Edge Bleeding Artifact Reduction for Shape from Focus in Microscopic 3D Sensing
Abstract
:1. Introduction
2. Analysis of Edge Bleeding Artifact
2.1. Principles of Blur Effect by Defocus
2.2. Occurrence Conditions for Edge Bleeding Artifact
2.3. Factors Causing Edge Bleeding Artifact
3. Method to Reduce Edge Bleeding Artifact
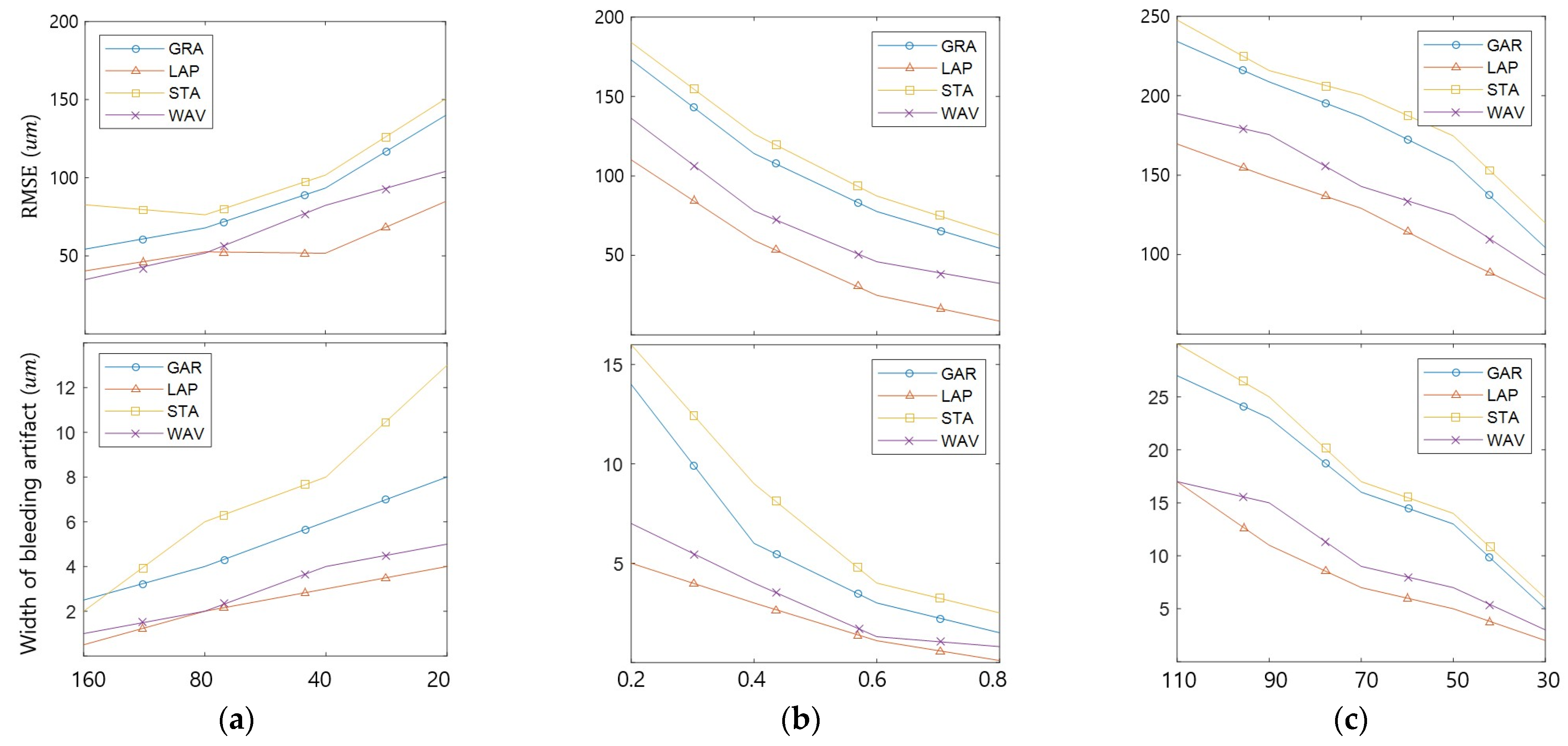
4. Results
4.1. Simulation
4.2. Implementation in Microscopic System
5. Conclusions
Author Contributions
Funding
Institutional Review Board Statement
Informed Consent Statement
Data Availability Statement
Conflicts of Interest
References
- Ikura, M.; Pathak, S.; Louhi Kasahara, J.Y.; Yamashita, A.; Asama, H. AdjustSense: Adaptive 3D Sensing System with Adjustable Spatio-Temporal Resolution and Measurement Range Using High-Speed Omnidirectional Camera and Direct Drive Motor. Sensors 2021, 21, 6975. [Google Scholar] [CrossRef] [PubMed]
- Li, B.; An, T.; Cappelleri, D.; Xu, J.; Zhang, S. High-accuracy, high-speed 3D structured light imaging techniques and potential applications to intelligent robotics. Int. J. Intell. Robot. Appl. 2017, 1, 86–103. [Google Scholar] [CrossRef]
- Zhang, S. High-speed 3D shape measurement with structured light methods: A review. Opt. Laser Eng. 2018, 106, 119–131. [Google Scholar] [CrossRef]
- Sarbolandi, H.; Lefloch, D.; Kolb, A. Kinect range sensing: Structured-light versus Time-of-Flight Kinect. Comput. Vis. Image Underst. 2015, 139, 1–20. [Google Scholar] [CrossRef]
- Zhang, R.; Cao, S. 3D imaging millimeter wave circular synthetic aperture radar. Sensors 2017, 17, 1419. [Google Scholar] [CrossRef] [PubMed]
- Murry, D.; Little, J.J. Using Real-Time Stereo Vision for Mobile Robot Navigation. Auton. Robots 2000, 8, 161–171. [Google Scholar] [CrossRef]
- Fleischmann, P.; Berns, K. A Stereo Vision Based Obstacle Detection System for Agricultural Applications. In Field and Service Robotics; Springer Tracts in Advanced Robotics; Wettergreen, D., Barfoot, T., Eds.; Springer: Cham, Switzerland, 2016; Volume 113, pp. 217–231. [Google Scholar]
- Perek, P.; Mielczarek, A.; Makowski, D. High-performance image acquisition and processing for stereoscopic diagnostic systems with the application of graphical processing units. Sensors 2022, 22, 471. [Google Scholar] [CrossRef]
- Billiot, B.; Cointault, F.; Journaux, L.; Simon, J.C.; Gouton, P. 3D image acquisition system based on shape from focus technique. Sensors 2013, 13, 5040–5053. [Google Scholar] [CrossRef]
- Hou, L.; Zou, J.; Zhang, W.; Chen, Y.; Shao, W.; Li, Y.; Chen, S. An Improved Shape from Focus Method for Measurement of Three-Dimensional Features of Fuel Nozzles. Sensors 2022, 23, 265. [Google Scholar] [CrossRef]
- Gladines, J.; Sels, S.; Blom, J.; Vanlanduit, S. A fast shape-from-focus-based surface topography measurement method. Sensors 2021, 21, 2574. [Google Scholar] [CrossRef]
- Muhammad, M.; Choi, T.S. Sampling for shape from focus in optical microscopy. IEEE Trans. Pattern Anal. Mach. Intell. 2012, 34, 564–573. [Google Scholar] [CrossRef] [PubMed]
- Wang, Y.; Jia, H.; Jia, P.; Chen, K.; Zhang, X. A novel algorithm for three-dimensional shape reconstruction for microscopic objects based on shape from focus. Opt. Laser Technol. 2023, 168, 109931. [Google Scholar] [CrossRef]
- Pertuz, S.; Puig, D.; Garcia, M.A. Analysis of focus measure operators for shape-from-focus. Pattern Recognit. 2013, 46, 1415–1432. [Google Scholar] [CrossRef]
- Huang, W.; Jing, Z. Evaluation of focus measures in multi-focus image fusion. Pattern Recognit. Lett. 2007, 28, 493–500. [Google Scholar] [CrossRef]
- Choi, T.S.; Yun, J. Three-dimensional shape recovery from the focused-image surface. Opt. Eng. 2000, 39, 1321–1326. [Google Scholar] [CrossRef]
- Nayar, S.K.; Nakagawa, Y. Shape from focus. IEEE Trans. Pattern Anal. Mach. Intell. 1994, 16, 824–831. [Google Scholar] [CrossRef]
- Yang, G.; Nelson, B.J. Wavelet-based autofocusing and unsupervised segmentation of microscopic images. In Proceedings of the 2003 IEEE/RSJ International Conference on Intelligent Robots and Systems, Las Vegas, NV, USA, 27 October–1 November 2003; pp. 2143–2148. [Google Scholar]
- Pauly, M.; Gross, M.; Kobbelt, L.P. Efficient simplification of point-sampled surfaces. In Proceedings of the VIS 2002 IEEE Visualization, Boston, MA, USA, 27 October–1 November 2002; pp. 163–170. [Google Scholar]
- Malik, A.S.; Choi, T.S. A novel algorithm for estimation of depth map using image focus for 3D shape recovery in the presence of noise. Pattern Recognit. 2008, 41, 2200–2225. [Google Scholar] [CrossRef]
- Humayun, J.; Malik, A.S. Real-time processing for shape-from-focus techniques. J. Real-Time Image Process. 2016, 11, 49–62. [Google Scholar] [CrossRef]
- Pentland, A.P. A new sense for depth of field. IEEE Trans. Pattern Anal. Mach. Intell. 1987, 4, 523–531. [Google Scholar] [CrossRef]
- Sheppard, C.J.R.; Wilson, T. Depth of field in the scanning microscope. Optics letters 1978, 3, 115–117. [Google Scholar] [CrossRef]
- Tseng, C.Y.; Wang, S.J. Shape-from-focus depth reconstruction with a spatial consistency model. IEEE Trans. Circuits Syst. Video Technol. 2014, 24, 2063–2076. [Google Scholar] [CrossRef]
- Mahmood, M.T.; Choi, T.S. Nonlinear approach for enhancement of image focus volume in shape from focus. IEEE Trans. Image Process. 2012, 21, 2866–2873. [Google Scholar] [CrossRef] [PubMed]
- Gaganov, V.; Ignatenko, A. Robust shape from focus via Markov random fields. In Proceedings of the Graphicon Conference, Moscow, Russia, 5–9 October 2009; pp. 74–80. [Google Scholar]
- Li, L.; Pan, Z.; Cui, H.; Liu, J.; Yang, S.; Liu, L.; Tian, Y.; Wang, W. Adaptive window iteration algorithm for enhancing 3D shape recovery from image focus. Chin. Opt. Lett. 2019, 17, 061001. [Google Scholar] [CrossRef]
- Ali, U.; Mahmood, M.T. Depth enhancement through correlation-based guided filtering in shape from focus. Microsc. Res. Tech. 2021, 84, 1368–1374. [Google Scholar] [CrossRef]
- Allen, E.; Triantaphillidou, S. The Manual of Photography, 10th ed.; Routledge: London, UK, 2011; p. 111. [Google Scholar]
- Jenkins, F.A.; White, H.E. Fundamentals of Optics, 4th ed.; McGraw-Hill: New York, NY, USA, 2001; pp. 60–62. [Google Scholar]
- Tao, Q.C.; He, X.H.; Deng, H.B.; Liu, Y.; Zhao, J. Wavelet transform based Gaussian point spread function estimation. In Advances in Visual Computing: First International Symposium, Proceedings of the ISVC 2005, NV, USA, 5–7 December 2005; Springer: Berlin/Heidelberg, Germany, 2005; pp. 396–405. [Google Scholar]
- Ghita, O.; Whelan, P.F. A video-rate range sensor based on depth from defocus. Opt. Laser Technol. 2001, 33, 167–176. [Google Scholar] [CrossRef]
- Pertuz, S.; Puig, D.; Garcia, M.A. Reliability measure for shape-from-focus. Image Vis. Comput. 2013, 31, 725–734. [Google Scholar] [CrossRef]













| Symbol | Description | Value | Unit |
|---|---|---|---|
| Image size | 500 × 500 | pixel | |
| Circle of confusion | 1 | μm | |
| Focal length | 5 | μm | |
| Focal distance | 10 | mm | |
| f-number | 2.5 |
| Evaluation Measurement | GRA | LAP | STA | WAV |
|---|---|---|---|---|
| RMSE (μm) | 186.2 | 129.6 | 201.4 | 142.1 |
| Width of artifact (μm) | 16.3 | 7.1 | 17.9 | 9.5 |
| FM Operator | Method | RMSE (µm) | Reduction Percentage | Width of Artifact (µm) | Reduction Percentage |
|---|---|---|---|---|---|
| GRA | Initial | 169.7 | 68.0% | 14.3 | 83.2% |
| Proposed method | 54.4 | 2.4 | |||
| LAP | Initial | 61.9 | 21.3% | 2.7 | 40.7% |
| Proposed method | 48.1 | 1.6 | |||
| STA | Initial | 187.5 | 39.5% | 16.1 | 50.9% |
| Proposed method | 113.4 | 7.9 | |||
| WAV | Initial | 123.7 | 65.8% | 7.5 | 85.3% |
| Proposed method | 42.3 | 1.1 |
Disclaimer/Publisher’s Note: The statements, opinions and data contained in all publications are solely those of the individual author(s) and contributor(s) and not of MDPI and/or the editor(s). MDPI and/or the editor(s) disclaim responsibility for any injury to people or property resulting from any ideas, methods, instructions or products referred to in the content. |
© 2023 by the authors. Licensee MDPI, Basel, Switzerland. This article is an open access article distributed under the terms and conditions of the Creative Commons Attribution (CC BY) license (https://creativecommons.org/licenses/by/4.0/).
Share and Cite
Park, S.-H.; Park, G.-R.; Baek, K.-R. Edge Bleeding Artifact Reduction for Shape from Focus in Microscopic 3D Sensing. Sensors 2023, 23, 8602. https://doi.org/10.3390/s23208602
Park S-H, Park G-R, Baek K-R. Edge Bleeding Artifact Reduction for Shape from Focus in Microscopic 3D Sensing. Sensors. 2023; 23(20):8602. https://doi.org/10.3390/s23208602
Chicago/Turabian StylePark, Sang-Ho, Ga-Rin Park, and Kwang-Ryul Baek. 2023. "Edge Bleeding Artifact Reduction for Shape from Focus in Microscopic 3D Sensing" Sensors 23, no. 20: 8602. https://doi.org/10.3390/s23208602
APA StylePark, S.-H., Park, G.-R., & Baek, K.-R. (2023). Edge Bleeding Artifact Reduction for Shape from Focus in Microscopic 3D Sensing. Sensors, 23(20), 8602. https://doi.org/10.3390/s23208602

