A Novel Dynamic Three-Level Tracking Controller for Mobile Robots Considering Actuators and Power Stage Subsystems: Experimental Assessment
Abstract
1. Introduction
1.1. Control Strategies Based on the Kinematic Model
1.1.1. Kinematics of the Mechanical Structure
1.1.2. Kinematics of the Mechanical Structure Plus Dynamics of the Actuators
1.1.3. Kinematics of the Mechanical Structure Plus Dynamics of the Actuators and Power Stage
1.2. Control Strategies Based on the Dynamic Model
1.2.1. Dynamics of the Mechanical Structure
1.2.2. Dynamics of the Mechanical Structure Plus Dynamics of the Actuators
1.3. Discussion of the Related Literature, Motivation, and Contribution
- To design a dynamic tracking controller that uses the dynamics of the mechanical structure, actuators, and power stage subsystems. The proposed controller has three levels: at the high level, for the mechanical structure, is a dynamic control; at the medium level, for the actuators, are two PI current controls; at the low level, for the power stage, are two controls based on differential flatness.
- To experimentally validate the proposed controller and, in order to highlight the contribution of this paper, to assess its performance with results of the hierarchical tracking controller reported in [9]. This latter was designed on the basis of considering the kinematic model of the mechanical structure and the dynamics of the actuators and power stage.
2. Dynamic Three-Level Tracking Controller that Considers Actuators and Power Stage Subsystems
2.1. Generalities of the DDWMR
- Mechanical structure. It is a differential drive type where and are the straight linear and angular velocities, is the heading angle of the DDWMR, and correspond to the angular velocities of the right and left driving wheels, respectively. The width of the DDWMR is and r is the radius of each wheel. The origin of the world coordinate system is O and is the origin of the coordinate system fixed to the DDWMR. Additionally, is placed at the middle of the axis that is common to the left and right driving wheels. The center of mass of the DDWMR is , which is on the axis, and the distance from to is d. For the latter description, and are the mass of the body and wheel with a motor, respectively. , , and are the moment of inertia of the body about the vertical axis through , the wheel with a motor about the wheel axis, and the wheel with a motor about the wheel diameter, respectively.
- Actuators. Two DC motors are employed, one for each wheel, whose parameters and correspond to the inductances and the resistances of armature, whereas , and are the currents, the applied voltages at the armature terminals, and the angular velocities of the shafts. Other parameters are , , , and , associated with the moments of inertia related to the rotors and motor loads, the counterelectromotive force constants, the motor torque constants, and the viscous friction coefficients, respectively.
- Power stage. This subsystem is made up of two DC/DC Buck power converters, one for each motor. Here, are the power supplies, are the switched control signals that regulate the voltages at the terminals of the capacitors and the loads through the transistors and the diodes , while are the currents that flow in the inductances .
2.2. Design of the Dynamic Three-Level Tracking Controller
- 1.
- High-level control. It comprises a kinematic control ensuring and a computed-torque control ensuring , i.e., that . The latter allows to compute the desired armature current to be tracked by each actuator of the DDWMR.
- 2.
- Medium-level control. Here, two PI current controls are proposed. These controllers ensure that electric current through the motor armature circuits reach their required values to generate the desired torque that was computed in the previous step. These PI controls deliver the reference values for voltages to be applied at the motor armature terminals and represent the voltage profiles that must be tracked by the output voltage of the power stage.
- 3.
- Low-level control. In this level, two average controls based on differential flatness are designed. These controllers deliver the variables that represent the signals to be applied to the transistors of the Buck power converters. Such controls ensure that voltage at the output of the power stage tracks the desired profile computed in the previous step.
2.2.1. High-Level Control
2.2.2. Medium-Level Control
2.2.3. Low-Level Control
2.2.4. Dynamic Three-Level Tracking Controller
3. Results from the Experimental Prototype in Closed-Loop
3.1. Controllers to Be Assessed
3.1.1. Dynamic Three-Level Tracking Controller
- High-level. This control comprises the kinematic control given by,and the computed-torque control proposed as,where , and are the controls gains.
- Medium-level. Corresponds to the PI current controls designed as,with and positive constants.
- Low-level. It was designed on the basis of the differential flatness concept as follows,andwhere the control gains and were found to be,and
3.1.2. Hierarchical Tracking Controller
3.2. DDWMR Prototype and Connections Diagram
- (a)
- Tracking controllers. The dynamic three-level tracking controller Equations (37)–(42) and the hierarchical tracking controller Equation (37), Equations (41)–(44) reported in [9] were programmed in this block. Additionally, the following six sub-blocks were defined:
- (1)
- Kinematic control. Corresponds to the high level of both tracking controllers and is given by Equation (37). It requires the physical parameters of the mechanical structure defined as,The gains of this control for the dynamic three-level tracking controller are,whereas for the hierarchical tracking controller are,
- (2)
- Dynamic control. This control is also related to the high level of the dynamic three-level tracking controller and is given by Equation (38). In this control, the following parameters of the mechanical structure are required:while the gains were selected as,
- (3)
- Torque to current. In this sub-block the mathematical transformations from torque to current Equation (30) are programmed, where
- (4)
- Current control. Corresponds to the medium level of the dynamic three-level tracking controller and is given by Equations (39) and (40), while its gains were proposed as follows:
- (5)
- Differential flatness control. This control is associated with the medium level of the hierarchical tracking controller and is defined by Equations (43) and (44). In these equations the following parameters are required:The gains of this control were found by proposing the following parameters:
- (6)
- Differential flatness average control. This one corresponds to the low level of both tracking controllers and is given by Equations (41) and (42). This block contains the following nominal parameters of the power converters:Also, the parameters of the corresponding gains are programmed in here. For the dynamic three-level tracking controller the parameters were proposed as,while for the hierarchical tracking controller, the following parameters were defined:
- (b)
- Desired trajectory. The trajectory to be tracked by the DDWMR, when either the dynamic three-level tracking controller or the hierarchical tracking controller is used, is proposed as a circle path given by,where , , and , being and a constant value to be defined.
- (c)
- DDWMR, data acquisition, and signal conditioning. Here, the connections between the DDWMR prototype and the DS1104 board are presented. The data acquisition of voltages , currents , and angular velocities is carried out through Tektronix P5200A voltage probes, Tektronix A622 current probes, and Autonics E50S8-1000 incremental encoders, respectively. In addition, a signal conditioning (SC) is executed in each signal.
3.3. Experimental Results
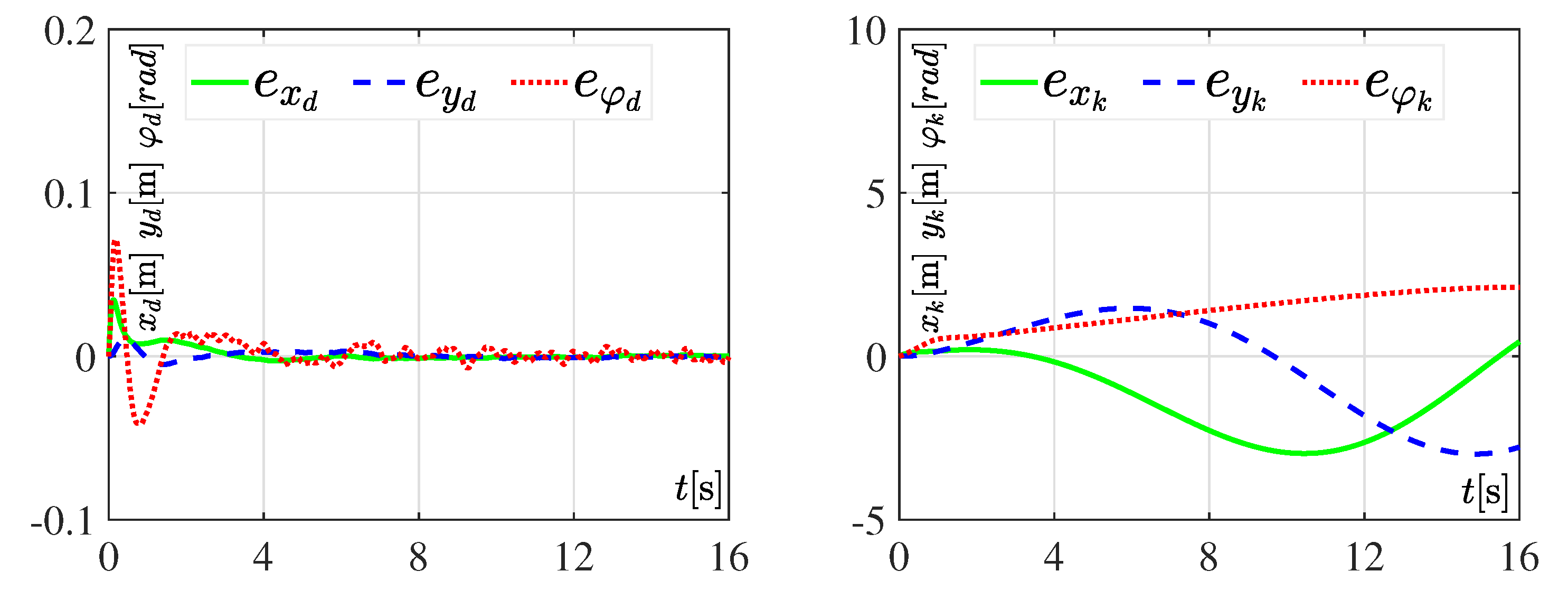
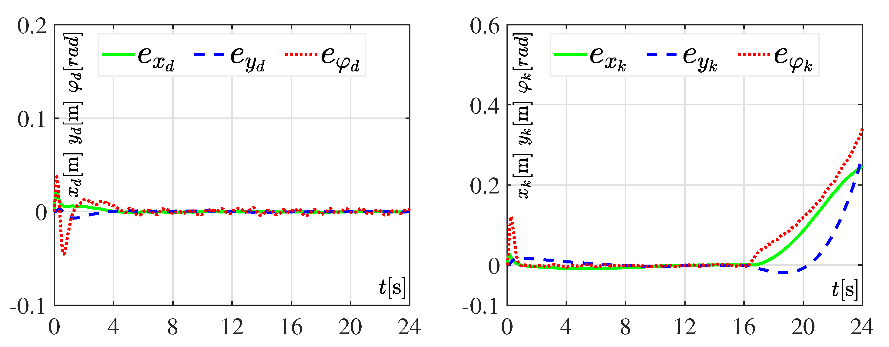
3.3.1. Experiment 1: Considering Nominal Values
3.3.2. Experiment 2: Variations in Loads and
3.3.3. Experiment 3: Abrupt Changes in Power Supplies and
4. Conclusions and Future Work
Author Contributions
Funding
Acknowledgments
Conflicts of Interest
References
- Silva-Ortigoza, R.; Marcelino-Aranda, M.; Silva-Ortigoza, G.; Hernández-Guzmán, V.M.; Molina-Vilchis, M.A.; Saldaña-González, G.; Herrera-Lozada, J.C.; Olguin-Carbajal, M. Wheeled mobile robots: A review. IEEE Lat. Am. Trans. 2012, 10, 2209–2217. [Google Scholar] [CrossRef]
- Rubio, F.; Valero, F.; Llopis-Albert, C. A review of mobile robots: Concepts, methods, theoretical framework, and applications. Int. J. Adv. Robot. Syst. 2019, 16, 1–22. [Google Scholar] [CrossRef]
- Brockett, R.W. Asympotic stability and feedback stabilization. In Differential Geometry Control Theory; Brockett, R.W., Millman, R.S., Sussmann, H.H., Eds.; Birkhaüser: Boston, MA, USA, 1983. [Google Scholar]
- Gao, X.; Li, J.; Fan, L.; Zhou, Q.; Yin, K.; Wang, J.; Song, C.; Huang, L.; Wang, Z. Review of wheeled mobile robots’ navigation problems and application prospects in agriculture. IEEE Access 2018, 6, 49248–49268. [Google Scholar] [CrossRef]
- Patle, B.K.; Babu, G.; Pandey, A.; Parhi, D.R.K.; Jagadeesh, A. A review: On path planning strategies for navigation of mobile robot. Def. Technol. 2019, 15, 582–606. [Google Scholar] [CrossRef]
- He, B.; Wang, S.; Liu, Y. Underactuated robotics: A review. Int. J. Adv. Robot. Syst. 2019, 16, 1–29. [Google Scholar] [CrossRef]
- Silva-Ortigoza, R.; García-Sánchez, J.R.; Hernández-Guzmán, V.M.; Márquez-Sánchez, C.; Marcelino-Aranda, M. Trajectory tracking control for a differential drive wheeled mobile robot considering the dynamics related to the actuators and power stage. IEEE Lat. Am. Trans. 2016, 14, 657–664. [Google Scholar] [CrossRef]
- García-Sánchez, J.R.; Tavera-Mosqueda, S.; Silva-Ortigoza, R.; Antonio-Cruz, M.; Silva-Ortigoza, G.; de Jesus Rubio, J. Assessment of an average tracking controller that considers all the subsystems involved in a WMR: Implementation via PWM or sigma-delta modulation. IEEE Lat. Am. Trans. 2016, 14, 1093–1102. [Google Scholar] [CrossRef]
- García-Sanchez, J.R.; Silva-Ortigoza, R.; Tavera-Mosqueda, S.; Márquez-Sanchez, C.; Hernández-Guzmán, V.M.; Antonio-Cruz, M.; Silva-Ortigoza, G.; Taud, H. Tracking control for mobile robots considering the dynamics of all their subsystems: Experimental implementation. Complexity 2017, 2017, 5318504. [Google Scholar] [CrossRef]
- García-Sanchez, J.R.; Tavera-Mosqueda, S.; Silva-Ortigoza, R.; Hernández-Guzmán, V.M.; Sandoval-Gutiérrez, J.; Marcelino-Aranda, M.; Taud, H.; Marciano-Melchor, M. Robust switched tracking control for wheeled mobile robots considering the actuators and drivers. Sensors 2018, 18, 4316. [Google Scholar] [CrossRef]
- Linares-Flores, J.; Sira-Ramírez, H.; Cuevas-López, E.F.; Contreras-Ordaz, M.A. Sensorless passivity based control of a DC motor via a solar powered sepic converter-full bridge combination. J. Power Electron. 2011, 11, 743–750. [Google Scholar] [CrossRef]
- An, L.; Lu, D.D.-C. Design of a single-switch DC/DC converter for a PV-battery-powered pump system with PFM+PWM control. IEEE Trans. Ind. Electron. 2015, 62, 910–921. [Google Scholar] [CrossRef]
- Shukla, S.; Singh, B. Single-stage PV array fed speed sensorless vector control of induction motor drive for water pumping. IEEE Trans. Ind. Appl. 2018, 54, 3575–3585. [Google Scholar] [CrossRef]
- Ashok, R.S.; Shtessel, Y.B.; Ghanes, M. Sliding model control of hydrogen fuel cell and ultracapitor based electric power system: Electric vehicle application. In Proceedings of the 20th IFAC World Congress, Tolouse, France, 9–14 July 2017; pp. 14794–14799. [Google Scholar]
- Li, B.; Zhang, X.; Fang, Y.; Shi, W. Visual servo regulation of wheeled mobile robots with simultaneous depth identification. IEEE Trans. Ind. Electron. 2018, 65, 460–469. [Google Scholar] [CrossRef]
- Xie, D.; Wang, S.; Wang, Y. Trajectory tracking control of differential drive mobile robot based on improved kinematics controller algorithm. In Proceedings of the 2018 Chinese Automation Congress (CAC), Xi’an, China, 30 November–2 December 2018; pp. 2675–2680. [Google Scholar] [CrossRef]
- Seo, I.S.; Han, S.I. Dual closed-loop sliding mode control for a decoupled three-link wheeled mobile manipulator. ISA Trans. 2018, 80, 322–335. [Google Scholar] [CrossRef] [PubMed]
- Boubezoula, M.; Hassam, A.; Boutalbi, O. Robust-flatness controller design for a differentially driven wheeled mobile robot. Int. J. Control Autom. Syst. 2018, 16, 1895–1904. [Google Scholar] [CrossRef]
- Miao, Z.Q.; Liu, Y.H.; Wang, Y.N.; Yi, G.; Fierro, R. Distributed estimation and control for leader-following formations of nonholonomic mobile robots. IEEE Trans. Autom. Sci. Eng. 2018, 15, 1946–1954. [Google Scholar] [CrossRef]
- Zhang, T.Y.; Liu, G.P. Tracking control of wheeled mobile robots with communication delay and data loss. J. Syst. Sci. Complex. 2018, 31, 927–945. [Google Scholar] [CrossRef]
- Zhang, K.; Chen, J.; Li, Y.; Gao, Y. Unified visual servoing tracking and regulation of wheeled mobile robots with an uncalibrated camera. IEEE/ASME Trans. Mechatron. 2018, 23, 1728–1739. [Google Scholar] [CrossRef]
- Roy, S.; Roy, S.B.; Kar, I.N. Adaptive-robust control of Euler-Lagrange systems with linearly parametrizable uncertainty bound. IEEE Trans. Control Syst. Technol. 2018, 26, 1842–1850. [Google Scholar] [CrossRef]
- Cui, M.; Liu, H.; Liu, W.; Qin, Y. An adaptive unscented kalman filter-based controller for simultaneous obstacle avoidance and tracking of wheeled mobile robots with unknown slipping parameters. J. Intell. Robot. Syst. 2018, 92, 489–504. [Google Scholar] [CrossRef]
- Dönmez, E.; Kocamaz, A.F.; Dirik, M. A vision-based real-time mobile robot controller design based on gaussian function for indoor environment. Arab. J. Sci. Eng. 2018, 43, 7127–7142. [Google Scholar] [CrossRef]
- De Melo, M.J.; Begnini, M.; da Silva, H.R.; da França-Júnior, M.C. Robust and adaptive chatter free formation control of wheeled mobile robots with uncertainties. Adv. Distrib. Comput. Artif. Intell. J. 2018, 7, 27–41. [Google Scholar] [CrossRef]
- Falsafi, M.H.; Alipour, K.; Tarvirdizadeh, B. Tracking-error fuzzy-based control for nonholonomic wheeled robots. Arab. J. Sci. Eng. 2019, 44, 881–892. [Google Scholar] [CrossRef]
- Bai, G.; Liu, L.; Meng, Y.; Luo, W.; Gu, Q.; Wang, J. Path tracking of wheeled mobile robots based on dynamic predicition model. IEEE Access 2019, 7, 39690–39701. [Google Scholar] [CrossRef]
- Wang, A.; Li, G.; Chen, X.; Zhang, H.; Chen, Q. Simultaneous stabilization and tracking of nonholonomic WMRs with input constraints: Controller design and experimental validation. IEEE Trans. Ind. Electron. 2019, 66, 5343–5352. [Google Scholar] [CrossRef]
- Guechi, E.-H.; Belharet, K.; Blažič, S. Tracking control for wheeled mobile robot based on delayed sensor measurements. Sensors 2019, 19, 5177. [Google Scholar] [CrossRef]
- Hwang, C.-L. Comparison of path tracking control of a car-like mobile robot with and without motor dynamics. IEEE/ASME Trans. Mechatron. 2016, 21, 1801–1811. [Google Scholar] [CrossRef]
- Ma, Y.; Cocquempot, V.; Najjar, M.E.B.E.; Jiang, B. Multi-design integration based adaptive actuator failure compensation control for two linked 2WD mobile robots. IEEE/ASME Trans. Mechatron. 2017, 22, 2174–2185. [Google Scholar] [CrossRef]
- Hwang, C.-L.; Hung, J.Y. Stratified adaptive finite-time tracking control for nonlinear uncertain generalized vehicle systems and its applications. IEEE Trans. Control Syst. Technol. 2019, 27, 1308–1316. [Google Scholar] [CrossRef]
- Márquez-Sánchez, C.; Silva-Ortigoza, R.; García-Sánchez, J.R.; Hernández-Guzmán, V.M.; Antonio-Cruz, M.; Marcelino-Aranda, M.; Silva-Ortigoza, G. An embedded hardware for implementation of a tracking control in WMRs. IEEE Lat. Am. Trans. 2018, 16, 1835–1842. [Google Scholar] [CrossRef]
- Fierro, R.; Lewis, F.L. Control of a nonholomic mobile robot: Backstepping kinematics into dynamics. J. Robot. Syst. 1997, 14, 149–163. [Google Scholar] [CrossRef]
- Fukao, T.; Nakagawa, H.; Adachi, N. Adaptive tracking control of a nonholonomic mobile robot. IEEE Trans. Robot. Autom. 2000, 16, 609–615. [Google Scholar] [CrossRef]
- Nguyen, T.; Nguyentien, K.; Do, T.; Pham, T. Neural network-based adaptive sliding mode control method for tracking of a nonholonomic wheeled mobile robot with unknown wheel slips, model uncertainties, and unknown bounded external disturbances. Acta Polytech. Hung. 2018, 15, 103–123. [Google Scholar] [CrossRef]
- Mirzaeinejad, H.; Shafei, A.M. Modeling and trajectory tracking control of a two-wheeled mobile robot: Gibbs-Appell and prediction-based approaches. Robotica 2018, 36, 1551–1570. [Google Scholar] [CrossRef]
- Huang, H.; Zhou, J.; Di, Q.; Zhou, J.; Li, J. Robust neural network-based tracking control and stabilization of a wheeled mobile robot with input saturation. Int. J. Robust Nonlinear Control 2019, 29, 375–392. [Google Scholar] [CrossRef]
- Goswami, N.K.; Padhy, P.K. Sliding mode controller design for trajectory tracking of a non-holonomic mobile robot with disturbance. Comput. Electr. Eng. 2018, 72, 307–323. [Google Scholar] [CrossRef]
- Mirzaeinejad, H. Optimization-based nonlinear control laws with increased robustness for trajectory tracking of non-holonomic wheeled mobile robots. Transp. Res. Part C Emerg. Technol. 2019, 101, 1–17. [Google Scholar] [CrossRef]
- Avendaño-Juárez, J.L.; Hernández-Guzmán, V.M.; Silva-Ortigoza, R. Velocity and current inner loops in a wheeled mobile robot. Adv. Robot. 2010, 24, 1385–1404. [Google Scholar] [CrossRef]
- Sira-Ramírez, H.; Silva-Ortigoza, R. Control Design Techniques in Power Electronics Devices; Springer: London, UK, 2006; ISBN 1-84628-458-9. [Google Scholar]
- Sira-Ramírez, H.; Agrawal, S.K. Differentially Flat Systems; Marcel Dekker: New York, NY, USA, 2004; ISBN 978-0824754709. [Google Scholar]
- Silva-Ortigoza, R.; García-Sánchez, J.R.; Alba-Martinez, J.M.; Hernández-Guzmán, V.M.; Marcelino-Aranda, M.; Taud, H.; Bautista-Quintero, R. Two-stage control design of a Buck converter/DC motor system without velocity measurements via a Σ − Δ-modulator. Math. Probl. Eng. 2013, 2013, 929316. [Google Scholar] [CrossRef]
- Wang, J.; Yang, Y.; Wang, T.; Sherrat, R.S.; Zhang, J. Big data service architecture: A survey. J. Internet Technol. 2020, 21, 393–405. [Google Scholar] [CrossRef]
- Wang, J.; Tang, Y.; He, S.; Zhao, C.; Sharma, P.K.; Alfarraj, O.; Tolba, A. LogEvent2vec: LogEvent-to-vector based anomaly detection for large-scale logs in internet of things. Sensors 2020, 20, 2451. [Google Scholar] [CrossRef] [PubMed]
- Li, W.; Chen, Z.; Gao, X.; Liu, W.; Wang, J. Multi-model framework for indoor localization under mobile edge computing environment. IEEE Internet Things J. 2019, 6, 4844–4853. [Google Scholar] [CrossRef]
- Wang, J.; Gu, X.; Liu, W.; Sangaiah, A.K.; Kim, H.-J. An empower hamilton loop based data collection algorithm with mobile agent for WSNs. Human-Centric Comput. Inf. Sci. 2019, 9, 1–14. [Google Scholar] [CrossRef]











| Mathematical Model of the | ||
|---|---|---|
| Mechanical Structure | ||
| Subsystem | Kinematics | Dynamics |
| MS | [15,16,17,18,19,20,21,22,23,24,25,26,27,28,29] | [36,37,38] |
| MS + A | [33] | [39,40] |
| MS + A + PS | [7,8,9,10] | — |
© 2020 by the authors. Licensee MDPI, Basel, Switzerland. This article is an open access article distributed under the terms and conditions of the Creative Commons Attribution (CC BY) license (http://creativecommons.org/licenses/by/4.0/).
Share and Cite
García-Sánchez, J.R.; Tavera-Mosqueda, S.; Silva-Ortigoza, R.; Hernández-Guzmán, V.M.; Marciano-Melchor, M.; Rubio, J.d.J.; Ponce-Silva, M.; Hernández-Bolaños, M.; Martínez-Martínez, J. A Novel Dynamic Three-Level Tracking Controller for Mobile Robots Considering Actuators and Power Stage Subsystems: Experimental Assessment. Sensors 2020, 20, 4959. https://doi.org/10.3390/s20174959
García-Sánchez JR, Tavera-Mosqueda S, Silva-Ortigoza R, Hernández-Guzmán VM, Marciano-Melchor M, Rubio JdJ, Ponce-Silva M, Hernández-Bolaños M, Martínez-Martínez J. A Novel Dynamic Three-Level Tracking Controller for Mobile Robots Considering Actuators and Power Stage Subsystems: Experimental Assessment. Sensors. 2020; 20(17):4959. https://doi.org/10.3390/s20174959
Chicago/Turabian StyleGarcía-Sánchez, José Rafael, Salvador Tavera-Mosqueda, Ramón Silva-Ortigoza, Victor Manuel Hernández-Guzmán, Magdalena Marciano-Melchor, José de Jesús Rubio, Mario Ponce-Silva, Miguel Hernández-Bolaños, and Jesús Martínez-Martínez. 2020. "A Novel Dynamic Three-Level Tracking Controller for Mobile Robots Considering Actuators and Power Stage Subsystems: Experimental Assessment" Sensors 20, no. 17: 4959. https://doi.org/10.3390/s20174959
APA StyleGarcía-Sánchez, J. R., Tavera-Mosqueda, S., Silva-Ortigoza, R., Hernández-Guzmán, V. M., Marciano-Melchor, M., Rubio, J. d. J., Ponce-Silva, M., Hernández-Bolaños, M., & Martínez-Martínez, J. (2020). A Novel Dynamic Three-Level Tracking Controller for Mobile Robots Considering Actuators and Power Stage Subsystems: Experimental Assessment. Sensors, 20(17), 4959. https://doi.org/10.3390/s20174959

