Next Article in Journal
Young Novice Drivers’ Cognitive Distraction Detection: Comparing Support Vector Machines and Random Forest Model of Vehicle Control Behavior
Next Article in Special Issue
Design and Control of Monolithic Compliant Gripper Using Shape Memory Alloy Wires
Previous Article in Journal
Smart Quantum Tunneling Composite Sensors to Monitor FKM and FFKM Seals
Previous Article in Special Issue
Out-of-Plane Behavior of Masonry Prisms Retrofitted with Shape Memory Alloy Stripes: Numerical and Parametric Analysis
 
 
Font Type:
Arial Georgia Verdana
Font Size:
Aa Aa Aa
Line Spacing:
Column Width:
Background:
Article

Computational Modeling and Parametric Analysis of SMA Hybrid Composite Plates under Thermal Environment

Institute of Physics, Czech Academy of Sciences, Na Slovance 2, 18200 Prague, Czech Republic
*
Author to whom correspondence should be addressed.
Sensors 2023, 23(3), 1344; https://doi.org/10.3390/s23031344
Submission received: 4 January 2023 / Revised: 21 January 2023 / Accepted: 23 January 2023 / Published: 25 January 2023

Abstract

This paper presents a coupled thermoelastic finite element formulation for static and dynamic analysis of composite laminated plates with embedded active shape memory alloy (SMA) wires, which accounts for both the phase transformation and the nonlinearity effects of SMA wires. The equations of motion are obtained by using Hamilton’s principle and first-order shear deformation theory (FSDT). Furthermore, based on Brinson’s one-dimensional phase transformation constitutive law, a novel coupled thermoelastic finite element model that enables analysis of the SMA hybrid composite (SMAHC) plate is developed. The accuracy and efficiency of the developed computational model for analysis of SMAHC plates are reinforced by comparing theoretical predictions with data available from the literature. The results of the numerical examples also show the ability of the proposed model to predict the thermal-mechanical behavior of SMAHC plates in accordance with SMA’s hysteresis behavior. In addition, based on the proposed model, the influence of temperature as well as SMA volume fraction, pre-strain value, boundary condition and layup sequence on the static bending and free vibration behavior of the SMAHC plates is investigated in detail. The results of parametric analysis show that the variations of both static deflection and natural frequency of the SMAHC plate over temperature exhibit a nonmonotonic behavior.

1. Introduction

Over the past decades, numerous studies have been conducted on intelligent materials to improve the structural performance of various sensors and actuators. Shape memory alloys (SMAs), due to their extremely large, recoverable strains and unusual solid-state phase transformation properties, have broad applications as active components of adaptive structures. For example, SMA elements can be embedded into the laminated composite structures to create smart sensing and actuating devices. Hence, nowadays, the SMA-based hybrid laminated composite structures are widely used for innovative applications in various areas including aerospace [1], automotive [2] and civil engineering [3].
Among the scientific research into smart SMA-based hybrid composites (SMAHC) in particular, the pioneering researchers mainly focused on the mechanical behavior modifications of SMAHC structures. The concept of embedding SMAs into a composite medium was first proposed by Rogers et al. [4,5]. In these studies, the SMAs were used to improve the vibrational and buckling behaviors of the designed composite. Later, extensive research was performed to investigate active control of SMA-based hybrid composite beams [6,7,8,9], plates [10,11,12,13,14,15], shell panels [16] and sandwich panels [17,18]. More recently, due to the wide application of SMAHC structures in engineering, theoretical frameworks, which are qualified for accurately analyzing their dynamic and static behaviors, have drawn extensive attention. Lu et al. [19] presented an analytical method for bending SMA fiber-reinforced laminated beams. The analytical formulations used to investigate the thermal buckling and vibrational behavior of SMA hybrid laminated composite beams [20] and plates [21] were also developed. Kabir and Tehrani [22] performed analytical investigations of thermo-mechanical buckling and postbuckling of symmetric SMAHC plates, and the influence of SMA activation temperature, SMA volume fraction and pre-strain on thermo-mechanical buckling and postbuckling behavior were also discussed. A closed-form solution was presented by Bayat and Toussi [23] to analyze the thermal buckling and postbuckling behavior of SMA wire-reinforced laminated composite beams. Fahim et al. [24] developed a semianalytical model to investigate the bending response of SMA composite beams.
Although it is well acknowledged that the analytical solutions are more favorable and convenient for parametric investigation, the finite element method (FEM), on the other hand, provides a more general solution for modeling complex geometrical structures and boundary conditions. Thermal stability and vibration behavior of SMA hybrid beams [25], plates [26,27,28], shell panels [29,30,31,32] and sandwich panels [33] were studied by using FEM based on various plate/shell theories. Ghomshei et al. [34] proposed a nonlinear FEM for thick composite beams with embedded SMA ribbons or wires by using a higher-order shear deformation beam theory and the von-Karman nonlinear strains. Cho and Rhee [35] presented a nonlinear finite element approach to study the bending of a cantilevered SMA wire-reinforced composite shell subjected to both structural and thermal loads. Recently, static and dynamic analyses of composite plates were performed based on FSDT [36,37,38], and Tabrizikahou et al. [39] used FEM to investigate out-of-plane behavior of masonry prisms retrofitted with SMA stripes.
Surprisingly, the study of a composite laminated plate embedded with active SMA wires under thermal environment has not yet been reported. In this study, a coupled thermoelastic FEM for static and dynamic analysis of SMAHC plates is developed based on the first-order shear deformation theory. The governing equations are then obtained by using Hamilton’s principle. Compared to previous research, the phase transformation and nonlinearity effects of SMA are included in the developed method based on the one-dimensional Brinson model, and both thermal and recovery stresses are also reported for the constitutive relation of SMAHC lamina. We emphasize here that the present model is directly applicable to the investigation of other elastic beams or plates with different geometries, material layers and boundary conditions.
This paper is organized as follows. In Section 2, constitutive relations of SMA materials based on Brinson’s model are briefly presented, and thermo-mechanical properties of an SMA hybrid lamina are further derived by using a micro/macro mixture method. Then, a coupled thermoelastic finite element formulation for SMAHC plates based on FSDT plate theory is developed. To demonstrate the accuracy of the proposed FEM model, a cantilevered SMAHC plate is investigated in Section 3, and both static response and free vibration results are compared to previously published results. Section 3 also presents a detailed parametric investigation to study the influences of SMA volume fraction, pre-strain level, boundary condition and layup sequence on the static and thermal vibration behavior of the SMAHC plates. Finally, the conclusions are presented in last section.

2. Theoretical Model

2.1. Constitutive Relation of SMA

The present work employs Brinson’s one-dimensional constitutive equation of SMA for the modeling of SMA hybrid layers. The constitutive relation of Brinson [40] governs the stress (σ) to the strain (ε), temperature (T) and martensitic fraction (ξ) in the following form:
σ σ 0 = E ( ξ ) ( ε ) E ( ξ 0 ) ( ε 0 ) + Ω ( ξ ) ( ξ s ) Ω ( ξ 0 ) ( ξ s 0 ) + θ ( T T 0 ) ,
where E ( ξ ) , θ and Ω ( ξ ) stand for the Young’s modulus, thermoelastic tensor and phase transformation tensor, respectively. The subscript “0” indicates the initial conditions. In addition, E ( ξ ) and Ω ( ξ ) can be defined as:
E ( ξ ) = E A + ξ ( E M E A ) ,
Ω ( ξ ) = ε L E ( ξ ) ,
where E A and E M are the Young’s modulus of SMA in the austenite and martensite state, respectively; ξ = ξ s + ξ T is the martensite volume fraction which is divided into the stress-induced martensite and temperature-induced martensite; and ε L is the maximum recoverable strain. Detailed kinetic equations of phase transformation are given in Appendix A, and the expressions of elastic modulus of an SMA hybrid lamina are presented in Appendix B.

2.2. Equation of Motion

It is assumed that the considered SMA hybrid composite laminated plate has length a, width b and total thickness h, as shown in Figure 1. The hybrid plate consists of conventional composite lamina and SMA wire-reinforced hybrid composite lamina. Based on FSDT plate theory [41], the displacement field of an SMAHC plate can be expressed as:
u = u 0 ( x , y , t ) + z ϕ x ( x , y , t ) ,
v = v 0 ( x , y , t ) + z ϕ y ( x , y , t ) ,
w = w 0 ( x , y , t ) ,
where (u, v, w) denote the plate displacement vectors in x, y and z directions, and the subscript “0” stands for displacement of the mid-plate components of the plate; ϕ x and ϕ y represent rotation terms around y and x axes.
The strain-displacement relations can be determined as follows:
{ ε x x ε y y γ y z γ x z γ x y } = { ε x x m ε y y m γ y z m γ x z m γ x y m } + z { ε x x b ε y y b γ y z b γ x z b γ x y b } = { u 0 , x v 0 , y w 0 , y + ϕ y w 0 , x + ϕ x u 0 , y + v 0 , x } + { ϕ x , x ϕ y , y 0 0 ϕ x , y + ϕ y , x } ,
where the superscripts “m” and “b” represent the in-plane and out-of-plane terms, and the subscript “,” stands for a differential calculation.
For an SMAHC plate subjected to a uniform temperature rise, the constitutive law of kth lamina of the plate can be expressed as:
{ σ x x σ y y σ z z σ y z σ x z σ x y } k = [ C ¯ 11 C ¯ 12 C ¯ 13 0 0 C ¯ 16 C ¯ 16 C ¯ 22 C ¯ 23 0 0 C ¯ 26 C ¯ 13 C ¯ 23 C ¯ 33 0 0 C ¯ 36 0 0 0 C ¯ 44 C ¯ 45 0 0 0 0 C ¯ 45 C ¯ 55 0 C ¯ 16 C ¯ 26 C ¯ 36 0 0 C ¯ 66 ] k ( { ε x x ε y y ε z z γ y z γ x z γ x y } Δ T { α x x α y y 0 0 0 2 α x y } ) k + V s { σ x x r σ y y r 0 0 0 σ x y r } k
Equation (6) can then be rewritten in a compact form as:
{ σ } k = [ C ¯ ] k { ε Δ T α } k + V s { σ r } k
where [ C ¯ i j ] is the transformed reduced stiffness, { α i j } are the thermal expansion coefficients and { σ i j r } represent temperature and pre-strain value-dependent recovery stress obtained from Equation (1). It should be noted that the constitutive relation shown in Equation (6) is not only applicable to an SMA hybrid layer but also to the conventional composite layers by setting the recovery stress term { σ i j r } equal to zero. The in-plane force, bending moment, transverse force, thermal force and recovery stress resultants of the SMA hybrid plate are defined as:
{ N } = [ N x x N y y N x y ] = h / 2 h / 2 [ σ x x σ y y σ x y ] d z ,
{ M } = [ M x x M y y M x y ] = h / 2 h / 2 z · [ σ x x σ y y σ x y ] d z ,
{ Q } = [ Q x Q y ] = h / 2 h / 2 [ σ x z σ y z ] d z .
Combining the constitutive relations given by Equation (6) with Equation (8) yields:
{ N } = [ A ] { ε m } + [ B ] { ε b } { N T } + { N r } ,
{ M } = [ B ] { ε m } + [ D ] { ε b } { M T } + { M r } ,
{ Q } = [ A ] { ε m } ,
where the extensional stiffness matrix [A], coupling matrix [B] and bending stiffness matrix [D] of the plate are given as follows:
A i j = k = 1 N L [ C ¯ i j ] k ( h k h k 1 ) ,   B i j = 1 2 k = 1 N L [ C ¯ i j ] k ( h k 2 h k 1 2 ) ,   D i j = 1 3 k = 1 N L [ C ¯ i j ] k ( h k 3 h k 1 3 ) .
where NL stands for the number of layers.
{ N T } = k = 1 N L [ C ¯ ] k { α } k Δ T ( h k h k 1 ) ,   { M T } = 1 2 k = 1 N L [ C ¯ ] k { α } k Δ T ( h k 2 h k 1 2 ) ,
{ N r } = k = 1 N L [ C ¯ ] k V s { σ r } k ( h k h k 1 ) , { M r } = 1 2 k = 1 N L [ C ¯ ] k V s { σ r } k ( h k 2 h k 1 2 ) .
Note that the coupling matrix [B] and recovery stress bending resultant M r will not be present for the symmetric plates. The equations of motion for an SMAHC plate can be obtained according to the FSDT in conjunction with Hamilton’s principle. Mathematically, it is given by [42,43] as:
0 T ( δ U + δ W δ K ) d t = 0 ,
where δ U ,   δ W and δ K refer to the virtual elastic potential energy, the virtual work performed by external mechanical and/or thermal loads and the virtual kinetic energy of the SMAHC plate, respectively. Namely, each term can be expressed as:
δ U = A { h 2 h 2 σ i j ( δ ε i j m + z δ ε i j b ) d z } d x d y ,
δ W = ( Ω q z δ w 0 d A + Γ P x d s + Γ P y d s + Γ T x δ w 0 , x d s + Γ T y δ w 0 , y d s ) ,
δ K = Ω k = 1 N L h k ρ k [ ( u ˙ 0 + z ϕ ˙ x ) ( δ u ˙ 0 + z δ ϕ ˙ x ) + ( v ˙ 0 + z ϕ ˙ y ) ( δ v ˙ 0 + z δ ϕ ˙ y ) + w ˙ 0 δ w ˙ 0 ] d z d x d y ,
where q z is the force along the z axis; h k is the thickness of kth layer; ρ k   is the mass density of the kth layer material; and a superposed dot on a variable indicates its time derivative. P x ,   P y ,   T x   and T y are the boundary terms, which are listed in Appendix C.
Then, by integration by parts to weaken the differentiability of u0, v0 and w0, the Euler–Lagrange equations of motion are obtained as below.
δ u 0 : N x x , x + N x y , y = I 0 u ¨ 0 + I 1 ϕ ¨ x , δ v 0 : N x y , x + N y y , y = I 0 v ¨ 0 + I 1 ϕ ¨ y , δ w 0 : Q x z , x + Q y z , y + N x x w 0 , x x + N y y w 0 , y y + 2 N x y w 0 , x y + q z = I 0 w ¨ 0 , δ ϕ x : M x x , x + M x y , y Q x z = I 1 u ¨ 0 + I 2 ϕ ¨ x , δ ϕ y : M x y , x + M y y , y Q y z = I 1 v ¨ 0 + I 2 ϕ ¨ y .  
where the mass moments of inertia are given by:
[ I 0 I 1 I 2 ] = k = 1 N L h k ρ k [ 1 z z 2 ] dz ,

2.3. Finite Element Method—Problem Formulation

It is evident from structure of Equation (15) that the displacement components of each node can be further discretized at kth layer and, correspondingly, used to obtain the required finite element model of the SMAHC plates. The generalized displacements are approximated by using the following interpolations [41]:
u 0 e ( x , y , t ) = j = 1 N e u j e ( t ) ψ j e ( x , y ) , v 0 e ( x , y , t ) = j = 1 N e v j e ( t ) ψ j e ( x , y ) , w 0 e ( x , y , t ) = j = 1 N e w j e ( t ) ψ j e ( x , y ) , ϕ x e ( x , y , t ) = j = 1 N e Φ 1 ( t ) ψ j e ( x , y ) , ϕ y e ( x , y , t ) = j = 1 N e Φ 2 ( t ) ψ j e ( x , y ) .
Here, “e” stands for element, and “ N e ” means the number of nodes in the element.
Substituting Equation (16) for ( u 0 , v 0 , w 0 , ϕ x , ϕ y   ) into the Euler-Lagrange equations (see Equation (14)), the FEM of SMAHC plates based on FSDT can be obtained in the following way:
[ [ M 0 ] 0 0 [ M 1 ] 0 0 [ M 0 ] 0 0 [ M 1 ] 0 0 [ M 0 ] 0 0 [ M 1 ] 0 0 [ M 2 ] 0 0 [ M 1 ] 0 0 [ M 2 ] ] { { u ¨ e } { v ¨ e } { w ¨ e } { Φ ¨ 1 } { Φ ¨ 2 } } + [ [ K 11 ] [ K 12 ] [ K 13 ] [ K 14 ] [ K 15 ] [ K 12 ] T [ K 22 ] [ K 23 ] [ K 24 ] [ K 25 ] [ K 13 ] T [ K 23 ] T [ K 33 ] [ K 34 ] [ K 35 ] [ K 14 ] T [ K 24 ] T [ K 34 ] T [ K 44 ] [ K 45 ] [ K 15 ] T [ K 25 ] T [ K 35 ] T [ K 45 ] T [ K 55 ] ] { { u e } { v e } { w e } { Φ 1 } { Φ 2 } } = [ { F 1 } { F 2 } { F 3 } { F 4 } { F 5 } ] [ { F T 1 } { F T 2 } { 0 } { F T 4 } { F T 5 } ] + [ { F r 1 } { F r 2 } { 0 } { F r 4 } { F r 5 } ]
In the case of the static response analysis, Equation (17) can be reduced as:
[ [ K 11 ] [ K 12 ] [ K 13 ] [ K 14 ] [ K 15 ] [ K 12 ] T [ K 22 ] [ K 23 ] [ K 24 ] [ K 25 ] [ K 13 ] T [ K 23 ] T [ K 33 ] [ K 34 ] [ K 35 ] [ K 14 ] T [ K 24 ] T [ K 34 ] T [ K 44 ] [ K 45 ] [ K 15 ] T [ K 25 ] T [ K 35 ] T [ K 45 ] T [ K 55 ] ] { { u e } { v e } { w e } { Φ 1 } { Φ 2 } } = [ { F 1 } { F 2 } { F 3 } { F 4 } { F 5 } ] [ { F T 1 } { F T 2 } { 0 } { F T 4 } { F T 5 } ] + [ { F r 1 } { F r 2 } { 0 } { F r 4 } { F r 5 } ] .
Finally, in the case of the free vibrations analysis under thermal environment (i.e., natural frequencies), Equation (17) yields:
( [ [ K 11 ] [ K 12 ] [ K 13 ] [ K 14 ] [ K 15 ] [ K 12 ] T [ K 22 ] [ K 23 ] [ K 24 ] [ K 25 ] [ K 13 ] T [ K 23 ] T [ K 33 ] [ K 34 ] [ K 35 ] [ K 14 ] T [ K 24 ] T [ K 34 ] T [ K 44 ] [ K 45 ] [ K 15 ] T [ K 25 ] T [ K 35 ] T [ K 45 ] T [ K 55 ] ] ω 2 [ [ M 0 ] 0 0 [ M 1 ] 0 0 [ M 0 ] 0 0 [ M 1 ] 0 0 [ M 0 ] 0 0 [ M 1 ] 0 0 [ M 2 ] 0 0 [ M 1 ] 0 0 [ M 2 ] ] ) { { u e } { v e } { w e } { Φ 1 } { Φ 2 } } = [ { F r 1 } { F r 2 } { 0 } { F r 4 } { F r 5 } ] [ { F T 1 } { F T 2 } { 0 } { F T 4 } { F T 5 } ] ,
where ω is the natural frequency of free vibration of the SMAHC plate. ( M 0 , M 1 , M 2 ) are the mass matrix, K i j represents the global stiffness matrix and ( F i , F T i , F r i ) are the mechanical force, thermal force, and SMA recovery force, respectively. The detailed expressions of these submatrices are listed in Appendix C.

2.4. Solution Algorithm

To solve the finite element formulation of Equation (17), the Newmark method is applied for the incremental time integration with respect to the SMA phase transformation process. First, we rewrite Equation (17) in a symbolic form as:
[ M e ] { Δ ¨ e ( t ) } + [ K e ] { Δ e ( t ) } = { F e ( t , ξ ) } ,
where Δ e is the generalized element displacement vector, and the superposed dot indicates time derivative. According to Newmark’s time integration scheme [44], the displacement vector and its time derivatives can be expressed as:
{ Δ e } t + 1 = { Δ e } t + Δ t { Δ ˙ e } t + 1 2 Δ t 2 { Δ ¨ e } t + γ ,
{ Δ ˙ e } t + 1 = { Δ ˙ e } t + Δ t { Δ ¨ e } t + α ,
{ Δ ¨ e } t + α = ( 1 α ) { Δ ¨ e } t + α { Δ ¨ e } t + 1 ,
where Δ e is the generalized element displacement vector. α and γ are the stability and accuracy parameters, and in this study, the constant average acceleration scheme ( α = γ = 0.5 ) is taken for time integration.
By using Equation (21), the finite element equation in Equation (20) can be discretized as:
[ K ^ e ] t + 1 { Δ e } t + 1 = { F ^ e } t , t + 1 ,
where:
[ K ^ e ] t + 1 = [ K e ] t + 1 + 4 Δ t 2 [ M e ] t + 1 ,
[ F ^ e ] t , t + 1 = [ F e ] t + 1 + [ M e ] t + 1 ( 4 Δ t 2 { Δ e } t + 4 Δ t { Δ ˙ e } t + { Δ ¨ e } t ) .
At the end of each incremental time step, the velocity and acceleration vectors are updated by using the following equations:
{ Δ ˙ e } t + 1 = { Δ ˙ e } t + Δ t 2 { Δ ¨ e } t + Δ t 2 { Δ ¨ e } t + 1 ,
{ Δ ¨ e } t + 1 = 4 Δ t 2 ( { Δ e } t + 1 { Δ e } t ) 4 Δ t { Δ ˙ e } t { Δ ¨ e } t .
The flow chart of the presented step-by-step solution scheme is shown in Figure 2.

3. Results and Discussion

3.1. Validation of Developed Model

To verify the accuracy and reliability of the proposed method, a verification example of the cantilever SMAHC plate, as shown in Figure 3, is investigated based on the developed finite element code in Matlab. The SMAHC plate consists of four graphite/epoxy plies and one surface-mounted SMAHC layer. The material properties of graphite/epoxy lamina are as follows: E11 = 138 GPa, E22 = E33 = 8.28 GPa, ν12 = ν13 = 0.33, ν23 = 0.37, G12 = G13 = 6.9 GPa, G23 = 8.28 GPa, ρ = 1600 kg/m3, α1 = 0.18 × 10 6 (K) and α2 = α3 = 27.0 × 10 6 (K). The material properties of the SMA layer are listed in Table 1. The geometric dimensions and the loading of the numerical example are shown in Figure 2. The verification computations were carried out for the following three different stacking sequences: case I, [0/0/0/0/0]Gr/E, [SMAHC/0/0/0/0]hybrid; case II, [45/−45/45/−45/45]Gr/E, [SMAHC/−45/45/−45/45]hybrid; and case III, [90/0/90/0/90]Gr/E, [SMAHC/0/90/0/90]hybrid. The SMAHC contains 20% volume fraction of SMA wire, and they are considered to be evenly distributed along the layer width.
Table 2 presents the static deflections and first three natural frequencies of traditional graphite/epoxy laminates and the SMAHC plate, and also the comparison with the results obtained in Ref. [35] based on a three-dimensional shell finite element method. The computations were performed at a constant temperature of 5 °C. It should be noted that the FEM results are obtained with a uniform mesh of 4 × 4 eight-node quadratic element (4Q8) based on FDST. Then, an equal quadratic Lagrange interpolation functions of rectangular elements interpolation is employed for all generalized displacements, so that the number of degrees of freedom per element is 40. For the selected mesh, the integration rule is 3 × 3 Gauss rule.
It is evident that both the static deflection and natural frequency results obtained from the presented method are in good agreement with the previously published results [35]. Comparing the results between the SMAHC plate and graphite/epoxy plate, the SMAHC plate possesses a higher deflection and a lower natural frequency due to the lower stiffness of SMAHC lamina. As expected, the first layup, [0/0/0/0/0]Gr/E, [SMAHC/0/0/0/0]hybrid, has the greatest stiffness. In contrast, the third layup, [45/−45/45/−45/45]Gr/E, [(SMA/E)/−45/45/−45/45]hybrid, shows the smallest natural frequency and the largest static deflection.
Moreover, the mechanical response of the hybrid plate ([(SMAHC)/0/0/0/0]) obtained by the presented method is shown in Figure 4 in terms of the free end force vs. the vertical deflection under a complete loading-unloading cycle. Figure 4 shows that the obtained force-deflection curve shows a typical hysteresis behavior which can be applied to dampen vibrations.

3.2. Validation of Developed Model (Parametric Investigations)

In this section, a detailed parametric study is carried to investigate the influence of various parameters on the thermal vibrations of the SMAHC plate. In this case study, a six-layered hybrid plate of 100 × 100 × 6 mm is simulated. The hybrid plate consists of four glass fiber/epoxy laminas and two surface-mounted NiTi wire-reinforced glass fiber/epoxy hybrid layers. The hybrid plate layup and coordinates are illustrated in Figure 1. The SMA wires are assumed to be embedded along the y direction and uniformly distributed along the layer width. The material properties of glass fiber/epoxy lamina are as follows: E11 = 40 GPa, E22 = E33 = 10 GPa, ν12 = ν13 = 0.25, G12 = G13 = 5 GPa, G23 = 2 GPa, ρ = 1850 kg/m3, α1 = 6.3 × 10 6 (K) and α2 = α3 = 20 × 10 6 (K). We remind the reader that the material properties of the SMA layer are summarized in Table 1.
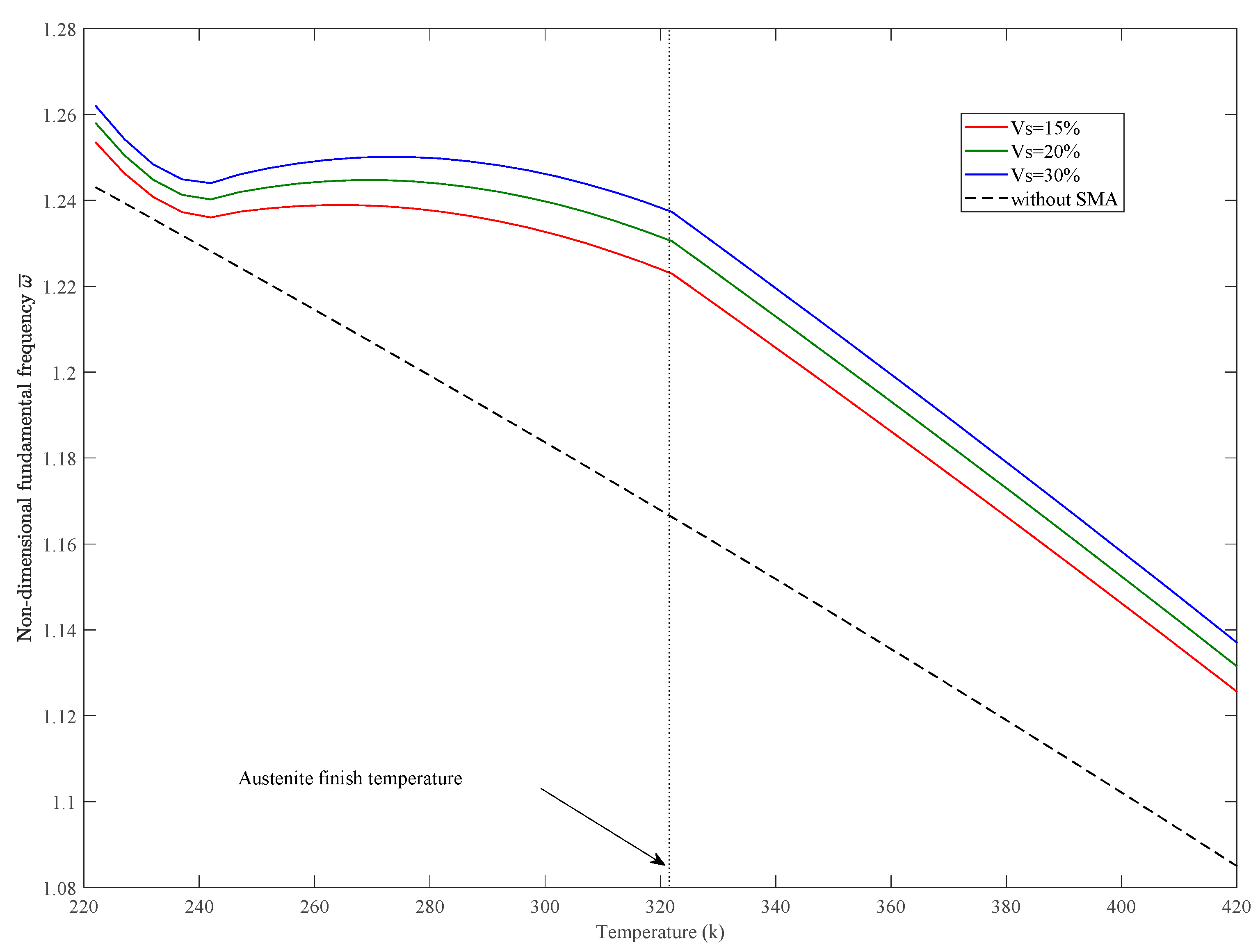
The variations of static deflection and nondimensional fundamental frequencies w ¯ = w ( a b / h ) ( ρ / E 1 ) G l / E 1 / 2   in thermal environments of the SMAHC plate are presented in Figure 5, Figure 6, Figure 7, Figure 8 and Figure 9. It is evident from the presented results that the variations of both the static deflection and natural frequency of the SMAHC plate over a temperature show a non-uniform behavior. Present results show that the stiffness of the SMAHC plate initially decreases, followed by a gradual increase due to the recovery stress of the SMA wires, and finally decreases for all the cases. On the contrary, for the conventional plates without SMA wires, the variation of structural stiffness with temperature shows a uniform decrease. It should be noted that SMAHC plate vibrational behaviors are highly dependent on both the thermal stress induced by thermal expansion and the phase transformations of SMA wires. It can be seen from all plots that when the SMAHC plate has a temperature lower than austenite finish temperature Af, the variations of the vibrational frequencies with temperature are more complicated because the structural stiffness is affected by the thermally induced stress and a phase transformation in SMA. However, at the temperature of Af or above, the entire SMAHC plate becomes austenite, and correspondingly, the thermal stress induced by thermal expansion becomes the only parameter that affects the variation of the natural frequency with temperature.
More specifically, for static response analysis, a uniform load of 1.25 kN is applied on the upper surface of the plate. The effect of temperature and stacking sequence on the plate static deflection is presented in Figure 5. The results show the considerable effect of temperature on the variation of static deflection for both plates (i.e., with and without SMA wires). As evident in Figure 5, the static deflection of the SMAHC plate shows the multistage variation caused by a phase transformation of SMA wires, while the conventional composite plate exhibits only a monotonically increasing behavior with temperature.
Figure 6 presents the influence of SMA wire volume fraction Vs on the fundamental natural frequency under thermal environment together with the results of the conventional glass fiber/epoxy plate without SMA wires. Briefly, by increasing the SMA wire volume fraction, the fundamental frequency is accordingly increased. In addition, the natural frequencies of the SMAHC plate are higher than those obtained for conventional plates.
The effect of SMA wire pre-strain value on thermal vibration is shown in Figure 7. Here, an increased value of pre-strain of SMA wire shifts the natural frequency to higher values. This increase is caused by the higher SMA pre-strain that leads to higher stiffness of SMAHC lamina.
Figure 8 shows the effect of boundary conditions on the natural frequency of the SMAHC plate. It has been determined that the boundary condition has a significant effect on the vibrational behavior of the SMAHC plate. Three edge support conditions are studied in this work—CCCC, CSCS and SSSS—in which C and S represent clamped and simply supported boundary conditions, respectively. As expected, the SMAHC plate with CCCC boundary conditions has a higher natural frequency, and the lowest natural frequencies belong to the plate with SSSS boundary conditions.
Results summarized in Figure 9 present the effect of stacking sequence on the natural frequency of the SMAHC plate. It is observed that SMAHC plates with different stacking sequences have remarkably different variations according to different temperature zones. When the temperature is lower than austenite start temperature As, the [SMAHC/0/0]s layup has the lowest natural frequency. However, the slope of curvature of [SMAHC/0/0]s layup gradually decreases during the austenite phase transformation, which leads to the highest natural frequency (i.e., when temperature is above austenite finish temperature Af). In contrast, the [SMAHC/0/90]s layup varies in the opposite way.

4. Conclusions

In this study, a coupled thermoelastic FEM for static and free vibration analysis of hybrid composite plates with embedded SMA wires was developed. The model was derived based on the FSDT and Brinson’s constitutive model for SMA, which accounts for both the transformation phases of SMA and thermal environment. The results obtained from the proposed model were validated by comparison with predictions from previously published data. Moreover, based on the proposed method, a parametric analysis was investigated, and the following conclusions can be drawn:
  • The results of thermal static deflection and free vibration indicate that by embedding SMA wire into conventional composite laminates, the load-carrying capacity can be significantly increased under a thermal environment. The results can be implemented for the active property tuning (APT) application, where the stiffness of the host structure can be modified by the change in the Young’s modulus of SMA wires with heating.
  • Thermal frequencies of SMAHC plates exhibit a non-uniform behavior, whereas thermal frequencies of composite plates without SMA decrease with increasing temperature.
  • The SMAHC plate has higher structural stiffness, which leads to higher thermal frequencies and lower static deflections compared to the results from conventional composite plates.
  • By increasing the SMA volume fraction and pre-strain, the stiffness of the SMAHC plate is increased accordingly. These results can be employed for the active strain energy tuning (ASET) application, where the generation of high recovery stresses within the host structure can be implemented by preparing initial strains before embedding the SMA wires into a composite medium.
  • SMAHC plates with different stacking sequences exhibit significant thermal vibration behaviors at different temperature zones. For design purposes, to ensure better structural performances in thermal environment, it is recommended to use an SMAHC plate with the proper stacking sequence according to its service temperatures.
In summary, the proposed finite element model is capable of predicting thermal-mechanical coupling behavior of SMAHC plates. However, in order to achieve a more accurate and effective simulation, recommendations for a possible future study are listed as follows:
  • Geometrical nonlinearities should be considered for simulation of large strain recoverability of SMA elements.
  • A more realistic description of the kinematics of composite laminates, such as higher-order shear deformation theory or layer-wise theory, is recommended in order to accurately determine the stress state at the layer level.

Author Contributions

Conceptualization, W.L.; investigations and analysis, W.L.; investigation, W.L.; writing of manuscript, W.L. and I.S.; supervision, I.S.; funding acquisition, I.S. All authors have read and agreed to the published version of the manuscript.

Funding

The current study was supported by the Czech Science Foundation under project no. 22-14387J and by Operational Programme Research, Development and Education financed by European Structural and Investment Funds and the Czech Ministry of Education, Youth and Sports (Project No. SOLID21-CZ.02.1.01/0.0/0.0/16_019/0000760).

Institutional Review Board Statement

Not applicable.

Informed Consent Statement

Not applicable.

Data Availability Statement

Not applicable.

Conflicts of Interest

The authors declare no conflict of interest.

Appendix A

Detailed kinetic equations of phase transformation are expressed by using the empirical cosine model of Brinson (see Ref. [39]), as follows:
(a.)
Phase transformation to martensite: If T > M s   and σ s c r + C M ( T M s ) < σ < σ f c r + C M ( T M f ) then:
ξ s = 1 + ξ s 0 2 + 1 ξ s 0 2 cos { π σ s c r σ f c r ( σ σ f c r C M ( T M s ) ) }
and
ξ T = ξ T 0 ξ T 0 1 ξ s 0 ( ξ s ξ s 0 )
If T < M s   and σ s c r < σ < σ f c r then:
ξ s = 1 + ξ s 0 2 + 1 ξ s 0 2 cos { π σ s c r σ f c r ( σ σ f c r ) }
and
ξ T = ξ T 0 ξ T 0 1 ξ s 0 ( ξ s ξ s 0 ) + Δ T ξ ,
where Δ T ξ = { 1 ξ T 0 2 { cos ( C M ( T M f ) ) + 1 } ,   i f   M f < T < M s   a n d   T < T 0 0 , e l s e
(b.)
Phase transformation to austenite: If T > A s   and C A ( T A f ) < σ < C A ( T A s ) then:
ξ = ξ 0 2 { cos ( π A f A s ( T A s σ C A ) ) + 1 } ,
ξ s = ξ s 0 ξ s 0 ξ 0 ( ξ 0 ξ ) ,
ξ T = ξ T 0 ξ T 0 ξ 0 ( ξ 0 ξ ) .

Appendix B

The thermo-mechanical properties of an SMA wire-reinforced hybrid composite lamina can be determined by using a general micro/macro mixture method. The elastic properties of an SMAHC lamina are given as:
E 11 = E s V s + E m ( 1 V s ) ,
E 22 = E 33 = E m 1 V s ( 1 E m / E s ) ,
G 12 = G 13 = G m 1 V s ( 1 G m / G s ) .
G 23 = G m 1 V s ( 1 G m / G s ) .
The density is given by:
ρ = ρ s V s + ρ m ( 1 V s ) .
The Poisson’s ratio is given by:
ν 12 = ν 13 = ν s V s + ν m ( 1 V s ) ,
ν 23 = ν s V s + ( 1 V s ) ( 2 ν m ν 12 E 22 E 11 ) .
Finally, the coefficient of thermal expansion of SMAHC lamina can be defined as:
α 1 = α s E s V s + α m E m ( 1 V s ) E 11 ,
α 2 = E m E 22 [ α m ( 1 V s ) + α m V s V s ( α m α s ) 1 V s ( 1 E m / E s ) ] .
where the subscript “s” and “m” indicate the SMA material and composite matrix material, respectively.

Appendix C

Expressions of submatrices listed in Equation (19) are given as follows:
[ M 0 M 1 M 2 ] = Ω e [ I 0 I 1 I 2 ] ψ i e ψ j e d x d y ,
[ F 1 F 2 F 4 F 5 ] = Γ e [ P x P y T x T y ] ψ i e d x d y ,
F 3 = Ω e q z ψ i e d x d y   d x d y ,
F T 1 = Γ e ( ψ i , x e N x x T + ψ i , y e N x y T ) d x d y   d x d y ,
F T 2 = Γ e ( ψ i , x e N x y T + ψ i , y e N y y T ) d x d y   d x d y ,
F T 4 = Γ e ( ψ i , x e M x x T + ψ i , y e M x y T ) d x d y   d x d y ,
F T 5 = Γ e ( ψ i , x e M x y T + ψ i , y e M y y T ) d x d y   d x d y ,
F r 1 = Γ e ( ψ i , x e N x x r + ψ i , y e N x y r ) d x d y   d x d y ,
F r 2 = Γ e ( ψ i , x e N x y r + ψ i , y e N y y r ) d x d y   d x d y ,
F r 4 = Γ e ( ψ i , x e M x x r + ψ i , y e M x y r ) d x d y   d x d y ,
F r 5 = Γ e ( ψ i , x e M x y r + ψ i , y e M y y r ) d x d y   d x d y .
Here:
P x = N x x n x + N x y n y P y = N x y n x + N y y n y T x = M x x n x + M x y n y T y = M x y n x + M y y n y
where ( n x ,   n y ) are the direction cosines of the unit normal on the boundary Γ .

References

  1. Jani, J.M.; Leary, M.; Subic, A.; Gibson, M.A. A review of shape memory alloy research, applications and opportunities. Mater. Des. 2014, 56, 1078–1113. [Google Scholar] [CrossRef]
  2. Jani, J.M.; Leary, M.; Subic, A. Shape memory alloys in automotive applications. In Applied Mechanics and Materials; Trans Tech Publications Ltd.: Bach, Switzerland, 2014; Volume 663, pp. 248–253. [Google Scholar]
  3. Abavisani, I.; Rezaifar, O.; Kheyroddin, A. Multifunctional properties of shape memory materials in civil engineering applications: A state-of-the-art review. J. Build Eng. 2021, 44, 102657. [Google Scholar] [CrossRef]
  4. Rogers, C.; Liang, C.; Jia, J. Behavior of shape memory alloy reinforced composite plates. I-Model formulations and control concepts. In Proceedings of the 30th Structures, Structural Dynamics and Materials Conference, Mobile, AL, USA, 3–5 April 1989; p. 1389. [Google Scholar] [CrossRef]
  5. Rogers, C.; Barker, D. Experimental studies of active strain energy tuning of adaptive composites. In Proceedings of the 31st Structures, Structural Dynamics and Materials Conference, Long Beach, CA, USA, 2–4 April 1990; p. 1086. [Google Scholar] [CrossRef]
  6. Epps, J.; Chandra, R. Shape memory alloy actuation for active tuning of composite beams. Smart Mater. Struc. 1997, 6, 251. [Google Scholar] [CrossRef]
  7. Song, G.; Kelly, B.; Agrawal, B.N. Active position control of a shape memory alloy wire actuated composite beam. Smart Mater. Struct. 2000, 9, 711. [Google Scholar] [CrossRef]
  8. Rogers, C.A.; Liang, C.; Jia, J. Structural modification of simply-supported laminated plates using embedded shape memory alloy fibers. Comput. Struct. 1991, 38, 569–580. [Google Scholar] [CrossRef]
  9. Yang, Z.; Deng, T.; Li, J.; Xu, C. Experimental Study on Self-Centering Performance of the SMA Fiber Reinforced ECC Composite Beam. Materials 2022, 15, 3062. [Google Scholar] [CrossRef] [PubMed]
  10. Thompson, S.P.; Loughlan, J. Adaptive post-buckling response of carbon fiber composite plates employing SMA actuators. Compos. Struct. 1997, 38, 667–678. [Google Scholar] [CrossRef]
  11. Kim, E.H.; Lee, I.; Roh, J.H.; Bae, J.S.; Choi, I.H.; Koo, K.N. Effects of shape memory alloys on low velocity impact characteristics of composite plate. Compos. Struct. 2011, 93, 2903–2909. [Google Scholar] [CrossRef]
  12. Kuang, K.S.C.; Quek, S.T.; Cantwell, W.J. Active control of a smart composite with shape memory alloy sheet using a plastic optical fiber sensor. Sens. Act. A Phys. 2013, 201, 182–187. [Google Scholar] [CrossRef]
  13. Abdullah, E.J.; Majid, D.L.; Romli, F.I.; Gaikwad, P.S.; Yuan, L.G.; Harun, N.F. Active control of strain in a composite plate using shape memory alloy actuators. Int. J. Mech. Mater. Des. 2015, 11, 25–39. [Google Scholar] [CrossRef]
  14. Wang, E.; Tian, Y.; Wang, Z.; Jiao, F.; Guo, C.; Jiang, F. A study of shape memory alloy NiTi fiber/plate reinforced (SMAFR/SMAPR) Ti-Al laminated composites. J. Alloys Compd. 2017, 696, 1059–1066. [Google Scholar] [CrossRef]
  15. Liu, Y.; Wang, Z.; Li, H.; Sun, M.; Wang, F.; Chen, B. Influence of embedding SMA fibres and SMA fibre surface modification on the mechanical performance of BFRP composite laminates. Materials 2018, 11, 70. [Google Scholar] [CrossRef] [PubMed]
  16. Thompson, S.P.; Loughlan, J. Enhancing the post-buckling response of a composite panel structure utilising shape memory alloy actuators–a smart structural concept. Compos. Struct. 2001, 51, 21–36. [Google Scholar] [CrossRef]
  17. Birman, V. Stability of functionally graded shape memory alloy sandwich panels. Smart Mater. Struct. 1997, 6, 278. [Google Scholar] [CrossRef]
  18. Li, H.; Wang, Z.; Yu, Z.; Sun, M.; Liu, Y. The low velocity impact response of foam core sandwich panels with a shape memory alloy hybrid face-sheet. Materials 2018, 11, 2076. [Google Scholar] [CrossRef] [PubMed]
  19. Lu, P.; Cui, F.S.; Tan, M.J. A theoretical model for the bending of a laminated beam with SMA fiber embedded layer. Compos. Struct. 2009, 90, 458–464. [Google Scholar] [CrossRef]
  20. Asadi, H.; Bodaghi, M.; Shakeri, M.; Aghdam, M.M. An analytical approach for nonlinear vibration and thermal stability of shape memory alloy hybrid laminated composite beams. Eur. J. Mech. A Solids 2013, 42, 454–468. [Google Scholar] [CrossRef]
  21. Asadi, H.; Eynbeygi, M.; Wang, Q. Nonlinear thermal stability of geometrically imperfect shape memory alloy hybrid laminated composite plates. Smart Mater. Struct. 2014, 23, 075012. [Google Scholar] [CrossRef]
  22. Kabir, M.Z.; Tehrani, B.T. Closed-form solution for thermal, mechanical, and thermo-mechanical buckling and post-buckling of SMA composite plates. Compos. Struct. 2017, 168, 535–548. [Google Scholar] [CrossRef]
  23. Bayat, Y.; EkhteraeiToussi, H. Exact solution of thermal buckling and post buckling of composite and SMA hybrid composite beam by layerwise theory. Aerosp. Sci. Technol. 2017, 67, 484–494. [Google Scholar] [CrossRef]
  24. Fahimi, P.; Eskandari, A.H.; Baghani, M.; Taheri, A. A semi-analytical solution for bending response of SMA composite beams considering SMA asymmetric behavior. Compos. Part B 2019, 163, 622–633. [Google Scholar] [CrossRef]
  25. Khalili, S.M.R.; Dehkordi, M.B.; Carrera, E.; Shariyat, M. Non-linear dynamic analysis of a sandwich beam with pseudoelastic SMA hybrid composite faces based on higher order finite element theory. Compos. Struct. 2013, 96, 243–255. [Google Scholar] [CrossRef]
  26. Tawfik, M.; Ro, J.J.; Mei, C. Thermal post-buckling and aeroelastic behaviour of shape memory alloy reinforced plates. Smart Mater. Struct. 2002, 11, 297. [Google Scholar] [CrossRef]
  27. Kumar, C.N.; Singh, B.N. Thermal buckling and post-buckling of laminated composite plates with SMA fibers using layerwise theory. Int. J. Comput. Methods Eng. Sci. Mech. 2009, 10, 423–429. [Google Scholar] [CrossRef]
  28. Ibrahim, H.H.; Tawfik, M.; Negm, H.M. Thermal buckling and nonlinear flutter behavior of shape memory alloy hybrid composite plates. J. Vib. Control. 2011, 17, 321–333. [Google Scholar] [CrossRef]
  29. Lee, H.J.; Lee, J.J. A numerical analysis of the buckling and postbuckling behavior of laminated composite shells with embedded shape memory alloy wire actuators. Smart Mater. Struct. 2000, 9, 780. [Google Scholar] [CrossRef]
  30. Roh, J.H.; Oh, I.K.; Yang, S.M.; Han, J.H.; Lee, I. Thermal post-buckling analysis of shape memory alloy hybrid composite shell panels. Smart Mater. Struct. 2004, 13, 1337. [Google Scholar] [CrossRef]
  31. Karimiasl, M.; Ebrahimi, F.; Akgöz, B. Buckling and post-buckling responses of smart doubly curved composite shallow shells embedded in SMA fiber under hygro-thermal loading. Compos. Struct. 2019, 223, 110988. [Google Scholar] [CrossRef]
  32. Nejati, M.; Ghasemi-Ghalebahman, A.; Soltanimaleki, A.; Dimitri, R.; Tornabene, F. Thermal vibration analysis of SMA hybrid composite double curved sandwich panels. Compos. Struct. 2019, 224, 111035. [Google Scholar] [CrossRef]
  33. Panda, S.K.; Singh, B.N. Nonlinear finite element analysis of thermal post-buckling vibration of laminated composite shell panel embedded with SMA fibre. Aerosp. Sci. Technol. 2013, 29, 47–57. [Google Scholar] [CrossRef]
  34. Ghomshei, M.M.; Tabandeh, N.; Ghazavi, A.; Gordaninejad, F. Nonlinear transient response of a thick composite beam with shape memory alloy layers. Compos. Part B 2005, 36, 9–24. [Google Scholar] [CrossRef]
  35. Cho, H.K.; Rhee, J. Nonlinear finite element analysis of shape memory alloy (SMA) wire reinforced hybrid laminate composite shells. Int. J. Non-Linear Mech. 2012, 47, 672–678. [Google Scholar] [CrossRef]
  36. Zhang, H.; Zhu, R.; Shi, D.; Wang, Q. A simplified plate theory for vibration analysis of composite laminated sector, annular and circular plate. Thin-Walled Struct. 2019, 143, 106252. [Google Scholar] [CrossRef]
  37. Belardi, V.G.; Fanelli, P.; Vivio, F. On the radial bending of shear-deformable composite circular plates with rectilinear orthotropy. Eur. J. Mech. A/Solids 2021, 86, 104157. [Google Scholar] [CrossRef]
  38. Gao, C.; Pang, F.; Li, H.; Jia, D.; Tang, Y. Steady and transient vibration analysis of uniform and stepped annular/circular plates based on FSDT. Acta Mech. 2022, 233, 1061–1082. [Google Scholar] [CrossRef]
  39. Tabrizikahou, A.; Kuczma, M.; Łasecka-Plura, M. Out-of-Plane Behavior of Masonry Prisms Retrofitted with Shape Memory Alloy Stripes: Numerical and Parametric Analysis. Sensors 2022, 22, 8004. [Google Scholar] [CrossRef]
  40. Brinson, L.C. One-dimensional constitutive behavior of shape memory alloys: Thermomechanical derivation with non-constant material functions and redefined martensite internal variable. J. Intell. Mater. Syst. Struct. 1993, 4, 229–242. [Google Scholar] [CrossRef]
  41. Reddy, J.N. Mechanics of Laminated Composite Plates and Shells: Theory and Analysis; CRC Press: New York, NY, USA, 2003; pp. 132–133. [Google Scholar]
  42. Roodgar Saffari, P.; Sher, W.; Thongchom, C. Size Dependent Buckling Analysis of a FG-CNTRC Microplate of Variable Thickness under Non-Uniform Biaxial Compression. Buildings 2022, 12, 2238. [Google Scholar] [CrossRef]
  43. Ebrahimi-Mamaghani, A.; Forooghi, A.; Sarparast, H.; Alibeigloo, A.; Friswell, M.I. Vibration of viscoelastic axially graded beams with simultaneous axial and spinning motions under an axial load. Appl. Math. Model. 2021, 90, 131–150. [Google Scholar] [CrossRef]
  44. Newmark, N.M. A method of computation for structural dynamics. J. Eng. Mech. Div. 1959, 85, 67–94. [Google Scholar] [CrossRef]
Figure 1. The sketch of the considered SMAHC plate and its coordinate system.
Figure 1. The sketch of the considered SMAHC plate and its coordinate system.
Sensors 23 01344 g001
Figure 2. Solution algorithm for the SMAHC plate.
Figure 2. Solution algorithm for the SMAHC plate.
Sensors 23 01344 g002
Figure 3. Considered geometry, loading and boundary conditions of the SMAHC plate used to validate the developed model.
Figure 3. Considered geometry, loading and boundary conditions of the SMAHC plate used to validate the developed model.
Sensors 23 01344 g003
Figure 4. Tip force vs. vertical deflection of the hybrid plate ([(SMAHC)/0/0/0/0]) during a full loading–unloading cycle.
Figure 4. Tip force vs. vertical deflection of the hybrid plate ([(SMAHC)/0/0/0/0]) during a full loading–unloading cycle.
Sensors 23 01344 g004
Figure 5. Static deflection at the center of the plate vs. temperature, with Vs = 30%, ε = 5%, CCCC boundary condition.
Figure 5. Static deflection at the center of the plate vs. temperature, with Vs = 30%, ε = 5%, CCCC boundary condition.
Sensors 23 01344 g005
Figure 6. Variation of nondimensional fundamental frequency with temperature for different SMA volume fractions Vs, with [SMAHC/0/0/0]s, ε = 5%, CCCC boundary condition.
Figure 6. Variation of nondimensional fundamental frequency with temperature for different SMA volume fractions Vs, with [SMAHC/0/0/0]s, ε = 5%, CCCC boundary condition.
Sensors 23 01344 g006
Figure 7. Variation of nondimensional fundamental frequency with temperature for different SMA pre-strains, with [SMAHC/0/0/0]s, Vs = 15%, CCCC boundary condition.
Figure 7. Variation of nondimensional fundamental frequency with temperature for different SMA pre-strains, with [SMAHC/0/0/0]s, Vs = 15%, CCCC boundary condition.
Sensors 23 01344 g007
Figure 8. Variation of nondimensional fundamental frequency with temperature for different boundary conditions, with [SMAHC/0/0/0]s, Vs = 15%, ε = 5%.
Figure 8. Variation of nondimensional fundamental frequency with temperature for different boundary conditions, with [SMAHC/0/0/0]s, Vs = 15%, ε = 5%.
Sensors 23 01344 g008
Figure 9. Variation of nondimensional fundamental frequency with temperature for different stacking sequences, with Vs = 30%, ε = 5%, CCCC boundary condition.
Figure 9. Variation of nondimensional fundamental frequency with temperature for different stacking sequences, with Vs = 30%, ε = 5%, CCCC boundary condition.
Sensors 23 01344 g009
Table 1. Considered properties of SMA.
Table 1. Considered properties of SMA.
PropertyVariableValue
The Young’s modulus (austenite)EA67 GPa
The Young’s modulus (martensite)EM26.3 GPa
Austenite start temperatureAs34.5 °C
Austenite finish temperatureAf49 °C
Martensite start temperatureMs18.4 °C
Martensite finish temperatureMf9 °C
Critical transformation stress σ s c r , σ f c r 100 MPa, 170 MPa
Slope of martensite limit curveCM8.0 MPa/°C
Slope of austenite limit curveCA13.8 MPa/°C
Maximum transformation strain ε L 0.067
Density ρ s 6648.1 kg/m3
Thermal expansion α A , α M 11 × 10 6 (°C), 6.6 × 10 6 (°C)
Table 2. Comparison of the deflections and natural frequencies of Gr/E and SMAHC plates.
Table 2. Comparison of the deflections and natural frequencies of Gr/E and SMAHC plates.
ConfigurationObtained PropertyGr/E
(Ref. [35]/Present Study)
SMAHC Plate
(Ref. [35]/Present Study)
I. layupDeflection (mm)
Natural frequency (Hz)
37.6/37.465.0/64.7
52.2/52.339.4/39.9
86.4/87.163.2/64.5
231.7/232.8167.2/169.4
II. layupDeflection (mm)
Natural frequency (Hz)
163.7/163.3288.8/288.5
25.7/25.719.3/19.4
123/123.697.5/98.2
157.3/158.9116/117.3
III. layupDeflection (mm)
Natural frequency (Hz)
146.2/146160.9/160.4
26.4/26.925.1/25.4
69.8/70.754.1/55.2
165.5/166.2157.5/159.3
Disclaimer/Publisher’s Note: The statements, opinions and data contained in all publications are solely those of the individual author(s) and contributor(s) and not of MDPI and/or the editor(s). MDPI and/or the editor(s) disclaim responsibility for any injury to people or property resulting from any ideas, methods, instructions or products referred to in the content.

Share and Cite

MDPI and ACS Style

Li, W.; Stachiv, I. Computational Modeling and Parametric Analysis of SMA Hybrid Composite Plates under Thermal Environment. Sensors 2023, 23, 1344. https://doi.org/10.3390/s23031344

AMA Style

Li W, Stachiv I. Computational Modeling and Parametric Analysis of SMA Hybrid Composite Plates under Thermal Environment. Sensors. 2023; 23(3):1344. https://doi.org/10.3390/s23031344

Chicago/Turabian Style

Li, Wei, and Ivo Stachiv. 2023. "Computational Modeling and Parametric Analysis of SMA Hybrid Composite Plates under Thermal Environment" Sensors 23, no. 3: 1344. https://doi.org/10.3390/s23031344

APA Style

Li, W., & Stachiv, I. (2023). Computational Modeling and Parametric Analysis of SMA Hybrid Composite Plates under Thermal Environment. Sensors, 23(3), 1344. https://doi.org/10.3390/s23031344

Note that from the first issue of 2016, this journal uses article numbers instead of page numbers. See further details here.

Article Metrics

Back to TopTop