Geometric Morphometrics of the Cranium and Mandible in Social Voles of the “Guentheri” Group (Arvicolinae: Sumeriomys)
Abstract
1. Introduction
2. Materials and Methods
2.1. Morphometry
2.1.1. Material
2.1.2. Microscopy
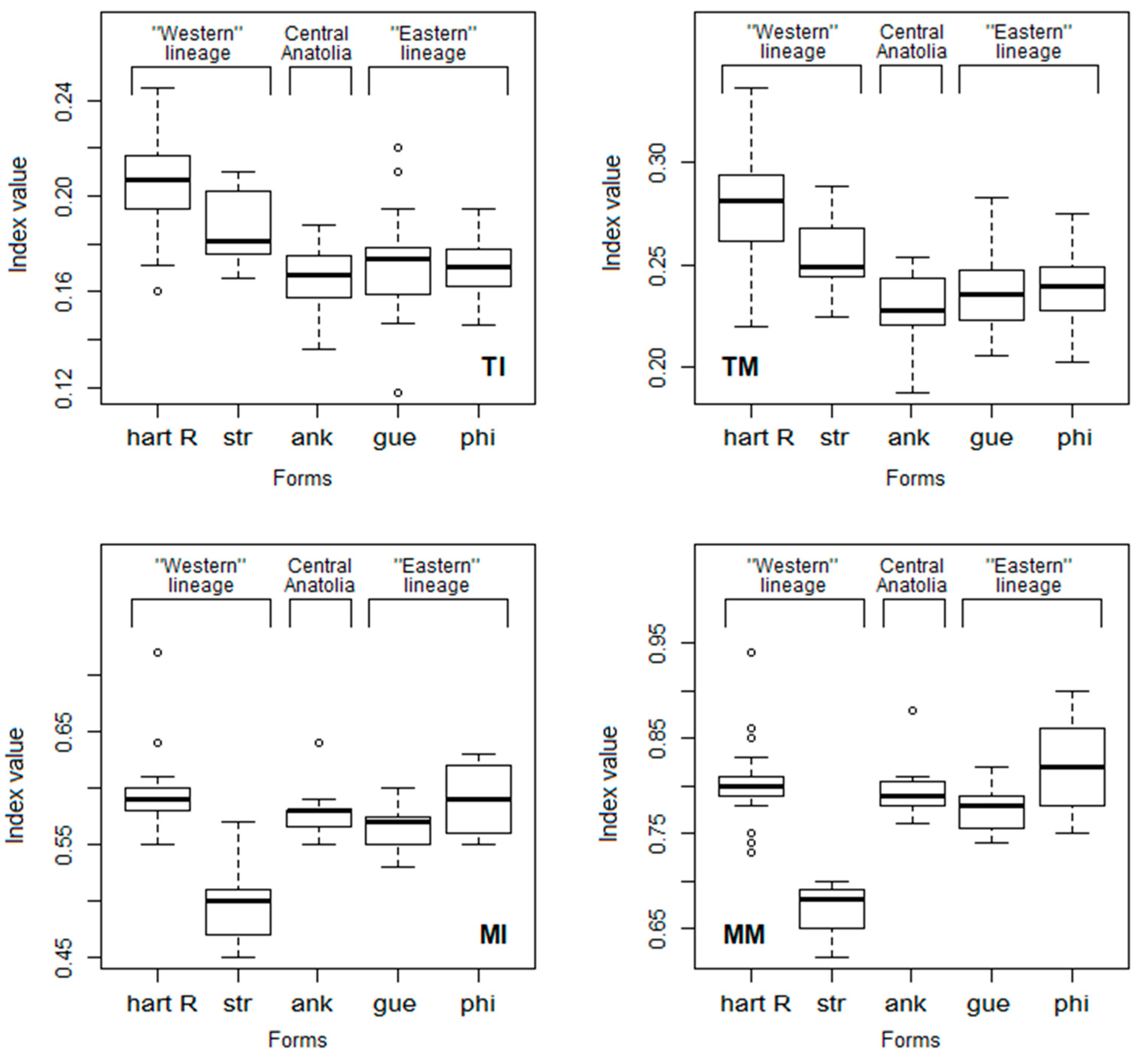
2.1.3. Differences in the Size of Crania and Mandible, and the Mandible Indices
2.2. GM and Shape Analyses

2.3. Statistical Analyses
3. Results
3.1. Linear Craniometry
3.2. Shape
4. Discussion
5. Conclusions
Supplementary Materials
Author Contributions
Funding
Institutional Review Board Statement
Data Availability Statement
Acknowledgments
Conflicts of Interest
Appendix A
References
- Argiropulo, A.J. Ueber zwei neue paläarktische Wühlmäuse. Z. Säugetierkd. 1933, 8, 180–183. [Google Scholar]
- Ellerman, J.R. The Families and Genera of Living Rodents; British Museum: London, UK, 1941; Volume 2, 690p. [Google Scholar]
- Kryštufek, B.; Bužan, E.V.; Vohralík, V.; Zareie, R.; Özkan, B. Mitochondrial cytochrome b sequence yields new insight into the speciation of social voles in south-west Asia. Biol. J. Linn. Soc. 2009, 98, 121–128. [Google Scholar] [CrossRef]
- Kryštufek, B.; Zorenko, T.; Buzan, E. New insights into taxonomy and phylogeny of social voles inferred from mitochondrial cytochrome b sequences. Mamm. Biol. 2012, 77, 178–182. [Google Scholar] [CrossRef]
- Golenishchev, F.N.; Abramson, N.I. New data on phylogeography of voles’ subgenus Sumeriomys (Arvicolinae; Rodentia). In Proceedings of the International Conference “Mammals of Russia and Adjacent Territories” IX Congress of Theriological Society RAS, Moscow, Russia, 1–4 February 2011; KMK Scientific Press: Moscow, Russia, 2011; p. 117. (In Russian). [Google Scholar]
- Golenishchev, F.N.; Sablina, O.V.; Borodin, P.M.; Gerasimov, S. Taxonomy of voles of the subgenus Sumeriomys Argyropulo, 1993 (Rodentia, Arvicolinae, Microtus). Russ. J. Theriol. 2002, 1, 43–55. [Google Scholar] [CrossRef]
- Golenishchev, F.N.; Malikov, V.G.; Nazari, F.; Vaziri, S.; Sablina, O.V.; Polyakov, A.V. New species of vole of “guentheri” group (Rodentia; Arvicolinae; Microtus) from Iran. Russ. J. Theriol. 2003, 1, 117–123. [Google Scholar] [CrossRef]
- Golenishchev, F.N.; Zorenko, T.A.; Petrova, T.V.; Voyta, L.L.; Kryuchkova, L.Y.; Atanasov, N. Evaluation of the “Bottleneck” Effect in an Isolated Population of Microtus hartingi (Rodentia, Arvicolinae) from the Eastern Rhodope (Bulgaria) by Methods of Integrative Analysis. Diversity 2022, 14, 709. [Google Scholar] [CrossRef]
- Pardiñas, U.F.J. True Hamsters, Voles, Lemmings and New World Rats and Mice. In Handbook of the Mammals of the World—Vol. 7: Rodents II; Wilson, D.E., Lacher, T.E., Jr., Mittermeier, R.A., Eds.; Lynx Edicions: Barcelona, Spain, 2017; pp. 204–279. [Google Scholar]
- Thanou, E.; Paragamian, K.; Lymberakis, P. Social but lonely: Species delimitation of social voles and the evolutionary history of the only Microtus species living in Africa. J. Zoolog. Syst. Evol. 2019, 58, 475–498. [Google Scholar] [CrossRef]
- Kryštufek, B.; Shenbrot, G.I. Voles and Lemmings (Arvicolinae) of the Palaearctic Region; Maribor University Press: Maribor, Slovenia, 2022; p. 436. [Google Scholar]
- Mahmoudi, A.; Golenishchev, F.N.; Malikov, V.G.; Arslan, A.; Pavlova, S.V.; Petrova, T.V.; Kryštufek, B. Taxonomic evaluation of the “irani–schidlovskii” species complex (Rodentia: Cricetidae) in the Middle East: A morphological and genetic combination. Zool. Anz. 2022, 300, 1–11. [Google Scholar] [CrossRef]
- Ellerman, J.R.; Morrison-Scott, T.C.S. Checklist of Palearctic and Indian Mammals 1756–1946; British Museum Natural History: London, UK, 1951; 810p. [Google Scholar]
- Belcheva, R.; Peshev, T.H.; Peshev, T.D. Chromosome C- and Gbanding patterns in a Bulgarian population of M. guentheri Danford and Alston (Microtinae, Rodentia). Genetica 1980, 52, 45–48. [Google Scholar] [CrossRef]
- Kefelioğlu, H. The taxonomy of the genus Microtus (Mammalia: Rodentia) and its distribution in Turkey. Turk. J. Zool. 1995, 19, 35–63. (In Turkish) [Google Scholar]
- Yiģit, N.; Çolak, E. On the distribution and taxonomic status of Microtus guentheri (Danford and Alston; 1880) and Microtus lydius Blackler; 1916 (Mammalia: Rodentia) in Turkey. Turk. J. Zool. 2002, 26, 197–204. [Google Scholar]
- Lemskaya, N.A.; Romanenko, S.A.; Golenishchev, F.N.; Rubtsova, N.V.; Sablina, O.V.; Serdukova, N.A.; O’Brien, P.C.; Fu, B.; Yiğit, N.; Ferguson-Smith, M.A.; et al. Chromosomal evolution of Arvicolinae (Cricetidae, Rodentia). III. Karyotype relationships of ten Microtus species. Chromosome Res. 2010, 18, 459–471. [Google Scholar] [CrossRef] [PubMed]
- Zima, J.; Arslan, A.; Benda, P.; Macholàn, M.; Kryštufek, B. Chromosomal variation in social voles: A Robertsonian fusion in Gűnter’s vole. Acta Theriol. 2013, 58, 255–265. [Google Scholar] [CrossRef]
- Golenishchev, F.N.; Malikov, V.G. The systematics and distribution of the grey voles of the tribe Microtini (Rodentia; Arvicolinae) in the Caucasus and Asia Minor. In Proceedings of the International Conference “Biological Diversity and Conservation Problems of the Fauna of the Caucasus”, Yerevan, Armenia, 26–29 September 2011; LLC Spika: Yerevan, Armenia, 2011; pp. 101–105. (In Russian). [Google Scholar]
- Thanou, E.; Tryfonopoulos, G.; Chondropoulos, B.; Fraguedakis-Tsolis, S. Comparative phylogeography of the five Greek vole species infers the existence of multiple South Balkan subrefugia. Ital. J. Mammal. 2012, 79, 363–376. [Google Scholar] [CrossRef]
- Blackler, W.F.G. On a new species of Microtus from Asia Minor. Ann. Mag. Nat. Hist. 1916, 17, 426–427. [Google Scholar] [CrossRef]
- Corbet, G.B. The Mammals of the Palearctic Region: A Taxonomic Review; British Museum (Natural History): London, UK; Cornell University Press: Ithaca, NY, USA, 1978; 314p. [Google Scholar]
- Harrison, D.L.; Bates, P.J.J. The Mammals of Arabia; Harrison Zoological Museum: Sevenoaks, UK, 1991; 354p. [Google Scholar]
- Yiğit, N.; Markov, G.; Çolak, E.; Kocheva, M.; Akdi, Y. Contributions to taxonomy and morphological diversity of the “guentheri” group vole (mammalia: Rodentia) in the southeast of the Balkan Peninsula. In Proceedings of the 12th International Conference Rodens et Spatium, Zonguldak, Turkey, 19–23 July 2010; p. 38. [Google Scholar]
- Markov, G.; Yiğit, N.; Çolak, E.; Kocheva, M.; Gospodinova, M. Epigenetic diversity and similarity of the voles of “guentheri” group (Mammalia: Rodentia) in Anatolian Peninsula and southeastern part of the Balkan Peninsula. Acta Zool. Bulg. 2014, 66, 159–164. [Google Scholar]
- Yiğit, N.; Markov, G.; Çolak, E.; Kocheva, M.; Saygılı, F.; Yüce, D.; Çam, P. Phenotypic features of the ‘guentheri’ group vole (Mammalia: Rodentia) in Turkey and southeast Bulgaria: Evidence for its taxonomic detachment. Acta Zool. Bulg. 2012, 64, 23–32. [Google Scholar]
- Yiģit, N.; Çetintürk, D.; Çolak, E. Phylogenetic assessment of voles of the Guentheri Group (Mammalia: Microtus) in Turkish Thrace and Western Anatolia. Eur. Zool. J. 2017, 84, 252–260. [Google Scholar] [CrossRef]
- Markov, G. Microtus güentheri strandzensis subsp. nov., eine neue wühlmaus-unterart im Strandza-Gebirge, Ost-bulgarien. C. R. Acad. Bulg. Sci. 1960, 13, 615–661. [Google Scholar]
- Kryštufek, B.; Vohralík, V.; Zima, J.; Koubinova, D.; Bužan, E.V. A new subspecies of the Iranian Vole, Microtus irani Thomas, 1921, from Turkey (Mammalia: Rodentia). Zool. Middle East 2010, 50, 11–20. [Google Scholar] [CrossRef]
- Zorenko, T.A. Morphology of genitals and sexual behavior of social voles of the subgenus Sumeriomys (Arvicolinae, Microtus). Zool. J. 2000, 79, 990–999. (In Russian) [Google Scholar]
- Zorenko, T.; Golenishchev, G. The spermatozoa structure peculiarities of the subgenus Sumeriomys (Rodentia, Arvicolinae, Microtus). Russ. J. Theriol. 2015, 14, 105–111. [Google Scholar] [CrossRef]
- Zorenko, T.A.; Kagainis, U. Discrimination of the two subspecies of Microtus hartingi (Rodentia: Arvicolinae) by shape and linear features of the spermatozoon. Russ. J. Theriol. 2021, 21, 143–157. [Google Scholar] [CrossRef]
- Zorenko, A.; Kagainis, U.; Baraškova, L. Does the geometric and linear morphometry of the brain reflect the divergence in the “guentheri” group (Arvicolinae; Sumeriomys)? Russ. J. Theriol. 2020, 19, 45–57. [Google Scholar] [CrossRef]
- Zorenko, T.A.; Golenishchev, F.N.; Skinderskaya, I.A. Behavioral features of social voles of the subgenus Sumeriomys (Arvicolinae, Microtus) during hybridization. Balt. J. Lab. Anim. Sci. 1997, 7, 77–102. (In Russian) [Google Scholar]
- Zorenko, T.A.; Atanasov, N.; Golenishchev, F.N. Behavioral differentiation and hybridization of the European and Asian forms of Harting’ vole Microtus hartingi (Rodentia; Arvicolinae). Russ. J. Theriol. 2016, 15, 133–150. [Google Scholar] [CrossRef]
- Kryštufek, B.; Shenbrot, G.; Klenovšek, T.; Janžekovič, F. Geometric morphometrics of mandibular shape in the dwarf fat-tailed jerboa: Relevancy for trinomial taxonomy. Zool. J. Linn. Soc. 2021, 192, 1363–1372. [Google Scholar] [CrossRef]
- Marr, M.M.; Macleod, N. Geographical variation in Eurasian red squirrel (Sciurus vulgaris L., 1758) mandibles and the issue of subspecies level organization: A failure of history? Biol. J. Linn. Soc. 2019, 128, 337–359. [Google Scholar] [CrossRef]
- Yazdi, F.T.; Adriaens, D.; Darvish, J. Geographic pattern of cranial differentiation in the Asian Midday Jird Meriones meridianus (Rodentia: Muridae: Gerbillinae) and its taxonomic implications. J. Zool. Syst. Evol. Res. 2012, 50, 157–164. [Google Scholar] [CrossRef]
- Potapova, E.G. Zygomasseteric construction in rodents (typological, adaptive and taxonomic aspects). Zool. J. 2014, 93, 841–856. (In Russian) [Google Scholar]
- Anderson, P.S.; Renaud, S.; Rayfield, E.J. Adaptive plasticity in the mouse mandible. BMC Evol. Biol. 2014, 14, 85. [Google Scholar] [CrossRef] [PubMed]
- Barčiovà, L. Advances in insectivore and rodent systematics due to geometric morphometrics. Mammal Rev. 2009, 39, 80–91. [Google Scholar] [CrossRef]
- Voyta, L.L.; Omelko, V.E.; Petrova, E.A. Analysis of the morphometrics variability and intraspecific structure of Sorex minutisimus Zimmerman, 1780 (Lipotyphla: Soricidae) in Russia. Proc. Zool. Inst. RAS 2013, 317, 332–351. (In Russian) [Google Scholar] [CrossRef]
- Hiiemae, K.M. The structure and function of the jaw muscles in the rat (Rattus norvegicus L.) III. The mechanics of the muscles. Zool. J. Linn. Soc. 1971, 50, 111–132. [Google Scholar] [CrossRef]
- Gorodilova, J.V.; Vasil’eva, I.A. Geometric morphometrics of the low jaw of chromosome races of the pygmy mouse (Sylvaemus uralensis Pallas, 1881): Taxonomical and ecological aspects. Adv. Curr. Nat. Sci. Biol. Sci. 2014, 11, 19–24. (In Russian) [Google Scholar]
- Rohlf, F.J. SB Morphometrics at Suny Stony Brook. 2020. Available online: http://www.sbmorphometrics.org/ (accessed on 5 December 2022).
- Klingenberg, C.P. MorphoJ: An integrated software package for geometric morphometrics. Mol. Ecol. Resour. 2011, 11, 353–357. [Google Scholar] [CrossRef] [PubMed]
- Kryštufek, B.; Vohralik, V. Mammals of Turkey and Cyprus—Rodentia I: Sciuridae, Dipodidae, Gliridae, Arvicolinae; Znanstveno-Raziskovalno Središče Koper, Založba Annales, Zgodovinsko Društvo za Južno Primorsko: Ljubljana, Slovenia, 2005; 292p. [Google Scholar]
- Mahmoudi, A.; Darvish, J.; Aliabadian, M.; Khosravi, M.; Golenishchev, F.N.; Kryštufek, B. Chromosomal diversity in the genus Microtus at its southern distributional margin in Iran. J. Vertebr. Biol. 2014, 63, 290–295. [Google Scholar] [CrossRef]
- Kryštufek, B.; Janžekovič, F.; Shenbrot, G.; Ivajnšič, D.; Klenovšek, T. Phenotypic plasticity under desert environment constraints: Mandible variation in the dwarf fat-tailed jerboa, Pygeretmus pumilio (Rodentia: Dipodidae). Can. J. Zool. 2019, 97, 940–951. [Google Scholar] [CrossRef]
- Selçuk, A.Y.; Kaya, A.; Kefelioğlu, Y. Geomorphometric differences among four species of Microtus in Turkey (Mammalia: Rodentia). Zool. Middle East 2017, 64, 27–37. [Google Scholar] [CrossRef]
- Selçuk, A.Y.; Kaya, A.; Kefelioğlua, H. Differences in shape and size of skull and mandible in Talpa species (Mammalia: Eulipotyphla) from Turkey. Zool. Middle East 2019, 65, 20–27. [Google Scholar] [CrossRef]
- Renaud, S.; Rodrigues, H.G.; Ledevin, R.; Pisanu, B.; Chapuis, J.L.; Hardouin, E.A. Divergent in shape and convergent in function: Adaptive evolution of the mandible in Sub-Antarctic mice. Evolution 2018, 72, 878–892. Available online: https://pubmed.ncbi.nlm.nih.gov/29528493/ (accessed on 5 December 2022). [CrossRef]
- Giacomini, G.; Herrel, A.; Chaverri, G.; Brown, R.P.; Russo, D.; Scaravelli, D.; Meloro, C. Functional correlates of skull shape in Chiroptera: Feeding and echolocation adaptations. Integr. Zool. 2022, 17, 430–442. [Google Scholar] [CrossRef]
- Vereshchagin, N.K. The main ecological features of the social vole in the semi-desert zone of the Azerbaijan SSR. Tr. Zool. Inst. Acad. Sci. Azerbaijan SSR 1946, 9, 144–182. (In Russian) [Google Scholar]
- Kasatkin, M.V.; Neronov, V.V. Space usage and reproduction in social voles (Microtus socialis Pallas, 1773) in semi-desert under recently erased fire factor. Bull. Soc. Nat. 1995, 110, 92–97. (In Russian) [Google Scholar]
- Çolak, E.; Sőzen, M.; Yiģit, N.; Özkurt, Ç. A study on ecology and biology of Microtus guentheri Danford and Alston, 1880 (Mammalia: Rodentia) in Turkey. Tr. J. Zool. 1998, 22, 289–295. [Google Scholar]
- Abaturov, D.D. Forage resources, supply with food, and viability of herbivorous mammals. Zool. J. 2005, 84, 1251–1271. (In Russian) [Google Scholar]
- Mavropoulos, A.; Ammann, P.; Bresin, A.; Kiliardis, S. Masticatory demands induce region-specific changes in mandibular bone density in growing rats. Angle Orthod. 2005, 75, 625–630. [Google Scholar] [CrossRef]
- Badyaev, A.V. Stress-induced variation in evolution: From behavioral plasticity to genetic assimilation. Proc. Roy. Soc. B 2005, 272, 877–886. [Google Scholar] [CrossRef] [PubMed]
- Gambaryan, P.P. Adaptive Features of the Organs of Movement of Burrowing Mammals; Publishing House of the Academy of Sciences of the Armenian SSR: Yerevan, Armenia, 1960. (In Russian) [Google Scholar]
- Fraguedakis-Tsolis, S.E.; Chondropoulos, B.P.; Stamatopoulos, C.V.; Giokas, S. Morphological variation of the five vole species of the genus Microtus (Mammalia, Rodentia, Arvicolinae) occurring in Greece. Acta Zool. 2009, 90, 254–264. [Google Scholar] [CrossRef]
- Abramson, N.I.; Bodrov, S.Y.; Bondareva, O.V.; Genelt-Yanovskiy, E.A.; Petrova, T.V. A mitochondrial genome phylogeny of voles and lemmings (Rodentia: Arvicolinae): Evolutionary and taxonomic implications. PLoS ONE 2021, 16, e0248198. [Google Scholar] [CrossRef] [PubMed]
- Markov, G.; Dimitrov, H. Habitat fragmentation and its implications for abundance of Guenther’s vole in southeastern Bulgaria (Strandzha mountain region). Biotechnol. Biotechnol. Equip. 2010, 24, 679–682. [Google Scholar] [CrossRef]
- Kryštufek, B.; Zorenko, T.; Bontzorlos, V.; Mahmoudi, A.; Atanasov, N.; Ivajnšič, D. Incipient road to extinction of a keystone herbivore in south-eastern Europe: Harting’s vole (Microtus hartingi) under climate change. Clim. Change 2018, 149, 443–456. [Google Scholar] [CrossRef]
- Latvian Council of Science 2018. Scientist’s Ethics Code. Section 2.7. Riga. Available online: https://www.lzp.gov.lv/index.php?mylang=english (accessed on 5 December 2022).






| Forms | Numbers of Specimens | |||||
|---|---|---|---|---|---|---|
| Crania | Mandibles | |||||
| Females | Males | Total | Females | Males | Total | |
| Gue | 10 | 10 | 20 | 10 | 10 | 20 |
| Phi | 10 | 15 | 25 | 9 | 13 | 22 |
| Har R | 18 (3) * | 22 (2) * | 40 (5) * | 20 (12) * | 23 (10) * | 43 (22) * |
| Ank | 10 | 9 | 19 | 10 | 9 | 19 |
| Str | 11 | 11 | 22 | 10 | 11 | 21 |
| Total | 59 | 67 | 126 (5) | 59 (12) | 66 (10) | 125 (22) |
| Traits | |||||||
|---|---|---|---|---|---|---|---|
| Forms | Cranium | Mandible | |||||
| LM 1- 6 * m ± SE | LM 5–6 m ± SE | LM 5–8 m ± SE | LM 16–17 m ± SE | LM 5–12 m ± SE | LM 11–14 m ± SE | LM 5–20 m ± SE | |
| Gue | 26.7 ± 0.25 | 7.0 ± 0.10 | 3.7 ± 0.06 | 2.1 ± 0.03 | 8.9 ± 0.11 | 14.1 ± 0.21 | 9.2 ± 0.11 |
| Phi | 26.6 ± 0.24 | 6.9 ± 0.11 | 3.6 ± 0.05 | 1.9 ± 0.04 | 9.2 ± 0.10 | 14.3 ± 0.10 | 9.8 ± 0.10 |
| Ank | 29.1 ± 0.27 | 7.1 ± 0.13 | 3.98 ± 0.08 | 2.3 ± 0.05 | 9.6 ± 0.10 | 15.6 ± 0.11 | 10.1 ± 0.09 |
| Str | 27.8 ± 0.20 | 6.9 ± 0.08 | 4.2 ± 0.05 | 2.5 ± 0.02 | 9.3 ± 0.10 | 15.3 ± 0.13 | 9.7 ± 0.09 |
| Har R | 30.6 ± 0.13 | 7.4± 0.09 | 5.1 ± 0.08 | 2.7 ± 0.04 | 10.6 ± 0.26 | 16.7 ± 0.10 | 10.8 ± 0.25 |
| Measurements | “Eastern” Cluster n = 42 | “Western” Cluster n = 48 | t Test | p Value |
|---|---|---|---|---|
| LM 5–8 | 3.62 ± 0.04 | 4.68 ± 0.008 | t = 11.79 | <0.001 |
| LM 16–17 | 1.91 ± 0.01 | 2.58 ± 0.03 | t = 14.00 | <0.001 |
| LM 5–12 | 9.03 ± 0.07 | 10.05 ± 0.18 | t = 5.36 | <0.001 |
| LM 11–14 | 14.22 ± 0.13 | 16.02 ± 0.13 | t = 9.82 | <0.001 |
| LM 5–20 | 9.51 ± 0.08 | 10.27 ± 0.16 | t = 4.23 | <0.001 |
| Measurements | Ank n = 19 | Ank vs. “Eastern” Cluster t Test, p Value | Ank vs. “Western” Cluster t Test, p Value |
|---|---|---|---|
| LM 5–8 | 3.98 ± 0.08 | t = 3.98, p < 0.001 | t = 2.39, p < 0.02 |
| LM 16–17 | 2.27 ± 0.05 | t = 3.93, p < 0.001 | t = 2.88, p < 0.001 |
| LM 5–12 | 9.61 ± 0.10 | t = 8.20, p < 0.001 | t = 3.41, p < 0.001 |
| LM 11–14 | 15.62 ± 0.11 | t = 8.25, p < 0.001 | t = 2.28, p < 0.05 |
| LM 5–20 | 10.10 ± 0.09 | t = 4.92, p < 0.001 | t = 0.93 |
| Individuals | Dataset | F | p Value | |
|---|---|---|---|---|
| Forms | Cranium | CS | 118.87 | <0.0001 |
| Shape | 10.84 | <0.0001 | ||
| Mandible | CS | 61.13 | <0.0001 | |
| Shape | 18.00 | <0.0001 | ||
| Sex | Cranium | CS | 0.85 | 0.3591 |
| Shape | 1.33 | 0.0882 | ||
| Mandible | CS | 0.71 | 0.3998 | |
| Shape | 1.79 | 0.0025 |
| Forms | Mah.dist. | Perm.p. | Proc.dist. | Perm.p. | Mah.dist. | Perm.p. | Proc.dist. | Perm.p. |
|---|---|---|---|---|---|---|---|---|
| Gue | Phi | |||||||
| Cranium | ||||||||
| Phi | 6.1696 | <0.0001 | 0.0236 | <0.0001 | - | - | - | - |
| Har R | 8.8259 | <0.0001 | 0.0331 | <0.0001 | 7.8984 | <0.0001 | 0.0222 | <0.0001 |
| Ank | 6.5101 | <0.0001 | 0.0208 | <0.0001 | 7.8335 | <0.0001 | 0.0226 | <0.0001 |
| Str | 7.3190 | <0.0001 | 0.0237 | <0.0001 | 4.8337 | <0.0001 | 0.0259 | <0.0001 |
| Mandible | ||||||||
| Phi | 6.7497 | <0.0001 | 0.0410 | <0.0001 | - | - | - | - |
| Har R | 6.2963 | <0.0001 | 0.0412 | <0.0001 | 9.5139 | <0.0001 | 0.0664 | <0.0001 |
| Ank | 4.6236 | <0.0001 | 0.0219 | <0.0001 | 8.2303 | <0.0001 | 0.0453 | <0.0001 |
| Str | 9.2308 | <0.0001 | 0.0439 | <0.0001 | 11.1936 | <0.0001 | 0.0647 | <0.0001 |
| Har R | Ank | |||||||
| Cranium | ||||||||
| Phi | - | - | - | - | - | - | - | - |
| Har R | - | - | - | - | - | - | - | - |
| Ank | 6.7391 | <0.0001 | 0.0244 | <0.0001 | - | - | - | - |
| Str | 4.8337 | <0.0001 | 0.0263 | <0.0001 | 5.8432 | <0.0001 | 0.0185 | <0.0001 |
| Mandible | ||||||||
| Phi | - | - | - | - | - | - | - | - |
| Har R | - | - | - | - | - | - | - | - |
| Ank | 6.2203 | <0.0001 | 0.0371 | <0.0001 | - | - | - | - |
| Str | 7.7632 | <0.0001 | 0.0381 | <0.0001 | 7.1452 | <0.0001 | 0.0378 | <0.0001 |
| Forms | T2 | Param.p. | Perm.p. (T2) | Perm.p. (Proc.) | T2 | Param.p. | Perm.p. (T2) | Perm.p. (Proc.) |
|---|---|---|---|---|---|---|---|---|
| Gue | Phi | |||||||
| Cranium | ||||||||
| Phi | 2563.7021 | 0.0004 | 0.0010 | <0.0001 | - | - | - | - |
| Har R | 3889.0052 | <0.0001 | <0.0001 | <0.0001 | 1508.2471 | <0.0001 | <0.0001 | <0.0001 |
| Ank | 2963.6369 | 0.2002 | 0.1840 | <0.0001 | 4618.4857 | 0.0002 | <0.0001 | <0.0001 |
| Str | 1828.7075 | 0.0237 | 0.0260 | <0.0001 | 1524.6141 | 0.0003 | <0.0001 | <0.0001 |
| Mandible | ||||||||
| Phi | 3709.7957 | 0.0165 | 0.0160 | <0.0001 | - | - | - | - |
| Har R | 3306.9446 | 0.0062 | 0.0040 | <0.0001 | 4757.6974 | 0.0006 | <0.0001 | <0.0001 |
| Ank | 578.6997 | 0.6723 | <0.0001 | <0.0001 | 2851.9073 | 0.0774 | 0.0770 | <0.0001 |
| Str | 3894.1894 | 0.0150 | 0.0190 | <0.0001 | 4175.0544 | 0.0458 | 0.0420 | <0.0001 |
| Har R | Ank | |||||||
| Cranium | ||||||||
| Phi | - | - | - | - | - | - | - | - |
| Har R | - | - | - | - | - | - | - | - |
| Ank | 1110.7694 | <0.0001 | <0.0001 | <0.0001 | - | - | - | - |
| Str | 1815.6868 | <0.0001 | <0.0001 | <0.0001 | 3738.9764 | 0.0162 | 0.0190 | <0.0001 |
| Mandible | ||||||||
| Phi | - | - | - | - | - | - | - | - |
| Har R | - | - | - | - | - | - | - | - |
| Ank | 4892.7504 | 0.0098 | 0.0140 | <0.0001 | - | - | - | - |
| Str | 11,455.2269 | <0.0001 | <0.0001 | <0.0001 | 33,813.5451 | <0.0001 | <0.0001 | <0.0001 |
| Groups | Females | |||
|---|---|---|---|---|
| T2 | Param.p. | Perm.p. (T2) | Perm.p. (Proc.) | |
| Cranium | ||||
| Males | 85.8356 | 0.0266 | 0.0320 | 0.1950 |
| Mandible | ||||
| Males | 99.3185 | 0.0190 | 0.0180 | 0.0890 |
Disclaimer/Publisher’s Note: The statements, opinions and data contained in all publications are solely those of the individual author(s) and contributor(s) and not of MDPI and/or the editor(s). MDPI and/or the editor(s) disclaim responsibility for any injury to people or property resulting from any ideas, methods, instructions or products referred to in the content. |
© 2023 by the authors. Licensee MDPI, Basel, Switzerland. This article is an open access article distributed under the terms and conditions of the Creative Commons Attribution (CC BY) license (https://creativecommons.org/licenses/by/4.0/).
Share and Cite
Zorenko, T.; Kagainis, U.; Golenishchev, F.; Barashkova, L. Geometric Morphometrics of the Cranium and Mandible in Social Voles of the “Guentheri” Group (Arvicolinae: Sumeriomys). Diversity 2023, 15, 83. https://doi.org/10.3390/d15010083
Zorenko T, Kagainis U, Golenishchev F, Barashkova L. Geometric Morphometrics of the Cranium and Mandible in Social Voles of the “Guentheri” Group (Arvicolinae: Sumeriomys). Diversity. 2023; 15(1):83. https://doi.org/10.3390/d15010083
Chicago/Turabian StyleZorenko, Tanya, Ugis Kagainis, Fedor Golenishchev, and Lubova Barashkova. 2023. "Geometric Morphometrics of the Cranium and Mandible in Social Voles of the “Guentheri” Group (Arvicolinae: Sumeriomys)" Diversity 15, no. 1: 83. https://doi.org/10.3390/d15010083
APA StyleZorenko, T., Kagainis, U., Golenishchev, F., & Barashkova, L. (2023). Geometric Morphometrics of the Cranium and Mandible in Social Voles of the “Guentheri” Group (Arvicolinae: Sumeriomys). Diversity, 15(1), 83. https://doi.org/10.3390/d15010083

