Sparse Rectangular and Spiral Array Designs for 3D Medical Ultrasound Imaging
Abstract
1. Introduction
2. Sparse Rectangular Array
2.1. Array Model
2.2. Design Rule
3. Sparse Spiral Array
3.1. Array Model
3.2. Design Rule
4. Simulations Results
4.1. Simulation Environment
4.2. Evaluation Metrics
4.3. Sparse Rectangular Array
4.4. Sparse Spiral Array
5. Discussion
6. Conclusions
Author Contributions
Funding
Conflicts of Interest
References
- Boni, C.; Richard, M.; Barbarossa, S. Optimal configuration and weighting of nonuniform arrays according to a maximum ISLR criterion. In Proceedings of the IEEE International Conference on Acoustics, Speech and Signal Processing, Adelaide, Australia, 19–22 April 1994; pp. 157–160. [Google Scholar]
- Choe, J.W.; Oralkan, Ö.; Khuri-Yakub, P.T. Design optimization for a 2-D sparse transducer array for 3-D ultrasound imaging. In Proceedings of the IEEE Ultrasonics Symposium, San Diego, CA, USA, 11–14 October 2010; pp. 1928–1931. [Google Scholar]
- Diarra, B.; Robini, M.; Tortoli, P.; Cachard, C.; Liebgott, H. Design of optimal 2-D nongrid sparse arrays for medical ultrasound. IEEE Trans. Biomed. Eng. 2013, 60, 3093–3102. [Google Scholar] [CrossRef] [PubMed]
- Roux, E.; Varray, F.; Petrusca, L.; Cachard, C.; Tortoli, P.; Liebgott, H. Experimental 3-D ultrasound imaging with 2-D sparse arrays using focused and diverging waves. Sci. Rep. 2018, 8, 9108. [Google Scholar] [CrossRef] [PubMed]
- Oliveri, G.; Massa, A. ADS-based array design for 2-D and 3-D ultrasound imaging. IEEE Trans. Ultrason. Ferroelectr. Freq. Control 2010, 57, 1568–1582. [Google Scholar] [CrossRef] [PubMed]
- Lockwood, G.R.; Li, P.C.; O’Donnell, M.; Foster, F.S. Optimizing the radiation pattern of sparse periodic linear arrays. IEEE Trans. Ultrason. Ferroelectr. Freq. Control 1996, 43, 15–19. [Google Scholar] [CrossRef]
- Nikolov, S.I.; Jensen, J.A. Application of different spatial sampling patterns for sparse array transducer design. Ultrasonics 2000, 37, 667–671. [Google Scholar] [CrossRef]
- Austeng, A.; Holm, S. Sparse 2-D arrays for 3-D phased array imaging—Design methods. IEEE Trans. Ultrason. Ferroelectr. Freq. Control 2002, 49, 1073–1086. [Google Scholar] [CrossRef] [PubMed]
- Austeng, A.; Holm, S. Sparse 2-D arrays for 3-D phased array imaging—Experimental validation. IEEE Trans. Ultrason. Ferroelectr. Freq. Control 2002, 49, 1087–1093. [Google Scholar] [CrossRef]
- Song, J.H.; Lee, J.; Yeo, S.; Kim, G.-D.; Song, T.-K. An analytical approach to designing optimal sparse 1D phased arrays for handheld ultrasound imaging. IEEE Trans. Ultrason. Ferroelectr. Freq. Control 2019. under review. [Google Scholar]
- Wang, Y.; Stephens, D.N.; O’donnell, M. Optimizing the beam pattern of a forward-viewing ring-annular ultrasound array for intravascular imaging. IEEE Trans. Ultrason. Ferroelectr. Freq. Control 2002, 49, 1652–1664. [Google Scholar] [CrossRef]
- Ullate, L.G.; Godoy, G.; Martínez, O.; Sánchez, T. Beam steering with segmented annular arrays. IEEE Trans. Ultrason. Ferroelectr. Freq. Control 2006, 53, 1944–1954. [Google Scholar] [CrossRef]
- Schwartz, J.L.; Steinberg, B.D. Ultrasparse, ultrawideband arrays. IEEE Trans. Ultrason. Ferroelectr. Freq. Control 1998, 45, 376–393. [Google Scholar] [CrossRef] [PubMed]
- Martínez-Graullera, O.; Martín, C.J.; Godoy, G.; Ullate, L.G. 2D array design based on Fermat spiral for ultrasound imaging. Ultrasonics 2010, 50, 280–289. [Google Scholar] [CrossRef] [PubMed]
- Ramalli, A.; Boni, E.; Savoia, A.S.; Tortoli, P. Density-tapered spiral arrays for ultrasound 3-D imaging. IEEE Trans. Ultrason. Ferroelectr. Freq. Control 2015, 62, 1580–1588. [Google Scholar] [CrossRef] [PubMed]
- Macovski, A. Ultrasonic imaging using arrays. Proc. IEEE 1979, 67, 484–495. [Google Scholar] [CrossRef]
- Bae, S.; Park, J.; Song, T.-K. Contrast and volume rate enhancement of 3D ultrasound imaging using aperiodic plane wave angles: A simulation study. IEEE Trans. Ultrason. Ferroelectr. Freq. Control 2019, 66, 1731–1748. [Google Scholar] [CrossRef]
- Liew, S.F.; Noh, H.; Trevino, J.; Negro, L.D.; Cao, H. Localized photonic band edge modes and orbital angular momenta of light in a golden-angle spiral. Opt. Express 2011, 19, 23631–23642. [Google Scholar] [CrossRef]
- Jensen, J.A.; Svendsen, N.B. Calculation of pressure fields from arbitrarily shaped, apodized, and excited ultrasound transducers. IEEE Trans. Ultrason. Ferroelectr. Freq. Control 1992, 39, 262–267. [Google Scholar] [CrossRef]
- Jensen, J.A. Field: A program for simulating ultrasound systems. Med. Biol. Eng. Comput. 1996, 34, 351–353. [Google Scholar]
- Turnbull, D.H.; Foster, F.S. Beam steering with pulsed two-dimensional transducer arrays. IEEE Trans. Ultrason. Ferroelectr. Freq. Control 1991, 38, 320–333. [Google Scholar] [CrossRef]
- Weight, J.P. Ultrasonic beam structures in fluid media. J. Acoust. Soc. Am. 1984, 76, 1184–1191. [Google Scholar] [CrossRef]
- Martínez-Graullera, O.; Yagüe-Jiménez, V.; Paetsch, A.B.; Rodríguez, A.I. The role of additive manufacturing technology in the design of sparse transducer arrays. In Proceedings of the IEEE Ultrasonics Symposium, Glasgow, UK, 6–9 October 2019. [Google Scholar]
- Kirkebø, J.E.; Austeng, A. Improved beamforming using curved sparse 2D arrays in ultrasound. Ultrasonics 2007, 46, 119–128. [Google Scholar] [CrossRef] [PubMed]

















| Figure | Tx | Rx | BW [deg] | MSR [dB] | PGL [dB] | |||
|---|---|---|---|---|---|---|---|---|
| Design | # of Elements | Design | # of Elements | BW6 | BW50 | |||
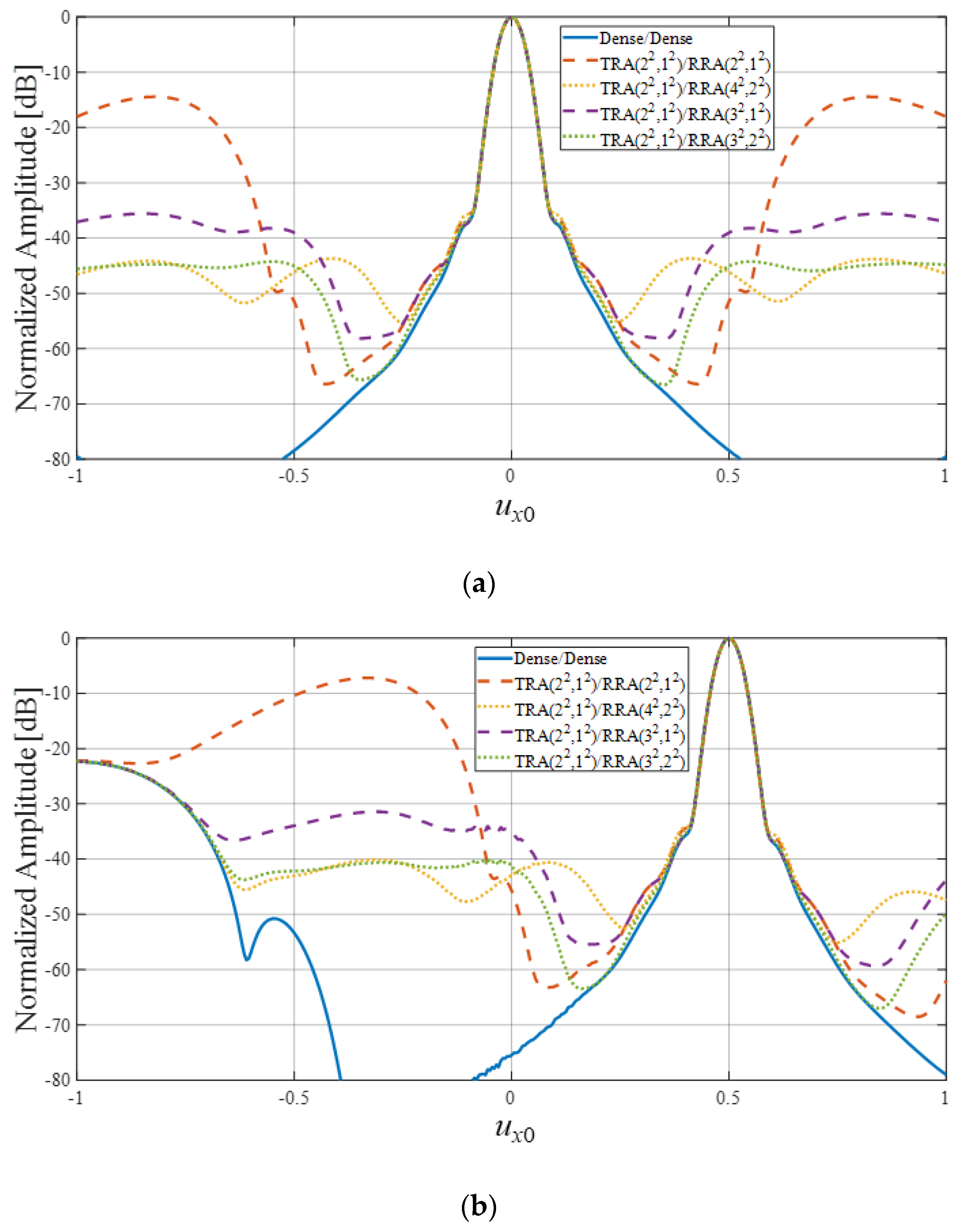
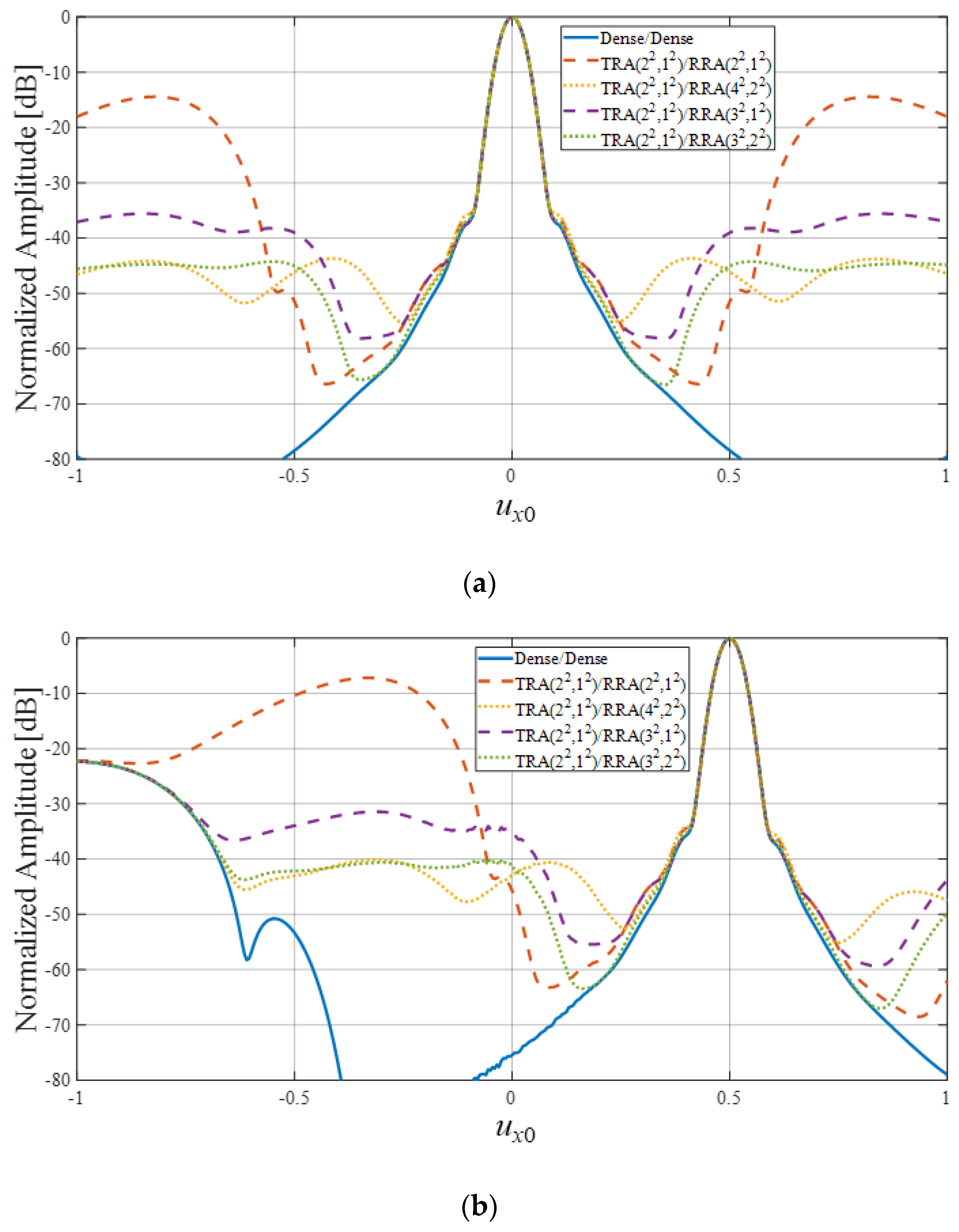
| Figure 5e | TRA(22,12) | 140 | RRA(32,12) | 61 | 3.84 | 24.60 | 20.1 | −35.5 |
| Figure 5d | TRA(22,12) | 140 | RRA(42,22) | 135 | 3.84 | 22.96 | 26.1 | −43.6 |
| Figure 5b | TRA(22,12) | 140 | RRA(22,12) | 140 | 3.78 | 24.77 | 1.6 | −14.3 |
| Figure 5f | TRA(22,12) | 140 | RRA(32,22) | 245 | 3.84 | 22.49 | 27.0 | −44.2 |
| Figure 5a | Dense | 553 | Dense | 553 | 3.84 | 20.80 | 36.6 | −50.8 |
| SSA | Radii of the Grating Lobe Rings (rgl) | Radii of the Nulling Rings (rnull) |
|---|---|---|
| SSA(2,1) | 0.62 | 1.23 (>1) |
| SSA(4,1) | 0.31, 0.62, 0.93 | 1.23 (>1) |
| SSA(4,2) | 0.31, 0.62, 0.93 | 0.62, 1.23 (>1) |
| SSA(3,1) | 0.41, 0.82 | 1.23 (>1) |
| SSA(3,2) | 0.41, 0.82 | 0.62, 1.23 (>1) |
| Figure | Tx | Rx | BW [deg] | MSR [dB] | PGL [dB] | |||
|---|---|---|---|---|---|---|---|---|
| Design | # of Elements | Design | # of Elements | BW6 | BW50 | |||
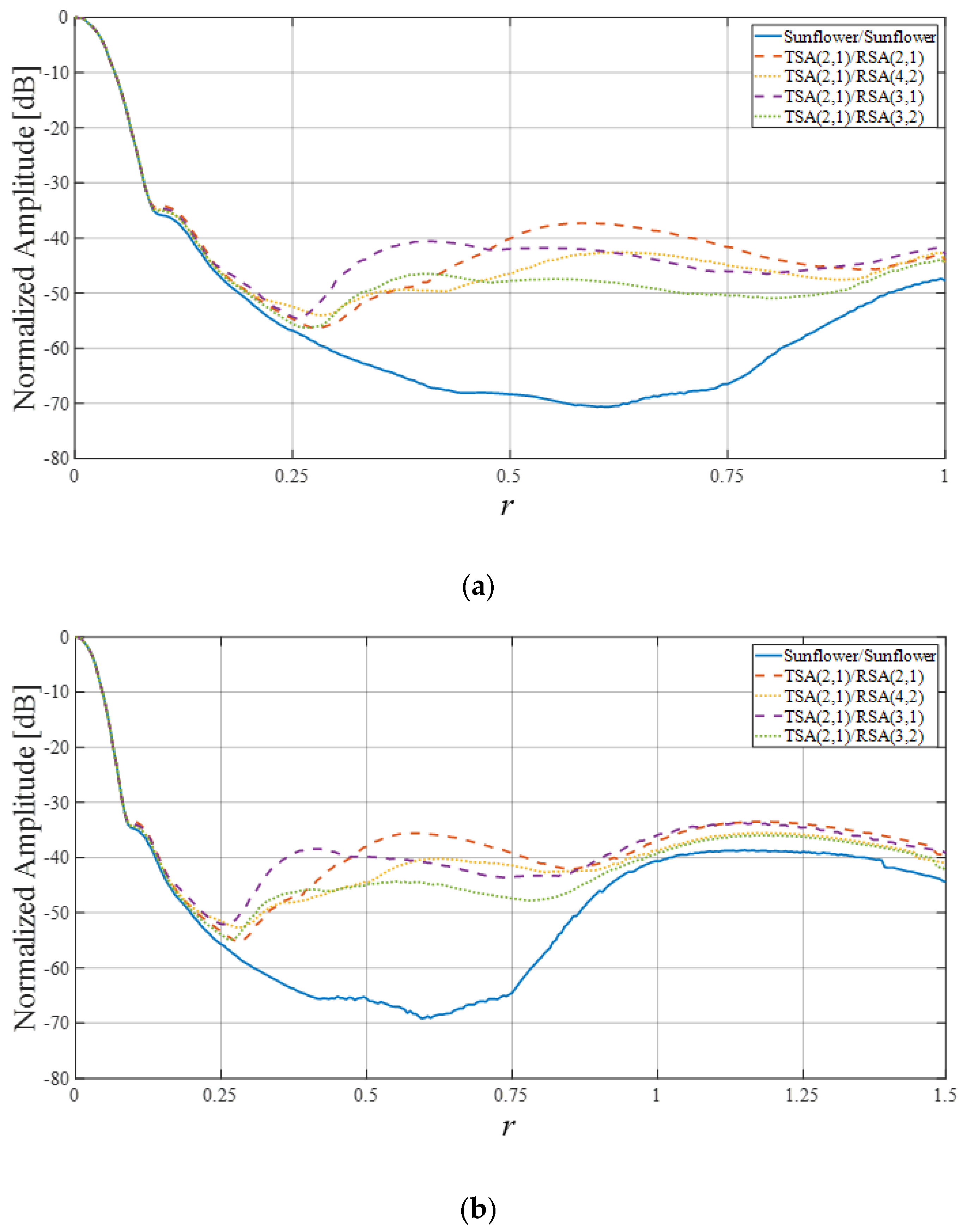
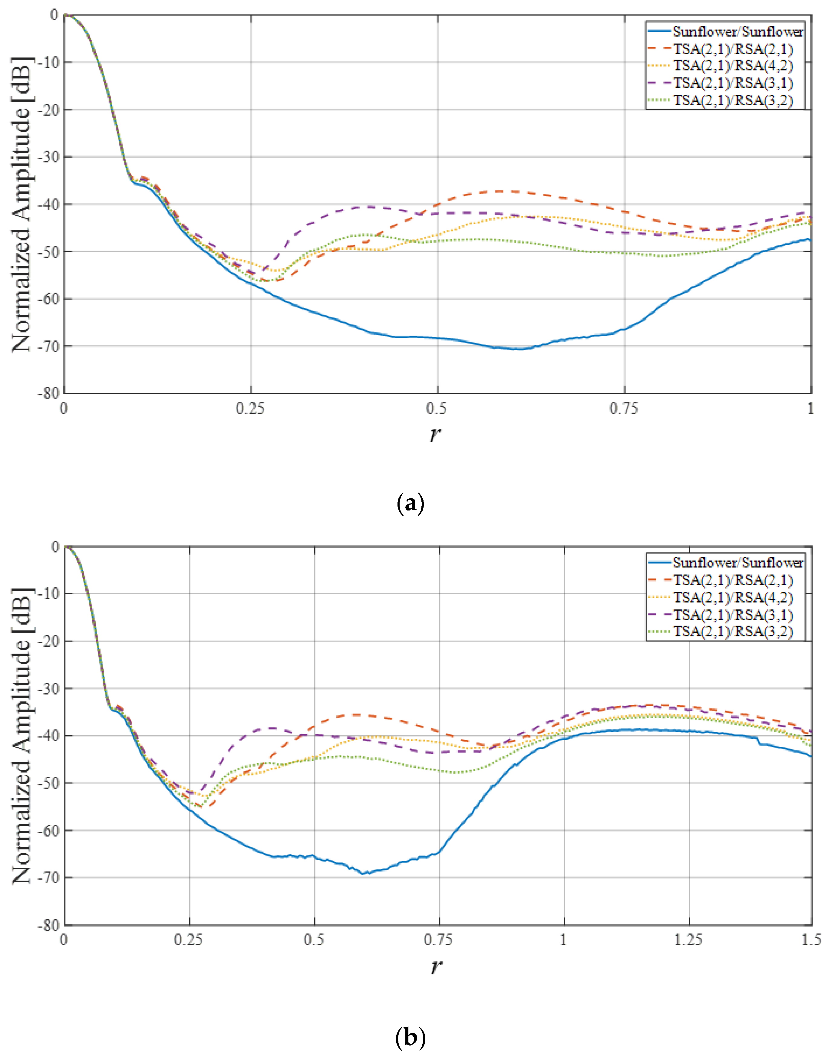
| Figure 11e | TSA(2,1) | 140 | RSA(3,1) | 93 | 3.78 | 20.91 | 17.6 | −40.6 |
| Figure 11d | TSA(2,1) | 140 | RSA(4,2) | 140 | 3.84 | 21.44 | 18.1 | −42.4 |
| Figure 11b | TSA(2,1) | 140 | RSA(2,1) | 140 | 3.78 | 21.09 | 14.5 | −37.3 |
| Figure 11f | TSA(2,1) | 140 | RSA(3,2) | 187 | 3.78 | 20.68 | 22.4 | −43.9 |
| Figure 11a | Sunflower | 280 | Sunflower | 280 | 3.78 | 20.22 | 29.1 | −47.2 |
© 2019 by the authors. Licensee MDPI, Basel, Switzerland. This article is an open access article distributed under the terms and conditions of the Creative Commons Attribution (CC BY) license (http://creativecommons.org/licenses/by/4.0/).
Share and Cite
Yoon, H.; Song, T.-K. Sparse Rectangular and Spiral Array Designs for 3D Medical Ultrasound Imaging. Sensors 2020, 20, 173. https://doi.org/10.3390/s20010173
Yoon H, Song T-K. Sparse Rectangular and Spiral Array Designs for 3D Medical Ultrasound Imaging. Sensors. 2020; 20(1):173. https://doi.org/10.3390/s20010173
Chicago/Turabian StyleYoon, Hansol, and Tai-Kyong Song. 2020. "Sparse Rectangular and Spiral Array Designs for 3D Medical Ultrasound Imaging" Sensors 20, no. 1: 173. https://doi.org/10.3390/s20010173
APA StyleYoon, H., & Song, T.-K. (2020). Sparse Rectangular and Spiral Array Designs for 3D Medical Ultrasound Imaging. Sensors, 20(1), 173. https://doi.org/10.3390/s20010173

