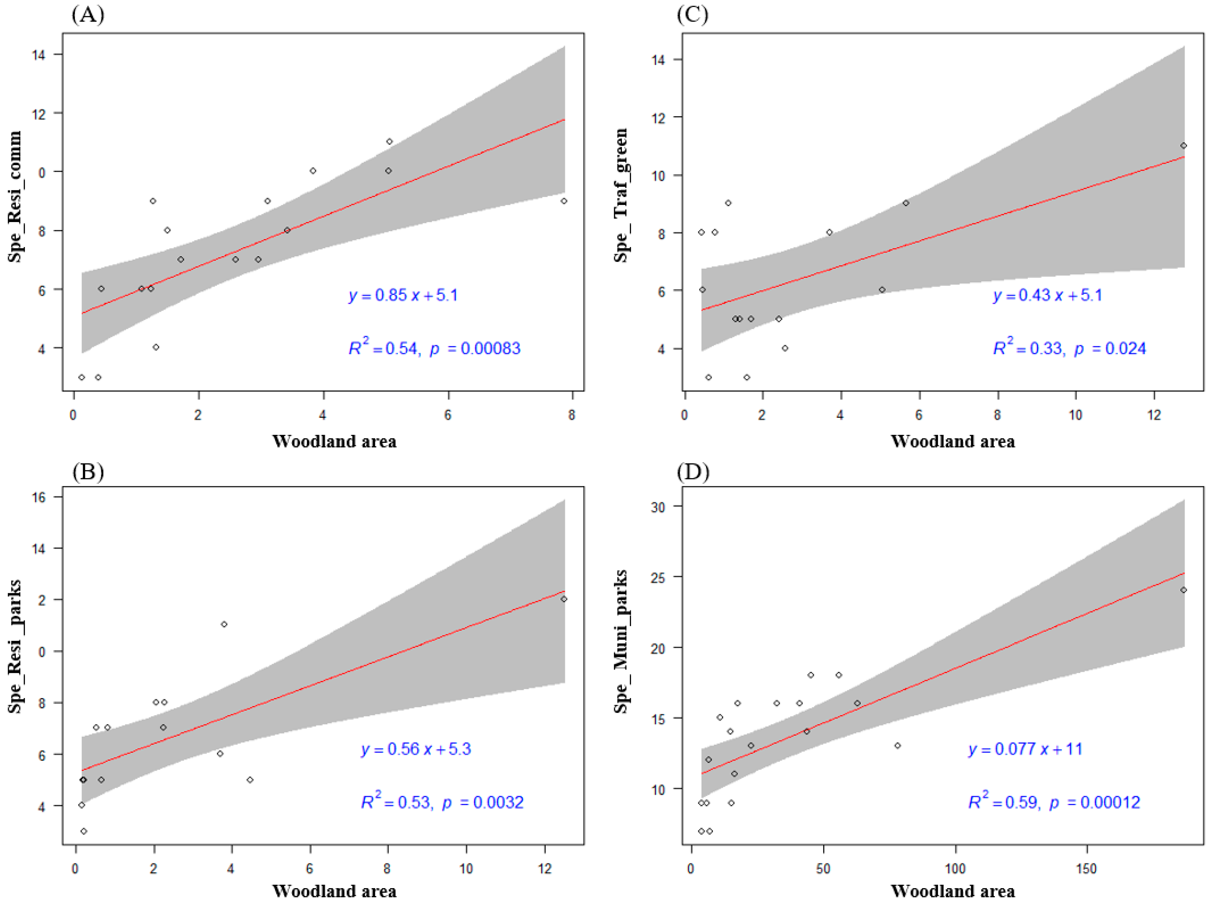
Examining the species-area plot for different habitat types during the breeding season (Figure 4) showed that the slope of the regression lines decreased with increasing woodland area. Thus, the contribution of woodland area declines as it increases. The bivariate regression of species-area relationship fit the basic assumptions of linear regression, with no outliers detected by Bonferroni test.
Figure 4.
Species-woodland area relationships in different urban green spaces during the breeding season. (A) In residential communities; (B) In residential parks; (C) In traffic green belts; (D) In municipal parks.
3.3. Seasonal Distribution Pattern of Bird Species and Individuals across Habitats
Bird communities differed between habitat types and pheno-phases (Figure 5). The bird community indexes of municipal parks performed better compared to other habitat types (municipal parks t > 0 and p < 0). The richness and abundance of resident bird species in forests dominated over migrants across all habitat types (Figure 5C,D; t-test p < 0.01). The migrant population tended to be small, with no significant difference among seasons (t-test p > 0.05). However, compared to the breeding season, the richness (t = 2.19, df = 18, p = 0.035) and abundance (t = 2.94, df = 18, p = 0.001) of resident species in municipal parks (resident species richness: t = 1.97, df = 26, p = 0.060; abundance: t = 3.250, df = 26, p = 0.001) were significantly higher during the wintering season. The opposite pattern was obtained for species abundance in roadside green spaces, but was not significant (t = −0.83, df = 14, p = 0.423).
Figure 5.
Box plots for species richness and abundance of different bird guilds in different habitat types. “Breed” represents breeding season, “Wint” represents wintering season, “Res” represents resident birds, “Mig” represents migrants.
4. Discussion
The distribution of birds across habitat types in our study reflected that of previous studies suggesting the filtering of avian species by urban environment [10,11]; whereby, intense urbanized areas tend to be dominated by omnivorous bird species [50]. As an extreme example, roadside green spaces sites were associated with severe disturbance and simple, uniform vegetation structure, with omnivore species exceeding insectivores in both seasons. Omnivores mainly included Bulbuls (Pycnonotidae), Crows (Corvidae), and Starlings (Sturnidae) in our study, which are able to endure various types of disturbance and use multiple food resources, including discarded food around trash cans. It is worthwhile to notice that waterbirds account for a nonnegligible part of bird communities in municipal parks, which is consistent with previous studies suggesting that the occurrence of waterbodies could significantly improve the gross avian diversity [51,52]. In addition, although the immigration of wintering waterbirds increases the number of waterbird species by a larger proportion, the contribution of waterbird species classified as residents is also considerable. Considering the relatively small proportion of waterbody size (vs. woodland) in the municipal parks, we believe that waterbodies may contribute to bird biodiversity conservation by a higher efficacy than woodland by providing habitats for waterbirds. However, results comparing species richness and bird abundance between habitat types should be treated with caution because the sampling method and effort varied among habitat types.
The key environmental factors affecting bird communities across habitat types reflected those of previous studies, highlighting the importance of habitat areas [19], vertical vegetation diversity (FHD) [27], and tree species richness [26]. More specifically, bird communities in residential parks and residential communities require more herbaceous species; bird communities in residential parks need a larger quantity of woodland within a 200 m buffer zone. In particular, environmental noise levels at residential parks might have exceeded the tolerance levels of the given birds. Bird communities occupying roadside green spaces belts require high canopy cover and low pedestrian density. In comparison, bird communities occupying residential communities require more shrub species and higher shrub coverage, and a greater cohesion of woodland patches within a 1 km buffer zone. It is not feasible to promote bird diversity by restricting people from making noise (e.g., singing and playing) in residential parks, or playing on the lawn (thus destroying the herbs). However, management plans could increase the conservation efficiency of such areas by amending the vegetation structure and increasing the number of woodland patches near residential parks and communities, knowing that even small green patches could maintain high avian diversity if efficiently managed [53]. Based on changes to the species-area relationship with increasing habitat area, we should focus on certain aspects of habitats (that have different area intervals). For example, the area of small habitat patches should be increased, while the horizontal (vegetation species and patch configuration) and vertical structure (FHD) of vegetation in larger green spaces should be adjusted.
Our study showed that municipal parks represent key habitats for conserving bird biodiversity. Many bird species depend on such high-quality habitats to sustain their populations. Municipal parks had greater plant species richness and more diverse vegetation structure, in addition to vegetation phenology varying with altitude; consequently, bird species and individuals converged in these areas during winter when food resources were more limited compared to the breeding season. During the wintering season, bird species and individuals in roadside green spaces sites aggregated on Ceiba speciosa (A.St.-Hil.) Ravenna when it flowered, and were rarely found on other tree or shrub species. However, it was primarily planted along major roads because of the high price, while a larger part of roads are secondary or small. Indeed, we cannot deny that some of the resident forest birds may come from neighboring regions outside of the city boundary. However, even if they came from the areas outside Shenzhen, we cannot deny their preference for municipal parks or other more natural habitats during the relatively harsh wintering seasons.
Shenzhen is located in a low-latitude coastal zone, and provides important wintering grounds and transitory sites for migratory waterbirds. The Mangrove Seashore Ecological Park and the OCT Wetland Park contribute towards protecting the wintering waterbird community. However, the contribution of resident waterbirds to the entire bird community should not be overlooked. Waterbirds mainly inhabited large municipal parks with a certain extent of water, which tended to be subjected to different forms of disturbance, such as fountains, armoring, and visitor presence.
As a world-class new city, the material living standards, eco-environment awareness, and awareness of the benefits of ecosystem services by citizens continue to improve. More people are exploring and camping in more natural woodland, opening the potential to damage rare species and refugia for biodiversity, including birds, during winter. With the projected impact of future urban agglomeration construction in the newly established Greater Bay Area, pressure on high-quality habitats in this region will increase, ultimately leading to the unsustainable development of the ecosystem in this region.
5. Conclusions
The structure of bird communities clearly varied across different habitat types, with the feeding structure of bird communities fundamentally changed in highly urbanized habitats. Analysis of the key factors affecting bird community structure demonstrated that birds are of limited capacity to adapt to high-intensity human disturbances. At the current regional urbanization stage of Shenzhen, birds are still able to use a combination of both highly urbanized and more natural habitats across seasons; however, the ongoing urbanization trend inside and outside the city boundary might hinder this. To conserve bird biodiversity, high-quality habitats (such as large municipal parks) must be protected more effectively to promote the sustainable development of human–environment ecosystems. Our results are of practical importance for regional planning of urban landscapes.
Supplementary Materials
The following are available online at https://www.mdpi.com/article/10.3390/d14050341/s1. Table S1. Model selection results for forest bird communities residing in different habitat types and different pheno-phases. Wi is the Akaike’s weight. Tables S2–S4 Taxonomy, residence type, and endangered grade of bird species recorded in our field survey. Tables S5–S7 Taxonomy of plant species recorded in our field survey. Figure S1. Species accumulation curves in different types of urban green spaces.
Author Contributions
Conceptualization, S.X., B.H. and Z.O.; methodology, S.X. and B.H.; software, B.H. and S.X.; validation, S.X. and B.H.; formal analysis, S.X. and B.H.; investigation, S.X. and C.X.; resources, B.H., W.Z. and C.X.; data curation, B.H. and W.Z.; writing—original draft preparation, S.X.; writing—review and editing, S.X., B.H. and Z.O.; visualization, B.H. and Z.O.; supervision, B.H. and W.Z.; project administration, B.H., C.X., W.Z. and Z.O.; funding acquisition, Z.O., B.H., W.Z. and C.X. All authors have read and agreed to the published version of the manuscript.
Funding
This research was funded by the National Natural Science Foundation of China, grant number 71533005.
Institutional Review Board Statement
Not applicable.
Informed Consent Statement
Not applicable.
Data Availability Statement
Not applicable.
Acknowledgments
We thank the Shenzhen Municipal Bureau of Ecological Environment for their assistance in field surveys.
Conflicts of Interest
The authors declare no conflict of interest.
References
- Vitousek, P.M.; Mooney, H.A.; Lubchenco, J.; Melillo, J.M. Human domination of Earth’s ecosystems. Science 1997, 277, 494–499. [Google Scholar] [CrossRef]
- Grimm, N.B.; Faeth, S.H.; Golubiewski, N.E.; Redman, C.L.; Wu, J.; Bai, X.; Briggs, J.M. Global change and the ecology of cities. Science 2008, 319, 756–760. [Google Scholar] [CrossRef]
- Seto, K.C.; Gueneralp, B.; Hutyra, L.R. Global forecasts of urban expansion to 2030 and direct impacts on biodiversity and carbon pools. Proc. Natl. Acad. Sci. USA 2012, 109, 16083–16088. [Google Scholar] [CrossRef] [PubMed]
- Wu, J. Urban ecology and sustainability: The state-of-the-science and future directions. Landsc. Urban Plan. 2014, 125, 209–221. [Google Scholar] [CrossRef]
- Wu, J. Urban sustainability: An inevitable goal of landscape research. Landsc. Ecol. 2010, 25, 1–4. [Google Scholar] [CrossRef]
- Fuller, R.A.; Irvine, K.N.; Devine-Wright, P.; Warren, P.H.; Gaston, K.J. Psychological benefits of greenspace increase with biodiversity. Biol. Lett. 2007, 3, 390–394. [Google Scholar] [CrossRef] [PubMed]
- Yam, R.S.W.; Huang, K.-P.; Hsieh, H.-L.; Lin, H.-J.; Huang, S.-C. An Ecosystem-Service Approach to Evaluate the Role of Non-Native Species in Urbanized Wetlands. Int. J. Environ. Res. Public Health 2015, 12, 3926–3943. [Google Scholar] [CrossRef] [PubMed]
- Cox, D.T.C.; Gaston, K.J. Urban Bird Feeding: Connecting People with Nature. PLoS ONE 2016, 11, e0158717. [Google Scholar]
- Cox, D.T.C.; Shanahan, D.F.; Hudson, H.L.; Plummer, K.E.; Siriwardena, G.M.; Fuller, R.A.; Anderson, K.; Hancock, S.; Gaston, K.J. Doses of Neighborhood Nature: The Benefits for Mental Health of Living with Nature. BioScience 2017, 67, 147–155. [Google Scholar] [CrossRef]
- Diego Ibanez-Alamo, J.; Rubio, E.; Benedetti, Y.; Morelli, F. Global loss of avian evolutionary uniqueness in urban areas. Glob. Chang. Biol. 2017, 23, 2990–2998. [Google Scholar] [CrossRef] [PubMed]
- Evans, B.S.; Reitsma, R.; Hurlbert, A.H.; Marra, P.P. Environmental filtering of avian communities along a rural-to-urban gradient in Greater Washington, DC, USA. Ecosphere 2018, 9, e02402. [Google Scholar] [CrossRef]
- Hensley, C.B.; Trisos, C.H.; Warren, P.S.; MacFarland, J.; Blumenshine, S.; Reece, J.; Katti, M. Effects of Urbanization on Native Bird Species in Three Southwestern US Cities. Front. Ecol. Evol. 2019, 7, 71. [Google Scholar] [CrossRef]
- Rands, M.R.W.; Adams, W.M.; Bennun, L.; Butchart, S.H.M.; Clements, A.; Coomes, D.; Entwistle, A.; Hodge, I.; Kapos, V.; Scharlemann, J.P.W.; et al. Biodiversity Conservation: Challenges Beyond 2010. Science 2010, 329, 1298–1303. [Google Scholar] [CrossRef]
- Sekercioglu, C.H. Increasing awareness of avian ecological function. Trends Ecol. Evol. 2006, 21, 464–471. [Google Scholar] [CrossRef]
- Sandstrom, U.G.; Angelstam, P.; Mikusinski, G. Ecological diversity of birds in relation to the structure of urban green space. Landsc. Urban Plan. 2006, 77, 39–53. [Google Scholar] [CrossRef]
- Drinnan, I.N. The search for fragmentation thresholds in a Southern Sydney Suburb. Biol. Conserv. 2005, 124, 339–349. [Google Scholar] [CrossRef]
- Shanahan, D.F.; Miller, C.; Possingham, H.; Fuller, R. The influence of patch area and connectivity on avian communities in urban revegetation. Biol. Conserv. 2011, 144, 722–729. [Google Scholar] [CrossRef]
- Xu, X.; Xie, Y.; Qi, K.; Luo, Z.; Wang, X. Detecting the response of bird communities and biodiversity to habitat loss and fragmentation due to urbanization. Sci. Total Environ. 2018, 624, 1561–1576. [Google Scholar] [CrossRef] [PubMed]
- De Camargo, R.X.; Boucher-Lalonde, V.; Currie, D.J. At the landscape level, birds respond strongly to habitat amount but weakly to fragmentation. Divers. Distrib. 2018, 24, 629–639. [Google Scholar] [CrossRef]
- Gaston, K.J. Global patterns in biodiversity. Nature 2000, 405, 220–227. [Google Scholar] [CrossRef]
- Leveau, L.M.; Ruggiero, A.; Matthews, T.J.; Bellocq, M.I. A global consistent positive effect of urban green area size on bird richness. Avian Res. 2019, 10, 30. [Google Scholar] [CrossRef]
- Prevedello, J.A.; Vieira, M.V. Does the type of matrix matter? A quantitative review of the evidence. Biodivers. Conserv. 2010, 19, 1205–1223. [Google Scholar] [CrossRef]
- Beninde, J.; Veith, M.; Hochkirch, A. Biodiversity in cities needs space: A meta-analysis of factors determining intra-urban biodiversity variation. Ecol. Lett. 2015, 18, 581–592. [Google Scholar] [CrossRef] [PubMed]
- Matsuba, M.; Nishijima, S.; Katoh, K. Effectiveness of corridor vegetation depends on urbanization tolerance of forest birds in central Tokyo, Japan. Urban For. Urban Green. 2016, 18, 173–181. [Google Scholar] [CrossRef]
- Imai, H.; Nakashizuka, T. Environmental factors affecting the composition and diversity of avian community in mid- to late breeding season in urban parks and green spaces. Landsc. Urban Plan. 2010, 96, 183–194. [Google Scholar] [CrossRef]
- Jankowski, J.E.; Merkord, C.L.; Rios, W.F.; Cabrera, K.G.; Revilla, N.S.; Silman, M.R. The relationship of tropical bird communities to tree species composition and vegetation structure along an Andean elevational gradient. J. Biogeogr. 2013, 40, 950–962. [Google Scholar] [CrossRef]
- Xie, S.; Lu, F.; Cao, L.; Zhou, W.; Ouyang, Z. Multi-scale factors influencing the characteristics of avian communities in urban parks across Beijing during the breeding season. Sci. Rep. 2016, 6, 29350. [Google Scholar] [CrossRef]
- Carbo-Ramirez, P.; Zuria, I. The value of small urban greenspaces for birds in a Mexican city. Landsc. Urban Plan. 2011, 100, 213–222. [Google Scholar] [CrossRef]
- Proppe, D.S.; Sturdy, C.B.; St Clair, C.C. Anthropogenic noise decreases urban songbird diversity and may contribute to homogenization. Glob. Chang. Biol. 2013, 19, 1075–1084. [Google Scholar] [CrossRef]
- Both, C.; Bouwhuis, S.; Lessells, C.M.; Visser, M.E. Climate change and population declines in a long-distance migratory bird. Nature 2006, 441, 81–83. [Google Scholar] [CrossRef] [PubMed]
- Hobson, K.A. Tracing origins and migration of wildlife using stable isotopes: A review. Oecologia 1999, 120, 314–326. [Google Scholar] [CrossRef] [PubMed]
- Nathan, R.; Monk, C.T.; Arlinghaus, R.; Adam, T.; Alós, J.; Assaf, M.; Baktoft, H.; Beardsworth, C.E.; Bertram, M.G.; Bijleveld, A.I.; et al. Big-data approaches lead to an increased understanding of the ecology of animal movement. Science 2022, 375, 734. [Google Scholar] [CrossRef] [PubMed]
- Groom, C.; White, N.E.; Mitchell, N.; Roberts, J.D.; Mawson, P. Assessing the spatial ecology and resource use of a mobile and endangered species in an urbanized landscape using satellite telemetry and DNA faecal metabarcoding. Ibis 2017, 159, 390–405. [Google Scholar] [CrossRef]
- Rose, E.; Nagel, P. Spatio-temporal use of the urban habitat by feral pigeons (Columba livia). Behav. Ecol. Sociobiol. 2006, 60, 242–254. [Google Scholar] [CrossRef]
- Xie, S.; Ouyang, Z.; Gong, C.; Meng, N.; Lu, F. Seasonal fluctuations of urban birds and their responses to immigration: An example from Macau, China. Urban For. Urban Green. 2021, 59, 126936. [Google Scholar] [CrossRef]
- Rega-Brodsky, C.C.; Aronson, M.F.J.; Piana, M.R.; Carpenter, E.-S.; Hahs, A.K.; Herrera-Montes, A.; Knapp, S.; Kotze, D.J.; Lepczyk, C.A.; Moretti, M.; et al. Urban biodiversity: State of the science and future directions. Urban Ecosyst. 2022, 1–14. [Google Scholar] [CrossRef]
- Huang, X.; Han, X.; Ma, S.; Lin, T.; Gong, J. Monitoring ecosystem service change in the City of Shenzhen by the use of high-resolution remotely sensed imagery and deep learning. Land Degrad. Dev. 2019, 30, 1490–1501. [Google Scholar] [CrossRef]
- Gregory, R.D.; Gibbons, D.W.; Donald, P.F. Bird census and survey techniques. In Bird Ecology and Conservation; A Handbook of Techniques; Oxford University Press: Oxford, UK, 2004; pp. 17–55. [Google Scholar]
- Lee, M.-B.; Rotenberry, J.T. Effects of land use on riparian birds in a semiarid region. J. Arid. Environ. 2015, 119, 61–69. [Google Scholar] [CrossRef]
- Zheng, G.M. Ornithology; Beijing Normal University Press: Beijing, China, 2012. (In Chinese). [Google Scholar]
- Kwok, H.K.; Corlett, R.T. The bird communities of a natural secondary forest and a Lophostemon confertus plantation in Hong Kong, South China. For. Ecol. Manag. 2000, 130, 227–234. [Google Scholar] [CrossRef]
- Zheng, G.M. A Checklist on the Classification and Distribution of the Birds of China, 3rd ed.; Science Press: Beijing, China, 2017. (In Chinese). [Google Scholar]
- McCune, B.P.; Grace, J.B. Analysis of Ecological Communities. J. Exp. Mar. Biol. Ecol. 2002, 289, 448. [Google Scholar]
- Dixon, P. VEGAN, a package of R functions for community ecology. J. Veg. Sci. 2003, 14, 927–930. [Google Scholar] [CrossRef]
- Burnham, K.P.; Anderson, D.R. Model Selection and Multimodel Inference, 2nd ed.; Springer: New York, NY, USA, 2002. [Google Scholar]
- Paradis, E.; Claude, J.; Strimmer, K. APE: Analyses of Phylogenetics and Evolution in R language. Bioinformatics 2004, 20, 289–290. [Google Scholar] [CrossRef] [PubMed]
- Bartoń, K. MuMIn: Multi-Model Inference. R Package Version 1.10.5; R Foundation for Statistical Computing: Vienna, Austria, 2014; Available online: http://cran.r-project.org/web/packages/MuMIn/index.html (accessed on 21 October 2020).
- Fox, J.; Weisberg, S. Car: Companion to Applied Regression. R Package Version 2.0–2. 2010. Available online: http://CRAN.R-project.org/package=car (accessed on 21 October 2020).
- R Development Core Team. R: A Language and Environment for Statistical Computing; R Foundation for Statistical Computing: Vienna, Austria, 2010; ISBN 3-900051-07-0. [Google Scholar]
- Palacio, F.X.; Ibañez, L.M.; Maragliano, R.E.; Montalti, D. Urbanization as a driver of taxonomic, functional, and phylogenetic diversity losses in bird communities. Can. J. Zool. 2018, 96, 1114–1121. [Google Scholar] [CrossRef]
- Chamberlain, D.E.; Gough, S.; Vaughan, H.; Vickery, J.A.; Appleton, G.F. Determinants of bird species richness in public green spaces. Bird Study 2007, 54, 87–97. [Google Scholar] [CrossRef]
- Shih, W.-Y. Bird diversity of greenspaces in the densely developed city centre of Taipei. Urban Ecosyst. 2018, 21, 379–393. [Google Scholar] [CrossRef]
- Kim, J.; Chae, J.; Koo, T.-H. Variation in bird diversity in relation to habitat size in the urban landscape of Seoul, South Korea. Acta Ornithol. 2007, 42, 39–44. [Google Scholar] [CrossRef][Green Version]
Publisher’s Note: MDPI stays neutral with regard to jurisdictional claims in published maps and institutional affiliations. |
© 2022 by the authors. Licensee MDPI, Basel, Switzerland. This article is an open access article distributed under the terms and conditions of the Creative Commons Attribution (CC BY) license (https://creativecommons.org/licenses/by/4.0/).




