Abstract
Frequent location updates of individual Internet of Things (IoT) devices can cause several problems (e.g., signaling overhead in networks and energy depletion of IoT devices) in massive machine type communication (mMTC) systems. To alleviate these problems, we design a distributed group location update algorithm (DGLU) in which geographically proximate IoT devices determine whether to conduct the location update in a distributed manner. To maximize the accuracy of the locations of IoT devices while maintaining a sufficiently small energy outage probability, we formulate a constrained stochastic game model. We then introduce a best response dynamics-based algorithm to obtain a multi-policy constrained Nash equilibrium. From the evaluation results, it is demonstrated that DGLU can achieve an accuracy of location information that is comparable with that of the individual location update scheme, with a sufficiently small energy outage probability.
1. Introduction
Recently, the Internet of Things (IoT) has been rapidly adopted all over the world [1,2,3]. Because of this explosive popularity, massive machine type communication (mMTC) has been defined as one of main communication types in 5G networks [4,5,6]. One of the primary application scenarios of mMTC is intelligent transportation systems (ITSs) [7,8,9,10], where many IoT devices (e.g., GPS devices and various types of sensors) are deployed in vehicles. With the assistance of IoT devices, various useful services can be provided to users, especially when the locations of IoT devices are well managed [11]. For example, consider a package tracking system in which the tracking IoT devices are attached to each package in the vehicle, and these IoT devices update their locations to the location management server. The package tracking service can then be easily achieved. In addition, we can consider a case where people have more than wearable devices (e.g., smart watch, health monitoring devices, etc.) in their bodies and these devices update their location for advanced services (e.g., location-based advertisement, location tracking, etc.). However, when all the IoT devices update their locations individually, a significant signaling overhead can occur in networks. In addition, because the signaling process and message transmission for location updates generally consume a large amount of energy, frequent location updates can cause energy depletion of IoT devices. Many works have addressed this problem [12,13,14,15,16,17,18,19,20,21,22,23]. One of the intuitive solutions is electing a representative IoT device (i.e., group leader). Then, only a group leader updates its location (which is probably the same as locations of the other IoT devices). Even though this approach can reduce unnecessary location updates, the procedure of electing a group leader needs considerable signalings. In addition, when the group leader fails, the whole system can be disrupted.
In this paper, we propose a distributed group location update algorithm (DGLU) for massive machine type communication (mMTC). In DGLU, when geographically proximate IoT devices move to another location, they determine whether to conduct the location update in a distributed manner. Because each IoT device cannot know the other IoT devices’ decision, some degree of redundant location updating may occur. In other words, to achieve a sufficient accuracy of location information, some redundant location updates are unavoidable. However, excessively redundant location updates decrease the energy efficiency of IoT devices. To optimize this trade-off, we formulate a constrained stochastic game model that can be converted into an equivalent linear programming (LP). We then design a best response dynamics-based algorithm to reach a multi-policy constrained Nash equilibrium. The evaluation results show that DGLU can achieve an accuracy of location information that is comparable with the individual location update scheme while controlling the energy outage probability below the desired level. Moreover, it is observed that DGLU can be adopted in practical systems due to the fast convergence property of the proposed iteration algorithm.
We summarize the contributions of this paper as follows: (1) to the best our knowledge, this is the first work to optimize the trade-off between the accuracy of location information and the energy efficiency of IoT devices in a distributed manner (i.e., based on a constrained stochastic game); (2) the optimal location update policy can be obtained with a few iterations, which indicates that the policy can be adopted by practical systems without an excessive overhead; and (3) the presented evaluation results under various environments can provide invaluable guidelines for constructing mMTC systems.
2. Related Work
Several studies were conducted on mobility management in IoT systems [12,13,14,15,16,17,18,19,20,21,22,23,24,25,26,27]. These can be categorized into: (1) mobility management for an individual device [12,13,14,15,16]; (2) mobility management for a group of devices [17,18,19,20,21,22,23]; and (3) mobility management for the privacy of devices [24,25,26,27].
Fu et al. [12] proposed a delayed location update algorithm where mobile devices postpone their location updates until the the timer expiration to decrease the number of updates. Pacheco-Paramo et al. [13] designed two location management schemes with the objective reducing signaling overhead with a sufficient accuracy of location information of mobile devices. Ko et al. [14] proposed an adaptive location update algorithm, where mobile devices update their location only at specific locations where they remain for a long time. Yu and Gu [15] introduced a cost-efficient location management scheme where a mobile device conducts location updates only in chosen locations by considering its current status. Wang et al. [16] proposed an Q-learning-based mobility management scheme where a mobile device makes a handover decision by observing the task delay. However, the feature of group mobility was not investigated in these studies [12,13,14,15,16].
Wang et al. [17] proposed a group location update method in which two leader selection methods, regular and irregular selection methods, are used depending on whether a previous group leader exists or not. Fu et al. [18] suggested a group-based mobility management scheme where the location management server divides mobile devices into several groups by considering the similarity of their mobility patterns, and a leader device conducts location update on behalf of the other devices in the same group. Li and Wu [19] introduced a delay-based location management scheme for a group of mobile devices, in which each mobile device updates its location after a random time delay to reduce simultaneous location update. Suzuki et al. [20] developed a low-complexity mobility detection mechanism based on signaling data of mobile devices. Chowdhury et al. [21] proposed a resource management method for group mobility that includes a bandwidth adaptation policy and a dynamic bandwidth reservation policy. Dooren et al. [22] proposed a group handover scheme to allow for the simultaneous handover of a group of mobile devices and evaluated its performance based on derived analytical models for handover delay. Chatzikokolakis et al. [23] proposed a location management scheme where only one device performs location update on behalf of a group formed for the application specific purpose.
Aman et al. [24] proposed a location-based authentication protocol that exploits physical unclonable functions to establish a root of trust, secure key generation, and hardware authentication. Albouq et al. [25] introduced a privacy protection approach by integrating obfuscation and trust third party approaches and exploited cahching and mix-zone technologies to improve its efficiency. Saia et al. [26] introduced a blockchain-based distributed paradigm to exchange data between IoT devices in a private manner. Sun et al. [27] analyzed an existing dummy location selection algorithm protecting the location privacy of IoT devices, an then proposed a new dummy location privacy algorithm that optimizes a tradeoff between the computational cost and the privacy requirement of IoT device.
However, no previous work optimized the location update strategy of multiple devices in a distributed manner based on a constrained stochastic game.
3. Distributed Group Location Update Algorithm (Dglu)
The system model in this paper is shown in Figure 1. In our system model, it is assumed that several IoT devices are attached to a primary object (e.g., person and vehicles), and these IoT devices have energy harvesting capability (i.e., IoT devices can charge their batteries whose capacity is denoted by ). Meanwhile, due to the mobility of the primary object, the locations of the IoT devices change, and therefore these devices update their locations to the location management server. However, when all IoT devices update their locations individually, a significant signaling overhead can occur in networks. In addition, because the signaling process and message transmission for location updates generally consume a large amount of energy, frequent location updates can deplete the energy of IoT devices even though they have harvesting capability. Therefore, we introduce a concept of group mobility management, i.e., due to the proximity of IoT devices, the locations of all devices in one group can be managed when only the representative IoT device (i.e., the group leader) updates its location. A group leader can be elected in a distributed manner or centralized manner, but the election procedure leads to a significant signaling overhead. In addition, when the group leader is out-of-order, the whole system cannot operate well. To mitigate these problems, in DGLU, when the locations of geographically proximate IoT devices change, they determine whether to conduct the location update in a distributed manner. To avoid degradation of the accuracy of location information, some redundant location updates need to be allowed. However, when too many IoT devices conduct location updates redundantly, their energy efficiency can decrease. Thus, each IoT device should consider neighboring IoT devices’ updates in the same group and determine whether to conduct location update. For the optimal decision on location update, a constrained stochastic game model is formulated in Section 4. If an IoT device decides to update its location, it transmits a location update message including some information such as its identification, group identification, location, and update time. After receiving the location update message from IoT devices, the location management server updates its database based on the information included in the message.
Figure 1.
System model.
Meanwhile, when a corresponding device (e.g., a package tracking service provider) wants to find the location of a specific IoT device, it can request the location management server for its location. After receiving this request, the location management server first checks the group of the IoT device. It then provides the location of any IoT device with the latest update time in that group. For example, in Figure 1, because IoT devices 2 and 3 have the latest update time, the location management service provides the location of IoT device 2 or 3 to the requester.
4. Constrained Stochastic Game
For a distributed optimal decision on location update to maximize the location accuracy while maintaining the energy outage probability below a desired level, a constrained stochastic game model is formulated [28]. In our game model, N IoT devices are the players, and IoT device i and player i are used interchangeably. Important notations for the constrained stochastic game model are summarized in Table 1.
Table 1.
Summary of notations.
4.1. Local State Space
Each player i (i.e., IoT device i) has a finite local state space . A global state space S can then be denoted by , where ∏ is the Cartesian product. The local state space of player i can be defined as
where and represent the state spaces denoting the current location of IoT device i and the registered location of IoT device i at the location management server, respectively. Also, means the state space representing the energy of IoT device i.
When the number of locations in the systems is , and can be described as
and
respectively.
Meanwhile, can be represented by
4.2. Local Action Space
Each player i has a finite local action space . Then, a global action space A can be defined as . Since each IoT device i has two options (i.e., conduct location update and does not conduct location update), can be defined by
where means that IoT device i does not update its location, whereas indicates that IoT device i conducts location update.
4.3. Transition Probability
The location of IoT device i at the location management server is updated based on the current location of IoT device i when it conducts a location update, i.e., the transition of is affected by and . In addition, when conducting location update, IoT device i consumes energy. The transitions of are influenced by . Meanwhile, all states (i.e., , , and ) transit independently from each other. Therefore, for an chosen action , the transition probability from the current state to the next state can be described as
We assume that the probability of occurrence of a location change for IoT device i is , which is inversely proportional to the residence time in . Therefore, can be derived as
where is the probability that IoT device i moves from to .
When IoT device i does not update its location (i.e., ), its location registered at the location management server does not change (i.e., ). On the other hand, when IoT device i conducts location update (i.e., ), its location registered at the location management server is updated based on the current location of IoT device i (i.e., ). Therefore, the corresponding transition probabilities can be represented by
and
IoT devices can harvest energy only if they are in an appropriate situation (e.g., solar-based harvesting IoT device should be located at a sunny spot for the harvesting). Thus, a Bernoulli random process taking values in can be exploited to model whether IoT devices harvest one unit of energy or not, i.e., it is assumed that IoT devices harvest (or do not harvest) one unit of energy with the probability (or ) [29]. Therefore, in our system model, when IoT device i with non-fully charged battery (i.e., ) does not update its location to the location management server, its energy increases by one unit with probability . If the battery of IoT device i is fully charged (i.e., ), the energy of IoT device i does not increase, because it cannot harvest energy anymore. To sum up, the corresponding probabilities can be described by
and
IoT devices can harvest energy only if they are in an appropriate situation (e.g., solar-based harvesting IoT device should be located at a sunny spot for the harvesting). Thus, a Bernoulli random process taking values in can be exploited to model whether IoT devices harvest one unit of energy or not, i.e., it is assumed that IoT devices harvest (or do not harvest) one unit of energy with the probability (or ) [29]. Therefore, in our system model, when IoT device i with a non-fully charged battery (i.e., ) does not update its location to the location management server, its energy increases by one unit with probability . If the battery of IoT device i is fully charged (i.e., ), the energy of IoT device i does not increase, because it cannot harvest energy anymore. To sum up, the corresponding probabilities can be described by
and
When IoT device i conducts location update (i.e., ), it consumes one unit of energy. However, if IoT device i does not have any energy (i.e., ), it cannot conduct location update. In this situation, IoT device i does not consume any energy. Also, its energy can increase by one unit with probability . Therefore, and can be represented as
and
4.4. Reward Function
To maximize the accuracy of location of IoT device i, we define a reward function. When the current location of IoT device i is the same as the registered location at the location management server (i.e., ), a corresponding device can obtain the accurate location of IoT device i. Even though the current location of IoT device i is not same as the registered location at the location management server (i.e., ), if at least one IoT device except IoT device i has conducted location update, the location management server can provide the accurate location of IoT device i to a corresponding device. Therefore, the reward function can be defined as
where represents the probability that at least one IoT device except IoT device i has updated its location to the location management server.
4.5. Constraint Function
To prevent the situation where the energy outage probability becomes higher than a certain level, the constraint function is defined. An energy outage implies that the current energy of IoT device i is 0. Thus, the constraint function can be defined as
4.6. Optimization Formulation
Let and be a stationary policy of IoT device i and a stationary multi-policy of all IoT devices, respectively. Then, the long-term average probability that the accurate location of IoT device i can be provided to a corresponding device can be defined as
where and are the global state and the action at time t, respectively.
The one of objective of IoT device i (i.e., constraint) is to maintain a long-term average energy outage probability below a certain level, which can be described by
where means the target average energy outage probability.
The multi-policy is the constrained Nash equilibrium, which is the solution of the formulated constrained stochastic game, if for each IoT device i among any such that is feasible (i.e., the constraint is satisfied). In the constrained Nash equilibrium, IoT device i cannot achieve a higher location accuracy with any other stationary policy while the other IoT devices do not change their stationary policies or IoT device i will violate the constraint.
For the multi-policy constrained Nash equilibrium, the best response policy of IoT device i given any stationary policies of other IoT devices can be defined as
LP can then be exploited to obtain the best response policy of IoT device i. Let be the stationary probability in local state and action of IoT device i given the stationary policies of other IoT devices . Then, the solution of the equivalent LP model can be mapped to the best response policy of the constrained stochastic game [30,31]. The equivalent LP model can be defined by
The objective function in (21) maximizes the probability that the accurate location of IoT device i is provided to a corresponding device. On the other hand, the constraint in (22) maintains the average energy outage probability below the desired target probability . The constraint in (23) is for the Chapman-Kolmogorov equation. In addition, we can satisfy the probability properties with the constraints in (24) and (25).
If the LP problem is feasible, the stationary best response policy of IoT device i can be given by
The best response dynamics can be applied to update the policies of IoT devices as shown in Algorithm 1, and the diagram for IoT device i is shown in Figure 2. Note that the proposed algorithm is enhanced compared to the algorithm in [32] to reduce the number of time slots to exchange information (i.e., ). In the proposed algorithm, IoT devices interact with each other through the probability (see line 6 in Algorithm 1). The probability that IoT device i updates its location can be obtained from
can then be calculated by
| Algorithm 1: Best response dynamics-based algorithm. |
| 1: Calculate the optimal medium access probability . |
| 2: Inform the to IoT devices |
| 3: Initialize the policies for . |
| 4: while Stationary policies of all IoT devices converge |
| 5: for All IoT devices i do |
| 6: Transmit the to other IoT devices with |
| 7: Calculate the probability |
| 8: Solve the LP problem to get the stationary best response policy |
| 9: end for |
| 10: end while |
Figure 2.
Diagram of IoT device i in DGLU.
To calculate , each IoT device transmits the probability to the other IoT devices, which implies that each IoT device should access the medium. It is assumed that IoT devices use a slotted-ALOHA protocol due to its simplicity, i.e., IoT devices access the medium at each time slot with a specific probability in a distributed manner. To reduce the collision probability, the location management server informs the optimal medium access probability to IoT devices (see line 2 in Algorithm 1). Please note that the optimal medium access probability is inversely proportional to the number of IoT devices [33].
The complexity of the whole algorithm depends on the complexity of the algorithm solving LP problem. Specifically, the complexity of the Vaidya’s algorithm, that is the representative algorithm solving a LP problem, is [34] (i.e., polynomial time), where and denote the numbers of states and action of IoT device i, respectively. Meanwhile, to reach the equilibrium, the algorithm needs only a few iterations (see Section 5.1), which indicates that the proposed algorithm can easily be implemented in real IoT systems.
5. Evaluation Results
For a performance evaluation, we compare the proposed algorithm, DGLU, with the following three schemes: (1) ALWAYS, where an individual IoT device always performs location update whenever it moves to another location; (2) RAND, where IoT devices randomly perform location update; (3) P-BASED, where IoT devices perform location update with probability P; and (4) LEADER, where a only group leader conducts location update whenever it moves to another location. For P-BASED, P is set to 0.3.
The performance metrics are the average energy outage probability and the average location accuracy . We assume that the initial batteries of all IoT devices are fully charged. Meanwhile, the other default parameter settings are as follows. The total number of IoT devices in the group is 3. The maximum battery capacity of the IoT devices, , is set to 10, and the number of locations within the target area is 10. The other default parameter settings are summarized in Table 2, where denotes the energy harvesting probability of each devices (e.g., the of IoT device 1 is 0.5).
Table 2.
Default Parameter Settings.
5.1. Convergence to Nash Equilibrium
Figure 3 shows the convergence to the constrained Nash equilibrium policy. From Figure 3, it can be observed that the proposed algorithm converges quickly within a few iterations (i.e., 6 iterations) to the equilibrium. As a result, we believe that DGLU can be implemented in practical systems without an excessively large overhead.
Figure 3.
Convergence to the constrained Nash equilibrium policy.
In addition, it can be found that when a certain IoT device performs location update with a high probability, other IoT devices conduct fewer location updates at best response. In our simulation setting, because IoT device 1 performs the location update with a high probability (i.e., 0.9) at the first iteration, other IoT devices (i.e., IoT devices 2 and 3) perform location updates with low probabilities. In this way, IoT devices 2 and 3 can reduce their energy consumption without decreasing location accuracy owing to the update by IoT device 1.
Figure 4 shows the average number of time slots to exchange update probability according to the number of IoT devices in a group . In this result, we compare the slotted-ALOHA protocol with the optimal medium access probability to that with a non-optimal medium access probability. From Figure 4, it can be shown that the average number of time slots of the slotted-ALOHA protocol with the optimal medium access probability maintains at a low level even though increases, which indicates that IoT devices can exchange their information without high energy consumption. This is because there are few collisions due to the optimal medium access probability.
Figure 4.
Average number of time slots to exchange .
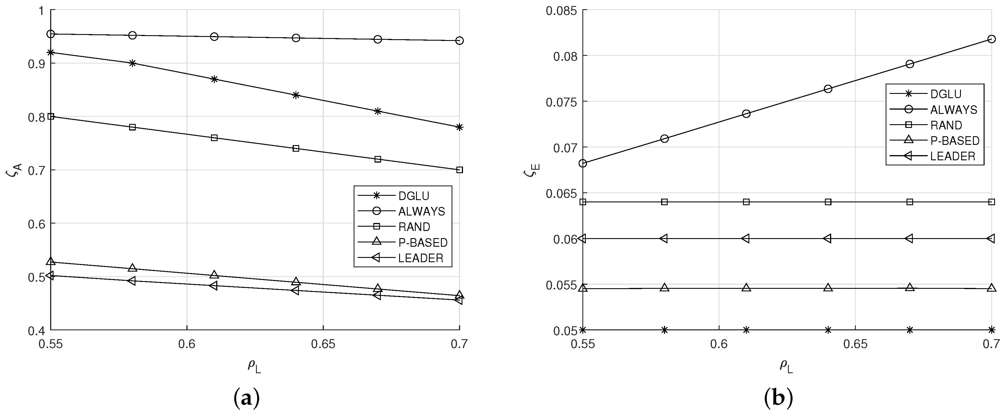
5.2. Effect of
Figure 5a,b shows the effect of the location change probability on the average location accuracy and the average energy outage probability , respectively. A larger allows IoT devices to change their location more frequently. In this situation, from Figure 5a, it can be seen that the of all schemes decreases. This can be explained as follows. Larger means that more location updates are needed to maintain the same average location accuracy . However, IoT devices sometimes cannot conduct location updates due to their energy depletion, which leads the reduction of the average location accuracy. However, in DGLU, IoT devices with a high energy harvesting probability update their locations more aggressively than other IoT devices with a low energy harvesting probability especially when is high, and thus the of DGLU can be maintained at a high level (i.e., approximately ) without the increased energy outage probability as shown in Figure 5b. Note that, even when IoT devices with a high energy harvesting probability update their locations more aggressively, their energy is probably not depleted. Meanwhile, because ALWAYS always performs location update, its location accuracy is highest at the expense of the high energy outage probability (see Figure 5a,b).
Figure 5.
Effect of the location change probability . (a) Average location accuracy . (b) Average energy outage probability .
5.3. Effect of
Figure 6a,b shows the effect of the energy harvesting probability on the average location accuracy and the average energy outage probability , respectively. From Figure 6a, it can be observed that the of DGLU increases with the increase in , whereas the of the other schemes is constant regardless of . This can be explained as follows. A large implies that the energy of IoT devices is not depleted even when they frequently conduct location update. In DGLU, IoT devices recognize this situation, and thus update their location frequently. However, the other comparison schemes follow fixed location update policies regardless of . Thus, their energy outage probabilities decrease (see Figure 6b).
Figure 6.
Effect of the energy harvesting probability . (a) Average location accuracy . (b) Average energy outage probability .
Meanwhile, from Figure 6, it can be found that the of LEADER is lowest. This can be explained as follows. In LEADER, a group leader always updates its location. Thus, its energy can be depleted with high probability, which implies the location management server cannot maintain the accurate location information of any IoT devices.
5.4. Effect of
Figure 7 demonstrates the effect of the target energy outage probability on the average location accuracy . As increases, IoT devices can perform more location updates with less concern about energy depletion. By taking this situation into account, IoT devices in DGLU conduct more location updates, which explains the increased average location accuracy shown in Figure 7. On the other hand, the other comparison schemes conduct location update in accordance with the fixed policy, and therefore their average location accuracy is constant.
Figure 7.
Effect of the target energy outage probability on the average location accuracy .
5.5. Effect of
Figure 8 demonstrates the effect of the number of IoT devices in one group on the average location accuracy . As the number of IoT devices in one group increases, of all schemes except ALWAYS increases and converges to certain values. This is because large indicates low probability that all IoT devices who decide to conduct the location update cannot do that due to the energy depletion (which causes the decrease of ). However, this probability becomes 0 when is more than a certain number (which causes the convergence of ).
Figure 8.
Effect of the number of IoT devices in one group on the average location accuracy .
6. Conclusions and Future Work
In this paper, we proposed a distributed group location update algorithm (DGLU). In DGLU, geographically proximate IoT devices decide whether to update their location in a distributed manner by means of a constrained stochastic game model. We introduced a best response dynamics-based algorithm to obtain a multi-policy constrained Nash equilibrium. The evaluation results demonstrated that DGLU can achieve an accuracy of location information that is comparable with that of the individual location update scheme while guaranteeing a low energy outage probability. Moreover, it can be demonstrated that the proposed algorithm is not high, and DGLU operates adaptively even when the operating environments (i.e., the location change probability and the energy harvesting probability) change. In our future work, we will develop a method to estimate the energy harvesting probabilities of IoT devices for more sophisticated operation.
Author Contributions
Conceptualization, M.P. and H.K.; methodology, M.P. and H.K.; software, M.P.; validation, M.P. and H.K.; formal analysis, M.P. and H.K.; investigation, H.K.; resources, H.K.; data curation, M.P.; Writing—Original draft preparation, M.P.; Writing—Review and editing, M.P. and H.K.; visualization, M.P. and H.K.; supervision, H.K.; project administration, H.K.; funding acquisition, H.K. All authors have read and agreed to the published version of the manuscript.
Funding
This research was supported by National Research Foundation (NRF) of Korea Grant funded by the Korean Government (MSIP) (No. 2019R1C1C1004352).
Conflicts of Interest
The authors declare no conflict of interest.
References
- IoT Devices Will Outnumber the World’s Population This Year for the First Time. Available online: https://www.zdnet.com/article/iot-devices-will-outnumber-the-worlds-population-this-year-for-the-first-time/ (accessed on 27 February 2020).
- IoT to Drive Growth in Connected Devices through 2022: Cisco. Available online: https://www.zdnet.com/article/iot-to-drive-growth-in-connected-devices-through-2022-cisco/ (accessed on 27 February 2020).
- Gartner, 8.4 Billion Connected “Things” Will Be in Use in 2017, up 31 Percent from 2016. Available online: http://www.gartner.com/newsroom/id/3598917 (accessed on 27 February 2020).
- Sharma, S.; Wang, X. Towards Massive Machine Type Communications in Ultra-Dense Cellular IoT Networks: Current Issues and Machine Learning-Assisted Solutions. IEEE Commun. Surv. Tutorials (CST) 2020, 22, 426–471. [Google Scholar] [CrossRef]
- Medel, A.; Brito, J. Random-Access Accelerator(RAA): A Framework to Speed Up the Random-Access Procedure in 5G new Radio for IoT mMTC by Enabling Device-To-Device Communications. Sensors 2020, 20, 5485. [Google Scholar] [CrossRef] [PubMed]
- Aly, A.; Attar, H.E.L.; Badawy, H.E.L.; Abbas, W. Aggregated Throughput Prediction for Collated Massive Machine-Type Communications in 5G Wireless Networks. Sensors 2019, 19, 3651. [Google Scholar]
- Sodhro, A.; Obaidat, M.; Abbasi, Q.; Pace, P.; Pirbhulal, S.; Yasar, A.; Fortino, G.; Imran, M.; Qaraqe, M. Quality of Service Optimization in an IoT-Driven Intelligent Transportation System. IEEE Wirel. Commun. 2019, 26, 10–17. [Google Scholar] [CrossRef]
- Guan, K.; He, D.; Ai, B.; Matolak, D.; Wang, Q.; Zhong, Z.; Kürner, T. 5-GHz Obstructed Vehicle-to-Vehicle Channel Characterization for Internet of Intelligent Vehicles. IEEE Internet Things J. 2019, 6, 100–110. [Google Scholar] [CrossRef]
- Huang, S. 5G-based Intelligent Transportation System Construction. In Proceedings of the IEEE International Conference on Safety Produce Information (IICSPI) 2018, Chongqing, China, 28–30 November 2019. [Google Scholar]
- Moubayed, A.; Shami, A.; Heidari, P.; Larabi, A.; Brunner, R. Edge-Enabled V2X Service Placement for Intelligent Transportation Systems. IEEE Trans. Mob. Comput. 2020. [Google Scholar] [CrossRef]
- Shit, R.; Sharma, S.; Puthal, D.; Zomaya, A. Location of Things(LoT): A Review and Taxonomy of Sensors Localization in IoT Infrastructure. IEEE Commun. Surv. Tutorials 2018, 20, 2028–2061. [Google Scholar] [CrossRef]
- Fu, H.; Lin, P.; Lin, Y. Reducing Signaling Overhead for Femtocell/Macrocell Networks. IEEE Trans. Mob. Comput. 2013, 12, 1587–1597. [Google Scholar] [CrossRef]
- Pacheco-Paramo, D.; Akyildiz, I.; Casares-Giner, V. Local Anchor Based Location Management Schemes for Small Cells in HetNets. IEEE Trans. Mob. Comput. 2016, 15, 883–894. [Google Scholar] [CrossRef]
- Ko, H.; Lee, J.; Pack, S. MALM: Mobility-Aware Location Management Scheme in Femto/Macrocell Networks. IEEE Trans. Mob. Comput. 2017, 16, 3115–3125. [Google Scholar] [CrossRef]
- Yu, Y.; Gu, D. The Cost Efficient Location Management in the LTE Picocell/Macrocell Network. IEEE Commun. Lett. 2013, 17, 904–907. [Google Scholar]
- Wang, J.; Liu, K.; Ni, M.; Pan, J. Learning Based Mobility Management Under Uncertainties for Mobile Edge Computing. In Proceedings of the IEEE Global Communications Conference (GLOBECOM) 2018, Abu Dhabi, UAE, 9–13 December 2018. [Google Scholar]
- Wang, F.; Tu, L.; Zhang, F.; Huang, Z. Group Location Update Scheme and Performance Analysis for Location Management in Mobile Network. In Proceedings of the IEEE Vehicular Technology Conference (VTC) 2005, Stockholm, Sweden, 30 May–1 June 2005. [Google Scholar]
- Fu, H.; Lin, P.; Yue, H.; Huang, G.; Lee, C. Group Mobility Management for Large-Scale Machine-to-Machine Mobile Networking. IEEE Trans. Veh. Technol. (TVT) 2014, 63, 1296–1305. [Google Scholar] [CrossRef]
- Li, Z.; Wu, H. A Group User Location Management Scheme Based on the Stochastic Time Delay. In Proceedings of the IEEE International Conference on Intelligent Transportation Systems Telecommunications (ITST) 2018, Lisboa, Portugal, 15–17 October 2018. [Google Scholar]
- Suzuki, M.; Kitahara, T.; Ano, S.; Tsuru, M. Group Mobility Detection and User Connectivity Models for Evaluation of Mobile Network Functions. IEEE Trans. Netw. Serv. Manag. 2018, 15, 127–141. [Google Scholar] [CrossRef]
- Chowdhury, M.; Chae, S.; Jang, Y. Group Handover Management in Mobile Femtocellular Network Deployment. In Proceedings of the International Conference on Ubiquitous and Future Networks (ICUFN) 2012, Phuket, Thailand, 4–6 July 2012. [Google Scholar]
- Dooren, D.; Fodor, G.; Gross, J.; Johansson, K. Delay Analysis of Group Handover for Real-Time Control over Mobile Networks. In Proceedings of the IEEE Global Communications Conference (GLOBECOM) 2018, Abu Dhabi, UAE, 9–13 December 2018. [Google Scholar]
- Chatzikokolakis, K.; Kaloxylos, A.; Spapis, P.; Zhou, C.; Bulakci, Ö.; Alonistioti, N. Context-Aware Location Management of Groups of Devices in 5G Networks. In Proceedings of the IFIP International Conference on Autonomous Infrastructure, Management and Security 2016, Munich, Germany, 20–23 June 2016. [Google Scholar]
- Aman, M.; Basheer, M.; Sikdar, B. Two-Factor Authentication for IoT with Location Information. IEEE Int. Things J. 2018, 6, 3335–3351. [Google Scholar] [CrossRef]
- Albouq, S.; Sen, A.; Namoun, A.; Bahbouh, N. A double Obfuscation Approach for Protecting the Privacy of IoT Location Based Applications. IEEE Access 2020, 8, 129415–129431. [Google Scholar] [CrossRef]
- Saia, R.; Carta, S.; Recupero, D.; Fenu, G. Internet of Entities (IoE): A Blockchain-based Distributed Paradigm for Data Exchange between Wireless-based Devices. In Proceedings of the Internation Conference on Sensor Networks (SENSORNETS) 2019, Prague, Czech Republic, 26–27 February 2019. [Google Scholar]
- Sun, G.; Chang, V.; Ramachandran, M.; Sun, A.; Li, G.; Yu, H.; Liao, D. Efficient location privacy algorithm for Internet of Things (IoT) services and applications. J. Netw. Comput. Appl. 2017, 89, 3–13. [Google Scholar] [CrossRef]
- Altman, E.; Avrachenkov, K.; Bonneau, N.; Debbah, M.; El-Azouzi, R.; Menasche, D.S. Constrained Cost-Coupled Stochastic Games with Independent State Processes. Oper. Res. Lett. 2008, 36, 160–164. [Google Scholar] [CrossRef]
- Zheng, J.; Cai, Y.; Shen, X.; Zheng, Z.; Yang, W. Green Energy Optimization in Energy Harvesting Wireless Sensor Networks. IEEE Commun. Mag. 2015, 53, 150–157. [Google Scholar] [CrossRef]
- Niyato, D.; Wang, P.; Kim, D.; Han, Z.; Xiao, L. Game Theoretic Modeling of Jamming Attack in Wireless Powered Communication Networks. In Proceedings of the IEEE International Conference on Communications (ICC) 2016, London, UK, 8–12 May 2016. [Google Scholar]
- Niyato, D.; Lu, X.; Wang, P.; Kim, D.; Han, Z. Distributed Wireless Energy Scheduling for Wireless Powered Sensor Networks. In Proceedings of the IEEE International Conference on Communications (ICC) 2016, Kuala Lumpur, Malaysia, 22–27 May 2016. [Google Scholar]
- Ko, H.; Pack, S. Neighbor-Aware Energy-Efficient Monitoring System for Energy Harvesting Internet of Things. IEEE Int. Things J. 2019, 6, 5745–5752. [Google Scholar] [CrossRef]
- Silvester, J.; Kleinrock, L. On the Capacity of Multihop Slotted ALOHA Networks with Regular Structure. IEEE Trans. Commun. 1983, 31, 974–982. [Google Scholar] [CrossRef]
- Wikipedia, Linear Programming. Available online: https://en.wikipedia.org/wiki/Linear_programming (accessed on 13 December 2020).
Publisher’s Note: MDPI stays neutral with regard to jurisdictional claims in published maps and institutional affiliations. |
© 2020 by the authors. Licensee MDPI, Basel, Switzerland. This article is an open access article distributed under the terms and conditions of the Creative Commons Attribution (CC BY) license (http://creativecommons.org/licenses/by/4.0/).







