Abstract
A joint resource allocation algorithm to minimize the system outage probability is proposed for a decode-and-forward (DF) two-way relay network with simultaneous wireless information and power transfer (SWIPT) under a total power constraint. In this network, the two sources nodes exchange information with the help of a passive relay, which is assumed to help the two source nodes’ communication without consuming its own energy by exploiting an energy-harvesting protocol, the power splitting (PS) protocol. An optimization framework to jointly optimize power allocation (PA) at the source nodes and PS at the relay is developed. Since the formulated joint optimization problem is non-convex, the solution is developed in two steps. First, the conditionally optimal PS ratio at the relay node for a given PA ratio is explored; then, the closed-form of the optimal PA in the sense of minimizing the system outage probability with instantaneous channel state information (CSI) is derived. Analysis shows that the optimal design depends on the channel condition and the rate threshold. Simulation results are obtained to validate the analytical results. Comparison with three existing schemes shows that the proposed optimized scheme has the minimum system outage probability.
1. Introduction
Two-way relay (TWR) communications [1,2] to extend transmission range and improve communications reliability have been studied extensively. The traditional TWR network with two source nodes exchanging information between each other via a relay requires four time slots. Combined with appropriate network coding, the number of time slots can be reduced to two [3]. Two of the most commonly-used relay strategies are the amplify-and-forward (AF) [4] and DF [5] protocols. With the AF and DF protocols, plenty of significant research efforts designing optimal resource allocation schemes have been proposed, aiming at further improving essential performance objectives for such networks. For example, a power allocation (PA) scheme for an AF-TWR system and its achievable rates over Rayleigh fading channels were studied in [6]. In [7], based on maximizing the objective rate under a total power budget, a power allocation method for a specific DF relay network by exploiting physical-layer network coding was proposed. In [8], optimization of PA and time allocation (TA) was investigated to minimize the system outage probability to support asymmetric data rates for DF-TWR networks.
The aforementioned works all assumed that the relay spends its own power to support the TWR transmission. In most practical cases, it will be very attractive if the relay can harvest the energy it needs for relaying the information between the source nodes. One promising energy-harvesting technique is SWIPT, with which the relay performs energy harvesting (EH) by scavenging radio-frequency signals, typically transmitted by the source nodes, and then utilizes the harvested energy to forward information. Recent work has studied AF-TWR networks with SWIPT extensively. An AF-TWR with SWIPT that employs the PS protocol is proposed in [9] together with the derivation of tight upper- and lower-bounds of the outage probability and the ergodic capacity of the network. To further improve the AF-TWR performance, a joint optimization of the PS ratio and the transmission PA based on minimizing the outage probability was studied in [10]. A distributed energy beamforming scheme was proposed in [11] to maximize the achievable sum-rate of AF-TWR network with SWIPT. There are also some research efforts of SWIPT based on the DF-TWR network; for example, an energy-harvesting protocol for three-step TWR was proposed and analyzed [12]. A joint optimization scheme for a DF-TWR with energy harvesting was developed in [13].
In this paper, we focus on jointly optimizing the PS ratio and the PA ratio for a power-constrained, two-way relay network with a wireless powered relay that employs the DF protocol, a problem that has not been studied yet, to our knowledge. The major contributions of our works are summarized as follows. We form a jointly optimizing PS ratio and PA ratio problem to minimize the system outage probability in the context of a two-way energy-harvesting relay network that is subject to a total transmit power constraint. Since this original optimization problem is very difficult to solve, if not impossible, a two-step solution is developed to obtain a closed-form solution efficiently. Simulation results are obtained to verify the proposed algorithm and to assess the impact of various network parameters on system performance. The performances of three existing schemes are also simulated and compared with that of the proposed scheme.
The remainder of this paper is organized as follows. In Section 2, we describe the model of the two-way relay network being considered and formulate the joint resource allocation problem, aiming to minimize the outage probability. Transformation of the joint resource allocation problem to a two-step optimization problem is described in Section 3. Numerical results are presented in Section 4, and conclusions are given in Section 5.
2. System Model and Problem Formulation
2.1. System Model
The TWR network under consideration is shown in Figure 1, where two communicating devices and exchange their messages assisted by a passive relay node (no power is available for its information forwarding) with energy harvesting ability, denoted as R. It is assumed that there are no direct links between the two source nodes; thus, the information exchange must rely on the passive relay, which harvests the energy it needs from the RF signals transmitted by the two source nodes through the power splitting protocol. We assume all the nodes are single-antenna devices and operate in a half-duplex mode. In addition, we assume that the channel between any two nodes is reciprocal and that perfect channel state information is known at all nodes. The transmit power at and is denoted by and , respectively, which share a total power budget constraint for each transmission round.
Figure 1.
(a) System model (b) energy-harvesting protocol.
Two consecutive phases are involved to complete each round of information transmission: a multiple access (MA) phase and a broadcast (BC) phase.
During the MA phase, nodes and broadcast their signals simultaneously to relay R. The received signal at R in this phase is expressed as:
where denotes the coefficient of the channel between and R and is the noise generated at the receiver antenna.
The power splitter at R then splits the received signal into two portions , of which is utilized for energy harvesting, and the remaining portion in the amount of is used for information decoding. Let the energy conversion efficiency be . The harvested energy at the relay is expressed as:
Note that power splitting is done before the received signal is converted from passband to baseband; hence, the signal in the information decoding (ID) receiver can be expressed as:
where is the noise generated in the down-conversion process of the received signal [8]. Since in practice, the power of the noise generated at the antenna is generally much smaller than the noise generated in the down-conversion process of the received signal , to simplify the derivation, the noise term will be neglected in the following analysis. This kind of assumption has been wildly used in SWIPT system analysis, such as [9,10,11,12,13].
During the BC phase, the relay exploits one of the decoding methods—physical layer network coding—to decode , and the decoded information is written as . Then, the relay exhausts the harvested power to broadcast . The received signal at is given by:
where , is the noise generated at source . For the noise components in the source and relay nodes, it is reasonable to assume .
Finally, the source node decodes and derives the information from by using its own information. For example, decodes the information from as .
2.2. Performance Metric
The network outage probability is used as the performance metric. The outage probability of the network we considered is defined as the probability that the achievable instantaneous received rate pair falls below an outage rate pair threshold . The achievable instantaneous received rate pair is constrained by the achievable rate regions , which can be obtained by using the results in [14] (Refer to Equations (37)–(39) in reference [14]). The rate region is mathematically expressed as:
where denotes the end-to-end transmission rate from node i to node j, denotes the MA information transfer rate region. The transmission rate and can be calculated by and , respectively, where , are the related signal-to-noise ratios (SNR).
From Equations (3) and (4), we can obtain the SNR of each transmission as the following equations:
where , , is the power allocation ratio and , .
With the required target transmission rate threshold and at the receiving nodes and , respectively, the outage probability can be expressed as:
where , .
Denote as the cumulative distribution function (CDF) of a random variable X. We can rewrite Equation (7) as:
where:
2.3. Problem Formulation
Our goal is to provide insights into the optimal PS at the relay and the optimal PA at each source node for the proposed SWIPT-TWR network to minimize the network outage probability derived in Equation (7). That is, the optimization problem is formulated as:
With the available instantaneous channel state information (CSI), it is more desirable to formulate an equivalent joint optimization problem, which aims at maximizing the normalized SNR shown in Equation (9). This transformed optimization problem is expressed as:
Since is a complex minimization function of two variables and , it is very difficult, if not impossible, to solve for a solution directly based on the optimization formed in (11), but in Equation (9) is observed to be a concave function of for a fixed . This observation leads to a two-step approach to solve this joint resource allocation problem, which is developed in the next section.
3. A Two-Step Optimization Algorithm
To solve Equation (11) effectively, we adopt a successive approach to transform the original problem into two subproblems. First, an optimal PS ratio is obtained by fixing . Then, the resulting PS ratio is substituted into Equation (11) to derive a closed-form solution of the optimal PA ratio through case studies. This kind of method, which transforms a complex original problem into a series of easily-solved convex problems, is a typical non-convex problem solution, which has been widely used in solving mathematical problems [15] and solving formulated optimization problems applied in communication scenarios [16].
For a fixed , the optimization problem reduces to a one-dimensional problem related to the power splitting ratio . For , the optimization problem can be expressed as:
where is rewritten as:
and , are expressed as:
It is easy to notice that Equation (13) is a convex function of for a given . Thus, the optimal derived from Equation (13) is obtained when , i.e.,
Note that is a function of . Substituting Equation (15) into leads to a one-dimensional function of written as:
The optimal power allocation ratio can be obtained by maximizing Equation (16), which is equivalent to minimizing its reciprocal transformation . The transformed problem is written as follows.
Equation (17) shows that the optimal is determined by and . Define the three components of in Equation (14a) as , and . Let , and be, respectively, the points of intersection of and , and and and . The analytical expression of can be classified as two cases, which is shown in the following Theorem 1.
Theorem 1.
is a continuous piecewise function and can be divided into two cases dependent on the size of and . The two cases are:
Case 1: When :
Case 2: When :
where ,
Proof.
The proof is given in Appendix A. ☐
It can be concluded that the monotony of , has a relationship with the size of and . When , and are constant; when , and are monotonically increasing functions of ; and when , and are monotonically decreasing functions of . Thus, the monotony of for each case in Theorem 1 has three subcases. With the above analysis, we analyze OP3 with case studies.
3.1. Case 1:
In this case, is a continuous two-segment piecewise function generated from Equation (18), With the size of and , and OP3 have three subcases, which are analyzed as follows.
3.1.1. Subcase 1:
In this subcase, is a constant for all values of ; thus, the variation of is determined by or . From Equation (18), it is easy to get that, in the range of , is a decreasing function of ; and in the range of , is an increasing function of . Thus, in this subcase, is non-negative convex, which gets its minimum at . The solution of OP3occurs at .
3.1.2. Subcase 2:
In this subcase, is an increasing function, and does not affect . Through analysis, Lemma 1 can be obtained as follows.
Lemma 1.
The optimal power allocation of Subcase 2 is unique and lies in the range of , which can be calculated by . is the stationary point of the second segment of , which is obtained by solving , and the solved is:
Proof.
With the former analysis that is a non-negative convex function with its maxima at and is an increasing function in this subcase, it is easy to see that is the minima in the range of . Given as the initial value of in the range of , the variation of in the range is analyzed as follows. There is the conclusion that decreases as increases and increases as increases in the range of . This characteristic leads to the conclusion that the optimal value of occurs in the range of . In this range, . The second-order derivative of given in Equation (22a) is greater than zero; thus, the optimal can be obtained by solving . The first-order derivative is given in Equation (22b).
☐
By solving Equation (22b), one obtains the minimum of , which is shown in Equation (21). Compared with the boundary value in the range of , we get the conclusion that if , the optimal power allocation ratio is ; else, if , the optimal power allocation ratio is . Rephrasing the above analysis results in Lemma 1.
3.1.3. Subcase 3:
In this subcase, is a decreasing function and does not affect . Through analysis, Lemma 2 can be derived as follows.
Lemma 2.
The optimal power allocation of Subcase 3 is unique and lies in the range of , which can be calculated by . is the stationary point of the first segment of , which is obtained by solving , and the solved is:
Proof.
The convexity of this case can be verified using a similar analysis as Lemma 1. Given as an initial value, it is easy to see that decreases as decreases from this initial value; however, increases as decreases from this initial value. This characteristic shows that the optimal value of occurs in the range of , where . Thus, . Since the second-order derivative of given in Equation (24a) is greater than zero, the optimal is obtained by letting the first derivative expressed in (24b) equal zero.
☐
By solving Equation (24b), one obtains the minimum of , which is shown in Equation (23). Compared with the boundary value in the range of , we get the conclusion that if , the optimal power allocation ratio is ; else, if , the optimal power allocation ratio is . Rephrasing the above analysis results in Lemma 2.
3.2. Case 2:
In this case, is generated from Equation (19), which is a three-segment continuous function. Since and have a relationship with the size of the channel gains and , the same as for Case 1, Case 2 has three subcases, as well.
3.2.1. Subcase 1:
In this subcase, and are constants for all values of . From Equation (19), it is easy to get that, the first segment of is a decreasing function, the third segment of is an increasing function and the second segment of is a constant. Thus, will get its minimum at .
3.2.2. Subcase 2:
In this subcase, and are monotonically increasing functions. Through analysis, Lemma 3 can be obtained as follows.
Lemma 3.
The optimal power allocation for this subcase is unique and lies in the range of , which can be calculated by . is the stationary point of the third segment of , which is equivalent to that obtained in Equation (21).
Proof.
Since and are respectively an increasing function and a decreasing function with the increase of , since and are monotonic functions in this subcase, it is easy to obtain that the first and second segments of are decreasing functions. Due to the continuous feature, is the minima in the range of . Given as the initial value of in the range of , the variation of in the range of is analyzed as follows. In the range, . The second-order derivation and first-order derivation of can be obtained as shown in Equations (22a) and (22b). is the minima of , which is shown in Equation (21). Compared with the boundary value in the range of , we get the conclusion that if , the optimal power allocation value is ; else, if , the optimal power allocation value is . Rephrasing the above analysis results in Lemma 3. ☐
3.2.3. Subcase 3:
In this subcase, and are monotonically decreasing functions. Through analysis, Lemma 4 can be obtained as follows.
Lemma 4.
The optimal power allocation for this subcase is unique and lies in the range of , which can be calculated by . is the stationary point of the first segment of , which is equivalent to that obtained in Equation (23).
Proof.
With monotonically decreasing functions of and , the second and third segments of are increasing functions. Due to the continuous feature, is the minima in the range of ; whereas in the range of , . The second-order derivation and first-order derivation of can be obtained as shown in Equations (24a) and (24b). is the minima of , which is shown in Equation (23). Compared with the boundary value in the range of , we get the conclusion that if , the optimal power allocation value is ; else, if , the optimal power allocation value is . Rephrasing the above analysis results in Lemma 4. ☐
4. The Closed-Form of PA and PS
From the above analysis, the closed-form of optimal power allocation ratio is calculated and presented below.
When :
When :
Substituting into Equation (15), the optimal power splitting ratio is obtained below.
Algorithm 1 summarizes the optimal power allocation ratio and power splitting ratio design for a given set of , , , , and .
| Algorithm 1 Optimal joint resource allocation for , . |
|
5. Numerical Results
In this section, some numerical and simulation results are presented to verify the proposed algorithm and to assess the influence of various system parameters. To better display the superiority of the proposed resource allocation scheme, three benchmark schemes: optimal equal , optimal equal and equal and are presented as a comparison. The parameters are set as follows: the energy conversion efficiency is set to be ; the distance between the two sources is ; the noise power is set to be dBm; the channel gains are set to be , where represents the Rayleigh fading coefficient; is the distance between and R; m is the channel path loss exponent (); and . All results are generated from channel realizations.
Figure 2 depicts the effects of total power constraint on the system outage probability with rate threshold bit/s/Hz. Since Algorithm 1 shows that the asymmetry of the channel affects the optimal parameters, and thus further affects the outage performance, this simulation chose two channel conditions to assess the system performance: symmetric channel condition m (the left figure); asymmetric channel condition m (the right figure). Note that is just a case of the asymmetric channel condition, which we chose to reflect the system performance; relay deployments of are asymmetric channel conditions, as well. From this figure, we can see that the outage probability decreases with the increase of total power constraint . of the proposed jointly optimal resource allocation obtained by using the proposed Algorithm (A1) matches precisely with that obtained by using numerical search (NS) over the range of (step size of 0.005). The of three benchmark schemes are presented, as well, which verified that the proposed jointly optimal resource allocation scheme outperforms the three benchmark schemes. The advantage of the proposed schemes is more obvious when the channel is asymmetric.
Figure 2.
Comparison of outage performance vs. the total power constraint of different resource allocation schemes: (a) (the left figure); (b) (the right figure).
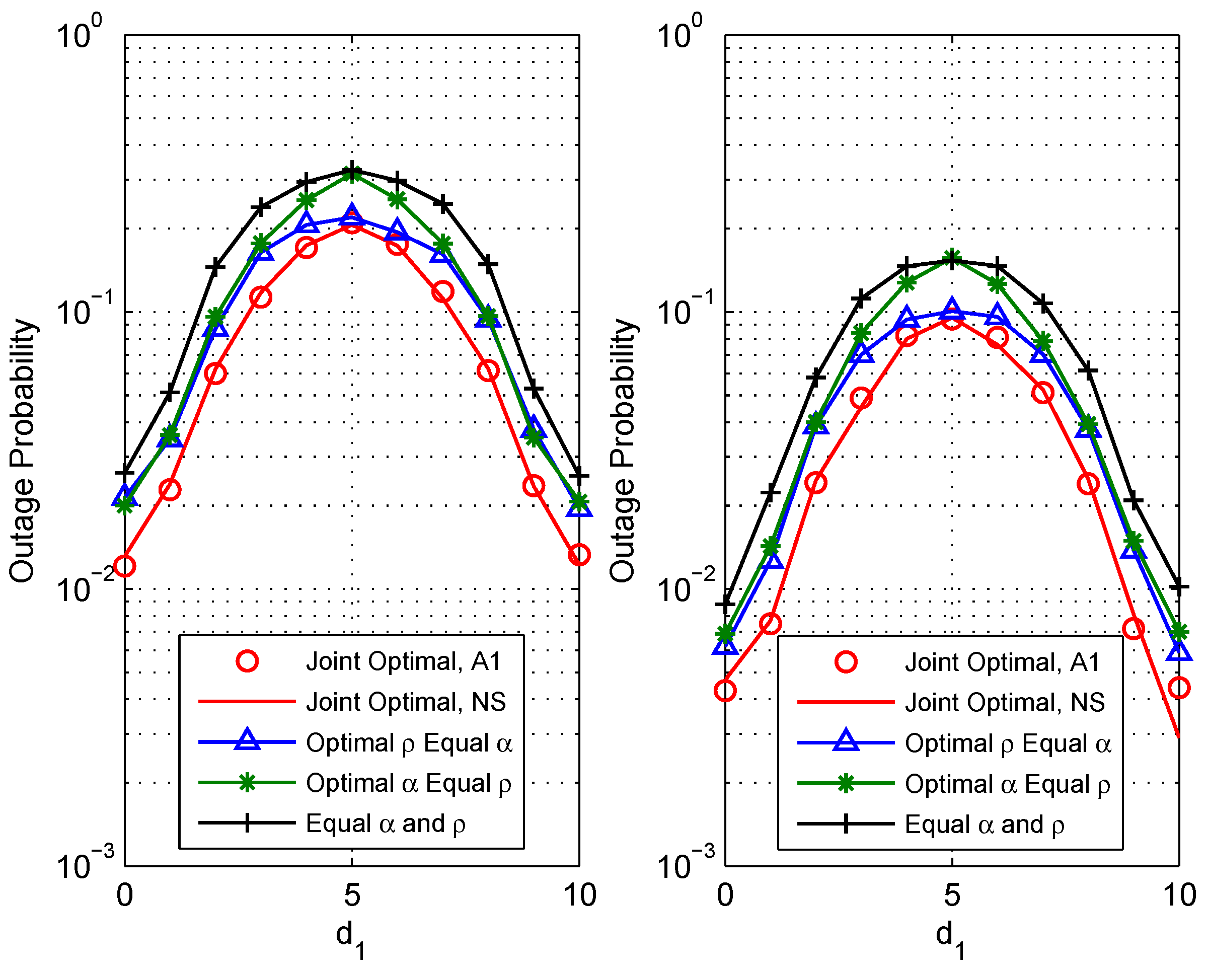
Figure 3 shows the system outage probabilities versus the relay deployment. For relay deployment, the distance between source and relay R () is used as the x-axis. Simulation parameters are set as: dBm (the left figure) or dBm (the right figure), bit/s/Hz. It is observed that increasing the distance between source and relay (i.e., ) leads to a concave characteristic of the outage probability. This behavior shows that the outage performance is much better when the relay is close to any of the source nodes than when the relay is in the middle of the two sources. It can be also noted that compared with the other three benchmark schemes, the proposed scheme has the best outage performance when the channels are asymmetric. When the channel is symmetric, the proposed scheme has the same outage performance as the scheme optimal equal . This is because when the channels are symmetric, the optimal is equal to with bit/s/Hz. Thus, to better enhance the system performance, the relay should be deployed close to each of the source nodes.
Figure 3.
Comparison of the outage performance vs. the distance between source and relay R () of different schemes: (a) dBm (the left figure); (b) dBm (the right figure).
Figure 4 shows the outage performance versus the rate threshold with setting bit/s/Hz. The simulation evaluates two situations: (a) the target transmit power is dBm (the left figure); (b) the target transmit power is dBm (the right figure). The relay is deployed at m and m. It is observed that as bit/s/Hz increases, the outage probability becomes worse. This is because with the increase of the threshold rate, the achievable rate region is more prone to less than the rate threshold. Thus, the outage probability increases based on Equation (7). This figure also shows that the jointly optimal resource allocation scheme outperforms the other three benchmark schemes with any of the threshold settings.
Figure 4.
Comparison of outage performance vs. the rate threshold of different schemes: (a) dBm (the left figure); (b) dBm (the right figure).
6. Conclusions
We have derived a joint optimal resource allocation design for DF-TWR networks with SWIPT to minimize its system outage probability. The optimization of such a network is a very complex problem. To make it easy to tackle, a two-step method is proposed. With the two-step method, the optimal PS ratio for a given PA ratio is derived first, from which it is found that it is a function of the PA ratio. Then, the obtained PS ratio is substituted back into the main optimization problem to determine the closed-form of the optimal PA ratio. Simulation results matched the analytical results well and confirmed that the optimized system achieved a lower outage probability than existing schemes, especially in asymmetric channel conditions.
Author Contributions
The main contributions of C.P. and G.W. were to create the main ideas and execute the performance evaluations by theoretical analysis and simulation, while F.L. and H.L. worked as the advisors of C.P. to discuss, create and advise on the main ideas and performance evaluations together.
Funding
This research was supported by The National Science Foundation of China (61771084, 61601071) and The Ph.D. Project of Chongqing University of Posts and Telecommunications (BYJS2016006).
Conflicts of Interest
The authors declare no conflict of interest.
Abbreviations
| DF | Decode-and-forward |
| SWIPT | Simultaneous wireless information and power transfer |
| PS | Power splitting |
| PA | Power allocation |
| CSI | Channel state information |
| TWR | Two-way relay |
| AF | Amplify-and-forward |
| EH | Energy harvesting |
| MA | Multiple access |
| BC | Broadcast |
| ID | Information decoding |
| SNR | Signal-to-noise ratio |
| CDF | Cumulative distribution function |
| CSI | Channel state information |
Appendix A
From Equations (14a) and (14b), we obtain that ) and . Denote , , ; it is easy to get that and are, respectively, an increasing function and a decreasing function in the range of . is either constant or a monotonic function depending on the relative values of and in the range of . The domain boundary values of are calculated as:
Since and , , and have three intersection points in the range : , and , where are the intersections of and . Since , the intersections of and are the same as the intersection of and . When , is always larger than , which results in , as shown in Equation (18); when , any of the segments and might be less than in some certain range, which results in , as shown in Equation (19). On the other hand, is a monotonic function of ; thus, we can get as shown in Equations (14a) and (14b) for these two cases. Theorem 1 is proven.
References
- Liu, K.J.R.; Sadek, A.K.; Su, W.; Kwasinski, A. Cooperative Communications and Networking; Cambridge University Press: Cambridge, UK, 2009; ISBN 9780521895132. [Google Scholar]
- Hong, Y.W.P.; Huang, W.J.; Kuo, C.C.J. Cooperative Communications and Networking: Technologies and System Design; Springer: Berlin, Germany, 2010; ISBN 1489998578. [Google Scholar]
- Zhang, S.; Liew, S.; Lam, P. Hot Topic: Physical-Layer Network Coding. In Proceedings of the 12th Annual International Conference on Mobile Computing and Networking, Los Angeles, CA, USA, 23–29 September 2006; pp. 358–365. [Google Scholar] [CrossRef]
- Kim, S.J.; Mitran, P.; Tarokh, V. Performance bounds for bidirectional coded cooperation protocols. IEEE Trans. Inf. Theory 2008, 54, 5235–5241. [Google Scholar] [CrossRef]
- Liu, P.; Kim, I.M. Performance analysis of bidirectional communication protocols based on decode-and-forward relaying. IEEE Trans. Commun. 2010, 58, 2683–2696. [Google Scholar] [CrossRef]
- Rodríguez, L.J.; Tran, N.; Le-Ngoc, T. Achievable rates and power allocation for two-way AF relaying over Rayleigh fading channels. In Proceedings of the 2013 IEEE International Conference on Communications (ICC), Budapest, Hungary, 9–13 June 2013; pp. 5914–5918. [Google Scholar] [CrossRef]
- Pang, L.; Zhang, Y.; Li, J.; Ma, Y.; Wang, J. Power allocation and relay selection for two-way relaying systems by exploiting physical-layer network coding. IEEE Trans. Veh. Technol. 2014, 63, 2723–2730. [Google Scholar] [CrossRef]
- Do, T.P.; Kim, Y.H. Outage-optimal power and time allocation for rate-aware two-way relaying with a decode-and-forward protocol. IEEE Trans. Veh. Technol. 2016, 65, 9673–9686. [Google Scholar] [CrossRef]
- Chen, Z.; Xia, B.; Liu, H. Wireless information and power transfer in two-way amplify-and-forward relaying channels. In Proceedings of the 2014 IEEE Global Conference on Signal and Information Processing (GlobalSIP), Atlanta, GA, USA, 3–5 December 2014; pp. 168–172. [Google Scholar] [CrossRef]
- Men, J.; Ge, J.; Zhang, C.; Li, J. Joint optimal power allocation and relay selection scheme in energy harvesting asymmetric two-way relaying system. IET Commun. 2015, 9, 1421–1426. [Google Scholar] [CrossRef]
- Fang, Z.; Yuan, X.; Wang, X. Distributed energy beamforming for simultaneous wireless information and power transfer in the two-way relay channel. IEEE Signal Process. Lett. 2015, 22, 656–660. [Google Scholar] [CrossRef]
- Nguyen, T.P.V.; Syed, F.H.; Xiang, G.; Subhas, M.; Hung, T. Three-Step Two-Way Decode and Forward Relay With Energy Harvesting. IEEE Commun. Lett. 2017, 21, 857–860. [Google Scholar] [CrossRef]
- Do, T.P.; Song, I.; Kim, Y.H. Simultaneous Wireless Transfer of Power and Information in a Decode-and-Forward Two-Way Relaying Network. IEEE Trans. Wirel. Commun. 2017, 16, 1579–1592. [Google Scholar] [CrossRef]
- Kim, S.; Devroye, N.; Mitra, P.; Tarokh, V. Achievable rate regions and performance comparison of half duplex bi-directional relaying protocols. IEEE Trans. Inf. Theory 2011, 57, 6405–6418. [Google Scholar] [CrossRef]
- Ciccone, V.; Ferrante, A.; Zorzi, M. An alternating minimization algorithm for Factor Analysis. arXiv, 2018; arXiv:1806.04433. [Google Scholar]
- Mishra, D.; De, S.; Chiasserini, C. Joint Optimization Schemes for Cooperative Wireless Information and Power Transfer Over Rician Channels. IEEE Trans. Commun. 2016, 64, 554–571. [Google Scholar] [CrossRef]
© 2018 by the authors. Licensee MDPI, Basel, Switzerland. This article is an open access article distributed under the terms and conditions of the Creative Commons Attribution (CC BY) license (http://creativecommons.org/licenses/by/4.0/).



