Abstract
In this article, we address the determination of turning radius and lateral acceleration acting on a vehicle up to 3.5 t gross vehicle mass (GVM) and cargo in curves based on turning radius and speed. Global Navigation Satellite System with Inertial Navigation System (GNSS/INS) dual-antenna sensor is used to measure acceleration, speed, and vehicle position to determine the turning radius and determine the proper formula to calculate long average lateral acceleration acting on vehicle and cargo. The two methods for automatic selection of events were applied based on stable lateral acceleration value and on mean square error (MSE) of turning radiuses. The models of calculation of turning radius are valid for turning radius within 5–70 m for both methods of automatic selection of events with mean root mean square error (RMSE) 1.88 m and 1.32 m. The models of calculation of lateral acceleration are valid with mean RMSE of 0.022 g and 0.016 g for both methods of automatic selection of events. The results of the paper may be applied in the planning and implementation of packing and cargo securing procedures to calculate average lateral acceleration acting on vehicle and cargo based on turning radius and speed for vehicles up to 3.5 t GVM. The results can potentially be applied for the deployment of autonomous vehicles in solutions grouped under the term of Logistics 4.0.
1. Introduction
Accidents and damage to cargo occur due to the incorrect positioning or securing of cargo on vehicles. It is necessary to prevent cargo from sliding, tilting, or rotating in any direction during transport to protect human life as well as to protect cargo itself from damage. To identify the forces acting on a vehicle and its cargo, it is important to measure them using suitable devices such as accelerometers and gyroscopes. The aim of the paper is to study long average accelerations (minimum 1 s duration time) acting on a vehicle and cargo when cornering as the longest occurred lateral accelerations are only possible to be measured when cornering in long curves or in roundabouts.
This paper starts with a description of the current state-of-the-art connected to the determination of turning radius and lateral acceleration acting on vehicles of van type, together with cargo, in curves based on turning radius and speed. Further, a detailed literature review is given, including consideration of the research with application of the GNSS/INS (Global Navigation Satellite System with Inertial Navigation System). The first section is finalized with research gap specification. All the appropriate methods, measuring system, and preliminary evaluation of data are described in Section 2 in detail. The obtained quantitative results and appropriate equations based on the obtained measurements are presented in Section 3. The discussion is given in Section 4, and the paper is finalized with conclusions and future research presented in Section 5.
1.1. State-of-the-Art
The main research question of the article is to recognize whether it is possible to apply the available GNSS/INS sensor for monitoring the lateral accelerations acting on the cargo in road transport during cornering in curves and roundabouts and whether it is possible to calculate turning radius of vehicle up to 3.5 t gross vehicle mass (GVM) from Global Positioning System (GPS) coordinates by GNSS/INS sensor in order to calculate average lateral acceleration acting on a vehicle and cargo based on turning radius and speed.
There is no previous research for the determination of lateral acceleration of vehicle using procedures for evaluation of accelerations from the viewpoint of cargo securing. Therefore, in this paper, after conducting their own measurements, the authors establish the relationship between the turning radius determined based on acceleration and speed and the turning radius determined based on GPS coordinates, and based on this relationship, the authors propose a model to calculate the lateral acceleration for vehicles of GVM up to 3.5 t at a known turning radius and selected speed. The model is valid for turning radii of 5–70 m, with a radius of 23–27 m being the radius used for driving tests for the purpose of load securing according to EN 12642:2016 [] and for stability testing of load units according to prEN17321:2020 [].
The above-identified measurements’ explanation and research assumption led us to review and analyze the literature to define an appropriate in-fact research gap. We decided to search the most prominent scientific databases considering the following aspects. It was decided to scroll the literature with phrases such as “lateral acceleration(s)” coupled with “road vehicle(s)”, and additionally the main synonymous terms for linear infrastructure were included, namely: “roundabout(s)” or “curve(s)” or “traffic circle(s)”. Further, each of found numerous scientific contributions was deeply analyzed. The results of such analysis are explained below and summarized at the end of Section 1.2.
1.2. Literature Review
The safety of a heavy load vehicle, its driver, cargo, and equipment are significant during road transport processes. Nevertheless, as Alonso et al. [] mentioned, the fleet-management systems are hardly fitted with objective and accurate measurements that would support avoidance of a particular accident. Instead of a constant threshold of speed or acceleration, the authors suggested that two mentioned indicators (or any other indicator) that cannot be exceeded to ensure safety are not enough. As the authors referenced to Biral et al. [] typically tire–force saturation is the main combination of parameters that limits the dynamics and maneuverability of a particular vehicle. Maximum values of lateral and longitudinal accelerations combined with this set ensure to obtain an ellipse on a graph, where, e.g., maximum value of lateral acceleration is the semi-minor axis and maximum value of longitudinal acceleration is the semi-major axis of an ellipse. Consequently, in their research, Alonso et al. [] suggested rather stability limits in the form of safe envelope boundaries consisting of rollover index, yaw rate and slip angle (safe envelope boundaries were applied in Alonso et al. [], as well). Each of the parameters in this set has lower and upper limits, i.e., the range within which movement of the vehicle can be considered as safe. Boundaries were developed based on the speed of the vehicle, the steering-wheel angle, the yaw-rate error, and the sideslip angle error, and the tire–road friction coefficient. Boundaries characteristics changed collectively with friction coefficient.
Zhou et al. [] presented a model of predictive control that takes into consideration road curvature information from a high-definition map and a vehicle speed preview control method which ensure speed decrease before a vehicle enters cornering road as, e.g., sine-shape roads, usually appearing in upland and mountains areas, and U-turn road, which can be treated as half of a roundabout. The authors have applied a performance index which includes typical (and critical) parameters, namely road curvature and yaw rate for road and vehicle state prediction, as well as lateral acceleration to control safety and ride comfort, and longitudinal acceleration typically applied for speed control (ride comfort with taking into consideration the mentioned parameters was also investigated by Xu et al. [] for passenger vehicles). The authors assumed that their solution effects in automatic speed decrease before a vehicle enters a curve. This research was applied as a simulation method, and it considered especially passengers’ vehicles. Speed-limiting system based on lateral acceleration, combined lateral and longitudinal acceleration, and the vehicle’s performance capabilities were also given under simulation in Hamersma and Els [].
To improve driver behavior and hence driving safety, Shu et al. [] analyzed the effects of the features of horizontal curves on the steering behavior of passenger cars with a particular interest in free driving states: straight driving, variable curvature driving, and circular curve driving. This research was developed with the simulation method. What differentiated this research from several previously presented is the fact that the authors focused more on the geometry of road infrastructure in comparison to the dynamics of vehicles. Evaluation of driving style and its influence on fuel consumption was research by Loman et al. []. Jurecki and Stańczyk [] analyzed longitudinal and lateral acceleration values to evaluate the driving style in the case of a passenger vehicle (a van). The authors developed their analyses in the actual domestic transport systems, including roads as urban areas (city), single roadways, expressways (with two roadways), and motorways. Note that the highest values and the greatest variety of values occurred for the urban area. The authors have not investigated straight and curved roads separately. Nevertheless, they resulted in certain acceleration thresholds. In contrast to previous research, the authors of Visar et al. [] focused directly on curved roads. The authors considered lateral acceleration during rides of a passenger vehicle. Meanwhile, Xu et al. [] analyzed distribution of lateral acceleration on three various types of roads, namely, a six-lane road, a four-lane road, and a two-lane road. Relations between lateral acceleration and curvature/radius were developed as well. This research was presented both for passenger cars, vans, and buses. Other researchers focus on passengers’ road vehicles of bigger sizes as coach buses. Tian et al. [] focused on dynamics analysis of the critical conditions of rollover and sideslip of a large bus travelling on a curve. The effects of poor weather, wind, rain, and snow were analyzed with the application of a simulation tool. The general view of a vehicle as a multi-system was developed by Wallentowitz [] and Rajamani et al. [].
In addition, Sazgar et al. [] considered typical dynamic changes of yaw rate velocity, longitudinal, and lateral accelerations. The authors focused on maneuverings, mainly on straight lines. They also applied their research as a simulation method, especially for passengers’ vehicles.
Ok et al. [] recognized using sensors applied for positioning data or a six-dimensional inertial measurement unit (IMU) as originating too high cost intensity, therefore the authors developed a convolutional neural network (CNN) together with a dual-extended Kalman filter to estimate attitude of a vehicle. Their research were actual data applied in simulation modelling. Consequently, Zamfir et al. [] analyzed dynamics of a vehicle riding on roundabouts and curves with use of different sets of IMU, and GPS applied in smartphones or Arduino equipment and compared it with professional equipment.
Maneuvering heavy-duty trucks in collision-free manner was a special interest of Shojaei et al. []. The authors presented their simulations of collision-free trajectories of a heavy-duty truck vehicle accelerating and surrounded by other vehicles, which were during either acceleration or deceleration. As in previously mentioned research, the dynamic model of the analyzed vehicle included the yaw rate, lateral velocity of the tractor, and articulation angle. Roundabout was not included in this research.
Whereas Shojaei et al. [] considered a one-tractor one-trailer heavy-duty truck, Wang and He [] focused on a multi-trailer heavy-duty vehicle (strictly writing, two trailers). The authors mentioned that ISO-14791 normative recommends the following maneuvers to be analyzed: an open-loop procedure with single sinewave steering input, and a closed-loop maneuver with a single sine-wave lateral acceleration input. Such maneuvers often lead to an asymmetric curve of tractor lateral acceleration coupled with a transient response; therefore, the authors suggested multiple cycles sinewave steering input. As in many previously presented cases, they applied simulation methods as well.
Anti-rollover system for heavy freight vehicle interest researchers for decades by realization of a low-cost solution for the rollover prevention in real heavy freight vehicles. Kamnik et al. [] developed a digital simulator of the semitrailer which can be applied to enhance vehicle stability and road safety based on deeply investigated interpretations of signals given in the paper which formal modelling. Braghin et al. [] investigated an anti-rollover control system involving parameters such as lateral acceleration and cross-wind force (cross-wind effect for passenger cars was analyzed e.g., in Lewington []). Such a system was generated to improve the stability of a heavy-duty vehicle which might be ensured by a vehicle-body roll angle reduction and the vertical load transfer. Simulation of anti-rollover strategy was presented as well. As in the case of Zhou et al. [], the authors also investigated the U-turn road (which can be treated as half of the roundabout) under their simulation. When wind force is mentioned, it is also worth noticing the research of Balsom et al. [] who considered the impact of wind forces on the stability of a heavy-duty truck—this time analyzes were developed based on actual measurements of speed, lateral acceleration, and roll angle of a vehicle driven around a highway loop-ramp. The authors mentioned that similar methods could be applied for studies of the impact of wind forces on truck rollover. The reaction of wind on a vehicle were investigated in detail by Zhang et al. []. The authors considered aerodynamic characteristics of crosswind forces on a heavy tractor semi-trailer under particular road conditions. Impacts of lateral acceleration, yaw rate, and the lateral displacement were analyzed with simulation methods. The lateral stability of a six-axle tractor-semitrailer was analyzed by Qu et al. []. A simulation model was compounded to confirm that a road’s radius and speed have essential effects on a vehicle’s lateral stability. Ikhsan et al. [] also considered the dynamics of a heavy-duty vehicle, equipped with a wheelset consisting of from two to five axles. Using the simulation method, they found that a vehicle’s speed is characterized by a strong correlation to lateral acceleration which is one of the main reasons for a potential rollover. The willingness of developing an anti-rollover system has led Senalik and Medanic [] to modify an existing semi-trailer air suspension system. The authors developed a promising simulation model. Ibrahim and Singh [] considered minimization of rollover problem in liquid road tanker vehicles coupling dynamics of liquid and vehicle dynamics under different conditions such as braking and lateral acceleration (simulation research). Winkler et al. [] studied field exploitation of six heavy-duty vehicles, five-axis semitrailers with tractors (cryogenic tanker for transport of liquid nitrogen); nevertheless, the authors focused on lateral acceleration measurements solely. Road tanker vehicles subjected the lateral acceleration were of interest by Romero et al. [] as well. The authors investigated a device such as a hydraulic piston installed on a vehicle’s body to position the tilt table at different angles. Position and tilt angle were controlled through a valve in the hydraulic circuit. The authors applied the simulation method to investigate a vehicle that leaves a curved portion of the road and enters a straight segment.
Jiang et al. [] presented a particular speed control system for heavy-duty vehicles which especially includes controls on upland and mountains areas with special care of sharp-curved roads. The authors presented a simulation-based assessment of the system which showed that this system ensures reduction of a peak temperature of brake drums, as well as a lateral slip angle of wheels, and a lateral load transfer rate of the vehicle body, which is strongly important especially in case of the unsymmetrically loaded vehicle (unevenly distributed load units on the vehicle). The system was analyzed so far for single frame heavy-duty vehicles; nevertheless, the authors plan to consider their system for more complex vehicles as semi-trailer trucks or tank trucks.
Cao et al. [] focused on pitch dynamics and suspension tunings of a two-axle heavy vehicle with unconnected suspension. The authors considered a dynamic numerical model, especially to investigate front and rear suspension stiffness tunings with differentiated random road conditions and varied driving speeds, as well as occasionally braking inputs. Driving on curves, roundabouts have not been highlighted.
Tavassoli Kallebasti et al. [] took attention to a vehicle skidding especially when a vehicle rides on a horizontal curve combined with vertical sag curves. The authors considered three types of vehicles: a sedan, a sports utility vehicle, and a truck, in simulation research. Since the maximum potential for skidding was reported for trucks, it is still worth analyzing.
Handling stability in tractor-trailers train to avoid tail flick, folding, lateral shimmy, or rollover was analyzed by Huang et al. [] with the application of the optimization method.
Mischinger et al. [] developed a method for analysis and assessment trajectory planning methods and controller types for usage in automated vehicles. These controllers occurred to be characterized by differences in lateral deviation and in the smoothness of lateral accelerations (as the authors mentioned, lateral accelerations have to be limited due to critical environmental conditions, e.g., a slippery road surface). The authors presented results obtained with the simulation method (which exchanged data between a path planner, a controller, and a vehicle model) and actual field test drives in the same roundabout as for simulations.
Nash et al. [] focused on the literature review of driver control behavior modelling. As the authors mentioned, the aspects of sensory perception of the driver in the case of the driver–vehicle control had been neglected to date. Consequently, they presented a set of various sensory systems potentially applied to the mentioned modeling. Driver’s modeling for driving behavior analyses was reviewed previously by Plöchl and Edelmann []. Speed control modeling with application of driver’s model in simulation tool was investigated by Allen et al. [], both for passenger cars and heavy-duty trucks.
In the sensing method employed by Eboli et al. [], the speed and acceleration are fundamental parameters for estimating the driving safety combined with a driver’s behavior. Eboli et al. [] proposed a methodology for the classification of a driver’s behavior based on the combination of speed, lateral and longitudinal acceleration (borderlines were developed). Common driver types were also analyzed with consideration of speed characteristics, handling load characteristics, and driving comfort on the road in Xu et al. [].
The behavior of an autonomous vehicle, a vehicle with driver and a vehicle without driver (fixed steering wheel) were analyzed by della Rossa et al. []; however, this numerical-based research was considered by the authors with the application of the lateral stability solely.
Like rail transport, road transport should consider impacts due to the vehicle being moved, as well as external impacts, and ground impacts. The last one was numerically researched by Kavinmathi et al. []. The authors found that a curved road section sustains about two to six times more damage especially that during such maneuvering lateral load transfer is higher, and lateral forces increase as well. This also makes important to assess the actual center of gravity in a heavy-duty truck as Skrúcaný et al. [] or Vu [] presented it for a passenger car (with caring of other dynamic parameter for a particular vehicle), and Skrúcaný et al. [] for a van (the authors investigated the freight position in the vehicle’s loading area, individual axles of such a vehicle, and braking deceleration). It is worth mentioning here that braking distance for various allocation of gravity center in case of real-world freight transport vehicle was considered by Skrúcaný et al. []. Changes of braking performance were also developed by Marienka et al. [], and Ondruš and Kolla []. These topics, namely braking performance, center of gravity allocation, etc. are highly connected to freight transport safety during a vehicle ride—this challenge was analyzed by Vlkovský et al. []. As the authors mentioned, the insufficient cargo securing inside a vehicle resulted in one-fourth of all freight transport vehicle accidents in Europe. Such a topic was also investigated by Vlkovský et al. [] for different types of roads. The authors of Vlkovský et al. [] found that acceleration indicators given as normative ones can be exceeded even higher than it was predicted. Their analyses were applied with simulation methods.
Rouillard et al. [] considered the approaches connected to the influence of shocks and vibrations on damage to cargo units in road transport. Consequently, based on the contribution of other researchers, they suggested changes to standards, norms, and test methods based on limited data obtained from specific transport scenarios. Taking into consideration the fact that vibrations generated by road transport vehicles are random, mainly due to the randomness of the road surface, root mean square parameter should be analyzed as it describes vibration severity. According to their opinion, the power density spectrum has rarely been considered in road transport, and they had not noticed formal attempt to compare the shape of a power density spectrum for vehicles and payload conditions. They suggested a root mean square and a power density spectrum to be included in a formal consideration.
The above-discussed literature references can be listed into following groups:
- Research focused on dynamics of passenger vehicles (including automobiles, vans, coach buses, etc.): Zhou et al. [], Xu et al. [], Hamersma and Els [], Shu et al. [], Jurecki and Stańczyk [], Sazgar et al. [], Visar et al. [], Tian et al. [], Ok et al. [], Vu [], Dižo et al. []—most of the mentioned research applied simulation methods, on the other hand, real conditions were included in Jurecki and Stańczyk [], Xu et al. [], Zamfir et al. [].
- Research focused on dynamics of freight transport vehicles: Shojaei et al. [], Wang and He [], Braghin et al. [], Lewington [], Balson et al. [], Zhang et al. [], Qu et al. [], Ikhsan et al. [], Senalik and Medanic [], Ibrahim and Singh [], Winkler et al. [], Romero et al. [], Jiang et al. [], Cao et al. [], Tavassoli Kallebasti et al. [], Huang et al. [], Mischinger et al. [], Marienka et al. []—most of the references listed before the hyphen applied simulation and numerical methods; however, results in field exploitation were presented, e.g., in Winkler et al. [], Mischinger et al. [], Skrúcaný et al. [], Skrúcaný et al. [], Vlkovský et al. [], Vlkovský et al. [].
- Research focused directly on drivers: Nash et al. [], Plöchl and Edelmann [], Allen et al. [], Eboli et al. [], Xu et al. [], della Rossa et al. [], Mikusova and Abnunazarov [], Mikusova et al. [], Kavinmathi et al. [], Loman et al. [], Rouillard et al. []—here it is worth underlining that research on drivers of freight transport vehicles was included solely in Allen et al. [].
1.3. The State-of-the-Art for GNSS/INS
It is worth mentioning literature connected to the technology which is applied in the current research paper. The GNSS/INS is an answer to the challenges of GNSS signals attenuation, blocking or reflecting, as INS enables decreasing the pseudo-range gross errors []. As the authors of [] mentioned, navigation with use a low-cost GNSS receiver and a microelectromechanical system-based inertial measurement unit (MEMS/IMU) is imminent for land vehicles, especially when navigation with satellites is insufficient. Consequently, GNSS/INS systems are characterized by extensive capabilities in application in between for road transport solutions as it was mentioned in []. Moreover, solutions based on GNSS/INS systems are constantly improved. The authors of [] developed GINav, an open-source software which focuses on the data processing and analysis of a GNSS/INS integrated navigation system. The authors of [] presented in-field road tests with two different MEMS inertial measurement units (IMU) to verify their strategy of excluding navigation errors. This strategy was applied as integration of the MEMS/INS, odometer and GNSS. The authors of [] used a simplified algorithm of GNSS/INS for land vehicles applications, and the results conducted in their road test have shown that the degradation of the navigation accuracy caused by the mentioned simplification had a less impact on measurements than the sensors errors of the MEMS IMU. The major error sources in the case of GNSS/INS applications were analyzed by [], what resulted in consideration of the initial attitude errors, accelerometer scale factors, gyro noise, and g-sensitivity errors (the results were given for short analysis period namely one second). Meanwhile, the authors of [] developed adaptive Kalman filter navigation algorithm (RL-AKF), which has helped to reduce some of the errors. The authors indicated specific values for positioning errors in their article. The GNSS/INS was also validated with other solutions. For example, the main aim of [] was to align all the available LiDAR trajectories of a road vehicle to confirm the of accuracy of GNSS/INS. The authors of [] proposed innovative method to determine the railway track axis. Two GNSS receivers were applied what significantly improved precision of measurements and simplified the calculations of positioning corrections. Measuring wagon was moving at constant speed equaled to 10 km/h what enabled measuring the track inclination. In the case of mentioned research, for higher speeds further analyses are necessary. In [], the authors stated that two antenna solutions are more relevant for position accuracy from the viewpoint of railway applications. These authors also researched difference between application of single-antenna and dual-antenna GNSS/INS devices in terms of vehicle speed. They concluded that dual-antenna GNSS/INS devices are less vulnerable to vehicle speed and can be applied in many railway applications.
1.4. Research Gap and Contribution of the Paper
The list of publications presented at the end of Section 1.2, which grouped the references [,,,,,,,,,,,,,,,,,,,,,,,,,,,,,,,,,,,,,,,,,,,,,,,,,,,,,,,], separates research on passengers from freight transport vehicles. It is worth mentioning that the dynamics of both types of vehicles are different and most of the screened research (not all of them are listed in this paper) consider passenger vehicles. This can be observed also in the case of driver-focus kind of research. Furthermore, most of these researches were based on simulation and numerical methods’ application. This paper focuses on light freight transport vehicles and is based on field exploitation results which is a strong contribution to the existing analyses. Moreover, it seems that so far, the topic of driving on roundabouts was neglected; in the found references only Mischinger et al. [] considered such an infrastructure detail (driving on curves is more often applied). Based on this fact, the authors of this paper noted a research gap as deep analyses on the lateral acceleration acting on a freight transport vehicle and transported cargo when it was exploited on roundabouts and curves in the practical research field (the details are given in the methodology section of this paper).
2. Materials and Methods
The aim of this section is to present the application of GNSS/INS sensor for the calculation of turning radius from GPS coordinates calculated by GNSS/INS sensor (noted from now as R2) and calculation of turning radius from acceleration obtained from accelerometer of GNSS/INS sensor (noted from now as R1) and speed (obtained from GNSS/INS sensor). We also present the details of GNSS/INS sensor applied in the current research.
2.1. GNSS/INS Sensor Used to Measure Dynamic Actions
To measure dynamic actions when cornering with a vehicle, a dual-antenna industrial-grade dual GNSS/INS sensor VN-300 from company Vectornav was applied.
The VN-300 is a miniature, MEMS-based dual antenna GNSS-aided Inertial Navigation System that combines MEMS inertial sensors coupled with inertial measurement unit (IMU) which includes 3-axis gyroscope, accelerometer, magnetometer, and two high-sensitivity GNSS receivers. It combines acceleration and angular rates obtained from the IMU with position and velocity measured with use of GNSS receiver to provide optimal estimates of position, velocity, and orientation by a quaternion based proprietary Kalman filtering algorithms. By utilizing two separate GNSS receivers and antennas, the VN-300 enables accurate heading measurements without reliance on vehicle dynamics or magnetic sensors, providing unmatched performance under both static and dynamic conditions []. This sensor was also applied in []. Selected parameters of sensor are given in Table 1.

Table 1.
Basic functions and parameters of dual-antenna GNSS/INS sensor VN-300 from Vectornav [].
2.2. Forces to Design the Securing of Cargo
According to the standard EN 12195-1:2010 [], the CTU Code [] (CTU = cargo transport units) and directive VDI 2700 Sheet 16 [], design lateral acceleration for road transport is 0.5 g for vehicles over 3.5 t GVM. Design lateral acceleration for vehicles up to 2.0 t GVM is 0.7 g and for vehicles between 2.0 and 3.5 t GVM is 0.6 g according to the directive VDI 2700 Sheet 16 []. For example, a lateral acceleration of 0.6 g means that it is necessary to secure 60% of the mass of the cargo in lateral direction.
The aim of the paper is to determine a calculation of lateral acceleration for passenger and cargo vehicles up to 3.5 t GVM based on turning radius and speed which means lateral acceleration up to 0.7 g.
2.3. Evaluation of the Measured Data
The sampling frequency of all parameters measured by GNSS/INS sensor was 200 Hz. Identification of different measured and calculated parameters used further in paper are given in Table 2.

Table 2.
Measured and calculated parameters and sensors of GNSS/INS sensor VN-300.
2.3.1. Evaluation of Measured Lateral Acceleration
It is necessary to evaluate the raw data measured with sensor prior to their assessment and interpretation according to the standard EN 12195-1:2010 [] which is used for road inspections of cargo securing in the European Union according to [] as well as for the transport of dangerous goods according to []. Maximum/minimum average acceleration in 80 ms and 1000 ms are applied in relation to the EN 12642:2016 [] standard, which is used in strength tests of superstructures or cargo securing by dynamic driving tests and 300 ms according to the standard prEN 17321:2020 [] (examples are given in Figure 1).

Figure 1.
Effect of evaluation time on the lateral acceleration obtained from IMU during a vehicle’s cornering (-raw data, , , —evaluation times 80, 300, and 1000 ms).
2.3.2. Evaluation of Turning Radius R1
The accelerometer data from IMU and GNSS/INS velocity data are required to determine turning radius . The formula, given originally according to the work in [], was modified for the purpose of the paper as follows:
The parameter is used as absolute value for the calculation of because lateral acceleration from the IMU has positive (in right curves) and negative values (in left curves). Calculated radius is later averaged for each event determined by automatic selection of events.
The Equation (1) is basic equation for the calculation of lateral acceleration of vehicle not considering the inclination of the road and inclination of the vehicle. The vehicle inclines while turning due to the inertia forces and the positive or negative inclination of the road surface. The inclination of the road, inclination of the vehicle and the sensor height are considered in statistical evaluation of the results in Section 3 based on real tests. The inclination of the road surface is hardly possible to measure by the sensor used within the tests performed and solely total inclination of the vehicle together with road’s surface can be obtained. The inclination of the road and the inclination of the vehicle are hardly distinguishable.
2.3.3. Evaluation of Turning Radius R2
GNSS/INS position data are required for calculation to determine turning radius . GPS coordinates of latitude () and longitude () are necessary for calculation. Formula of curve radius computed based on three points (for circumscribed circle of triangle see Figure 2) was used to determine as follows:
where are the distances in meters between three points of circular curve or the sides of triangle formed by this three points. The GPS coordinates of these three points are [, [, [ (Figure 2).

Figure 2.
Turning radius from circumscribed circle of a triangle defined by three points on curve.
Haversine formula to calculate distances of GPS coordinates was used as follows:
where is GPS latitude in radians and is GPS longitude in radians. Calculated radius is later averaged for each event determined by automatic selection of events.
Important part of the calculation is to decide what distance of points shall be used for calculation of . Based on own tests we decided to use floating window of the evaluation time of 2 s (400 samples) where [ is the first sample, [ is the 200th sample and [ is 399th sample. Fixed time window assures variable distances between points based on vehicle velocity.
2.3.4. Automatic Selection of Events Based on Stable Lateral Accelerations (SEL1)
The aim of this selection is to determine events with a stable acceleration with a minimum duration of 1 s. For the purpose of selection, we use the following calculations:
where is the window size of 200 samples which presents time window of one second, is the moving minimum of ay1000 for window , is the simple moving mean-value of ay1000 for window , is the moving maximum of ay1000 for window , is the absolute value of difference between moving mean-value and moving minimum for window , and is the absolute value of difference between moving maximum and moving mean-value for window .
Following conditions must be valid for selected events:
which means that average lateral accelerations of more than 0.1 g are evaluated and
which means that absolute value of difference between moving mean-value and moving minimum shall be less or equal to 0.035 g and absolute value of difference between moving maximum and moving mean-value shall be less or equal to 0.035 g over the window . The value of 0.035 g was selected based on several different margins tested for all tested curves with radii from 5 to 70 m. The margin shall not be higher than 0.05 g according to the standard EN12642:2016 []. The example of SEL1 is given in Figure 3.

Figure 3.
Example of automatic selection of events based on stable lateral accelerations.
We decided to limit radiuses from 5 to 70 m because the highest accelerations occur for smaller radiuses during normal driving. Larger radiuses require substantially higher travelling speeds for equal lateral accelerations, which is not safe to test in normal road traffic. Larger radiuses errors do not have such significant impact on lateral acceleration as for smaller radiuses when considering Equation (1).
2.3.5. Automatic Selection of Events Based on MSE of R1 and R2 (SEL2)
The aim of this selection SEL2 is to determine the events by calculating the from the radii of rotation and with a minimum event duration of 1 s (example given in Figure 4). We calculate the as follows:

Figure 4.
Example of automatic selection of events based on MSE of R1 and R2.
Only events with and minimum duration of event 1 s are further applied. We set the upper error boundary to 16 because it represents RMSE (Root Mean Square Error) as 4 m. Because the prediction range of proposed models starts from 5 m, we consider the 4 m error as a significant error (outlier) for further statistical modelling. has shown as the most suitable for curves from 5 to 70 m.
Both selection of events require that minimum time of event shall be one second which means that with the increasing speed the minimum length of the curve increases, and shorter curves are not considered for evaluation.
2.4. The Methodology of Performed Measurements
The following part describes the vehicles and test routes used and description of tests performed during several days of testing.
2.4.1. Test Vehicles
Ten testing scenarios with eight different vehicles were applied for tests. The examples of field-test subjects (vehicles V7 and V10) are given in Figure 5. The sensor was installed in vehicle’s longitudinal axis on roof of passenger vehicles and in vehicle’s longitudinal axis under the roof of van vehicles with the antennas on roof. The highest lateral accelerations of the vehicle occur always when the sensor is allocated on the highest point in view of additional disturbances because of air-triggered movements and other external conditions. If the sensor is positioned lower than measured lateral accelerations are lower. The aim of the tests is to measure the highest possible results we can expect during regular driving.

Figure 5.
Van vehicle V7 (left photo) and vehicle combination V10 (right photo) used in tests.
Van vehicles were tested loaded with 2 steel pallets of total mass 1000 kg (in Table 3 denoted as V5 and V7) and empty as well (V6, V8). Steel pallets with low center of gravity allowed to obtain the highest possible lateral accelerations without the vehicle tipping over. Vehicle V9 was tested without trailer and with 400 kg single axle trailer indicated as V10. Selected parameters of vehicles and position of sensor are indicated in Figure 6 and Table 3.

Table 3.
Selected parameters of vehicles used in tests.

Figure 6.
Scheme of test setup installation.
2.4.2. Test Routes
Two test routes were used in city of Žilina. Test route 1 (TR1; Figure 7) is a long route around the city of Žilina with the length around 17 km, meanwhile test route 2 (TR2) is a test route of three roundabouts on the street of Vysokoškolákov in Žilina with the length around 4.5 km. Each vehicle passed TR1 four times (except V3 with 6 passes) and certain vehicles passed also TR2 (one measurement is 4 passes; Figure 8). There are 42 test routes TR1 passed by 10 vehicles and 7 test routes TR2 passed by 7 vehicles. Total distance travelled by vehicles was 746 km. All tests were done during 6 nights of October and November of 2021 between 22:00 and 4:00 with the less possible traffic in city to pass the curves as fluently as possible.

Figure 7.
Test route TR1 in city of Žilina on OpenStreetMap (OSM) map layer.

Figure 8.
Test route TR2 in city of Žilina on street of Vysokoškolákov on OSM map layer with 4 passes of three roundabouts.
Distances travelled by individual vehicles, measurements and test routes are given in Table 4.

Table 4.
Distances in meters travelled according to vehicles, measurements, and test routes calculated from GPS coordinates.
TR1 was aimed at simulating real driving in urban conditions. A total of nine simple curves, two U-turns, five roundabouts, and one curve connector were driven on the route. The simple curves ranged in radius from 12 m to 65 m. The U-turns had radii of approximately 14.5 m and 16 m. A steady speed was maintained through all curves. The roundabouts had radii of approximately between 11 to 14 m and between 43 to 52 m. Two full turns were always made when passing through the roundabouts. The entry and first turn into the roundabout were at 25 km/h. For the second turn, the speed was increased to 30 km/h. When crossing a roundabout with a radius of 43 to 52 m, two turns were also made. However, the speeds were different, with the entry and first turn at 40 km/h and the second turn at 45 km/h. A steady speed was maintained during the roundabout crossing except in the area where the speed increase occurred. Driving through the car park area was also analyzed, where turns with small radii of around 12 m were observed at low speeds, which were not found anywhere else on our test route. TR2 focused only on roundabout crossings. A total of 4 passes through 3 roundabouts were made on the route. The first roundabout had a radius of 11 m and a U-turn was made, so a fourth exit was used. Two identical crossings were made on a 14 m radius roundabout, using the second exit. At the third roundabout with a radius of 12 m, the U-turn was used again.
2.4.3. Statistical Investigation of Data
For statistical modeling, we needed to verify if there is a significant statistical difference between types of vehicles (V1 to V10). If not, we could use all data for modeling (based on calculated values) without any concerns of biases in data. At first, the normality of data was assessed, which is a prerequisite for many statistical methods. For this reason, we applied the Kolmogorov–Smirnov test in Matlab (kstest). As a result, value equals to logical 1 was obtained, which means that the test rejects the null hypothesis (normal distribution) at the 5% significance level (p-value 0.05). This helped to choose the correct test for evaluation if samples originate from the same distribution. Because the data normality was rejected, a non-parametric test called Kruskal–Wallis test was used. Test computed the p-value to 0.295 (higher than 0.05), therefore it can be stated that type of vehicle (or better to say testing scenario) has no statistically significant impact on gathered data.
The MSE for model performance analysis was not the only one applied in the analyses. The statistical method R-squared (R2, or so-called the coefficient of determination) specifies to what extent variation of a predictable variable is described by the independent variable(s) in a regression model. R-squared coefficient is defined by formula below:
where is the sum of squares of residuals (errors) and is the total sum of squares.
To summarize, the following parameters are indicated in results of analyses:
- is the number of events from all vehicles and test routes;
- is the coefficient of determination;
- is the root mean square error;
- is a slope parameter;
- is the y-intercept;
- is the 95th percentile of absolute value of residuals (errors).
3. Results
In this section, we will focus on the interpretation of the measured and calculated results from parameters given in Table 2.
3.1. Turning Radius R1 vs. R2 of Events
The linear regression models of turning radiuses vs. are given in Figure 9 for SEL1 and Figure 10 for SEL2.

Figure 9.
Turning radius vs. of events for SEL1.

Figure 10.
Turning radius vs. of events for SEL2.
Figure 9 shows a linear correlation scatter plot between and as well as a residual plot for the best fitted linear regression model calculated from our dataset. The linear regression model produced an equation expressed as follows:
The gained value of a coefficient of determination was very high that interprets how well the proposed model fits the target (reference) data. verified good model veracity because 95% of all residuals lie below the absolute error of 4 m.
Based on the model given in Figure 9, the following formula for calculation of can be stipulated:
For SEL2 the linear regression model produced almost similar equation as SEL1 expressed as follows:
Figure 10 shows results of the same modelling procedure, yet for the second selection. In this case, we received even more fitted results especially in a form of . RES95 is almost half as high as before. Based on the model given in Figure 10, the following formula for calculation of can be stipulated:
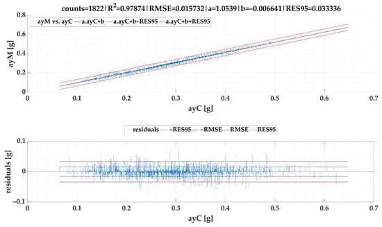
3.2. Calculated Lateral Acceleration ayC vs. Measured Lateral Acceleration ayM of Events
The linear regression models of lateral accelerations vs. are given in Figure 11 for SEL1 and Figure 12 for SEL2. Created models were included into the Equations (20) and (21) respectively. As, in the case of second selection (SEL2), longer steady-state periods are preferred, the lateral acceleration data range in SEL2 is lower. Both figures proved that regression models stated above provide high accuracy because in following calculations is only slightly higher than 0.04 g for SEL1 and 0.03 g for SEL2 when compared to a measured lateral acceleration ayM.

Figure 11.
Calculated vs. measured of events for SEL1.

Figure 12.
Calculated vs. measured of events for SEL2.
3.3. Maximum Lateral Acceleration vs. Average Lateral Acceleration of Events
We also investigated the relation between maximum lateral acceleration and average lateral acceleration. As it can be observed in following figures, the linear correlation is very strong. The linear regression models of lateral accelerations vs. are given in Figure 13 for SEL1 and Figure 14 for SEL2.

Figure 13.
Maximum lateral acceleration vs. average lateral acceleration of events for SEL1.

Figure 14.
Maximum lateral acceleration vs. average lateral acceleration of events for SEL2.
4. Discussion
The tests were carried out to determine the long-term accelerations that can be achieved in normal road traffic driving, not driving tests according to EN 12642:16 [] on test circuits. The longest accelerations in road traffic can only be simulated by cornering and in particular by multiple passages of roundabouts at different speeds. The aim of the tests was to perform night runs with available vehicles of M1, N1, and O1 categories on two test routes TR1 and TR2 and then to determine events by two types of automatic selection of events. Selection SEL1 is based on a steady acceleration in the interval +/− 0.035 g and selection SEL2 on for radii vs. . SEL1 is based on stable lateral acceleration to be more responsive to changes in speed and thus lateral acceleration on the second roundabout pass whereas SEL2 selects both roundabout passes as a single event and the resulting average values of lateral acceleration , radii , and are from both roundabout passes.
We are aware that performed tests have a few limitations. At first, there is not possible to pass the roundabouts exactly by the same path under real traffic conditions (this might be applied solely for numerical computation or simulation modelling). Second, according to the results depicted in Figure 9 and Figure 10, we collected solely a few data for radius ranging from 20 to 30 m. Field tests were conducted within one city that does not offer curvatures that belong to this range. On the other hand, a diagram of residuals pointed on balanced prediction performance within the whole model forecasting horizon.
It is worth comparing both selections of stable acceleration. Because of the second selection (SEL2) identified more stable acceleration periods, the regression model based on this selection offers a lower forecast horizon, yet it still meets directive VDI 2700 Sheet 16 [] (lateral acceleration up to 0.6 g). More detailed look at models’ prediction accuracy discovers that SEL2 as a part of Equation (19) achieved a better correlation with the reference dataset than SEL1 used in Equation (17). Therefore, we recommend a regression model of lateral acceleration and turning radius determination based on SEL2 implementation.
If maximum event values vs. mean event values is evaluated, in this case SEL1 achieves a lower and than SEL2, which results from the principle of event search by both selections.
The minimum and maximum measured lateral accelerations for each vehicle in Table 5 are also important from the point of view of cargo securing (see Section 2.3.1). Data for ay80 and ay300 are also given.

Table 5.
Minimum (left curves) and maximum (right curves) lateral accelerations , ay300, ay1000 measured for individual tested vehicles.
All vehicles reach the highest values for and the lowest values for . M1-cathegory vehicles (V1, V2, V3, V4, V9) and empty N1-cathegory vehicles (V6, V8) achieved higher lateral acceleration values than loaded N1-cathegory vehicles (V5, V7) and the V10 vehicle with trailer. The highest lateral acceleration was measured by vehicle V4 with value 0.798 g. Lateral accelerations from left curves are higher than from right curves for majority of vehicles. All minimum and maximum measured accelerations of individual vehicles are from test route TR1. All minimum lateral accelerations of tested vehicles were measured on roundabouts and U-turn.
5. Conclusions
In this paper, we aimed to identify dynamic events affecting vehicle and cargo for vehicles up to 3.5 t GVM from the point of cargo securing, which are also used for city logistics. The aim of the paper was to study long lateral accelerations when cornering and to find correlation model between turning radius from lateral acceleration and vehicle speed and turning radius from GPS coordinates. The measurements were carried out in the city, where there are frequent changes in the direction of travel, which affect the load and its packing. Based on this correlation model, we proposed the model of calculation of lateral acceleration of vehicle in curve from GPS coordinates of curve for given speed. The models of calculation of turning radius are valid for turning radius within range from 5 to 70 m for both methods of automatic selection of events with mean RMSE equals to 1.88 m for SEL1 and 1.32 m for SEL2. The models of calculation of lateral acceleration are valid with mean RMSE of 0.022 g for SEL1 and 0.016 g for SEL2.
To identify lateral acceleration forces acting on the vehicle and cargo, we selected GNSS/INS dual-antenna sensor to measure acceleration, speed, and vehicle position. This sensor was selected due to its appropriateness for research purpose, i.e., all parameters were recorded with a sampling frequency of 200 Hz and with repeatedly good and stable results of GPS coordinates.
Based on the presented findings, we can state that it is possible to use GNSS/INS devices not only to monitor cargo for its proper securing, but also to support the process of analyzing the condition of the road network based on turning radiuses to know expected lateral accelerations for given speed for vehicles up to 3.5 t GVM.
The main purpose is to use the results for the tests of cargo securing and transport stability of unit loads to know expected lateral accelerations in curves during normal driving. The results can also be used in monitoring of accelerations and turning radii for the purpose of cargo securing, e.g., when damages on cargo occur to know where the highest acceleration occurred and also to compare these accelerations with the accelerations affecting the transport stability of load units.
The results can also be used in the deployment of autonomous vehicles in city logistics, but also in manufacturing plants and logistics complexes. The used GNSS/INS sensor can be recommended for installation in autonomous vehicles for continuous data collection on the road infrastructure, which could increase the safety of freight transport and reduce the damage to the transported cargo. It can be defined that cargo is secured to defined acceleration, or transport stability of load units was tested to defined accelerations. Then autonomous vehicle shall operate in such condition that the defined accelerations are not exceeded. For example, current vehicles emergency braking systems do not take this into consideration, causing damage to cargo in such events. Here, also more conservative limits can be added to protect the cargo. There is also the advantage of autonomous vehicles because of the availability of the sensors for this purpose already installed in such vehicles. Modern vehicles have sufficient computing power to be able to calculate the radius of the curve and the lateral acceleration based on the radius and the data obtained from the sensors. The calculated values could then be compared with the accelerometer values and the vehicle would be able to learn from this comparison at what radius and at what velocity the given acceleration values would be reached. The longer the vehicle is in operation, the more data would be acquired and the more accurate the calculations would be.
The obtained results were promising; therefore, in future research, it will be possible to include heavier cargo vehicles into consideration, comparing the results based on the type of vehicle, and also the velocity of crossing through selected curves of the road network. For the sake of further research, it would be appropriate to compare the measured accelerations with varied positions of sensors in a vehicle which is specifically important for heavy vehicle combinations. It is not possible to achieve measured lateral accelerations over 0.5 g with heavy vehicle combinations during normal driving because very important point is the height of center of gravity where at lower lateral acceleration vehicle can tip over even at 0.25 g. Future studies should consider non-urban routes that provide curves and roundabouts with radii exceeding those considered in this article and also influence of vehicle and road inclination on lateral accelerations.
Author Contributions
J.J. proposed the idea and edited the manuscript, J.J. and O.K. realized the tests, Introduction, J.J. and J.G.; Literature Review, M.K. and J.G. and J.J.; Materials and Methods, J.J., O.K. and J.G.; data curation, J.J., J.F. and O.K.; results, J.J., J.F., O.K. and J.G.; Writing—Original draft, J.J., J.F., O.K., J.G. and M.K.; visualization, J.J. and O.K.; final revision, J.J., J.F., M.K. and J.G. All authors have read and agreed to the published version of the manuscript.
Funding
This research was realized with support of Operational Program Integrated Infrastructure 2014–2020 of the project: Innovative Solutions for Propulsion, Power and Safety Components of Transport Vehicles, code ITMS 313011V334, co-financed by the European Regional Development Fund and the project of institutional research of the Faculty of Operation and Economics of Transport and Communications, University of Žilina no. 2/KCMD/2021 Research on the impact of city logistics on the environment.
Institutional Review Board Statement
Not applicable.
Informed Consent Statement
Not applicable.
Conflicts of Interest
The authors declare no conflict of interest.
References
- EN 12642:2016 Securing of Road on Road Vehicles—Body Structure of Commercial Vehicles—Minimum Requirements. Available online: https://standards.iteh.ai/catalog/standards/cen/cfb5d8a8-67c0-46fc-8b51-be9163596d6c/en-12642-2016 (accessed on 7 February 2022).
- EN 17321:2020 Intermodal Loading Units and Commercial Vehicles—Transport Stability of Packages—Minimum Require-ments and Tests. Available online: https://standards.iteh.ai/catalog/standards/sist/545c1b9f-c7d0-4196-aec8-eb1cbe8f0f81/ksist-fpren-17321-2020 (accessed on 7 February 2022).
- Alonso, M.; Mántaras, D.A.; Luque, P. Toward a methodology to assess safety of a vehicle. Saf. Sci. 2019, 119, 133–140. [Google Scholar] [CrossRef]
- Biral, F.; da Lio, M.; Bertolazzi, E. Combining safety margins and user preferences into a driving criterion for optimal control-based computation of reference maneuvers for an ADAS of the next generation. In Proceedings of the IEEE Intelligent Vehicles Symposium 2005, Las Vegas, NV, USA, 6–8 June 2005; IEEE: Piscataway, NJ, USA, 2005; pp. 36–41. [Google Scholar] [CrossRef]
- Alonso, M.; Mántaras, D.A.; Luque, P. Methodology for determining real time safety margin in a road vehicle. Transp. Res. Procedia 2018, 33, 331–338. [Google Scholar] [CrossRef]
- Zhou, H.; Gao, J.; Liu, H. Vehicle speed preview control with road curvature information for safety and comfort promotion. Proc. Inst. Mech. Eng. Part D J. Automob. Eng. 2021, 235, 1527–1538. [Google Scholar] [CrossRef]
- Xu, J.; Yang, K.; Shao, Y.-M. Ride Comfort of Passenger Cars on Two-Lane Mountain Highways Based on Tri-axial Acceleration from Field Driving Tests. Int. J. Civ. Eng. 2018, 16, 335–351. [Google Scholar] [CrossRef]
- Hamersma, H.A.; Els, P.S. Longitudinal vehicle dynamics control for improved vehicle safety. J. Terramech. 2014, 54, 19–36. [Google Scholar] [CrossRef]
- Xu, J.; Shu, H.B.; Shao, Y.-M. Effects of geometric features of highway horizontal alignment on steering behavior of passenger car. J. Vibroeng. 2016, 18, 4086–4104. [Google Scholar] [CrossRef]
- Loman, M.; Šarkan, B.; Skrúcaný, T. Comparison of fuel consumption of a passenger car depending on the driving style of the driver. Transp. Res. Procedia 2021, 55, 458–465. [Google Scholar] [CrossRef]
- Jurecki, R.; Stańczyk, T. A Methodology for Evaluating Driving Styles in Various Road Conditions. Energies 2021, 14, 3570. [Google Scholar] [CrossRef]
- Visar, B.; Odhisea, K.; Ilir, D. The Influence of the Lateral Acceleration on Vehicle Velocity Moving on Curved Road. Int. J. Civ. Eng. Technol. 2017, 8, 414–420. [Google Scholar]
- Xu, J.; Yang, K.; Shao, Y.; Lu, G. An Experimental Study on Lateral Acceleration of Cars in Different Environments in Sichuan, Southwest China. Discret. Dyn. Nat. Soc. 2015, 2015, 494130. [Google Scholar] [CrossRef]
- Tian, L.; Li, Y.; Li, J.; Lv, W. A simulation based large bus side slip and rollover threshold study in slope-curve section under adverse weathers. PLoS ONE 2021, 16, e0256354. [Google Scholar] [CrossRef]
- Wallentowitz, H. Automotive Engineering II. Lateral Vehicle Dynamics. Steering. Axle Design, 4th ed.; Institut für Kraftfahrwesen Aachen: Aachen, Germany, 2004. [Google Scholar]
- Rajamani, R. Vehicle Dynamics and Control, 2nd ed.; Springer: Boston, MA, USA, 2012. [Google Scholar] [CrossRef]
- Sazgar, H.; Azadi, S.; Kazemi, R.; Khalaji, A.K. Integrated longitudinal and lateral guidance of vehicles in critical high speed manoeuvres. Proc. Inst. Mech. Eng. Part K J. Multi-Body Dyn. 2019, 233, 994–1013. [Google Scholar] [CrossRef]
- Ok, M.; Ok, S.; Park, J.H. Estimation of Vehicle Attitude, Acceleration and Angular Velocity Using Convolutional Neural Network and Dual Extended Kalman Filter. Sensors 2021, 21, 1282. [Google Scholar] [CrossRef]
- Zamfir, S.; Drosescu, R.; Gaiginschi, R. Practical method for estimating road curvatures using onboard GPS and IMU equipment. IOP Conf. Series: Mater. Sci. Eng. 2016, 147, 12114. [Google Scholar] [CrossRef]
- Shojaei, S.; Hanzaki, A.R.; Azadi, S.; Saeedi, M.A. A new automated motion planning system of heavy accelerating articulated vehicle in a real road traffic scenario. Proc. Inst. Mech. Eng. Part K J. Multi-Body Dyn. 2019, 234, 161–184. [Google Scholar] [CrossRef]
- Wang, Q.; He, Y. A study on single lane-change manoeuvres for determining rearward amplification of multi-trailer articulated heavy vehicles with active trailer steering systems. Veh. Syst. Dyn. 2016, 54, 102–123. [Google Scholar] [CrossRef]
- Kamnik, R.; Boettiger, F.; Hunt, K. Roll dynamics and lateral load transfer estimation in articulated heavy freight vehicles. Proc. Inst. Mech. Eng. Part D J. Automob. Eng. 2003, 217, 985–997. [Google Scholar] [CrossRef]
- Braghin, F.; Cheli, F.; Corradi, R.; Tomasini, G.; Sabbioni, E. Active anti-rollover system for heavy-duty road vehicles. Veh. Syst. Dyn. 2008, 46, 653–668. [Google Scholar] [CrossRef]
- Lewington, N.; Ohra-Aho, L.; Lange, O.; Rudnik, K. The Application of a One-Way Coupled Aerodynamic and Multi-Body Dynamics Simulation Process to Predict Vehicle Response during a Severe Crosswind Event; SAE Technical Paper 2017-01-1515; SAE International: Warrendale, PA, USA, 2017. [Google Scholar] [CrossRef]
- Balsom, M.; Wilson, F.; Hildebrand, E. Impact of Wind Forces on Heavy Truck Stability. Transp. Res. Rec. J. Transp. Res. Board 2006, 1969, 115–120. [Google Scholar] [CrossRef]
- Zhang, Q.; Su, C.; Zhou, Y.; Zhang, C.; Ding, J.; Wang, Y. Numerical Investigation on Handling Stability of a Heavy Tractor Semi-Trailer under Crosswind. Appl. Sci. 2020, 10, 3672. [Google Scholar] [CrossRef]
- Qu, G.; He, Y.; Sun, X.; Tian, J. Modeling of Lateral Stability of Tractor-Semitrailer on Combined Alignments of Freeway. Discret. Dyn. Nat. Soc. 2018, 2018, 8438921. [Google Scholar] [CrossRef]
- Ikhsan, N.; Saifizul, A.; Ramli, R. The Effect of Vehicle and Road Conditions on Rollover of Commercial Heavy Vehicles during Cornering: A Simulation Approach. Sustainability 2021, 13, 6337. [Google Scholar] [CrossRef]
- Senalik, A.; Medanic, J. Feasibility of Modifying an Existing Semi-Trailer Air Suspension into an Anti-Rollover System; SAE Technical Paper 2001–01–2733; SAE International: Warrendale, PA, USA, 12 November 2001. [Google Scholar] [CrossRef]
- Ibrahim, R.A.; Singh, B. Assessment of ground vehicle tankers interacting with liquid sloshing dynamics. Int. J. Heavy Veh. Syst. 2018, 25, 23–112. [Google Scholar] [CrossRef]
- Winkler, C.; Sullivan, J.; Bogard, S.; Hagan, M.; Goodsell, R. Lateral-Acceleration Experience of Six Commercial Vehicles. Tire Sci. Technol. 2003, 31, 87–103. [Google Scholar] [CrossRef]
- Romero, J.A.; Betanzo-Quezada, E.; Lozano-Guzmán, A. A Methodology to Assess Road Tankers Rollover Trend during Turning. SAE Int. J. Commer. Veh. 2013, 6, 93–98. [Google Scholar] [CrossRef]
- Jiang, H.; Zhou, W.; Liu, C.; Zhang, G.; Hu, M. Safe and Ecological Speed Control for Heavy-Duty Vehicles on Long-Steep Downhill and Sharp-Curved Roads. Sustainability 2020, 12, 6813. [Google Scholar] [CrossRef]
- Cao, D.; Rakheja, S.; Su, C.-Y. Heavy vehicle pitch dynamics and suspension tuning. Part I: Unconnected suspension. Veh. Syst. Dyn. 2008, 46, 931–953. [Google Scholar] [CrossRef]
- Kallebasti, B.T.; Kordani, A.A.; Mavromatis, S.; Boroomandrad, S.M. Lateral friction demand on roads with coincident horizontal and vertical sag curves. Proc. Inst. Civ. Eng.-Transp. 2021, 174, 159–169. [Google Scholar] [CrossRef]
- Huang, C.-Z.; Cai, F.-T.; Long, J.; Wang, H.-G.; Fang, H. Multi-objective Optimization of Handling Stability of the Centre Axle Trailer Train. In Proceedings of the 2019 11th International Conference on Measuring Technology and Mechatronics Automation (ICMTMA), Qiqihar, China, 28–29 April 2019; Volume 8858703, pp. 363–369. [Google Scholar] [CrossRef]
- Mischinger, M.; Rudigier, M.; Wimmer, P.; Kerschbaumer, A. Towards comfort-optimal trajectory planning and control. Veh. Syst. Dyn. 2018, 57, 1108–1125. [Google Scholar] [CrossRef]
- Nash, C.J.; Cole, D.J.; Bigler, R.S. A review of human sensory dynamics for application to models of driver steering and speed control. Biol. Cybern. 2016, 110, 91–116. [Google Scholar] [CrossRef]
- Plöchl, M.; Edelmann, J. Driver models in automobile dynamics application. Veh. Syst. Dyn. 2007, 45, 699–741. [Google Scholar] [CrossRef]
- Allen, R.W.; Chrstos, J.P.; Aponso, B.L.; Lee, D. Driver/Vehicle Modeling and Simulation; SAE Technical Paper 2002–01–1568; SAE International: Warrendale, PA, USA, 1 January 2002. [Google Scholar] [CrossRef]
- Eboli, L.; Mazzulla, G.; Pungillo, G. Combining speed and acceleration to define car users’ safe or unsafe driving behaviour. Transp. Res. Part C Emerg. Technol. 2016, 68, 113–125. [Google Scholar] [CrossRef]
- Xu, J.; Peng, Q.; Shao, Y.; Li, S. Analysis of operating quality of low class highlands highway with minimum standard design elements. Tongji Daxue Xuebao/J. Tongji Univ. 2010, 38, 245–251, 272. [Google Scholar] [CrossRef]
- Della Rossa, F.; Gobbi, M.; Mastinu, G.; Piccardi, C.; Previati, G. Stability of controlled road vehicles—A preliminary fundamental study. In Proceedings of the ASME Design Engineering Technical Conference 2015, Boston, MA, USA, 2–5 August 2015; Volume 3. [Google Scholar] [CrossRef]
- Kavinmathi, K.; Narayan, S.P.A.; Subramanian, S.C. Impact of lateral load transfer in heavy road vehicles at horizontal curves on the distress of asphalt pavements. Road Mater. Pavement Des. 2021, 1–21. [Google Scholar] [CrossRef]
- Skrúcaný, T.; Synák, F.; Semanová, S.; Ondruš, J.; Rievaj, V. Detection of road vehicle’s centre of gravity. In Proceedings of the 2018 XI International Science-Technical Conference Automotive Safety, Casta, Slovakia, 18–20 April 2018; IEEE: Piscataway, NJ, USA, 2018; pp. 1–7. [Google Scholar] [CrossRef]
- Vu, T.M. Vehicle Steering Dynamic Calculation and Simulation. In Proceedings of the Annals of DAAAM for 2012 & the 23rd International DAAAM Symposium, Zadar, Croatia, 24–27 October 2012; Katalinic, B., Ed.; DAAAM International: Vienna, Austria, 2012; Volume 23, pp. 237–242. [Google Scholar]
- Skrucany, T.; Vrabel, J.; Kazimir, P. The influence of the cargo weight and its position on the braking characteristics of light commercial vehicles. Open Eng. 2020, 10, 154–165. [Google Scholar] [CrossRef]
- Skrúcaný, T.; Vrabel, J.; Kendra, M.; Kažimír, P. Impact of Cargo Distribution on the Vehicle Flatback on Braking Distance in Road Freight Transport. In Proceedings of the MATEC Web of Conferences 2017, Ceske Budejovice, Czech Republic, 19 October 2017; Volume 134, p. 54. [Google Scholar] [CrossRef]
- Marienka, P.; Frančák, M.; Jagelčák, J.; Synák, F. Comparison of Braking Characteristics of Solo Vehicle and Selected Types of Vehicle Combinations. Transp. Res. Procedia 2020, 44, 40–46. [Google Scholar] [CrossRef]
- Ondruš, J.; Kolla, E. Practical Use of the Braking Attributes Measurements Results. MATEC Web Conf. 2017, 134, 44. [Google Scholar] [CrossRef][Green Version]
- Vlkovský, M.; Šmerek, M.; Michálek, J. Cargo securing during transport depending on the type of a road. IOP Conf. Ser. Mater. Sci. Eng. 2017, 245, 42001. [Google Scholar] [CrossRef]
- Vlkovský, M.; Neubauer, J.; Malíšek, J.; Michálek, J. Improvement of Road Safety through Appropriate Cargo Securing Using Outliers. Sustainability 2021, 13, 2688. [Google Scholar] [CrossRef]
- Vlkovský, M.; Ivanuša, T.; Neumann, V.; Foltin, P.; Vlachová, H. Optimizating cargo security during transport using dataloggers. J. Transp. Secur. 2017, 10, 63–71. [Google Scholar] [CrossRef]
- Rouillard, V.; Lamb, M.J.; Lepine, J.; Long, M.; Ainalis, D. The case for reviewing laboratory-based road transport simulations for packaging optimisation. Packag. Technol. Sci. 2021, 34, 339–351. [Google Scholar] [CrossRef]
- Dižo, J.; Blatnický, M.; Sága, M.; Harušinec, J.; Gerlici, J.; Legutko, S. Development of a New System for Attaching the Wheels of the Front Axle in the Cross-Country Vehicle. Symmetry 2020, 12, 1156. [Google Scholar] [CrossRef]
- Nurmuhumatovich, J.A.; Mikusova, M. Testing trajectory of road trains with program complexes. Arch. Automot. Eng. Arch. Motoryz 2019, 83, 103–112. [Google Scholar] [CrossRef]
- Mikusova, M.; Abdunazarov, J.; Zukowska, J.; Jagelcak, J. Designing of Parking Spaces on Parking Taking into Account the Parameters of Design Vehicles. Computation 2020, 8, 71. [Google Scholar] [CrossRef]
- Feng, X.; Zhang, T.; Lin, T.; Tang, H.; Niu, X. Implementation and Performance of a Deeply-Coupled GNSS Receiver with Low-Cost MEMS Inertial Sensors for Vehicle Urban Navigation. Sensors 2020, 20, 3397. [Google Scholar] [CrossRef]
- Liu, Y.; Liu, F.; Gao, Y.; Zhao, L. Implementation and Analysis of Tightly Coupled Global Navigation Satellite System Precise Point Positioning/Inertial Navigation System (GNSS PPP/INS) with Insufficient Satellites for Land Vehicle Navigation. Sensors 2018, 18, 4305. [Google Scholar] [CrossRef]
- Stateczny, A.; Specht, C.; Specht, M.; Brčić, D.; Jugović, A.; Widźgowski, S.; Wiśniewska, M.; Lewicka, O. Study on the Positioning Accuracy of GNSS/INS Systems Supported by DGPS and RTK Receivers for Hydrographic Surveys. Energies 2021, 14, 7413. [Google Scholar] [CrossRef]
- Chen, K.; Chang, G.; Chen, C. GINav: A MATLAB-based software for the data processing and analysis of a GNSS/INS integrated navigation system. GPS Solut. 2021, 25, 108. [Google Scholar] [CrossRef]
- Du, S.; Zhang, S.; Gan, X. A Hybrid Fusion Strategy for the Land Vehicle Navigation Using MEMS INS, Odometer and GNSS. IEEE Access 2020, 8, 152512–152522. [Google Scholar] [CrossRef]
- Zhang, Q.; Niu, X.; Zhang, H.; Shi, C. Algorithm Improvement of the Low-End GNSS/INS Systems for Land Vehicles Navigation. Math. Probl. Eng. 2013, 2013, 435286. [Google Scholar] [CrossRef]
- Ban, Y.; Niu, X.; Zhang, T.; Zhang, Q.; Liu, J. Modeling and Quantitative Analysis of GNSS/INS Deep Integration Tracking Loops in High Dynamics. Micromachines 2017, 8, 272. [Google Scholar] [CrossRef] [PubMed]
- Gao, X.; Luo, H.; Ning, B.; Zhao, F.; Bao, L.; Gong, Y.; Xiao, Y.; Jiang, J. RL-AKF: An Adaptive Kalman Filter Navigation Algorithm Based on Reinforcement Learning for Ground Vehicles. Remote Sens. 2020, 12, 1704. [Google Scholar] [CrossRef]
- Bedkowski, J.; Nowak, H.; Kubiak, B.; Studzinski, W.; Janeczek, M.; Karas, S.; Kopaczewski, A.; Makosiej, P.; Koszuk, J.; Pec, M.; et al. A Novel Approach to Global Positioning System Accuracy Assessment, Verified on LiDAR Alignment of One Million Kilometers at a Continent Scale, as a Foundation for Autonomous DRIVING Safety Analysis. Sensors 2021, 21, 5691. [Google Scholar] [CrossRef] [PubMed]
- Wilk, A.; Koc, W.; Specht, C.; Skibicki, J.; Judek, S.; Karwowski, K.; Chrostowski, P.; Szmagliński, J.; Dąbrowski, P.; Czaplew-ski, K.; et al. Innovative mobile method to determine railway track axis position in global coordinate system using position measurements performed with GNSS and fixed base of the measuring vehicle. Meas. J. Int. Meas. Confed. 2021, 175, 109016. [Google Scholar] [CrossRef]
- Specht, M.; Specht, C.; Dąbrowski, P.; Czaplewski, K.; Smolarek, L.; Lewicka, O. Road Tests of the Positioning Accuracy of INS/GNSS Systems Based on MEMS Technology for Navigating Railway Vehicles. Energies 2020, 13, 4463. [Google Scholar] [CrossRef]
- VectorNav VN-300 Dual GNSS/INS. Available online: https://www.vectornav.com/products/detail/vn-300?gclid=CjwKCAiAo4OQBhBBEiwA5KWu_yVidmWJjpLJJlk-Awqq51znQr8C27BFE-vTD7dypmOKj6i2dBEvDhoC-QYQAvD_BwE (accessed on 7 February 2022).
- EN 12195-1:2010 Load Restraining on Road Vehicles. Safety. Part 1: Calculation of Securing Forces. Available online: https://standards.iteh.ai/catalog/standards/cen/72067d57-b90c-4ca5-8bd0-f876e25e6a6e/en-12195-1-2010 (accessed on 7 February 2022).
- IMO/ILO/UNECE Code of Practice for Packing of Cargo Transport Units (CTU Code) 2014. Available online: https://unece.org/fileadmin/DAM/trans/doc/2014/wp24/CTU_Code_January_2014.pdf (accessed on 7 February 2022).
- VDI 2700 Blatt 16 Ladungssicherung auf Straßenfahrzeugen—Ladungssicherung bei Transportern bis 7,5 t zGM. Available online: https://www.vdi.de/richtlinien/details/vdi-2700-blatt-16-ladungssicherung-auf-strassenfahrzeugen-ladungssicherung-bei-transportern-bis-75-t-zgm (accessed on 7 February 2022).
- Directive 2014/47/EU of the European Parliament and of the Council of 3 April 2014 on the Technical Roadside Inspection of the Roadworthiness of Commercial Vehicles Circulating in the Union and Repealing Directive 2000/30/EC. Available online: https://eur-lex.europa.eu/legal-content/EN/TXT/PDF/?uri=CELEX:32014L0047&from=EN (accessed on 19 March 2021).
- Agreement Concerning the International Carriage of Dangerous Goods by Road, UN/ECE, Geneve. 2021. Available online: https://unece.org/transportdangerous-goods/adr-2021-files (accessed on 7 February 2022).
- Balkwill, J. Performance Vehicle Dynamics; Butterworth-Heinemann: Oxford, UK, 2018; ISBN 978-0-12-812693-6. [Google Scholar]
- Regulation (EU) 2018/858 of the European parliament and of the council of 30 May 2018 on the Approval and Market Sur-veillance of Motor Vehicles and Their Trailers, and of Systems, Components and Separate Technical Units Intended for Such Vehicles, Amending Regulations (EC) No 715/2007 and (EC) No 595/2009 and Repealing Directive 2007/46/EC. Available online: https://eur-lex.europa.eu/legal-content/EN/TXT/?uri=CELEX:02018R0858-20210926 (accessed on 8 February 2022).
Publisher’s Note: MDPI stays neutral with regard to jurisdictional claims in published maps and institutional affiliations. |
© 2022 by the authors. Licensee MDPI, Basel, Switzerland. This article is an open access article distributed under the terms and conditions of the Creative Commons Attribution (CC BY) license (https://creativecommons.org/licenses/by/4.0/).