Theoretical Upper and Lower Limits for Normalized Bandwidth of Digital Phase-Locked Loop in GNSS Receivers
Abstract
1. Introduction
2. Review of Phase-Locked Loops
2.1. Continuous Model
2.2. Discrete Model
2.2.1. Hold Equivalent
2.2.2. Pole-Zero Mapping
2.2.3. Numerical Integration
2.3. Computational Delay
3. Stability Analysis for Upper Limit
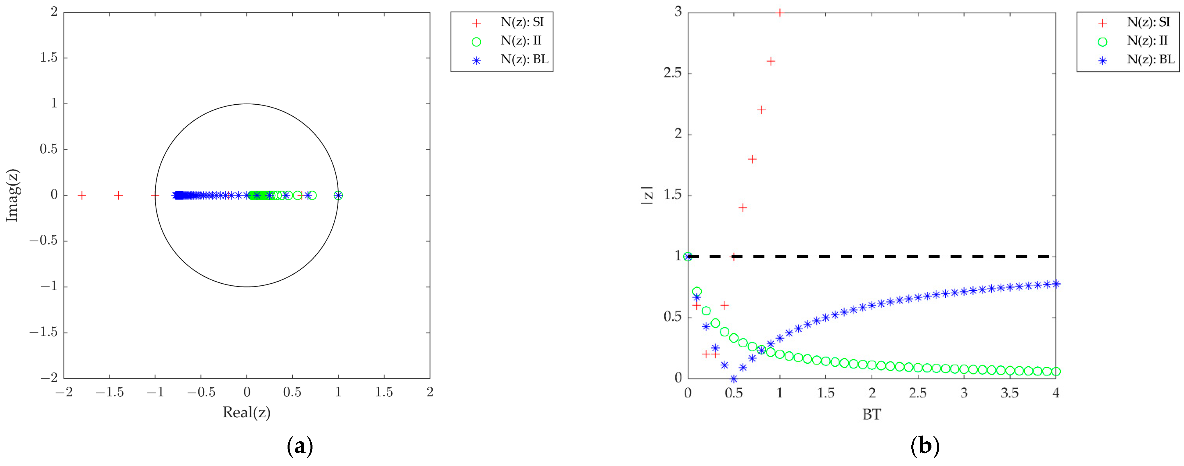
3.1. Root Loci
- Type A—The poles drift outside the unit circle in the z-domain as BT increases. The system is stable only when BT ≤ BTosc, otherwise it is unstable;
- Type B—All of the poles are within the unit circle but approach |z| = 1 as BT increases. The instability of the system increases as BT increases;
- Type C—All of the poles of the system are located inside the unit circle. The system is unconditionally stable, even for large BT values.
3.2. BT Margin
3.3. Step and Frequency Responses
4. BT Lower Limit
4.1. Measurement Error
4.1.1. Thermal Noise
4.1.2. Allan Deviation Phase Noise
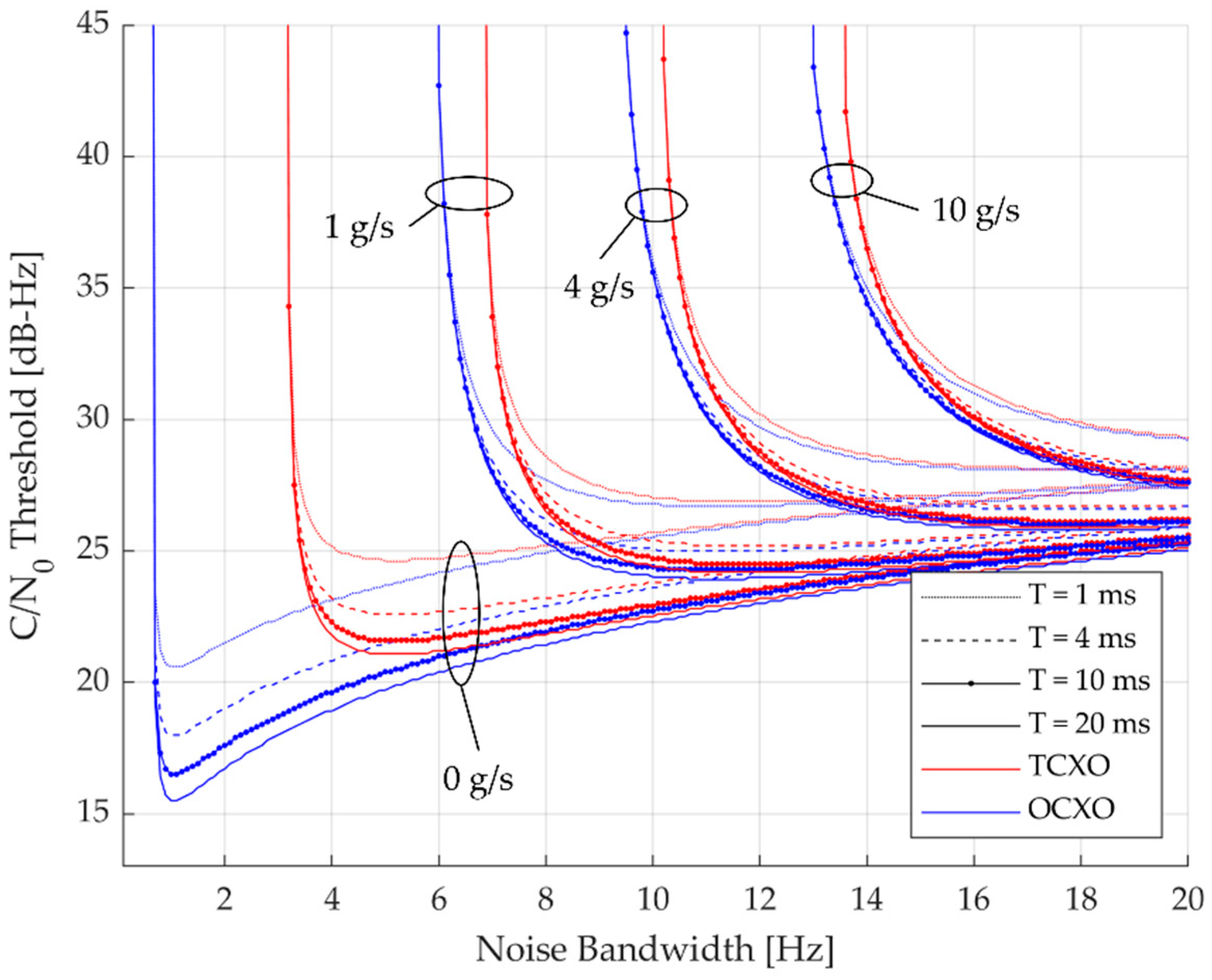
4.1.3. Dynamic Stress Error
4.1.4. Overall Measurement Error
4.2. Lower Limit
5. Implementation and Caveats
5.1. Incorrect Carrier Phase Reference Epoch
5.2. Computational Delay
6. Conclusions
Author Contributions
Funding
Institutional Review Board Statement
Informed Consent Statement
Data Availability Statement
Conflicts of Interest
Appendix A

| Filter Order | Type | DPLL Implementations | |
|---|---|---|---|
| First | N(z) | SI | |
| II | |||
| BL | |||
| Second | F(z) | SI | |
| II | |||
| BL | |||
| N(z) | SI | ||
| II | |||
| BL | |||
| Third | F(z) | SI | |
| II | |||
| BL | |||
| N(z) | SI | ||
| II | |||
| BL | |||
References
- Jaffe, R.; Rechtin, E. Design and Performance of Phase-Lock Circuits Capable of Near-Optimum Performance Over a Wide Range of Input Signal and Noise Levels. IRE Trans. Inf. Theory 1955, 1, 66–76. [Google Scholar] [CrossRef]
- Kaplan, E.D.; Hegarty, C. Understanding GPS Principles and Applications, 2nd ed.; Artech House: Norwood, MA, USA, 1996. [Google Scholar]
- Gupta, S.C. On Optimum Digital Phase-Locked Loops. IEEE Trans. Commun. Technol. 1968, 16, 340–344. [Google Scholar] [CrossRef]
- Cahn, C.; Leimer, D.K.; Marsh, C.L.; Huntowski, F.; Larue, G.D. Software Implementation of a PN Spread Spectrum Receiver to Accommodate Dynamics. IEEE Trans. Commun. 1977, 25, 832–840. [Google Scholar] [CrossRef]
- Lindsey, W.C.; Chie, C.M. A Survey of Digital Phase-Locked-Loops. Proc. IEEE 1981, 69, 410–431. [Google Scholar] [CrossRef]
- Broumandan, A.; Nielsen, J.; Lachapelle, G. Coherent Integration Time Limit of a Mobile Receiver for Indoor GNSS Applications. GPS Solut. 2012, 16, 157–167. [Google Scholar] [CrossRef]
- Pany, T.; Riedl, B.; Winkel, J.; Wörz, T.; Schweikert, R.; Niedermeier, H.; Lagrasta, S.; López-Risueno, G.; Jiménez-Banos, D. Coherent Integration Time: The Longer, The Better. Inside GNSS 2009, 4, 52–61. [Google Scholar]
- Watson, R.; Lachapelle, G.; Klukas, R. Testing Oscillator Stability as a Limiting Factor in Extreme High-Sensitivity GPS Applications. In Proceedings of the European Navigation Conference, Machester, UK, 8–10 May 2006. [Google Scholar]
- O’Driscoll, C.; Petovello, M.; Lachapelle, G. Choosing the Coherent Integration Time for Kalman Filter-based Carrier Phase Tracking of GNSS Signals. GPS Solut. 2011, 15, 345–356. [Google Scholar] [CrossRef]
- Kuo, B.C. Automatic Control Systems, 6th ed.; Prentice-Hall: Englewood Cliffs, NJ, USA, 1991. [Google Scholar]
- Stephens, S.A.; Thomas, J.B. Controlled-root formulation for digital phase-locked loops. IEEE Trans. Aerosp. Electron. Syst. 1995, 31, 78–95. [Google Scholar] [CrossRef]
- Kazemi, P.L. Optimum Digital Filters for GNSS Tracking Loops. In Proceedings of the 21st International Technical Meeting of the Satellite Division of The Institute of Navigation (ION GNSS 2008), Savannah, CA, USA, 16–19 September 2008; pp. 2304–2313. [Google Scholar]
- Franklin, G.F.; Powel, J.D.; Workman, M.L. Digital Control of Dynamic Systems, 2nd ed.; Addison-Wesley Publishing Company: Reading, MA, USA, 1990. [Google Scholar]
- Ward, P.W.; Fuchser, T.D. Stability criteria for GNSS receiver tracking loops. Navig. J. Inst. Navig. 2014, 61, 293–309. [Google Scholar] [CrossRef]
- Irsigler, M.; Eissfeller, B. PLL Tracking Performance in the Presence of Oscillator Phase Noise. GPS Solut. 2002, 5, 45–57. [Google Scholar] [CrossRef]














| Loop Order | Loop Filter Transfer Function, Fi(s) | Closed-Loop Transfer Function, Hi(s) | Typical Filter Values | Sensitive to | Application Examples |
|---|---|---|---|---|---|
| First | Velocity stress | Aided code tracking loops | |||
| Second | Acceleration stress | Aided or low-dynamics phase-locked loop, unaided frequency-locked loop | |||
| Third | Jerk stress | Unaided phase-locked loop |
| s-Domain: Continuous-Time Domain Expression | z-Domain | Discrete-Time Domain Expression | Rule | Terminology |
|---|---|---|---|---|
| Step-invariant | Forward rule, zero-order holder | |||
| Impulse-invariant | Backward rule, box car | |||
| Bilinear | Trapezoid, Tustin |
| Closed-Loop Transfer Function: | F(s) Transform Method | N(s) Transform Method | ||
|---|---|---|---|---|
| Step-Invariant | Impulse-Invariant | |||
| First-order loop | - | |||
| Second-order loop | Step-invariant | |||
| Impulse-invariant | ||||
| Bilinear | ||||
| Third-order loop | Step-invariant | |||
| Impulse-invariant | ||||
| Bilinear | ||||
| Type | Descriptions | Remarks |
|---|---|---|
| A | |z| ≤ 1 only when BT ≤ BTosc, otherwise |z| > 1 | Conditionally stable only when BT ≤ BTosc |
| B | |z| ≤ 1 for all BTs, but |z| → 1 as BT increases | The instability increases as BT increases |
| C | |z| < 1 for all BTs, and |z|~0 as BT increases | Unconditionally stable |
| Filter Order | NCO, N(z) | Loop Filter, F(z) | Zero Computational Delay (tD = 0) | Unit Computational Delay (tD = T) | ||
|---|---|---|---|---|---|---|
| BTosc * | Type | BTosc | Type | |||
| First | SI | - | 0.51 | A | 0.26 | A |
| II | No limit | C | 0.51 | A | ||
| BL | |z|~1 when BT >> 1 | B | 0.51 | A | ||
| Second | SI | SI | 0.75 | A | 0.27 | A |
| II | 0.55 | A | 0.25 | A | ||
| BL | 0.75 | A | 0.27 | A | ||
| II | SI | 2.05 | A | 0.75 | A | |
| II | No limit | C | 0.55 | A | ||
| BL | |z|~1 when BT >> 1 | B | 0.75 | A | ||
| BL | SI | 1.5 | A | 0.41 | A | |
| II | |z|~1 when BT >> 1 | B | 0.43 | A | ||
| BL | |z|~1 when BT >> 1 | B | 0.44 | A | ||
| Third | SI | SI | 0.53 | A | 0.38 | A |
| II | 0.58 | A | 0.29 | A | ||
| BL | 0.70 | A | 0.33 | A | ||
| II | SI | 0.57 | A | 0.53 | A | |
| II | No limit | C | 0.58 | A | ||
| BL | |z|~1 when BT >> 1 | B | 0.70 | A | ||
| BL | SI | 0.53 | A | 0.51 | A | |
| II | |z|~1 when BT >> 1 | B | 0.49 | A | ||
| BL | |z|~1 when BT >> 1 | B | 0.60 | A | ||
| Oscillator Type | h0 [s] | h−1 [-] | h−2 [1/s] |
|---|---|---|---|
| Temperature-compensated crystal oscillator (TCXO) | 1.00 × 10−21 | 1.00 × 10−20 | 2.00 × 10−20 |
| Oven-controlled crystal oscillator (OCXO) | 2.51 × 10−26 | 2.51 × 10−23 | 2.51 × 10−22 |
| Jerk Stress [g/s] | Oscillator Type | BT Lower Limit | |||
|---|---|---|---|---|---|
| T = 1 ms | T = 4 ms | T = 10 ms | T = 20 ms | ||
| 0 | TCXO | 0.004 | 0.013 | 0.032 | 0.064 |
| OCXO | <0.001 | 0.003 | 0.007 | 0.014 | |
| 1 | TCXO | 0.007 | 0.028 | 0.069 | 0.137 |
| OCXO | 0.006 | 0.024 | 0.060 | 0.120 | |
| 4 | TCXO | 0.011 | 0.041 | 0.102 | 0.204 |
| OCXO | 0.010 | 0.038 | 0.095 | 0.190 | |
| 10 | TCXO | 0.014 | 0.055 | 0.136 | 0.271 |
| OCXO | 0.013 | 0.052 | 0.130 | 0.259 | |
Disclaimer/Publisher’s Note: The statements, opinions and data contained in all publications are solely those of the individual author(s) and contributor(s) and not of MDPI and/or the editor(s). MDPI and/or the editor(s) disclaim responsibility for any injury to people or property resulting from any ideas, methods, instructions or products referred to in the content. |
© 2023 by the authors. Licensee MDPI, Basel, Switzerland. This article is an open access article distributed under the terms and conditions of the Creative Commons Attribution (CC BY) license (https://creativecommons.org/licenses/by/4.0/).
Share and Cite
Song, Y.-J.; Pany, T.; Won, J.-H. Theoretical Upper and Lower Limits for Normalized Bandwidth of Digital Phase-Locked Loop in GNSS Receivers. Sensors 2023, 23, 5887. https://doi.org/10.3390/s23135887
Song Y-J, Pany T, Won J-H. Theoretical Upper and Lower Limits for Normalized Bandwidth of Digital Phase-Locked Loop in GNSS Receivers. Sensors. 2023; 23(13):5887. https://doi.org/10.3390/s23135887
Chicago/Turabian StyleSong, Young-Jin, Thomas Pany, and Jong-Hoon Won. 2023. "Theoretical Upper and Lower Limits for Normalized Bandwidth of Digital Phase-Locked Loop in GNSS Receivers" Sensors 23, no. 13: 5887. https://doi.org/10.3390/s23135887
APA StyleSong, Y.-J., Pany, T., & Won, J.-H. (2023). Theoretical Upper and Lower Limits for Normalized Bandwidth of Digital Phase-Locked Loop in GNSS Receivers. Sensors, 23(13), 5887. https://doi.org/10.3390/s23135887

