Abstract
Climate change’s negative effects, such as rising global temperatures and the disruption of global ecological ecosystems as a direct effect of rising carbon emissions in the atmosphere, are a significant concern for human health, communities, and ecosystems. The condition and presence of forest ecosystems, especially those in peri-urban areas, play an essential role in mitigating the negative effects of climate change on society. They provide direct benefits to the residents of large cities and their surrounding areas, and they must be managed sustainably to protect all their component ecosystems. This research was carried out in the forests of Lunca Muresului Natural Park and Bazos Arboretum, located in the Romanian sector of the Pannonian Plain, near urban agglomerations. The results showed high variability in the stands. Using the height-to-diameter ratio indicator concerning dbh and species, a strong Pearson correlation was registered (between 0.45 and 0.82). These values indicate the high stability of these stands, providing positive human–nature interactions such as recreational or outdoor activities (and a complementary yet indirect use value through attractive landscape views). Protecting these ecosystems offers a so-called insurance policy for the next generations from a climate change standpoint.
1. Introduction
Nowadays, one of the most critical environmental concerns of society is the increasing impact of greenhouse gas emissions, with the most essential being CO2, which subsequently influences the greenhouse effect in the atmosphere [1]. Many consider it climate change [2,3,4] or global warming [5]. As Europe has been projected to be the third-largest carbon emitter in the world [6] and forests act as carbon sinks [7], the paradigm is seen to shift slowly but steadily toward a socio-climate focused on national and international policies with increasing pressure on forests in many cases [8,9,10,11]. While climate change has been seen to influence drastic changes in current policy frameworks, policy-makers have also considered other factors, such as urban expansion, migration, and the increasing need for sustainable resource provision and agriculture [12,13]. As migration and urban expansion increase so does the need for more food and resources; thus, forests are faced with an old yet controversial problem of conversion to the agricultural land [14,15] more commonly seen in plain areas.
Forests absorb and store CO2 through photosynthesis, reducing the amount of greenhouse gases in the atmosphere and mitigating the effects of climate change. Forests also store carbon in the form of wood, leaves, and other organic matter, helping to keep carbon locked away for long periods. When forests are cut down or burned, the carbon stored in the trees and other vegetation is released into the atmosphere, contributing to the buildup of greenhouse gases. Thus, forests can also act as a source of greenhouse gas emissions when disturbed through deforestation, forest fires, and other land use changes. Therefore, it is essential to manage forests sustainably to maximize their ability to act as a sink for greenhouse gases and minimize their contribution as a source. In this context, a possible solution for the sustainable management of forest ecosystems and the fulfillment of global policy guidelines resides in more effective management of forest areas [16,17,18]. Last but not least, forest management must also consider preserving the beneficial effects of forest ecosystems [19,20], such as clean water or recreation.
Forests with special protection functions, in some cases, predominantly social or water, land, and soil protection, have an essential role in protecting forest ecosystems [21,22] while also securing material resources and exercising the provision function of a forest ecosystem [23,24]. According to the forest legislative framework in Romania, only conservation cuttings are allowed in these areas. To a certain extent, without influencing the main protective role of the forest, these types of cuttings are defined by certain interventions, which are applied in forest stands, that fulfill special protection functions and aim to allow the establishment of a new tree group using low-intensity actions with a maximum of 10–15% of standing volume per decade [25]. Since 1954, Romania’s area of forests with special protection functions has increased from 12.7% of national forest land to approximately 66% in 2021.
Natural resources suffer the most in the face of urban land expansion into the surroundings mainly due to being often affected or displaced. Moreover, urban expansion is believed to directly influence the transformation or loss of forest areas and their management. While urbanization near forested areas increases, it affects the lives of most people in the transition, as forests act as a home for social and ecological services that improve human health and well-being [26]. At the same time, Henwood et al. [27] suggested that management can evolve into ensuring extended benefits regarding trees, woods, and forests which society might need at a personal level with deep implications toward communities and the cultures in which they live.
Addressing the protection of stable forests, measurable adequate evidence-based support is believed to enhance forest stability, which is similar to having a life insurance policy providing certain security for future generations [28]. Forests can partially mitigate natural hazards, such as erosion, floods, or rock falls [29]; out of these, river and coastal floods are the most critical hazards in many floodplains and coastal stretches of Central and Eastern Europe, with an expected annual damage (EAD) in Romania of USD 289 million up to 2050 [4]. These natural hazards can be predicted by analyzing tree and stand stability, and forest managers can take appropriate measures to mitigate or prevent such events [30,31,32]. Therefore, stand stability is a critical characteristic [33,34] regarding forest resilience. The research in this area focused on a clear correlation and prediction of height-to-diameter ratio (h/d ratio), in which species mixtures were also considered to provide insights into the overall stability generated by human–forest interaction [35,36]. Recent research [35] has shown that this relationship between diameter and height is an important factor in forest research. Through this relationship, stand volumes and biomass can be estimated [37,38,39], but it can also give information on tree and stand growth [40], as well as information on stand productivity [41].
The aim of this study was to highlight the importance of peri-urban forests and their role in society. The objectives of this research were (i) to analyze the stand structure of several peri-urban forests located in the eastern sector of the Pannonian Plain in Romania; (ii) to highlight resilience through the stability of these forest ecosystems; and (iii) to generally assess the urban land expansion in the region and its implications for current and future generations.
2. Materials and Methods
This research was conducted in the Lunca Muresului Natural Park and the Bazos Arboretum (Figure 1) located in the western part of Romania on the Western Plains, which is the Romanian sector of the Pannonian Plain. The study area consists of forests located in the peri-urban region, composed of common oak (Quercus robur sp.) with special protection interest and scientific interest in conserving the gene pool and other ecosystems characterized by natural elements with special value.
Figure 1.
Research area location.
According to their geographical position, these forest stands are found in the area of the continental climate, with sub-Mediterranean influence, where winters are milder, shorter, and relatively cold, while the summers are humid and long. According to the Kὅppen Climatic Classification, they are located in the Cfax climate type and described by a mild, humid climate with rainfall all year, where temperatures in the hottest month of the year (June) exceed 22 °C, and maximum rainfall is recorded at the end of spring with the minimum rainfall falling at the end of winter.
The humidity index has an average value of 60–80%, with lower values recorded during fall and winter, while higher values were reported in spring and summer. The average temperature of the year ranged between 9 and 11 °C, with amplitudes rising steadily to 22–23 °C. The average temperature in January exceeds −2 °C, while the average in July reaches 20–21 °C; these temperatures are characteristic for the forest-steppe climate.
The forest stands in the areas studied are included in zones with special protection functions in which only special conservation and sanitary cuttings are allowed to some extent. The management of these types of forests is focused on the conservation of the living and nonliving ecosystem components, which results, in general, to less human influence over time.
In order to conduct this study, four sample plots of one hectare each (100 m × 100 m) were installed and used to measure forest stands. The research plots were installed between 2014 and 2018 and are located in areas with no slope and at an altitude between 107 and 111 m above sea level. The dominate soil type is preluvosols, and over time, it has not been affected by gelling processes following the drop in groundwater levels. We collected information about the tree species, as well as the position and shape of the trees; biometric characteristics, such as diameter at breast height (dbh) of all the trees that exceed 2 cm; and the total height and assessed wood quality class of the tree. In order to assess the wood quality, 4 quality classes were taken into consideration (I, II, III, and IV) in relation to the percentage of industrial wood from total height of the tree (I > 0.5%; II = 0.25–0.50%; III = 0.1–0.25%; IV < 0.1%).
The total above ground tree volume was determined (including branches above five centimeters) using Equation (1) [42,43,44]. Moreover, the total stand volume was determined by adding the individual tree volumes:
where h represents the tree’s total height expressed in meters, d represents the dbh expressed in centimeters, v represents the volume of the tree expressed in cubic meters, and a0, a1, a2, a3, and a4 are regression coefficients customized for each species from yield tables [42,45].
log v = a0 + a1 log d +a2 log d2 + a3 log h + a4 log h2
To summarize the samples and analyses to be carried out, the main statistical parameters of stand characterization were determined using the R PASTECS package from R software version 1.3.21 [46].
In order to evaluate the forest stand stability and adapt current forest management to the concerns and needs of society, an analysis of the optimal structures of the stands in the areas studied is required to establish the most appropriate theoretical functions to describe these stands. This was undertaken using the theoretical functions Normal [47], the 2-parameter Gamma [47], and Weibull [48] because they are characterized by high flexibility and accuracy in describing the stands [49]. The goodness of fit was tested using the chi-square criterion and the Kolmogorov–Smirnov [50] test.
The graphical analyses were performed using R Studio’s plot function [51].
3. Results
3.1. Descriptive Statistics
The statistical indicators reveal that in all four plots, there is a relatively large variation, evidenced by the values of standard deviation, variance, and coefficient of variation (Table 1). In all four research plots, the number of trees (per hectare) varies from 203 (Bazos) to 722 (Bezdin); most of them contain more than 607 trees, except for the Bazos research plot where the stand is older (160 years old according to the management plan), larger in size, and has fewer trees. The minimum diameter varies from 2.35 (Ceala plot) to 11.50 cm (Bazos plot), the maximum diameter varies from 55.00 (Popin plot) to 108.00 cm (Bazos plot), and the average diameter ranges from 18.20 (Ceala plot) to 47.07 cm (Bazos plot). The standard deviation ranged from 11.49 (Popin plot) to 22.69 (Bazos plot), and the minimum coefficient of variation was 55% (Popin plot), and the maximum was 98% (Bazos plot). The variance values ranged from 132.08 (Popin plot) to 514.97 (Bazos plot).
Table 1.
Descriptive statistics of diameters.
3.2. Fitting of Experimental Diameter Distribution
The experimental and theoretical diameter distributions of the four research surfaces are graphically represented. From Figure 2, it can be seen that the four stands possess different structures, according to this analysis. Using theoretical functions with a high degree of diversity, it was possible to capture as well as possible the shape of the experimental distribution of the stands, while it could be seen that the structure of none of the stands was described by the theoretical normal function, showing that the stands do not have the characteristics of an even-aged stand.

Figure 2.
Fitting of experimental dbh distribution.
Using goodness-of-fit tests, the results obtained indicate that following the application of the chi-square criterion within the Bazos and Popin plots, there were no significant differences between the experimental and theoretical values (Table 2). Applying the same significance test for the Bezdin and Ceala plots, significant differences were recorded only for the normal distribution. No significant differences were recorded for the other distributions (Weibull and Gamma).
Table 2.
Results of applying statistical tests to the experimental distribution of diameters.
Applying the Kolmogorov–Smirnov significance test to all the plots for standardized data, significant differences between the theoretical and experimental values were recorded. However, it could be observed that the differences between the experimental and theoretical values were lower for the Weibull and Gamma functions, but it should be mentioned that the Kolmogorov–Smirnov test is much more rigorous than the chi-square criterion.
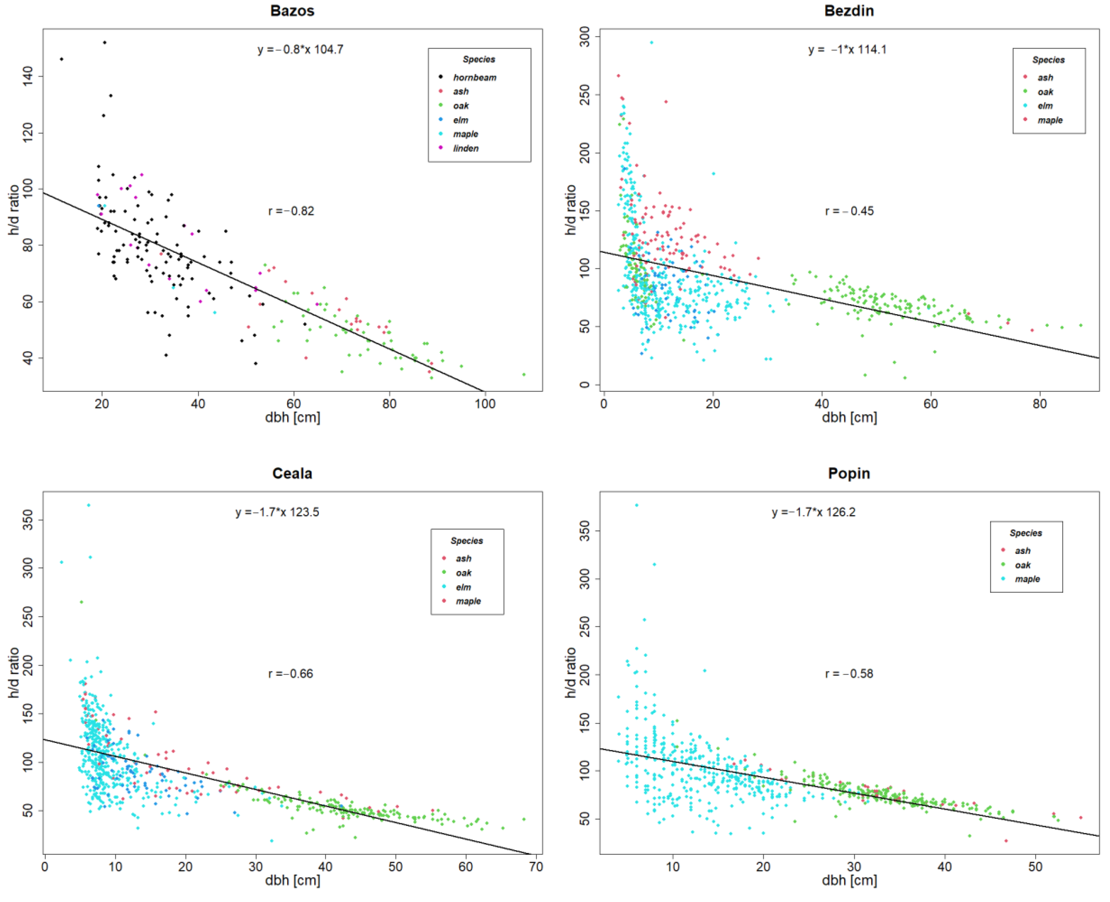
3.3. Stand Stability Height-to-Diameter Ratio (h/d Ratio) in Relation to Diameter and Species
Our analysis revealed that the description of the curve between h/d ratio in relation to diameter and species for the four survey areas shows a decreasing trend (Figure 3). In conjunction with the value of the correlation coefficient with values between 0.45 (Bezdin) and 0.82 (Bazos), it can be affirmed, with some certainty, that there is a high to very high correlation between the mentioned characteristics for almost all stands. An exception is the Bezdin plot, where ash (Fraxinus excelsior sp.) and elm (Ulmus minor sp.) trees (mixture species) are more distributed in the lower diameter categories, and only oak trees are found in the upper diameter categories, which are older, and as they were the first to settle in the research area, they manage to overlap other species.
Figure 3.
Diameter distribution in relation to species and height-to-diameter ratio.
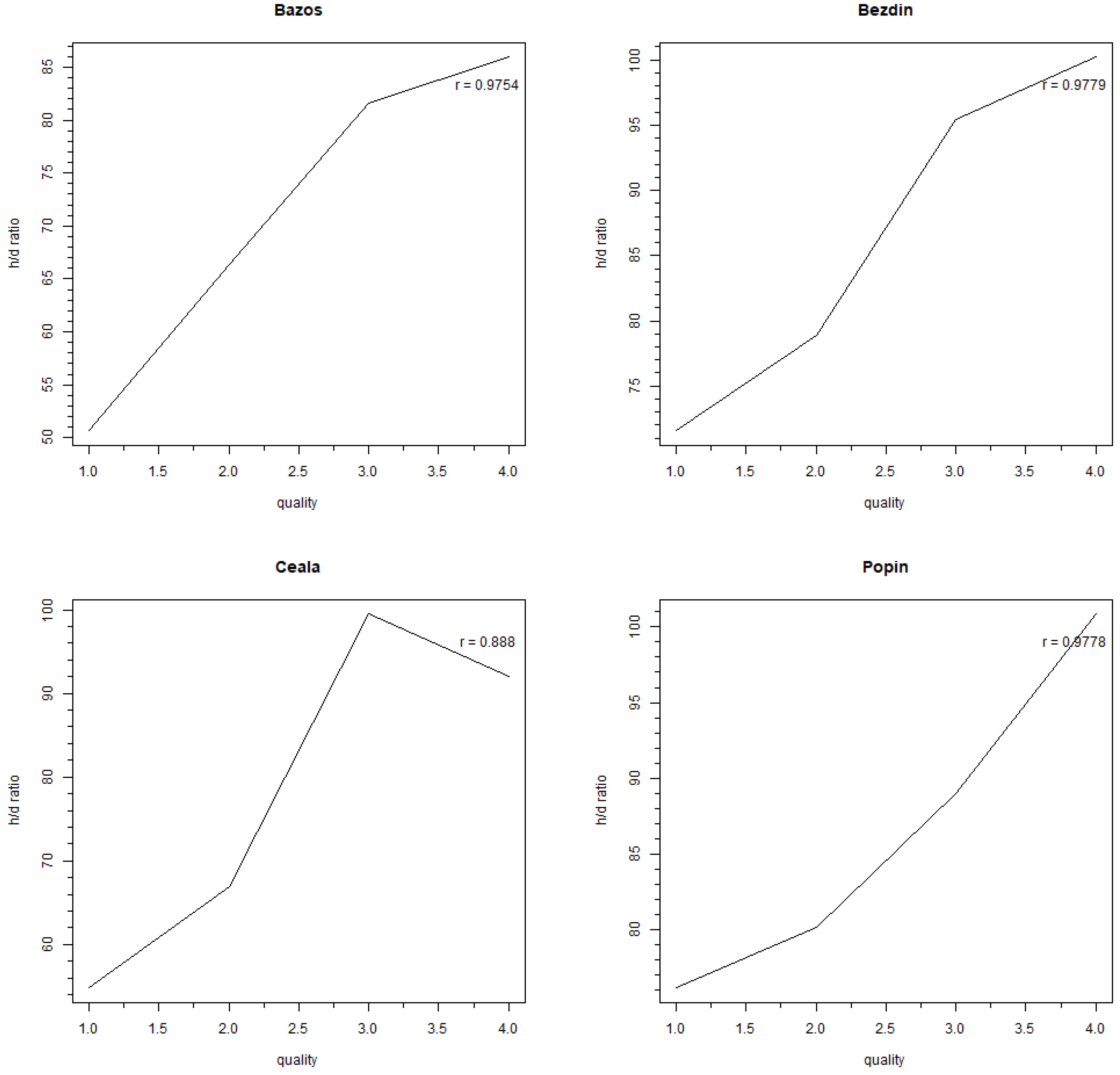
3.4. Stand Stability Height-to-Diameter Ratio (h/d Ratio) in Relation to Wood Quality
For all the research areas, the comparative analyses between the h/d ratio and wood quality were performed (Figure 4) and showed a very close relationship between the two stand characteristics, expressed by correlation coefficient values ranging between 0.975 and 0.977. In addition, the results revealed that for all research plots, a higher wood quality was recorded for lower values of the h/d ratio. A small exception was observed in the Ceala research plot, where the fourth (lower) quality class recorded slightly lower h/d ratio values compared to the third (middle to lower) quality class, which is largely due to the species in the stand composition, which has lower longevity (e.g., Populus sp.).
Figure 4.
Relationship between h/d ratio and wood quality.
It can also be added that the h/d ratio values recorded for wood quality class 1 (superior) ranged from 50 (Bazos plot) to 76 (Popin plot). For the fourth (lower) quality class, the minimum value recorded for this indicator was 81 (Ceala plot), and the maximum was 101 (Popin plot). The optimal values recorded for this characteristic of the researched stands ranged from 70 (Bazos plot) up to 85 (Bezdin and Popin plots).
4. Discussion
The analysis of the main statistical indicators revealed high variability in diameters in all four research plots. Hence, the values of the coefficient of variation of the diameters were recorded to be 20–30% higher than the specific values for the even-aged stands [52]. At the same time, the amplitude between minimum and maximum dbh indicates an uneven-aged structure of these stands [53,54,55]. It should be added that uneven-aged stands are generally known to confer a high degree of stability compared to even-aged stands [56], thus providing protection against natural hazards [4] and increasing the resilience of forests overall.
By fitting experimental distributions of diameters, a descending trend of diameters was observed, with most of them found in the small diameter categories. This pattern is characteristic of uneven-aged stands [57]. Further confirmation of the uneven-aged structure is the fact that the experimental distribution of diameters differed significantly from the theoretical Normal distribution, which is considered an indicator of the uneven-aged structure [58].
As Weibull distribution is known to provide a more flexible diameter distribution description [59], it has been possible to capture the characterization of the trees in the stands in more detail. Despite the fact that the results showed differences in the null hypothesis test using the Kolmogorov–Smirnov test, it should be pointed out that this test is more demanding than the chi-square criterion [60]. At the same time, the differences between the theoretical and experimental values recorded were not very large. However, the tree diversity recorded is high, highlighting their importance, mostly because it is known that urban and peri-urban forests with low tree diversity have a high risk of potential ecological disturbances [61].
Even though the term stability has no generally accepted definition, authors such as Grimm and Wissel [62] suggested that constancy, resilience, and persistence are the main stability properties, whereas [63] stressed that the vital stability properties in protective forests are resistance and elasticity and looked to assess the forests’ stability properties through such forest responses to disturbances using silvicultural means.
A tree shape, expressed by the h/d ratio, is a good indicator of tree susceptibility to windthrow and snowthrow [64,65] and has been successfully applied in the past for this description [66]. As in other studies [67,68], a trunk shape in the surveyed plots was influenced by silvicultural treatment.
Stand stability plays an important role in the evolution of forest ecosystems, and each tree contributes to the stability of the whole stand. The elements that significantly influence stand stability include component species, growth stage, density, structure, height-to-diameter ratio (h/d ratio), wood quality, phytosanitary conditions, and the presence of wounds caused by biotic factors [34,69]. Recent research has shown a close relationship between two of these elements, especially the height-to-diameter ratio (h/d ratio) and wood quality [67,70,71].
These elements are easy to obtain, especially the height-to-diameter ratio (h/d ratio), and can also provide valuable information on stand stability [67,70] and, for managed stands, indicate the appropriate application of silvicultural treatments [72].
However, perceiving stability as a general ecosystem function might raise some issues regarding forest management due to its diverse implications. In addition to the stability they offer, the peri-urban forests investigated offer direct use value (recreation) and indirect use value (scenic views) [73]. Thus, stability becomes a factor of specific forest characteristics of high importance to society, acting toward protection against various drivers of disturbances, such as changes in the structure and quality of the environment and issues related to biotic factors [4].
The stability of trees and forests near urban areas comes as an informal request of society to access the forest for different recreational reasons safely. In Eastern Europe, they not only exercise their perceived rights but act as a consequence of changes in public access to forests since the dawn of communism and the modern influences of the EU policies. Romania, along with Croatia and Serbia, had no regulations during the 1990s regarding public access to private forests, yet after the communist era and since 2008, private forest owners in Romania gained the legal right to exclusion, prohibiting public access to private forests, even on forest roads [74]. However, among the other rights of owners (access, withdrawal, management, exclusion, and alienation), exclusion rights are the only real freedom that the private owner has; this issue is stressed by Nichiforel et al. [75], suggesting that private owners are becoming creative through rent-seeking activities which imply innovation in the case of Romania and are indirectly producing “rights” for themselves.
Nevertheless, this study is located in a state-owned forested area under protection; the public access is open to a certain extent and is restricted only under extreme conditions (forest fires, floods, wind throws, etc.). Whilst private owners are seeking opportunities to exercise and extend their rights, the state provides ecosystem services, such as recreational, aesthetic, and other similar societal needs, free of cost in most cases, based on the services provided. Whether private owners would take the opportunity and set aside part of their forest due to increased urbanization and societal needs is problematic. Setting aside part of one’s property requires incentives under the form of compensations, whereas Romania’s compensation schemes are highly regulated, overly bureaucratic, and time-consuming, and forest owners are becoming reticent to such voluntary actions.
Interestingly enough, by forecasting global urban expansion, Seto et al. [76] generally predicted for Europe that the average city would have an annual urban expansion rate of 2.50%, with around 86% attributed to GDP (gross domestic product) per capita growth and 4% attributed to population growth. Globally, the above-mentioned ‘‘average’’ city in the recorded study exhibited an urban population growth rate of 2.18% and an urban land expansion growth rate of 4.84%. This indicates that each city in the study added almost 46,000 urban dwellers per year and approximately 13.5 km2 of new urban land. According to the Romanian National Institute of Statistics database [77], the overall population growth in urban areas in the studied regions decreased by more than 1% on average, while in rural areas, it increased by 1.5% on average. Regarding the dwellings nearby cities, the overall population growth in rural areas in a 10-year span exceeds 8%. However, in Romania, the 39% growth in GDP per capita in the Western region since 2009 [78] might have influenced urban expansion into rural areas.
Taking into account that forests are constantly mentioned within the ecological development discourse, specifically for rural areas with urban characteristics, the role of forests becomes more diverse rather than just production or afforestation/reforestation. Near urban areas, forestry falls out of its traditionalism and purposes and reinvents itself as urban forestry, where the quality of life aspects shade out the forest impact aspects [79].
The preservation of these ecosystems and the role that their stability plays in providing a so-called life insurance policy for future generations must be considered, mainly due to the low predictability of natural hazards (e.g., windthrow and snowthrow); however, an increase in tree and stand stability can mitigate the impact of natural hazards. By acquiring this knowledge, forest managers can adapt their management to mitigate the impact of such natural hazards.
5. Conclusions
Seen as a significant challenge to countries all over the globe, greenhouse gas (GHG) emissions have gained increased attention over recent decades due to the social problems caused, such as climate change, higher sea levels, and certain fauna extinction. Researchers are trying to find practical solutions to limit their negative effects and impacts on society while, at the same time, addressing the challenges raised by recent greenhouse gas policies on a national and international level.
In the past few years, climate change has gained the notoriety of a “climate crisis”; it became a social issue due to its social impact, with the right to access forests being highly considered in policy formulation. The ongoing increase in large-scale droughts, numerous forest disturbances, and, more importantly, land use changes has led to severe human migration, creating or expanding communities. Therefore, the management of these ecosystems must be adaptive and, at the same time, long-term.
Urbanization and land expansion have led to and will intensify migration from urban to rural areas. As in other European countries, in Romania, urban areas are expected to become larger and overpopulated, and it is believed this will harm people’s well-being and health.
Altering the dynamics of human–nature interactions, urbanization influences changes in spatial (overpopulation in cities), temporal (increasing negative interactions over time), and socio-economic inequalities (increased positive interactions among wealthier individuals). The population growth in rural areas comes as a reaction to increased urbanization, and based on the growth in GDP per capita, the environment is faced with much more pressure, especially in terms of ecological and social functions, as households from more socio-economically advantaged backgrounds are expected to make the transition to rural areas and are usually known to be involved in solving environmental and social issues in the local community and ask for their rights by law.
Due to the increase in human–nature interactions in the past decade, beneficial environmental effects are commonly sought in the form of resources, protection from predators, stability and resilience to disturbances, well-being, health, and safety. However, these benefits usually come with a cost, as in the case of recreational activities in protected areas, which can exert negative impacts on local biodiversity. The future management of these peri-urban forests must consider their conservation status and the expansion of these areas where possible concerning the communities. Thus, it implies the establishment of integrated forest management where all ecosystem services are balanced through a participatory approach and fair involvement, satisfying all user needs and mitigating conflicts.
Author Contributions
Conceptualization, S.C. and N.C.; methodology, S.C., M.H. and N.C.; software, S.C.; validation, S.C. and R.G.R.; formal analysis, S.C. and F.C.; investigation, N.C.; resources, N.C. and O.B.; data curation, F.C.; writing—original draft preparation, S.C. and N.C.; writing—review and editing, S.C., M.H. and R.G.R.; visualization, M.H.; supervision, S.C. and O.B; project administration, S.C.; funding acquisition, S.C. and O.B. All authors have read and agreed to the published version of the manuscript.
Funding
This research was funded partially by the BIOSERV Programme, Project ID PN19070103, through the CresPerfInd project—“Increasing the institutional capacity and performance of INCDS “Marin Drăcea” in the activity of RDI”(Contract No. 34PFE./30.12.2021), financed by the Ministry of Research, Innovation, and Digitization through Program 1—Development of the national research—development system, Subprogram 1.2—Institutional performance—Projects to finance excellence in RDI, and partially by Contract 47/N/2019 between the Ministry of Waters and Forests and the National Institute for Research and Development in Forestry “Marin Drăcea” in supporting activities for estimating and reporting national greenhouse gas emissions and retention in forest land use as part of the Land Use and Land Use Change and Forestry sector.
Institutional Review Board Statement
Not applicable.
Informed Consent Statement
Not applicable.
Data Availability Statement
Not applicable.
Conflicts of Interest
The authors declare no conflict of interest.
References
- Wang, X.; Khurshid, A.; Qayyum, S.; Calin, A.C. The Role of Green Innovations, Environmental Policies and Carbon Taxes in Achieving the Sustainable Development Goals of Carbon Neutrality. Environ. Sci. Pollut. Res. 2022, 29, 8393–8407. [Google Scholar] [CrossRef]
- Whyte, K. Indigenous Climate Change Studies: Indigenizing Futures, Decolonizing the Anthropocene. Engl. Lang. Notes 2017, 55, 153–162. [Google Scholar] [CrossRef]
- Mora, C.; Spirandelli, D.; Franklin, E.C.; Lynham, J.; Kantar, M.B.; Miles, W.; Smith, C.Z.; Freel, K.; Moy, J.; Louis, L.V.; et al. Broad Threat to Humanity from Cumulative Climate Hazards Intensified by Greenhouse Gas Emissions. Nat. Clim. Chang. 2018, 8, 1062–1071. [Google Scholar] [CrossRef]
- Forzieri, G.; Bianchi, A.; Silva, F.B.E.; Marin Herrera, M.A.; Leblois, A.; Lavalle, C.; Aerts, J.C.J.H.; Feyen, L. Escalating Impacts of Climate Extremes on Critical Infrastructures in Europe. Glob. Environ. Chang. 2018, 48, 97–107. [Google Scholar] [CrossRef]
- Ouyang, Z.; Sciusco, P.; Jiao, T.; Feron, S.; Lei, C.; Li, F.; John, R.; Fan, P.; Li, X.; Williams, C.A.; et al. Albedo Changes Caused by Future Urbanization Contribute to Global Warming. Nat. Commun. 2022, 13, 3800. [Google Scholar] [CrossRef]
- Muntean, M.; Guizzardi, D.; Schaaf, E.; Crippa, M.; Solazzo, E.; Olivier, J.; Vignati, E. Fossil CO2 Emissions of All World Countries; Publications Office of the European Union: Luxembourg, 2018; Volume 2. [Google Scholar]
- Gurmesa, G.A.; Wang, A.; Li, S.; Peng, S.; de Vries, W.; Gundersen, P.; Ciais, P.; Phillips, O.L.; Hobbie, E.A.; Zhu, W.; et al. Retention of Deposited Ammonium and Nitrate and Its Impact on the Global Forest Carbon Sink. Nat. Commun. 2022, 13, 880. [Google Scholar] [CrossRef] [PubMed]
- Baumgartner, R.J. Sustainable Development Goals and the Forest Sector-A Complex Relationship. Forests 2019, 10, 152. [Google Scholar] [CrossRef]
- Börner, J.; Schulz, D.; Wunder, S.; Pfaff, A. The Effectiveness of Forest Conservation Policies and Programs. Annu. Rev. Resour. Econ. 2020, 12, 45–64. [Google Scholar] [CrossRef]
- Mansoor, S.; Farooq, I.; Kachroo, M.M.; Mahmoud, A.E.D.; Fawzy, M.; Popescu, S.M.; Alyemeni, M.N.; Sonne, C.; Rinklebe, J.; Ahmad, P. Elevation in Wildfire Frequencies with Respect to the Climate Change. J. Environ. Manag. 2022, 301, 113769. [Google Scholar] [CrossRef]
- Moosmann, L.; Siemons, A.; Fallasch, F.; Schneider, L.; Urrutia, C.; Wissner, N.; Oppelt, D. The COP26 Climate Change Conference. In Proceedings of the Glasgow Climate Change Conference, Glasgow, Scotland, 31 October–12 November 2021. [Google Scholar]
- Krishnan, R.; Agarwal, R.; Bajada, C.; Arshinder, K. Redesigning a Food Supply Chain for Environmental Sustainability – An Analysis of Resource Use and Recovery. J. Clean. Prod. 2020, 242, 118374. [Google Scholar] [CrossRef]
- Wen, C.; Dong, W.; Zhang, Q.; He, N.; Li, T. A System Dynamics Model to Simulate the Water-Energy-Food Nexus of Resource-Based Regions: A Case Study in Daqing City, China. Sci. Total Environ. 2022, 806, 150497. [Google Scholar] [CrossRef] [PubMed]
- Lambin, E.F.; Gibbs, H.K.; Ferreira, L.; Grau, R.; Mayaux, P.; Meyfroidt, P.; Morton, D.C.; Rudel, T.K.; Gasparri, I.; Munger, J. Estimating the World’s Potentially Available Cropland Using a Bottom-up Approach. Glob. Environ. Chang. 2013, 23, 892–901. [Google Scholar] [CrossRef]
- Kurowska, K.; Kryszk, H.; Marks-Bielska, R.; Mika, M.; Leń, P. Conversion of Agricultural and Forest Land to Other Purposes in the Context of Land Protection: Evidence from Polish Experience. Land Use Policy 2020, 95, 104614. [Google Scholar] [CrossRef]
- Bastin, J.F.; Finegold, Y.; Garcia, C.; Gellie, N.; Lowe, A.; Mollicone, D.; Rezende, M.; Routh, D.; Sacande, M.; Sparrow, B.; et al. Response to Comments on “The Global Tree Restoration Potential”. Science 2019, 366, eaay8108. [Google Scholar] [CrossRef] [PubMed]
- Holl, K.D.; Brancalion, P.H.S. Tree Planting Is Not a Simple Solution. Science 2020, 368, 580–581. [Google Scholar] [CrossRef] [PubMed]
- Hernández-Morcillo, M.; Torralba, M.; Baiges, T.; Bernasconi, A.; Bottaro, G.; Brogaard, S.; Bussola, F.; Díaz-Varela, E.; Geneletti, D.; Grossmann, C.M.; et al. Scanning the Solutions for the Sustainable Supply of Forest Ecosystem Services in Europe. Sustain. Sci. 2022, 17, 2013–2029. [Google Scholar] [CrossRef] [PubMed]
- Watson, J.E.M.; Evans, T.; Venter, O.; Williams, B.; Tulloch, A.; Stewart, C.; Thompson, I.; Ray, J.C.; Murray, K.; Salazar, A.; et al. The Exceptional Value of Intact Forest Ecosystems. Nat. Ecol. Evol. 2018, 2, 599–610. [Google Scholar] [CrossRef] [PubMed]
- Makovníková, J.; Kološta, S.; Flaška, F.; Pálka, B. Potential of Regulating Ecosystem Services in Relation to Natural Capital in Model Regions of Slovakia. Sustainability 2023, 15, 1076. [Google Scholar] [CrossRef]
- Frank, G.; Müller, F. Voluntary Approaches in Protection of Forests in Austria. Environ. Sci. Policy 2003, 6, 261–269. [Google Scholar] [CrossRef]
- Bončina, A.; Simončič, T.; Rosset, C. Assessment of the Concept of Forest Functions in Central European Forestry. Environ. Sci. Policy 2019, 99, 123–135. [Google Scholar] [CrossRef]
- Pilli, R.; Pase, A. Forest Functions and Space: A Geohistorical Perspective of European Forests. IForest 2018, 11, 79. [Google Scholar] [CrossRef]
- Tiemann, A.; Ring, I. Towards Ecosystem Service Assessment: Developing Biophysical Indicators for Forest Ecosystem Services. Ecol. Indic. 2022, 137, 108704. [Google Scholar] [CrossRef]
- Nicolescu, V.-N. 1.1 Romanian Forests and Forestry: An Overview. In Plan B for Romania’s Forests and Society; Universitatea “Transilvania”: Braşov, Romania, 2022; pp. 39–48. [Google Scholar]
- Nowak, D.J.; Walton, J.T.; Dwyer, J.F.; Kaya, L.G.; Myeong, S. The Increasing Influence of Urban Environments on US Forest Management. J. For. 2005, 103, 377–382. [Google Scholar]
- Henwood, K.; Pidgeon, N. Talk about Woods and Trees: Threat of Urbanization, Stability, and Biodiversity. J. Environ. Psychol. 2001, 21, 125–147. [Google Scholar] [CrossRef]
- Funk, J.M.; Aguilar-Amuchastegui, N.; Baldwin-Cantello, W.; Busch, J.; Chuvasov, E.; Evans, T.; Griffin, B.; Harris, N.; Ferreira, M.N.; Petersen, K.; et al. Securing the Climate Benefits of Stable Forests. Clim. Policy 2019, 19, 845–860. [Google Scholar] [CrossRef]
- Berger, F.; Rey, F. Mountain Protection Forests against Natural Hazards and Risks: New French Developments by Integrating Forests in Risk Zoning. Nat. Hazards 2004, 33, 395–404. [Google Scholar] [CrossRef]
- Wonn, H.T.; O’Hara, K.L. Height:Diameter Ratios and Stability Relationships for Four Northern Rocky Mountain Tree Species. West. J. Appl. For. 2001, 16, 87–94. [Google Scholar] [CrossRef]
- O’Hara Kevin, L. What Is Close-to-Nature Silviculture in a Changing World? Forestry 2016, 89, 1–6. [Google Scholar] [CrossRef]
- Qin, Y.; He, X.; Lei, X.; Feng, L.; Zhou, Z.; Lu, J. Tree Size Inequality and Competition Effects on Nonlinear Mixed Effects Crown Width Model for Natural Spruce-Fir-Broadleaf Mixed Forest in Northeast China. For. Ecol. Manag. 2022, 518, 120291. [Google Scholar] [CrossRef]
- Bosela, M.; Lukac, M.; Castagneri, D.; Sedmák, R.; Biber, P.; Carrer, M.; Konôpka, B.; Nola, P.; Nagel, T.A.; Popa, I.; et al. Contrasting Effects of Environmental Change on the Radial Growth of Co-Occurring Beech and Fir Trees across Europe. Sci. Total Environ. 2018, 615, 1460–1469. [Google Scholar] [CrossRef]
- Cukor, J.; Vacek, Z.; Vacek, S.; Linda, R.; Podrázský, V. Biomass Productivity, Forest Stability, Carbon Balance, and Soil Transformation of Agricultural Land Afforestation: A Case Study of Suitability of Native Tree Species in the Submontane Zone in Czechia. Catena 2022, 210, 105893. [Google Scholar] [CrossRef]
- Zhang, L.; Bi, H.; Cheng, P.; Davis, C.J. Modeling Spatial Variation in Tree Diameter-Height Relationships. For. Ecol. Manag. 2004, 189, 317–329. [Google Scholar] [CrossRef]
- Raptis, D.I.; Kazana, V.; Kazaklis, A.; Stamatiou, C. Mixed-Effects Height–Diameter Models for Black Pine (Pinus Nigra Arn.) Forest Management. Trees -Struct. Funct. 2021, 35, 1167–1183. [Google Scholar] [CrossRef]
- Crecente-Campo, F.; Tomé, M.; Soares, P.; Diéguez-Aranda, U. A Generalized Nonlinear Mixed-Effects Height–Diameter Model for Eucalyptus Globulus L. in Northwestern Spain. For. Ecol. Manag. 2010, 259, 943–952. [Google Scholar] [CrossRef]
- Ozcelik, R. Tree Species Diversity of Natural Mixed Stands in Eastern Black Sea and Western Mediterranean Region of Turkey. J. Environ. Biol. 2009, 30, 6. [Google Scholar]
- Kang, H.; Seely, B.; Wang, G.; Cai, Y.; Innes, J.; Zheng, D.; Chen, P.; Wang, T. Simulating the Impact of Climate Change on the Growth of Chinese Fir Plantations in Fujian Province, China. N. Z. J. For. Sci. 2017, 47, 1–14. [Google Scholar] [CrossRef]
- Huang, S.; Wiens, D.P.; Yang, Y.; Meng, S.X.; Vanderschaaf, C.L. Assessing the Impacts of Species Composition, Top Height and Density on Individual Tree Height Prediction of Quaking Aspen in Boreal Mixedwoods. For. Ecol. Manag. 2009, 258, 1235–1247. [Google Scholar] [CrossRef]
- Vanclay, J.K. Tree Diameter, Height and Stocking in Even-Aged Forests. Ann. For. Sci. 2009, 66, 1–7. [Google Scholar] [CrossRef]
- Giurgiu, V.; Decei, I.; Drăghiciu, D. Metode şi Tabele Metode şi Tabele Dendrometrice [Methods and Yield Tables]; Editura Ceres: Bucharest, Romania, 2004; pp. 27–575. [Google Scholar]
- Budeanu, M.; Apostol, E.N.; Popescu, F.; Postolache, D.; Ioniţă, L. Testing of the Narrow Crowned Norway Spruce Ideotype (Picea Abies f. Pendula) and the Hybrids with Normal Crown Form (Pyramidalis) in Multisite Comparative Trials. Sci. Total Environ. 2019, 689, 980–990. [Google Scholar] [CrossRef]
- Pascu, I.-S.; Dobre, A.-C.; Badea, O.; Andrei Tanase, M. Estimating Forest Stand Structure Attributes from Terrestrial Laser Scans. Sci. Total Environ. 2019, 691, 205–215. [Google Scholar] [CrossRef]
- Chivulescu, S.; Ciceu, A.; Leca, S.; Apostol, B.; Popescu, O.; Badea, O. Development Phases and Structural Characteristics of the Penteleu-Viforata Virgin Forest in the Curvature Carpathians. Iforest 2020, 13, 389–395. [Google Scholar] [CrossRef]
- Grosjean, P.; Ibanez, F. Package for Analysis of Space-Time Ecological Series. PASTECS, R Package, Version 1.2-0 for R v. 2.0. 0 & Version 1.0-1 for S+ 2000 rel. 2004. Available online: https://cran.r-project.org/web/packages/pastecs/pastecs.pdf (accessed on 17 January 2023).
- Hogg, R.V.; Craig, A.T. Some Special Distributions. Introd. Math. Stat. 1978, 1, 156–168. [Google Scholar]
- Sharif, M.N.; Islam, M.N. The Weibull Distribution as a General Model for Forecasting Technological Change. Technol. Forecast. Soc. Chang. 1980, 18, 247–256. [Google Scholar] [CrossRef]
- Chivulescu, Ș.; Pitar, D.; Apostol, B.; Leca, Ș.; Badea, O. Importance of Dead Wood in Virgin Forest Ecosystem Functioning in Southern Carpathians. Forests 2022, 13, 409. [Google Scholar] [CrossRef]
- Stephens, M.A. Tests of Fit for the Logistic Distribution Based on the Empirical Distribution Function. Biometrika 1979, 66, 591–595. [Google Scholar] [CrossRef]
- Team, R.C. R: A Language and Environment for Statistical Computing; R Foundation for Statistical Computing: Vienna, Austria, 2009; Available online: https://cir.nii.ac.jp/crid/1570854175843385600 (accessed on 17 January 2023).
- Giurgiu, V. Metode ale Statisticii Matematice Aplicate în Silvicultură [Mathematical Statistical Methods Applied in Forestry]; Ceres: Bucharest, Romania, 1972. [Google Scholar]
- Monserud, R.A.; Sterba, H. A Basal Area Increment Model for Individual Trees Growing in Even- and Uneven-Aged Forest Stands in Austria. For. Ecol. Manag. 1996, 80, 57–80. [Google Scholar] [CrossRef]
- Roessiger, J.; Ficko, A.; Clasen, C.; Griess, V.C.; Knoke, T. Variability in Growth of Trees in Uneven-Aged Stands Displays the Need for Optimizing Diversified Harvest Diameters. Eur. J. For. Res. 2016, 135, 283–295. [Google Scholar] [CrossRef]
- Bayat, M.; Bettinger, P.; Heidari, S.; Khalyani, A.H.; Jourgholami, M.; Hamidi, S.K. Estimation of Tree Heights in an Uneven-Aged, Mixed Forest in Northern Iran Using Artificial Intelligence and Empirical Models. Forests 2020, 11, 324. [Google Scholar] [CrossRef]
- Pretzsch, H. The Course of Tree Growth. Theory and Reality. For. Ecol. Manag. 2020, 478, 118508. [Google Scholar] [CrossRef]
- Zhang, L.; Gove, J.H.; Liu, C.; Leak, W.B. A Finite Mixture of Two Weibull Distributions for Modeling the Diameter Distributions of Rotated-Sigmoid, Uneven-Aged Stands. Can. J. For. Res. 2001, 31, 1654–1659. [Google Scholar] [CrossRef]
- Bergeron, Y.; Leduc, A.; Harvey, B.D.; Gauthier, S. Natural Fire Regime: A Guide for Sustainable Management of the Canadian Boreal Forest. Silva Fenn. 2002, 36, 81–95. [Google Scholar] [CrossRef]
- Bebbington, M.; Lai, C.D.; Zitikis, R. A Flexible Weibull Extension. Reliab. Eng. Syst. Saf. 2007, 92, 719–726. [Google Scholar] [CrossRef]
- Mitchell, B. A Comparison of Chi-Square and Kolmogorov-Smirnov Tests. Area 1971, 3, 237–241. [Google Scholar]
- Blood, A.; Starr, G.; Escobedo, F.; Chappelka, A.; Staudhammer, C. How Do Urban Forests Compare? Tree Diversity in Urban and Periurban Forests of the Southeastern US. Forests 2016, 7, 120. [Google Scholar] [CrossRef]
- Grimm, V.; Wissel, C. Babel, or the Ecological Stability Discussions: An Inventory and Analysis of Terminology and a Guide for Avoiding Confusion. Oecologia 1997, 109, 323–334. [Google Scholar] [CrossRef]
- Motta, R.; Haudemand, J.-C. Protective Forests and Silvicultural Stability. Mt. Res. Dev. 2000, 20, 180–187. [Google Scholar] [CrossRef]
- Wilson, J.S.; Oliver, C.D. Stability and Density Management in Douglas-Fir Plantations. Can. J. For. Res. 2000, 30, 910–920. [Google Scholar] [CrossRef]
- Harrington, T.B.; Harrington, C.A.; DeBell, D.S. Effects of Planting Spacing and Site Quality on 25-Year Growth and Mortality Relationships of Douglas-Fir (Pseudotsuga Menziesii Var. Menziesii). For. Ecol. Manag. 2009, 258, 18–25. [Google Scholar] [CrossRef]
- Valenzuela, C.E.; Ballesta, P.; Maldonado, C.; Baettig, R.; Arriagada, O.; Mafra, G.S.; Mora, F. Bayesian Mapping Reveals Large-Effect Pleiotropic QTLs for Wood Density and Slenderness Index in 17-Year-Old Trees of Eucalyptus Cladocalyx. Forests 2019, 10, 241. [Google Scholar] [CrossRef]
- 67. Chivulescu, S.; Leca, S.; Ciceu, A.; Pitar, D.; Apostol, B. Predictors of wood quality of trees in primary forests in the Southern Carpathians. Poljoprivreda i Sumarstvo 2019, 65, 13. [Google Scholar] [CrossRef]
- Brazier, J.D. The Effect of Forest Practices on Quality of the Harvested Crop. Forestry 1977, 50, 49–66. [Google Scholar] [CrossRef]
- Bodin, P.; Wiman, B.L.B. The Usefulness of Stability Concepts in Forest Management When Coping with Increasing Climate Uncertainties. For. Ecol. Manag. 2007, 242, 541–552. [Google Scholar] [CrossRef]
- Pretzsch, H.; Rais, A. Wood Quality in Complex Forests versus Even-Aged Monocultures: Review and Perspectives. Wood Sci Technol 2016, 50, 845–880. [Google Scholar] [CrossRef]
- Drew, D.M.; Downes, G.M.; Seifert, T.; Eckes-Shepard, A.; Achim, A. A Review of Progress and Applications in Wood Quality Modelling. Curr. For. Rep. 2022, 8, 317–332. [Google Scholar] [CrossRef]
- Boncina, A.; Cavlovic, J.; Curovic, M.; Govedar, Z.; Klopcic, M.; Medarevic, M. A Comparative Analysis of Recent Changes in Dinaric Uneven-Aged Forests of the NW Balkans. Forestry 2014, 87, 71–84. [Google Scholar] [CrossRef]
- Tu, G.; Abildtrup, J.; Garcia, S. Preferences for Urban Green Spaces and Peri-Urban Forests: An Analysis of Stated Residential Choices. Landsc. Urban Plan. 2016, 148, 120–131. [Google Scholar] [CrossRef]
- Lawrence, A.; Deuffic, P.; Hujala, T.; Nichiforel, L.; Feliciano, D.; Jodlowski, K.; Lind, T.; Marchal, D.; Talkkari, A.; Teder, M.; et al. Extension, Advice and Knowledge Systems for Private Forestry: Understanding Diversity and Change across Europe. Land Use Policy 2020, 94, 104522. [Google Scholar] [CrossRef]
- Nichiforel, L.; Schanz, H. Property Rights Distribution and Entrepreneurial Rent-Seeking in Romanian Forestry: A Perspective of Private Forest Owners. Eur. J. For. Res. 2011, 130, 369–381. [Google Scholar] [CrossRef]
- Seto, K.C.; Fragkias, M.; Güneralp, B.; Reilly, M.K. A Meta-Analysis of Global Urban Land Expansion. PLoS ONE 2011, 6, e23777. [Google Scholar] [CrossRef]
- INSSE Oficial Website of Romanian National Institute of Statistics. Available online: https://insse.ro/cms/en (accessed on 15 January 2023).
- Timis County Council, Romania Timis County Council Information Report. Available online: https://www.cjtimis.ro/infocjt/admin/upload/9wv26dmxrpb3.pdf (accessed on 7 December 2022).
- Elands, B.H.M.; O’Leary, T.N.; Boerwinkel, H.W.J.; Wiersum, K.F. Forests as a Mirror of Rural Conditions; Local Views on the Role of Forests across Europe. Proc. For. Policy Econ. 2004, 6, 469–482. [Google Scholar] [CrossRef]
Disclaimer/Publisher’s Note: The statements, opinions and data contained in all publications are solely those of the individual author(s) and contributor(s) and not of MDPI and/or the editor(s). MDPI and/or the editor(s) disclaim responsibility for any injury to people or property resulting from any ideas, methods, instructions or products referred to in the content. |
© 2023 by the authors. Licensee MDPI, Basel, Switzerland. This article is an open access article distributed under the terms and conditions of the Creative Commons Attribution (CC BY) license (https://creativecommons.org/licenses/by/4.0/).




