Abstract
In this study, a screen-printed electrode (SPE) modified with cobalt oxide nanoparticles (Co3O4 NPs) was used to create an all-solid-state ion-selective electrode used as a potentiometric ion sensor for determining nitrate ion (NO3−) concentrations in aquaculture water. The effects of the Co3O4 NPs on the characterization parameters of the solid-contact nitrate ion-selective electrodes (SC-NO3−-ISEs) were investigated. The morphology, physical properties and analytical performance of the proposed NO3−-ion selective membrane (ISM)/Co3O4 NPs/SPEs were studied by X-ray diffraction (XRD), energy-dispersive spectroscopy (EDS), transmission electron microscopy (TEM), scanning electron microscopy (SEM), electrochemical impedance spectroscopy (EIS), cyclic voltammetry (CV), potentiometric measurements, and potentiometric water layer tests. Once all conditions were optimized, it was confirmed that the screen-printed electrochemical sensor had high potential stability, anti-interference performance, good reproducibility, and no water layer formation between the selective membrane and the working electrode. The developed NO3−-ISM/Co3O4 NPs/SPE showed a Nernstian slope of −56.78 mV/decade for NO3− detection with a wide range of 10−7–10−2 M and a quick response time of 5.7 s. The sensors were successfully used to measure NO3− concentrations in aquaculture water. Therefore, the electrodes have potential for use in aquaponic nutrient solution applications with precise detection of NO3− in a complicated matrix and can easily be used to monitor other ions in aquaculture water.
1. Introduction
Aquaponics is a new type of circulating aquaculture technology that was created by combining two agricultural engineering technologies, i.e., aquaculture and hydroponics [1]. The ammonia nitrogen concentration in traditional aquaculture water, which is delivered to the hydroponic agriculture system of the aquaponic system, increases when fish excreta accumulate and gradually increases the toxicity of the aquaculture water. The ammonia nitrogen in water is decomposed by bacteria into nitrite, which is then decomposed into nitrate by nitrifying bacteria. Nitrate can be directly absorbed by plants and utilized as a metabolite [2], but widespread nitrate accumulation in various water resources is now considered one of the biggest threats to aquatic life worldwide. An increasing body of information has been curated to reveal the effects of nitrates on fish growth and health [3], which have shown that fish suffer negative effects in health, behavior, and physiology from nitrate exposure [4,5,6]. Therefore, detecting nitrate in aquaculture solutions is critical for improving the quality of fish health. In recent years, there have been numerous reports and reviews of sophisticated methods for nitrate determination, and researchers have created a number of analytical techniques for detecting nitrate from various sources. These methods include electrochemical detection [7,8], spectrophotometry [9,10], chromatography [11], and capillary electrophoresis [12]. Until now, spectrophotometry has remained the most popular on-site nitrate detection method in aquaculture because of its simplicity, cost-effectiveness, and robustness. However, it has a number of drawbacks, including inaccuracy and susceptibility to interference.
Ion-selective electrodes (ISEs) are generally employed for environmental [13,14] and clinical [15] applications because of their quick manufacturing methods, good sensitivity, high selectivity, low cost, disposability, miniaturization, and ability to suit the needs of smart sensing devices. Traditional ISEs rely on liquid contact electrodes, which results in complex designs, poor mechanical flexibility, difficult maintenance, and large sizes [16]. Scholars have conducted advanced research and produced solid-contact ISEs (SC-ISEs) that, instead of an internal solution, have an ion-to-electron transducer sandwiched between a conducting element and an ion-selective membrane (ISM), which is helpful for overcoming the aforementioned challenges [17]. In an all-solid-state ISE, the potential at the interface between the ISM and the solid electrode should be kept constant to accurately detect the target ion activity in an aqueous sample solution. To achieve this, a solid-state transfer layer that can execute ion–electron transfer to a solid conductive substrate and a polymer ISM has been created [18]. For ion-to-electron transducers, different solid-contact layers of conducting polymers, such as those comprising polythiophene, polyaniline, and polypyrrole, have been used thus far [19]. However, the potential shifts of all-solid-state ISEs are impacted by carbon dioxide, oxygen, and light when utilizing conductive polymers [20]. The use of metallic oxide-based materials as ion-to-electron transducers has become more widespread with the development of nanomaterials [21]. Due to their outstanding physical and chemical properties, they are frequently employed to create sensors with different charge storage capacities [22,23]. Among them, cobalt oxide (Co3O4) has a high specific capacitance (3560 Fg−1), and its electrochemical performance is primarily determined by the structural morphology and electronic state (Co3+ or Co2+) of the material. Furthermore, Co3O4 is easy to synthesize, and various synthetic methods, including hydrothermal [24], coprecipitation [25], and sol-gel reactions [26], have been employed to develop various forms of Co3O4 nanocomposites used to improve sensor performance, lithium-ion batteries, catalytic materials, and supercapacitors [27].
Flexible and disposable screen-printed electrodes (SPEs) have been used for sensor development because they can be mass-produced on a large scale at a low cost [28]. SPEs typically consist of a chemically inert substrate in which three electrodes (a working electrode, reference electrode, and counter electrode) have been screen-printed [29,30]. Many articles on SPEs have described environmental [31], food and beverage [32], heavy metal [33], and biomedical [34] applications. Due to the advantages of SPEs, they are likely to be developed as ISEs to monitor aquaculture conditions.
In this work, Co3O4 NPs were synthesized by a hydrothermal method. The produced Co3O4 NPs were characterized by EDS, SEM, TEM, and XRD. Then, using a drop-casting approach, an SPE was modified with the Co3O4 NPs to fabricate an electrode for the electrochemical detection of NO3−ions in an aquaculture solution. The fabrication of the NO3−-ISM/Co3O4 NPs/SPE was realized by optimizing crucial parameters. Electrochemical impedance spectroscopy (EIS), potentiometry, potentiometric water layer tests, and chronopotentiometry were also conducted to assess the feasibility and reliability of the proposed NO3−-ISM/Co3O4 NPs/SPE, which demonstrated good NO3− detection performance. Finally, the developed sensors were used to detect NO3− in real aquaculture water samples.
2. Materials and Methods
2.1. Reagents and Instruments
Cobalt (II) acetate tetrahydrate (C4H14CoO8, 99.5%), tetrahydrofuran (THF), ethanol (C2H5OH, 90%), ammonia (NH4OH, 25%), high-molecular-weight polyvinyl chloride (PVC), and other analytical grade chemical reagents were obtained from Sinopharm Chemical Reagent Co., Ltd. (Beijing, China) and used without further purification. Tridodecylmethylammonium nitrate (MTDDA-NO3−) was purchased from Santa Cruz Biotechnology Co., Ltd. (Santa Cruz, CA, USA). o-Nitrophenyl octyl ether (o-NPOE, 98%) was provided by Shanghai Aladdin Bio-Chem Technology Co., Ltd. (Shanghai, China). Screen-printed electrodes (SPEs) were purchased from Nanjing YunYou Biotechnology Co., Ltd. (Nanjing, China). These electrodes belong to a single-channel three electrode system. The working electrode and counter electrode were made of carbon ink. Silver chloride ink was used as the reference electrode. The aquaponics nutrient solution came from an aquaponics system installed on the roof of the Boyuan Building, College of Engineering, Pukou Campus, Nanjing Agriculture University. Domestic wastewater, tap water, and Yangtze River water samples were collected from the staff area building at Pukou Campus of Nanjing Agricultural University, the city water supply, and the riverbank near Pukou Jiangtan Park in Nanjing City, respectively. Deionized water (18.2 MΩ) was used for all experiments. The X-ray diffraction (XRD) pattern of Co3O4 was obtained with a Malvern Panalytical XRD instrument (Malvern, Worcestershire, UK). Scanning electron microscopy (SEM) images were obtained with a ZEISS Gemini 300 field-emission scanning electron microscope (ZEISS, Oberkochen, Germany) operated at 3 kV. Energy dispersive spectroscopy (EDS) was conducted using an Oxford Xplore system attached to the FE-SEM instrument. Transmission electron microscopy (TEM) was performed with a JEOL-2100F high-resolution field-emission transmission electron microscope operated at 200 kV. Electrochemical characterizations, such as EIS, CV, potentiometric measurements, and chronopotentiometry, were performed with a CHI660D electrochemical workstation (Shanghai CH Instruments, Shanghai, China).
2.2. Synthesis of Cobalt Oxide Nanoparticles
Co3O4 NPs were synthesized in this study by using a one-step hydrothermal process from the literature [35]. Briefly, 2 g of C4H14CoO8 was dissolved in 100 mL of ethanol (C2H5OH), and then 10 mL of ammonia (NH4OH) solution was added while stirring vigorously. The suspension was transferred to a 250 mL autoclave and stirred for 10 min. The autoclave was sealed and heated at 150 °C for 3 h and then cooled to room temperature. Finally, the product was centrifuged and thoroughly washed several times with ethanol and deionized water, and subsequently dried at 80 °C for 3 h.
2.3. Preparation of Nitrate Ion-Selective Electrodes
The process for preparing the nitrate ISEs can be described as follows: the SPEs were activated in 0.1 M H2SO4 by cyclic voltammetry before detection (a) and then left to dry for a few minutes (b). Three milligrams of Co3O4 nanoparticles were ultrasonically dispersed in 1 mL of deionized water for 30 min to create a homogeneous dispersion. In total, three 3 µL aliquots of the Co3O4 NP dispersion were drop-cast onto the SPE (c). Finally, two 5 µL aliquots of a solution containing 6% MTDDA-NO3−, 65% o-NOPE, and 29% PVC in 1.5 mL tetrahydrofuran (THF) [36] were drop-cast on top of the Co3O4 NPs and left to dry overnight and form the two NO3−-ISM layers (d). All of the prepared NO3−-ISM/Co3O4 NPs/SPEs were conditioned in 10−2 M NaNO3 for 24 h before use (e). The NO3−-ISM/Co3O4 NPs/SPEs were fabricated as depicted in Figure 1.
Figure 1.
Schematic overview of fabrication of the NO3−-ISM/Co3O4 NPs/SPEs.
3. Results and Discussions
3.1. Parameter Optimization for NO3−-ISM/Co3O4 NPs/SPE Fabrication
In this study, the Co3O4 concentration was optimized to improve the detection performance of the proposed NO3−-ISM/Co3O4 NPs/SPE, as shown in Figure 2. The optimization range of the Co3O4 concentration was from 1 mg/mL to 5 mg/mL. For extremely low concentrations of Co3O4, the amount of Co3O4 remaining after drying was very low. Additionally, Co3O4 with a similar dispersion grade could not be completely concentrated on the electrode surface. However, when the Co3O4 concentration was too high, the Co3O4 formed a thick layer on the electrode surface and reduced the electrode sensitivity. As such, the electrochemical properties resulting from Co3O4 modification in these two scenarios were not good enough and high levels of noise and low sensitivity resulted. Finally, we selected 3 mg/mL as the optimal Co3O4 concentration.
Figure 2.
Potentials at various Co3O4 concentrations.
3.2. Physical Properties of the Synthesized Co3O4 Nanoparticles
Figure 3 shows that the XRD pattern showed peaks at 2θ = 18.72°, 30.98°, 36.73°, 44.41°, 58.96°, and 64.96°, which can be assigned to the (111), (220), (311), (400), (511), and (440) crystal planes of Co3O4 (JCPDS card No. 42-1467) [24]. There were no peaks visible for additional impurity phases, demonstrating that the product was extremely pure. These results showed that Co3O4 was effectively synthesized and possessed a pure spinel structure.
Figure 3.
X-ray diffraction (XRD) pattern for Co3O4 NPs.
SEM images of the Co3O4 NPs are displayed in Figure 4a,b. The SEM results reveal the Co3O4 NP surface morphology, which was mostly homogenous and aggregative in nature after dispersion. This showed that the bulk state of the as-prepared Co3O4 NPs was separate [37]. This morphology is advantageous for the fabrication of electrodes for supercapacitor applications; in general, a supercapacitor requires a material with a large surface area [38]. However, SEM cannot be used to determine whether the Co3O4 existed as nanoparticles. The physical properties of the Co3O4 were determined using TEM analysis, as shown in Figure 4c,d. According to the TEM analysis, the synthesized nanoparticles were uniform, with an average particle size of approximately 12 nm. Figure 4d depicts the plane spacing of the nanoparticles and the presence of crystals with various orientations. Additionally, the distance between the fringes of two nearby crystals was measured. The measured planar distance of 0.28 nm was assigned to plane 220. These results were consistent with those previously reported [39,40]. The TEM results showed that this preparation method successfully produced small Co3O4 NPs.
Figure 4.
(a,b) SEM images of the Co3O4 NPs with different magnifications. (c,d) TEM images of the Co3O4 NPs showing the interplanar spacing (220 plane).
Figure 5 shows the EDS results for Co3O4. Figure 5b,c, and d show images for a selected area of the Co3O4 NPs (Figure 5a). In Figure 5e, the elemental composition of the Co3O4 NPs is clearly shown. This demonstrated that only cobalt and oxygen components were present in the manufactured specimen with no other differentiated components, indicating that the synthesized Co3O4 NPs were extremely clean [25].
Figure 5.
(a) SEM image of the selected area for Co3O4. (b,c), and (d) show the distributions of Co, O, and both atoms within the selected area, respectively. (e) EDS spectrum of Co3O4.
3.3. Electrochemical Analysis of the Proposed Sensors
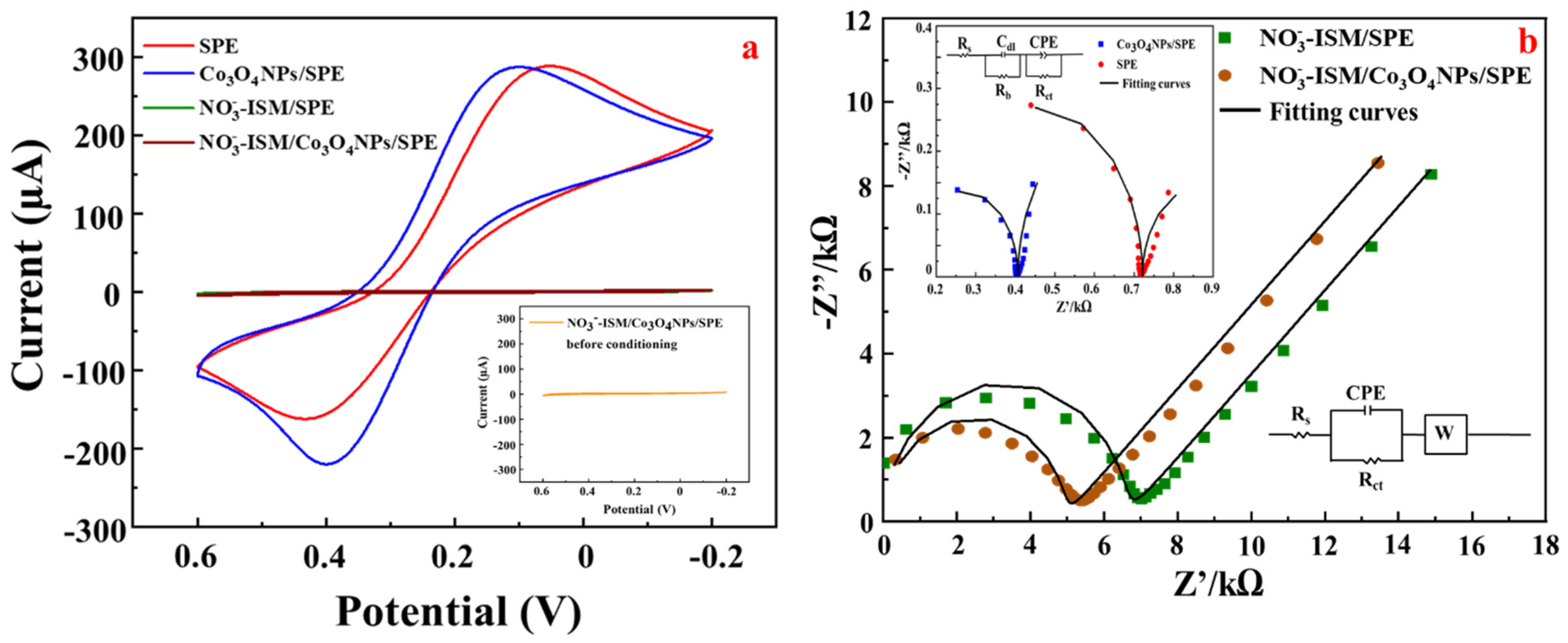
Cyclic voltammetry (CV) was performed in a solution of 5 mM K3[Fe(CN)6]3−/4− containing 0.1 M KCl. In each case, three cycles were performed over the potential range −0.1–0.6 V at a scan rate of 0.05 V s−1. Figure 6a shows the different CVs of the SPE and Co3O4 NPs/SPE. After modification, the redox current of the Co3O4 NPs/SPE was 288.8 µA (blue line), higher than that of the bare SPE at 285.2 µA (red line). The good dispersion of Co3O4 ensured adhesion to the electrode surface with good stability. Therefore, Co3O4 NPs also have the advantage of stabilizing the electron transfer rate on the SPE surface. After modifying the nitrate ISM, we carried out two experiments in which we performed CV measurements before and after electrode conditioning. The inset in Figure 6a shows the CV curve obtained before conditioning. The redox current of the NO3−-ISM/Co3O4 NPs/SPE was found to be 0.417 µA (before conditioning), which was the same as that of the electrode after conditioning at 0.625 µA. The results for both cases showed that the CV current density was very low when the membrane was modified. This was due to the ion-selective membrane’s nonconductive properties.
Figure 6.
(a) CV curves for SPE (red line), Co3O4 NPs/SPE (blue line), NO3−-ISM/SPE (green line), NO3−-ISM/Co3O4 NPs/SPE with conditioning (brown line), and NO3−-ISM/Co3O4 NPs/SPE without conditioning (inset). (b) Nyquist plots for SPE (red points), Co3O4 NPs/SPE (blue points), NO3−-ISM/SPE (green points), and NO3−-ISM/Co3O4 NPs/SPE (brown points) and their corresponding electrochemical impedance spectra fitting curves (black line).
EIS measurements were performed over frequencies ranging from 10 Hz to 106 Hz with an open-circuit voltage of 0.358 V and an excitation amplitude of 0.005 V. Figure 6b depicts the equivalent circuit used to fit the resulting Nyquist plots, in which Rb, Rct, Rs, Cdl, CPE, and W represent the bulk membrane resistance together with the contact resistance between the underlying conductor and the ISM, the charge-transfer resistance, the solution resistance, the double-layer capacitance, the constant phase angle element, and the Warburg impedance, respectively [41]. The Rct values of the SPE (red points) were approximately 0.72 kΩ. For the Co3O4 NPs/SPE (blue points), the semicircle diameter was increased at high frequencies compared to that for the SPE, which corresponded to an Rct of 0.4 kΩ. Because the ISM was nonconductive, the impedance increased after the addition of the nitrate ISM. The Rct values of the NO3−-ISM/SPE (green points) were 7.01 kΩ and were reduced to approximately 5.41 kΩ for the NO3−-ISM/Co3O4 NPs/SPE (brown points). These results showed that the presence of a Co3O4 NP transduction layer effectively reduced the high-frequency resistance of the solid-state nitrate ISE because the presence of an ion–electron transduction layer in the Co3O4 NPs improved the charge-transfer rate between the solid conductive substrate and the polymer nitrate ISM. Additionally, compared to the NO3−-ISM/SPE, the NO3−-ISM/Co3O4 NPs/SPE had a larger electric double-layer capacitance and a lower charge-transfer resistance between the SPE and ISM interface. Furthermore, the spectrum curve of NO3−-ISM/Co3O4 NPs/SPE was closer to the actual axis of the impedance spectrum than that of NO3−-ISM/SPE in the low-frequency region, showing that NO3−-ISM/Co3O4 NPs/SPE had a higher low-frequency electric double-layer capacitance.
3.4. Chronopotentiometric Test
To estimate the effect of the solid-contact layer of the Co3O4 NPs on the capacitance of the NO3−-ISE and investigate the stability of the prepared NO3−-ISM/Co3O4 NPs/SPE, chronopotentiometry with a constant current was used to investigate and record the potential change of the prepared NO3−-ISM/Co3O4 NPs/SPE. In the chronopotentiometric spectrum, the potential change rate can be described as ΔE/Δt = I/C (where ΔE is the potential change, Δt is the time variation, I is the applied current, and C is the low-frequency capacitance), and it can be used to determine electrode stability and is a significant index [42]. Chronopotentiometry experiments were performed by recording the potentials of the ISE in the current range of ±1 nA in a 0.01 M NaNO3 solution—the experimental results are shown in Figure 7. In the chronopotentiometric spectrum, the difference between the two types of electrodes occurred mostly due to their low-frequency capacitance differences. The SPE potential change rate reached 3 × 10−6 V/s when there was no Co3O4 transducing layer, while a smaller potential change rate of 1.6 × 10−6 V/s was recorded for the Co3O4 NPs/SPE. Finally, the capacitance of the NO3−-ISM/Co3O4 NPs/SPE was calculated to be 62.5 µF, which was higher than that of the NO3−-ISM/SPE, which was 33 µF. It can be seen from the above results that the nitrate ISE modified with Co3O4 NPs showed a significantly higher capacitance and lower potential change rate than the SPE under the same developed conditions. These results confirmed that the Co3O4 NPs were successfully used as a transducer material.
Figure 7.
Chronopotentiograms for the NO3−-ISM/SPE (red) and NO3−-ISM/Co3O4 NPs/SPE (blue) recorded in 0.01 M NaNO3 solution by applying alternating currents of ±1 nA for 60 s.
3.5. Potentiometric Water Layer Tests
The water layer that forms at the membrane–inner electrode interface during the working process of the solid-state ISE will obviously affect the potential stability of the SC-ISE. Therefore, potentiometric water layer test experiments are an important component of investigating the performance of a solid-state ISE. For the potentiometric water layer test experiment, we carried out the test according to the literature method [43]. If there is a water layer, a positive potential drift will occur when the electrode is moved from the main ion solution to the interference ion solution. When the electrode is removed from the interference ion solution and placed back in the main ion solution, a negative potential drift will occur. In this experiment, NO3−-ISM/Co3O4 NPs/SPE and NO3−-ISM/SPE were activated in 0.1 M NaNO3 solution for 12 h before the water layer tests.
The specific experimental process was as follows, using NO3−-ISM/Co3O4 NPs/SPE as an example: First, the activated NO3−-ISM/Co3O4 NPs/SPE was immersed in a 0.1 M NaNO3 solution. After 1.5 h, the NO3−-ISM/Co3O4 NPs/SPE was moved from the 0.1 M NaNO3 solution to a 0.1 M NaCl solution. After that, the NO3−-ISM/Co3O4 NPs/SPE was transferred from the 0.1 M NaCl solution back to the 0.1 M NaNO3 solution for approximately 7 h. We recorded the potential change curves for the NO3−-ISM/Co3O4 NPs/SPE over time throughout the process. The water layer test results are shown in Figure 8. At t = 1.5 h, the NaNO3 solution was replaced by the NaCl solution, and NO3−-ISM/Co3O4 NPs/SPE and NO3−-ISM/SPE displayed rapid potential drops, demonstrating that the prepared ISEs have good selectivity for nitrate ions. In addition, the potential response of NO3−-ISM/SPE exhibited a positive drift, while the potential response of NO3−-ISM/Co3O4 NPs/SPE changed only slightly during this process. At t = 4 h, when the NO3−-ISM/Co3O4 NPs/SPE was removed from the NaCl solution and placed in the NaNO3 solution, its potential returned to the initial value, and the potential drift was not obvious in subsequent tests. These results revealed that the potential drift of the NO3−-ISM/SPE was greater. The tests indicated that using Co3O4 NPs as the solid transduction layer can effectively reduce the existence of the water layer between the solid conductive substrate and the ISM.
Figure 8.
Potentiometric water layer tests of NO3−-ISM/Co3O4 NPs/SPE (blue) and NO3−-ISM/SPE (red). The measurements were completed by switching the electrodes between 0.1 M NaNO3 and 0.1 M NaCl solutions.
3.6. Selectivity of the NO3−-ISM/SPE and NO3−-ISM/Co3O4 NPs/SPE
Selectivity, as the name indicates, is another important index that characterizes these sensors. The selectivities of the NO3−-ISM/SPE and the NO3−-ISM/Co3O4 NPs/SPE were estimated with the selectivity coefficient values obtained in relation to ion interference. The separable solution method was used to determine the selectivity coefficients of the tested electrodes [44], and their potentiometric selectivity coefficients were calculated using the Nicolskii–Eisenman equation:
where I is the primary ion, J is the interfering ion, E is the potential, T is the temperature, F is Faraday’s constant, R is the ideal gas constant, z is the valency of the ion, and a is the ion activity. Table 1 displays the results of the experiment, which confirmed that the studied ISEs showed high selectivity for their primary ion, and even the addition of the Co3O4 NPs did not impact their selectivity.
Table 1.
Selectivities of the NO3−-ISM/SPE and NO3−-ISM/Co3O4 NPs/SPE.
3.7. Effect of pH on the Response of the NO3−-ISM/Co3O4 NPs/SPE for NO3− Detection
The most crucial element influencing electrode detection is the pH value. In this work, nitrate concentrations varying between 10−4 and 10−3 M were used to examine the impact of the pH on the electrode potential. The pH was changed from 1.0 to 10 by adding small amounts of HNO3 and NaOH. The effect of pH on the electrode potential response is shown in Figure 9. The findings showed that the electrode potential was relatively stable between pH 3.0 and pH 8.0. Potential drift occurred when the pH value was too high or too low, which can be caused by hydrogen–ion interference.
Figure 9.
Effect of pH on the NO3−-ISM/Co3O4 NPs/SPE potential response.
3.8. Enhanced Sensing Principle of the NO3−-ISM/Co3O4 NPs/SPE
Figure 10 shows a comparison of the potential responses of the SPE, Co3O4 NPs/SPE, NO3−-ISM/SPE, and NO3−-ISM/Co3O4 NPs/SPE. The average potential response data for six different concentrations of NO3−, 10−7, 10−6, 10−5, 10−4, 10−3, and 10−2 M, were investigated. The electrodes without the nitrate ISM modification, i.e., the SPE and Co3O4 NPs/SPE, showed almost no response to nitrate ions, which gave an extremely low potential response (Figure 10A,B), while the NO3−-ISM modification significantly increased the sensitivities of the electrodes (Figure 10C,D). Therefore, the NO3−-ISM used in this study showed good sensitivity for detecting nitrate ions. Additionally, the NO3−-ISM/Co3O4 NPs/SPE exhibited a greater potential response than the NO3−-ISM/SPE, which indicated that Co3O4 was an excellent ion and electron transport material because it has a cubic spinel crystal structure and is a magnetic p-type semiconductor oxide [45]. Furthermore, Co3O4 has intriguing electrochemical, electronic, optical, catalytic, and electrocatalytic properties that could be used to increase electrolyte diffusion and provide more ion transport paths in supercapacitors.
Figure 10.
Potential response comparison of the SPE, Co3O4 NPs/SPE, NO3−-ISM/SPE and NO3−-ISM/Co3O4 NPs/SPE.
3.9. Potentiometric Characteristics
In this study, the responses of the NO3−-ISM/SPE and the new SC-NO3−-ISE to nitrate ions were confirmed by using a series of NaNO3 solutions with concentrations ranging from 10−2 to 10−7 M. The potential responses of the NO3−-ISM/SPE and SC-NO3−-ISE transduced by the Co3O4 NPs are shown in Figure 11. Figure 11a,c shows the dynamic potential responses of the NO3−-ISM/SPE and NO3−-ISM/Co3O4 NPs/SPE. The results revealed that the NO3−-ISM/SPE response was very small at low concentrations. Compared with the NO3−-ISM/SPE, the NO3−-ISM/Co3O4 NPs/SPE had a shorter response time and achieved potential balance in various nitrate ion solutions even at low concentrations. Moreover, the NO3−-ISM/Co3O4 NPs/SPE showed a steady potential response to nitrate ions as the nitrate ion concentration was changed. The inset shows the potential response over time when the concentration was changed by one order of magnitude (10−7 to 10−6 M), which is considered to be the electrode’s slowest response in the linear range. After changing the concentration by an order of magnitude, the time required to reach a steady-state signal was typically less than 60 s. These results showed that the NO3−-ISM/Co3O4 NPs/SPE had a very short response time, and a stable signal was obtained in approximately 5.7 s, which is sufficient for many applications. The calibration curves for the two electrodes are shown in Figure 11b,d. The NO3−-ISM/SPE showed a Nernstian response of −28.14 mV/decade (R2 = 0.97) with a detection limit of 2.69 × 10−5.6 M and a quantification limit of 8.17 × 10−5.6 M. The NO3−-ISM/Co3O4 NPs/SPE showed a Nernstian response slope of −56.78 mV/decade (R2 = 0.99) with a detection limit of 1.04 × 10−8 M and a quantification limit of 3.18 × 10−8 M, which are better than those of the NO3−-ISM/SPE. These findings demonstrate that the electrode response was significantly improved by using CO3O4 as a solid-contact layer.
Figure 11.
Dynamic potentiometric response and calibration curve for the NO3−-ISM/SPE (a,b) and the NO3−-ISM/Co3O4 NPs/SPE (c,d).
Figure 12 shows a comparison of different solid-state nitrate ISEs that have recently been reported in the literature for NO3− detection [36,46,47,48]. The results show that the proposed NO3−-ISM/Co3O4 NPs/SPE has superior sensitivity, response time, and high capacitance compared to the other electrodes, which demonstrates that the proposed sensors have great sensitivity, rapid response, marginally improved capacitance, and improved selectivity for nitrate ions.
Figure 12.
Performance comparison of different SC-NO3−-ISEs. Refs. [36,46,47,48] are compared with this research.
3.10. Lifetime Study for the NO3−-ISM/Co3O4 NPs/SPE
An investigation was conducted to evaluate the lifetime of the proposed NO3−-ISM/Co3O4 NPs/SPE. The electrodes were calibrated in NaNO3 solutions with concentrations ranging from 10−2 to 10−7 M after conditioning in 10−2 M NaNO3 for 24 h, and the results are shown in Figure 13a. All six electrodes showed similar responses, with a standard deviation of 1.39. Moreover, the measurements were carried out every two days while using the same electrode to investigate the stability of the proposed NO3−-ISM/Co3O4 NPs/SPE, as shown in Figure 13b. Based on an analysis of the recorded data, the NO3−-ISM/Co3O4 NPs/SPE had good stability over the time range 0–8 d. However, there was an obvious decrease in the sensor response, which reached approximately 50% after 8 d. These results indicated that the proposed NO3−-ISM/Co3O4 NPs/SPE has an active life of approximately 8 d.
Figure 13.
(a) Responses of six different NO3−-ISM/Co3O4 NPs/SPEs and (b) responses of the NO3−-ISM/Co3O4 NPs/SPE over fourteen days.
3.11. Analyses of Real Water Samples from an Aquaponic System
To investigate the utility of the proposed NO3−-ISM/Co3O4 NPs/SPE for monitoring NO3− levels in aquaponic water, two real water samples obtained from an aquaponic system were used. Simultaneously, we examined other water samples to confirm the electrode’s functionality, such as domestic wastewater, tap water, and Yangtze River water samples. In addition, the detection results obtained with the NO3−-ISM/Co3O4 NPs/SPE were compared with those from a traditional detection method, i.e., spectrophotometry. Table 2 displays the composition of the aquaculture water used in this work.
Table 2.
Aquaculture water composition.
As shown in Table 3, the results for determinations of nitrate ions in the aquaponic system with the solid-state NO3−-ISM/Co3O4 NPs/SPE were essentially consistent with the data obtained using spectrophotometry, demonstrating that our sensor can be utilized to efficiently detect NO3− in aquaculture water.
Table 3.
Results from determinations of NO3− in an aquaponic system.
4. Conclusions
In this work, SPEs were used to develop new NO3−-ISM/Co3O4 NPs/SPEs for the detection of NO3− in aquaponics water, and Co3O4 NPs were used to modify the electrode surfaces to inhibit formation of an aqueous layer in the membrane–inner electrode interface. The electrode capacitance was increased by orders of magnitude through the introduction of Co3O4 NPs, which was required for stable output. Our sensors also exhibited an excellent sensitivity of −56.78 mV/decade and a quick response time of 5.7 s, and XRD, EDS, SEM, and TEM were used to confirm the structural integrity. The key parameters for fabrication of the NO3−-ISM/Co3O4 NPs/SPE were optimized to improve the NO3− detection performance, which combined high potential stability, strong reproducibility, and low interference. The outcomes for the analyses of real water samples from an aquaponic system demonstrated that the NO3−-ISM/Co3O4 NPs/SPE developed in this paper has good commercial potential for the detection of nitrate ions in aquaponic water.
Author Contributions
Conceptualization, N.T.D.T. and G.Z.; methodology, N.T.D.T. and G.Z.; investigation, N.T.D.T., T.L. and Z.Z.; data curation, T.L. and Z.Z.; writing—original draft preparation, N.T.D.T.; writing—review and editing, G.Z.; supervision, X.W. and G.Z.; funding acquisition, X.W. and G.Z. All authors have read and agreed to the published version of the manuscript.
Funding
This work was supported by the Jiangsu Modern Agricultural Equipment and Technology Integration Innovation and Promotion Project (No. NJ2020-09, NJ2020-03), the Natural Science Foundation of Jiangsu Province (No. BK20200546), the Fundamental Research Funds for the Central Universities (KYLH2022001), Jiangsu Province Department of Science and Technology-International Cooperation Project (No. BZ2021024), Jiangsu Province’s Key Research and Development plan for 2021 (No. BE2021362), and the National Natural Science Foundation of China (No. 32001411).
Institutional Review Board Statement
Not applicable.
Informed Consent Statement
Not applicable.
Data Availability Statement
Not applicable.
Acknowledgments
The author would like to thank Zhaoye Wang—Chief of Security Department, Nanjing Agricultural University, Pukou Campus for his support.
Conflicts of Interest
The authors declare no conflict of interest.
References
- Li, H.; Li, W.; McEvan, M.; Li, D.; Lian, G.; Chen, T. Adaptive filtering-based soft sensor method for estimating total nitrogen in aquaponic systems. Comput. Electron. Agric. 2021, 186, 106175. [Google Scholar] [CrossRef]
- Colt, J.; Schuur, A.M. Comparison of nutrient costs from fish feeds and inorganic fertilizers for aquaponics systems. Aquac. Eng. 2021, 95, 102205. [Google Scholar] [CrossRef]
- Li, L.; Tan, L.; Yang, W.; Xu, X.; Shen, Y.; Li, J. Conjoint applications of meta-analysis and bioinformatic data toward understanding the effect of nitrate on fish. Sci. Total Environ. 2021, 794, 148645. [Google Scholar] [CrossRef] [PubMed]
- Lefevre, S.; Jensen, F.B.; Huong, D.T.T.; Wang, T.; Phuong, N.T.; Bayley, M. Effect of nitrite exposure on functional haemoglobin levels, bimodal respiration, and swimming performance in the facultative air-breathing fish Pangasianodon hypophthalmus. Aquat. Toxicol. 2011, 104, 86–93. [Google Scholar] [CrossRef] [PubMed]
- Yu, J.; Xiao, Y.; Wang, Y.; Xu, S.; Zhou, L.; Li, J.; Li, X. Chronic nitrate exposure cause alteration of blood physiological parameters, redox status and apoptosis of juvenile turbot (Scophthalmus maximus). Environ. Pollut. 2021, 283, 117103. [Google Scholar] [CrossRef]
- Conlin, S.M.; Tudor, M.S.; Shim, J.; Gosse, J.A.; Neilson, A.; Hamlin, H.J. Elevated nitrate alters the metabolic activity of embryonic zebrafish. Environ. Pollut. 2018, 235, 180–185. [Google Scholar] [CrossRef]
- Li, G.; Yuan, H.; Mou, J.; Dai, E.; Zhang, H.; Li, Z.; Zhao, Y.; Dai, Y.; Zhang, X. Electrochemical detection of nitrate with carbon nanofibers and copper commodified carbon fiber electrodes. Compos. Comun. 2022, 29, 101043. [Google Scholar] [CrossRef]
- Tan, J.F.; Anastasi, A.; Chandra, S. Electrochemical detection of nitrate, nitrite and ammonium for on-site water quality monitoring. Curr. Opin. Electrochem. 2022, 32, 100926. [Google Scholar] [CrossRef]
- Gapper, L.W.; Fong, B.Y.; Otter, D.E.; Indyk, H.E.; Woollard, D.C. Determination of nitrite and nitrate in dairy products by ion exchange LC with spectrophotometric detection. Int. Dairy J. 2004, 14, 881–887. [Google Scholar] [CrossRef]
- Kazemzadeh, A.; Ensafi, A.A. Simultaneous detemination of nitrite and nitrate in various samples using flow-injection spectrophotometric detection. Microchem. J. 2001, 69, 159–166. [Google Scholar] [CrossRef]
- Liu, F.; Reinmuth-Selzle, K.; Lai, S.; Weller, M.G.; Poschl, U.; Kampf, C.J. Simultaneous determination of nitrated and oligomerized proteins by size exclusion high-performance liquid chromatography coupled to photodiode array detection. J. Chromatogr. A 2017, 1495, 76–82. [Google Scholar] [CrossRef] [PubMed]
- Tuma, P. The use of polarity switching for the sensitive determination of nitrate in human cerebrospinal fluid by capillary electrophoresis with contactless conductivity detection. J. Chromatogr. A 2016, 1447, 148–154. [Google Scholar] [CrossRef] [PubMed]
- Yuan, D.; Anthis, A.H.C.; Afshar, M.G.; Pankratova, N.; Cuartero, M.; Crespo, G.A.; Bakker, E. All-Solid-State Potentiometric Sensors with Multi-Walled Carbon Nanotube Inner Transducing Layer for Anion Detection in Environmental Samples. Anal. Chem. 2015, 87, 8640–8645. [Google Scholar] [CrossRef] [PubMed]
- Wang, H.; Yuan, B.; Yin, T.; Qin, W. Alternative coulometric signal readout based on a solid-contact ion-selective electrode for detection of nitrate. Anal. Chim. Acta 2020, 1129, 136–142. [Google Scholar] [CrossRef] [PubMed]
- Wang, F.; Liu, Y.; Zhang, M.; Zhang, F.; He, P. Home Detection Technique for Na+ and K+ in Urine Using a Self-Calibrated all-Solid-State Ion-Selective Electrode Array Based on Polystyrene-Au Ion-Sensing Nanocomposites. Anal. Chem. 2021, 93, 8318–8325. [Google Scholar] [CrossRef] [PubMed]
- Zeng, X.; Qin, W. A solid-contact Ca2+ ion-selective electrode based on an inorganic redox buffer of Ag@AgCl/1-tetradecyl-3-methylimidazolium chloride as ion-to-electron transducer. Talanta 2019, 209, 120570. [Google Scholar] [CrossRef] [PubMed]
- Liu, Y.; Zeng, X.; Waterhouse, G.I.N.; Jiang, X.; Zhang, Z.; Yu, L. Potential stability improvement in Pb2+ ion selective electrodes by applying hydrophobic polyaniline as ion-to-electron transducer. Synth. Met. 2021, 281, 116898. [Google Scholar] [CrossRef]
- He, N.; Gyurcsanyi, R.E.; Lindfors, T. Electropolymerized hydrophobic polyazulene as solid-contact in potassium-selective electrodes. Analyst 2016, 141, 2990–2997. [Google Scholar] [CrossRef]
- Kojima, J.; Uchiyama, K.; Yoshida, Y. Influence of solid electrolyte upon the repeatability and reproducibility of all-solid-state io-selective electrodes with inorganic insertion material paste. Electrochim. Acta 2021, 373, 137896. [Google Scholar] [CrossRef]
- Vazquez, M.; Bobacka, J.; Ivaska, A.; Lewenstam, A. Influence of oxygen and carbon dioxide on the electrochemical stability of poly(3,4-ethylenedioxythiophene) used as ion-to-electron transducer in all-solid-state ion-selective electrodes. Sens. Actuators B 2002, 82, 7–13. [Google Scholar] [CrossRef]
- Pietrzak, K.; Krstulovic, N.; Blazeka, D.; Car, J.; Malinowski, S.; Wardak, C. Metal oxide nanoparticles as solid contact in ion-selective electrodes sensitive to potassium ions. Talanta 2022, 243, 123335. [Google Scholar] [CrossRef] [PubMed]
- Arjomandi, J.; Lee, J.Y.; Ahmadi, F.; Parvin, M.H.; Moghanni-Bavil-Olyaei, H. Spectroelectrochemistry and electrosynthesis of polypyrrole supercapacitor electrodes based on gamma aluminum oxide and gamma iron (III) oxide nanocomposites. Electrochim. Acta 2017, 251, 212–222. [Google Scholar] [CrossRef]
- Shen, H.; Gele, A. Facile synthesis of N-doped lignin-based carbon nanofibers decorated with iron oxides for flexible supercapacitor electrodes. Inorg. Chem. Commun. 2021, 128, 108607. [Google Scholar] [CrossRef]
- Liu, J.; Jin, R.; YinaQiao; Wu, Y.; Wang, X.; Wang, Y. Determination of Lead (II) Using Glassy Carbon Electrode Modified with Hexagonal Co3O4 Microparticles. Int. J. Electrochem. Sci. 2018, 13, 10415–10426. [Google Scholar] [CrossRef]
- Nallusamy, S.; Sujatha, K. Experimental analysis of nanoparticles with cobalt oxide synthesized by coprecipitation method on electrochemical biosensor using FTIR and TEM. Mater. Today Proc. 2021, 37, 728–732. [Google Scholar] [CrossRef]
- Perachiselvi, M.; Samraj, J.J.; Bagavathy, M.S.; Pushpalaksmi, E.; Annadura, G. Facile Synthesis of Cobalt Oxide Nanoparticle for Biological Studies. Appl. Ecol. Environ. Sci. 2020, 8, 269–272. [Google Scholar] [CrossRef]
- Delbari, S.A.; Ghadimi, L.S.; Hadi, R.; Farhoudian, S.; Nedaei, M.; Babapoor, A.; Namini, A.S.; van Le, Q.; Shokouhimehr, M.; Asl, M.S.; et al. Transition metal oxide-based electrode materials for flexible supercapacitors: A review. J. Alloy. Compd. 2021, 857, 158281. [Google Scholar] [CrossRef]
- Buffon, E.; Stradiotto, N.R. A molecularly imprinted polymer on reduced graphene oxide-gold nanoparticles modified screen-printed electrode for selective determination of ferulic acid in orange peels. Microchem. J. 2021, 167, 106339. [Google Scholar] [CrossRef]
- Tajik, S.; Beitollahi, H.; Jang, H.; Shokouhimehr, M. A screen-printed electrode modified with Fe3O4@polypyrrole-Pt core-shell nanoparticles for electrochemical detection of 6-mercaptopurine and 6-thioguanine. Talanta 2021, 232, 122379. [Google Scholar] [CrossRef]
- Beitollahi, H.; Mahmoudi-Moghaddam, H.; Tajik, S.; Jahani, S. A modified screen-printed electrode based on La3+-doped Co3O4 nanocubes for determination of sulfite in real samples. Microchem. J. 2019, 147, 590–597. [Google Scholar] [CrossRef]
- Pérez-Fernández, B.; Costa-García, A.; de Muñiz, A. Electrochemical (Bio)Sensors for Pesticides Detection Using Screen-Printed Electrodes. Biosensors 2020, 10, 32. [Google Scholar] [CrossRef] [PubMed]
- Sullivan, C.; Lu, D.; Senecal, A.; Kurup, P. Voltammetric detection of arsenic (III) using gold nanoparticles modified carbon screen printed electrodes: Application for facile and rapid analysis in commercial apple juice. Food Chem. 2021, 352, 129327. [Google Scholar] [CrossRef] [PubMed]
- Barton, J.; García, M.B.G.; Santos, D.H.; Fanjul-Bolado, P.; Ribotti, A.; McCaul, M.; Diamond, D.; Magni, P. Screen-printed electrodes for environmental monitoring of heavy metal ions: A review. Microchim. Acta 2015, 183, 503–517. [Google Scholar] [CrossRef]
- Fabiani, L.; Saroglia, M.; Galata, G.; de Santis, R.; Fillo, S.; Luca, V.; Faggioni, G.; D’Amore, N.; Regalbuto, E.; Salvatori, P.; et al. Magnetic beads combined with carbon black-based screen-printed electrodes for COVID-19: A reliable and miniaturized electrochemical immunosensor for SARS-CoV-2 detection in saliva. Biosens. Bioelectron. 2021, 171, 112686. [Google Scholar] [CrossRef] [PubMed]
- Qin, W.; Su, L.; Yang, C.; Ma, Y.; Zhang, H.; Chen, X. Colorimetric Detection of Sulfite in Foods by a TMB-O2-Co3O4 Nanoparticles Detection System. J. Agric. Food Chem. 2014, 62, 5827–5834. [Google Scholar] [CrossRef]
- Tang, W.; Ping, J.; Fan, K.; Wang, Y.; Luo, X.; Ying, Y.; Wu, J.; Zhou, Q. All-solid-state nitrate-selective electrode and its application in drinking water. Electrochim. Acta 2011, 81, 186–190. [Google Scholar] [CrossRef]
- Thangavelu, K.; Parameswari, K.; Kuppusamy, K.; Haldorai, Y. A simple and facile method to synthesize Co3O4 nanoparticles from metal benzoate dihydrazinate complex as a precursor. Mater. Lett. 2011, 65, 1482–1484. [Google Scholar] [CrossRef]
- Lakra, R.; Kumar, R.; Thatoi, D.N.; Sahoo, P.K.; Soam, A. Synthesis and characterization of cobalt oxide (Co3O4) nanoparticles. Mater. Today Proc. 2021, 41, 269–271. [Google Scholar] [CrossRef]
- Moro, F.; Tang, S.V.Y.; Tuna, F.; Lester, E. Magnetic properties of cobalt oxide nanoparticles synthesized by a continuous hydrothermal method. J. Magn. Magn. Mater. 2013, 348, 1–7. [Google Scholar] [CrossRef]
- Ren, M.; Zhang, J.; Tour, J.M. Laser-induced graphene synthesis of Co3O4 in graphene for oxygen electrocatalysis and metal-air batteries. Carbon 2018, 139, 880–887. [Google Scholar] [CrossRef]
- Thuy, N.T.D.; Zhao, G.; Wang, X.; Awuah, E.; Zhang, L. Potassium ion-selective electrode with a sensitive ion-to-electron transducer composed of porous laser-induced graphene and MoS2 fabricated by one-step direct laser writing. Electroanalysis 2022. [Google Scholar] [CrossRef]
- Shao, Y.; Ying, Y.; Ping, J. Recent advances in solid-contact ion-selective electrodes: Functional materials, transduction mechanisms, and development trends. Chem. Soc. Rev. 2020, 49, 4405–4465. [Google Scholar] [CrossRef] [PubMed]
- Fibbioli, M.; Morf, W.E.; Badertscher, M.; de Rooij, N.F.; Pretsch, E. Potential Drifts of Solid-Contacted Ion-Selective Electrodes Due to Zero-Current Ion Fluxes Through the Sensor Membrane. Electroanalysis 2000, 12, 1286–1292. [Google Scholar] [CrossRef]
- Bakker, E.; Pretsch, E.; Bühlmann, P. Selectivity of Potentiometric Ion Sensors. Anal. Chem. 2000, 72, 1127–1133. [Google Scholar] [CrossRef] [PubMed]
- Al Nafiey, A.; Addad, A.; Sieber, B.; Chastanet, G.; Barras, A.; Szunerits, S.; Boukherroub, R. Reduced graphene oxide decorated with Co3O4 nanoparticles (rGO-Co3O4) nanocomposite: A reusable catalyst for highly efficient reduction of 4- nitrophenol, and Cr(VI) and dye removal from aqueous solutions. Chem. Eng. J. 2017, 322, 375–384. [Google Scholar] [CrossRef]
- Hassan, S.S.M.; Eldin, A.G.; Amr, A.E.E.; Al-Omar, M.A.; Kamel, A.H.; Khalifa, N.M. Improved Solid-Contact Nitrate Ion Selective Electrodes Based on Multi-Walled Carbon Nanotubes (MWCNTs) as an Ion-to-Electron Transducer. Sensors 2019, 19, 3891. [Google Scholar] [CrossRef] [PubMed]
- Garland, N.T.; McLamore, E.S.; Cavallaro, N.D.; Mendivelso-Perez, D.; Smith, E.A.; Jing, D.; Claussen, J.C. Flexible Laser-Induced Graphene for Nitrogen Sensing in Soil. ACS Appl. Mater. Interfaces 2018, 10, 39124–39133. [Google Scholar] [CrossRef] [PubMed]
- Paczosa-Bator, B. Effects of type of nanosized carbon black on the performance of an all-solid-state potentiometric electrode for nitrate. Microchim. Acta 2014, 181, 1093–1099. [Google Scholar] [CrossRef]
Publisher’s Note: MDPI stays neutral with regard to jurisdictional claims in published maps and institutional affiliations. |
© 2022 by the authors. Licensee MDPI, Basel, Switzerland. This article is an open access article distributed under the terms and conditions of the Creative Commons Attribution (CC BY) license (https://creativecommons.org/licenses/by/4.0/).












