Abstract
This article describes the design and construction journey of a self-developed unmanned surface vehicle (USV). In order to increase the accessibility and lower the barrier of entry we propose a low-cost (under EUR 1000) approach to the vessel construction with great adaptability and customizability. This design prioritizes minimal power consumption as a key objective. It focuses on elucidating the intricacies of both the design and assembly processes involved in creating an economical USV. Utilizing easily accessible components, the boat outlined in this study has been already participated in the 1st Aegean Ro-boat Race 2023 competition and is tailored for entry into similar robotic competitions. Its primary functionalities encompass autonomous sea navigation coupled with sophisticated collision avoidance capabilities. Finally, we studied reinforcement learning strategies for constructing a robust intelligent controller for the task of USV navigation under disturbances and we show some preliminary simulation results we have obtained.
1. Introduction
As the era of artificial intelligence (AI) continues to impact several sectors of the economy and autonomous technologies continue to mature, a new era of marine industry, maritime innovation and sustainability is dawning. The growing field of small surface vehicle technology promises innovative solutions to revolutionize shipping and transport systems, with extensive research focused on unlocking benefits such as improved safety and efficiency. Within this landscape, autonomous systems have emerged as key elements in transportation infrastructure and the creation of intelligent solutions []. Researchers are increasingly directing their efforts towards developing control techniques, leveraging AI, in pioneering autonomous marine vehicles. The ability of AI to navigate uncertain and highly constrained dynamical systems is crucial, enabling adaptation to environmental changes and noisy conditions, and facilitating the implementation of optimized decisions.
There are plenty of benefits of making surface vehicles unmanned such as shipping flexibility, reducing costs and minimizing the impact, limitation and cost of human operators []. Unmanned surface vehicles (USVs) have been involved in military, research and commercial applications, including surveillance, data collection and sea, surface and space communication hubs [,,,].
However, the majority of USVs are typically large and expensive, as well as being custom-designed and built for their target application and are not generally available for purchase commercially. Existing commercial USVs are expensive and not fully based on open-source hardware, making it difficult to purchase them and to modify their designs and programming to suit various environments. Moreover, there are no available open-source USV platforms that would allow customization for varied purposes. In general, the above factors make the cost of purchasing commercially available USVs prohibitive for many laboratories and researchers.
In the past few years, the price of the components has decreased and microcontrollers, such as Arduino, are easily obtainable, which makes the construction of such vessels more accessible. There were attempts on low-cost USV [], such as the small USV for mapping and monitoring coral presented in []. The cost without the camera is not so different than our proposed vessel but the operation time is limited to approximately 40 min. The use of low-cost components to enhance a manual USV with autonomous functions has also been explored in [] to access the precision for performing bathymetric measurements. Another example of a low-cost approach for bathymetric measurements was completed in []. The aforementioned works utilized ArduPilot Pixhawk 1 and ArduRover 2.43 respectively for navigation purposes. Although the software is open-source, flexible and easy to use, the integration of more advanced sensors and navigation functions are still limited.
In contrast, the USV platform proposed by our team is completely open-source, from hardware to software. Some parts of the platform were 3D-printed and they can be easily modified and upgraded in terms of both design and programming. Our primary goal was to design and build a low-cost USV, where the parts can be sourced from various online and local vendors and can be replaced easily and at a low cost. This facilitates exploration of new scientific avenues and provides a flexible framework for investigating diverse and interesting research projects. Additionally, to build an easy to carry and deploy USV, we based our design on a small and light floating vessel that is widely available and inexpensive to buy. Because of this design choice, the proposed USV is suitable for applications in confined environments, like lakes or ports, where the wind and wave disturbances are limited. Possible applications could be the water quality monitoring, object localization and identification on a lake surface, seabed inspection in ports and marine life monitoring. The development of an USV for the open sea or the ocean is out of the scope of this paper.
Given our primary focus on machine learning, reinforcement learning (RL), control of autonomous marine platforms, and intelligent agents [,,], we have already delved into the study and implementation of ship navigation algorithms utilizing RL within simulated environments [,], and control of autonomous robotic marine platforms [,]. Encouragingly, we have achieved promising results, attaining high accuracy and self-learning capabilities. We aim to continue studying and potentially enhancing these algorithms while operating in real-world settings. Additionally, we aspire to develop tailored intelligent agents to address navigation challenges specific to USVs.
Gathering together all the previous findings, we can emphasize the advantages of the proposed USV platform as follows:
- It is designed with cost-effectiveness in mind, offering a lower initial purchase cost compared to many existing models in the market. Through innovative design features and efficient energy management systems, the proposed USV minimizes operational expenses, resulting in long-term cost savings.
- It has the flexibility to incorporate cutting-edge technologies such as an autonomous navigation system and remote sensing capabilities, offering enhanced situational awareness and mission effectiveness, expanding its applicability to covering multiple needs.
- Although the system has some limitations mostly due to its size, it demonstrates adaptability and reliability across a spectrum of operational scenarios, and it covers the capability to perform significant applications, such as environmental monitoring, water quality and maritime surveillance.
- The proposed USV has lightweight construction materials allowing extended endurance, prolonged missions without the need for frequent refueling or recharging, as well as the easy integration and customization of various sensor systems.
The structure of our manuscript is as follows. Section 2, Section 3 and Section 4 present a meticulous analytical description of the fundamental buildings blocks constituting the proposed USV platform. We delve into comprehensive presentations of each component, clarifying their roles as well as their interactions with the system. Following this, we give details about the procedures required for the assembly and rigorous testing of the platform, ensuring precision and reliability in its construction. Then, Section 5 illustrates the reinforcement earning agent we have created for automatically controlling and navigating the proposed USV system. To showcase the platform’s basic functionalities, Section 6 demonstrates its main capabilities in various simulated and real-world scenarios. In addition, we illustrate the efficiency of the decision support system integrated into the platform, highlighting its role in enhancing the system’s autonomy behavior and adaptability in dynamic marine environments. Finally, Section 7 concludes the manuscript with findings and future directions for further study.
2. Hardware Architecture
This section outlines the hardware and components that were used in the construction of the vessel, starting with a brief outline of the components, and then discusses each of them in detail in the following subsections.
We utilized a small kayak as a base for the floating platform to simplify the building process. Subsequently, we integrated an electric motor for propulsion and mounted a servo for directional control atop it. The propulsion was an electric trolling motor for kayak to skip the waterproofing process for the thruster and simplify the building process even further. Furthermore, the control unit was a microcontroller, specifically an Arduino Mega, chosen for its versatility in communicating with both sensors and actuators. The electronic speed controller for the motor and the servo receive commands from the microcontroller.
2.1. Hull
The hull, or the main body of the vessel, has been selected within the rules of the Ro-boat Race competition which stated that the boats must be under 2.5 m in length. Our primary consideration was ensuring that the vessel was sufficiently robust to withstand the sea and waves while also adhering to the competition’s regulations. After careful consideration, we opted for the Lifetime Wave, a small kayak designed for children, as it met our requirements (see Figure 1). Additionally, this kayak offers ample space to accommodate all the necessary equipment. Table 1 presents the specifications of the selected kayak.

Figure 1.
The vehicle chassis we utilized was a simple yet durable Lifetime Wave kayak, chosen for its affordability and adaptability to our demands.

Table 1.
The specifications of the kayak Lifetime Wave used in this work.
2.2. Propulsion
The propulsion is provided by an electric trolling motor and is normally powered by a 12 V deep cycle battery. The design of such motor is a thruster motor with propeller on a pole that can be attached to the back of a kayak or a small boat. We chose the Haswing W20 trolling motor manufactured by Ya Tai Electric Appliance Co., Ltd. Guangdong, China. for this work shown in Figure 2a, due to its low price and availability.

Figure 2.
Electric parts of the platform concerning propulsion and steering.
The steering is controlled by a high-voltage, hi-speed servo, AGFRC A280BVSW, which is shown in Figure 2b. This servo was provided to us by AGF-RC Electronic Technology Co., Ltd., Guangdong, China. at no cost. It was originally designed for 1/5 scale R/C cars and it was chosen for being waterproof (IP67 certified) and having high torque with immediate response.
The steering range was limited to overall or to each side. The thrust and steering range are depicted in Figure 3. The specifications of the motor and servo can be found in Table 2. By using a single thruster and a servo to propel and steer the vessel we can greatly reduce the power consumption.

Figure 3.
Steering control range of the vessel.

Table 2.
Specifications of the propulsion system, consisting of a Haswing W20 electric trolling motor and AGFRC A280BVSW servo.
2.3. Sensors, Computing Unit and Power
The vessel obtains its position and orientation data from GPS, gyroscope, accelerometer and magnetometer (compass). Arduino was utilized to receive and process the sensor data, which includes GPS position, angular orientation, angular velocity and linear acceleration. In addition to the positioning data, the vessel can also perceive its surroundings using a forward-facing camera, which is connected to the Raspberry Pi for image processing. A radio control transmitter was used to remotely operate the vessel as well as turning the autonomous functions on and off. The overall connection between sensors, computing unit and propulsion is depicted in Figure 4. The sensor unit consisted of a GPS, an integrated IMU sensor and a Micro SD card writer for recording the sensor data. It must be noted that the thruster was an electric DC motor that can be controlled by an electronic speed controller (ESC) from radio control vehicles. This can subsequently be controlled via PWM signal. The steering servo was also a part of radio control vehicle. Once again, this can also be controlled via PWM signal. This was to simplify the autonomous agent to control the vessel as both thruster and steering can be controlled through Arduino as well as the GPIO library on the Raspberry Pi. We chose to utilize one thruster and steering along with a low-powered computing unit in consideration of power consumption. While sacrificing speed and maneuverability, having only one engine reduced the power consumption significantly.

Figure 4.
The connection schematic between sensors (GPS, accelerometer, gyroscope, magnetometer), Arduino, Raspberry Pi, electronic speed controller and servo.
To power the propulsion and computing unit, 4-cell lithium polymer (4S LiPO) batteries were used. Each battery had the nominal voltage of 14.8 V and all batteries were connected in parallel, which allowed us to have different battery configurations between 2 and 4 batteries depending on the required operation time. We chose to increase the battery in pair because of the battery placement in order to maintain the weight distribution. LiPO was chosen due to its low cost, low weight and high energy density (6000 mAh 4S LiPO batteries). The power was provided to the computing unit through a DC-to-DC converter, a step down to 5 V 5 A.
3. Building Process
In this section we discuss the process of converting a kayak into an autonomous vehicle. To achieve this, it was necessary to securely mount the propulsion system on the hull. Additionally, the steering system required conversion from manual lever operation to a servo steering mechanism. Finally, all electronics and batteries needed to be securely attached to the hull with waterproofing measures in place.
3.1. Motor Mounting Solution
The trolling motor, or thruster motor, needed to be mounted on a flat surface. However, the area at the back of our kayak was curved, making it impossible to attach the bracket for the thruster motor. The solution wass to use a 50 × 50 cm Plexiglass sheet with a thickness of 5 mm, securely screwed onto the hull to provide a flat surface for mounting the motor bracket. We then modified the trolling motor mount by sawing off a portion to create mounting points, enabling us to attach it to the Plexiglass sheet. The design of the mounting points and the resulted motor mounting solution can be seen in Figure 5.

Figure 5.
The designs of the motor mounting plate with screw placements template for 50 × 50 cm plexiglass sheet (a) and the final result from the design (b).
3.2. Steering Mechanism
The reason we utilized the original motor mount was to keep its pivot point intact in order to use it as a part of steering mechanism. The original steering mechanism was a shaft with locking collar to stop the motor from dropping down. This shaft can be rotated for steering using the steering handle located on the top, as shown in Figure 2a.
We converted this action from the driver physically moving the handle to using a servo to steer. We started by making the servo mounting bracket to make it sit upright. This is needed in order to hold the steering mechanism down to the plate with absolute rigidity. The picture of the servo bracket is shown in Figure 6.

Figure 6.
Servo mounting bracket (a) for mounting the steering system to the flat surface at the back of the vessel (b).
We applied the steering mechanism using two pull rods (of size M5), which were connected directly from the servo to the motor shaft. The design of the servo arm extension and the steering bracket are depicted in the Figure 7. We found that the Plexiglass or acrylic sheets provided a great solution whenever a flat surface was needed. Furthermore, once the heat was applied, the sheet could be bent to the desired angle. We used this technique for the steering part, as depicted in Figure 8a. It was then placed on the trolling motor shaft. This was later substituted with 3D printing for more durability and ease of construction. We limited the steering range to to prevent the steering mechanism from locking up at the maximum steering angle. With the motor and steering system mounted on the kayak, it was been converted to a remotely operated vehicle. The dimensions of the vessel with its engine are depicted in Figure 8b.

Figure 7.
The designs of the servo arm extension (a) and steering bracket on the motor shaft (b).

Figure 8.
The final version of the steering assembly using ball joints and the dimensions of the vessel.
3.3. Electronics Placement
The electronics and batteries were placed in water-proof boxes mounted along the craft with the consideration of the weight distribution. Their placement is depicted in the Figure 9. The boxes at the front contain batteries (see Figure 9a), while the box shown in Figure 9b contains speed control, microcontroller and sensors. As the batteries constituted the second heaviest component in the vessel, following the motor and steering mechanism, we positioned them at the front to offset the weight of the heavy rear section. Moreover, we drilled several holes on the boxes to thread the power wires in, and then we used hot glue to form the seal around the holes where the wires come out. The fully assembled vessel, along with our team members, is depicted in Figure 10.

Figure 9.
Placing the electronics parts of the vessel.

Figure 10.
The fully assembled USV with our team members.
3.4. Budget
Cost was a significant concern for us, as this project did not receive support from any grants. Instead, funding for the project was provided by our own team members. Additionally, time constraints were a key consideration, necessitating the timely arrival of every component. To optimize our budget, we meticulously selected each component based on its price-to-performance ratio, taking into account factors such as its origin and estimated delivery time.
Our procurement process began by sourcing all the necessary parts from a diverse range of local and overseas vendors. In addition to the hull and propulsion system, mechanical components like ball joints were also essential to complete the build. While the kayak, trolling motor and the electronic speed controller (ESC) could be purchased within Greece, we could not find the battery with high capacity at an affordable price. Furthermore, the ball joints were also not available within Greece, hence these parts were purchased from overseas vendors to keep the spending low.
The waiting time for the parts to arrive varied depending on the vendor. Generally, products from local vendors typically arrived within 3 days, whereas orders from overseas vendors ranged between 12 to 26 days for delivery. The total cost, inclusive of shipping fees, is detailed in Table 3. It is important to note that the cost of the servo is not included in this calculation as it was generously provided to us at no cost. The current market price of the servo stands at EUR 315.86. However, for those aiming to maintain a lower budget, a substitute servo can be acquired for approximately EUR 64.

Table 3.
List of the components and the total budget of the vessel.
4. Software Architecture
The software functionalities of the proposed platform are as follows:
- Autonomous waypoint following using GPS and compass.
- Visual-based obstacle avoidance using camera.
- Remotely operated (teleop) via R/C transmitter.
- Remotely switch between manual control, waypoint following, waypoint following with obstacle avoidance and a function to skip a waypoint in case it is out of reach.
The remote control was a four-channel R/C transmitter. For the teleop function, channel 1 and 2 were used for steering and throttle respectively. channel 3 was used to activate the autonomous waypoint-following algorithm. The next waypoint could be skipped by alternating channel 3 between high and low. Finally, channel 4 was used to activate the visual-based obstacle avoidance. Next, we describe the navigation algorithm for the following waypoints.
6. Experimental Results
The proposed USV and developed algorithms are extensively tested in both simulated and real-world environments. The results are presented and discussed in this section. We aim to showcase the efficacy and adaptability of our approach across various scenarios, comparing its performance in both real-world settings and simulated conditions.
6.1. Real-World Experiments
The primary experimental tests of the proposed platform were conducted in Lake Pamvotis, situated in Ioannina, in north-west Greece. More specifically, the results of our initial tests has proven that the vessel functions properly under calm weather condition. The draft measured from the tests is 8 cm and the top speed recorded from the GPS is 6.4 km/h. It is to be emphasized that the results were obtained on a fresh water lake and under calm weather condition with low wind. A photo of the test environment, in Lake Pamvotis, is shown in Figure 15a. Through the test, we discovered that the battery and electronic compartments were prone to overheating when exposed to direct sunlight. This issue was addressed by implementing heat shields to protect the heat-sensitive areas. Furthermore, the waypoint skipping function proved to be a valuable safety feature which can be served to divert the vessel somewhere else or returning it to the origin point. The main conclusions from these initial trials are the following:

Figure 15.
(a) Trial at the lake Pamvotis, Ioannina. (b) GPS log from the autopilot system test at the lake Pamvotis, Ioannina. On the day of the test there were some pondweed present. Hence, other two waypoints were unreachable. This presented us with the opportunity to test the waypoint skip function.
- The USV was able to follow the waypoints successfully.
- Due to the pondweed presence, some waypoints had to be skipped because they were unreachable. But all the systems worked as intended.
- The achieved top speed is equal to 1.64 m/s (3.19 knots) in autonomous mode and 1.78 m/s (3.46 knots) with teleop.
- The operation time with four batteries was approximately 160 min with enough left to return to base safely.
The GPS log from the test is depicted in the Figure 15b.
Additionally, we participated in the 1st Ro-boat Race (Autonomous Robotic Vessels Competition) aiming to rigorously test the capabilities of our USV under various challenging conditions to assess its performance and reliability. The race took place on 12 July 2023 in Syros, Greece (https://smartmove.aegean.gr/roboat-race/ (accessed on 28 March 2024)), see Figure 16. The competition was divided into three races. The first one was the speed race. Each USV was required to traverse from the starting position then go around other two buoys and back to the starting position to complete a timed lap. The competitors went on the course one at a time. The GPS coordinates of all the buoys were given at the time of the race. We managed to achieve second place in this category. The collected data, during the race, provide us with an insight of the actions and performance of the vessel (see Figure 17). We managed to achieve a top speed of 1.67 m/s or 3.24 knots and the average speed was 1.47 m/s or 2.86 knots with little to no deviation from the shortest path available, which in this case was a straight line.

Figure 16.
(a) Sea trial in Syros, Greece before the race day. (b) Ro-boat race competitors on the race day, 12 July 2023.

Figure 17.
Data collected during the speed race competition: (a) heading error of the vessel, and (b) velocity recorded during the race in m/s.
The second race was the collision avoidance race, where all the competitors were on the course at the same time. The race was between two lines, starting and u-turn points, while the four GPS coordinates were given beforehand. The obstacle buoys were floating randomly between the lines without any prior positioning information. Each competitor had to navigate through the buoys as well as other competitors within the course. The race was one lap from the starting line to the u-turn line and back to the starting line again. The winner was the one that completed the lap the fastest with minimum contact with the obstacles. We took the first place in this category by being the fastest and without making any contact with the obstacles. The performance of this race can be seen in the log depicted in Figure 18. The steering command provided by the collision detection seemed to be erratic in the collected data. Even though the vessel managed to avoid all obstacles, this behavior was not ideal and could be improved further.

Figure 18.
Data collected from the collision avoidance race category: (a) heading error of the vessel, and (b) steering command received by the collision avoidance algorithm.
The final race was the endurance race, where all the competitors were traversing between two buoys. The one that completed the most laps within the time limit would be the winner. In this category, we secured the second position by completing 19 laps within 26 min. In the data provided by log (Figure 19) the vessel managed to traverse between two waypoints repeatedly and at a constant pace. The average velocity was 1.13 m/s or 2.2 knots. This was slower than the speed race because we decreased the maximum throttle output in order to conserve the battery. All the GPS logs from the races are depicted in Figure 20.

Figure 19.
Data collected from the endurance race category: (a) distance between the vessel and the next waypoint, and (b) velocity of the vessel.

Figure 20.
During the 1st Ro-boat race, we collected valuable GPS log data that provide insights into our performance and route throughout the event. The red dots in (a–c) represent the GPS coordinates given by the race organizer. The yellow dots in (b) are the waypoints we entered for the collision avoidance race because the provided GPS coordinates were used as markers for the start/finish and u-turn lines.
More details about the race results and the competition are published on the official website (https://smartmove.aegean.gr/events/1st-aegean-roboat-race/ (accessed on 28 March 2024)). Our final ranking was second place. Additional materials from our participation in this competition, such as videos and photos, can be found in the provided link (https://drive.google.com/drive/folders/18uuBA1z184QwKC_u4UmGBHdoCrk3HvhV?usp=sharing (accessed on 28 March 2024)).
6.2. Simulation Results
We evaluated the performance of the proposed reinforcement learning framework by conducting simulations in an environment closely resembling the one utilized in our previous research []. The simulation incorporates both the kinematic and dynamic model of the USV, along with simulated wind and wind-generated wave disturbances. In this study, we constrained the capabilities of the simulated vessel to closely match those of its real-world counterpart in terms of linear velocity. Subsequently, we replicated the geographic area of the island of Syros, Greece within the simulator, shown in Figure 21. The starting point is in the Ermoupoli’s (capital of Syros island) swimming basin and the goal is at the main port area. The prevailing wind direction is Northeast or 225 degrees.

Figure 21.
Map of the selected area from Syros, Greece complemented with compass angle marker, starting position and goal used in simulated environment.
Experiments were made following two scenarios concerning alternative levels of wind velocity: low-wind condition with wind velocity equal to 4 knots and high-wind condition with 7 knots. The purpose of these experiments was to train the USV to navigate out of the designated swimming area and traverse the open sea to reach a specified goal on the opposite side, all while contending with various environmental disturbances.
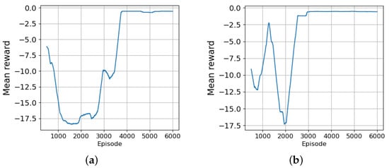
The learning curves of the reward in terms of the mean reward during navigation paths as obtained by the agent are presented in Figure 22; Figure 23 illustrates some typical navigation paths obtained following the learned policy of the RL agent in both experimental scenarios. One can observe that the generated trajectories are optimal in terms of shortened distance, proving not only the ability and efficiency of the trained agent’s policy, but also its fidelity and stability.

Figure 22.
Depiction of the learning curve through the reward in rolling window of 500 episodes. (a) Simulated environment with 4 knots wind velocity. (b) Simulated environment with 7 knots wind velocity.

Figure 23.
Examples of navigation paths obtained from the learned agent using several environmental disturbances. (a) Wind velocity 4 knots, northeast direction. (b) Wind velocity 7 knots, northeast direction.
Additionally, Table 4 presents preliminary findings from the agent operating within our simulated environment, detailing statistics gathered from 1000 executions of the agent’s policy in both scenarios. The results are promising, indicating the effectiveness of our approach in enabling autonomous and secure navigation for the USV across a range of environmental conditions. The observed behavior of the agent showcases its ability for thorough exploration, adaptation to real-time fluctuations in environmental dynamics and avoidance of static obstacles.

Table 4.
Evaluation results (mean values and stds) calculated from 1000 executions of the agent’s learned policies in the simulated environment, considering two levels of wind velocity.
Lastly, it is important to note that in this study, the reinforcement learning (RL) agent has not been deployed onto the physical hardware. This decision stemmed from the absence of a computing system capable of managing the computational demands necessary for the agent’s operation during the competition, which was the primary purpose for constructing this Unmanned Surface Vehicle (USV).
7. Conclusions
This manuscript presents an integrated USV system, meticulously developed within our laboratory at the Department of Computer Science and Engineering, University of Ioannina, Greece. Representing an economical solution, this platform emerges as an ideal instrument for validating concepts and algorithms in marine robotics research. Its innovative design meets the demand for cost-effective marine robotics platforms, finely tuned to the requirements of research endeavors in robotics. Notably, the system’s exceptional flexibility empowers researchers with the ability to swiftly and effortlessly modify, enhance and reprogram its functionalities as required. There is plenty of space left on the hull for future expansion such as lidar and radar as well as vacant pins on the Arduino for more sensors. The USV can also take more payload which can be utilized for more batteries and better computing system for RL agent integration. This adaptability ensures that researchers can seamlessly tailor the platform to suit evolving research needs, allowing for efficient experimentation and innovation in the field of marine robotics. Furthermore, a RL agent has been developed for USV navigation and control under disturbances, which can be integrated into the presented USV. Its simulated performance proves to be reliable with excellent static obstacle avoidance capability. This could be utilized as a marine navigation algorithm for better efficiency and safety.
Finally, many concepts and methodologies employed in the proposed results, such as the reinforcement learning framework and the simulation environment, can be adapted for Networked Marine Surface Vehicles (NMSVs) [,], since the the underlying principles of autonomous navigation and adaptation to environmental disturbances in the case of individual USVs remain relevant. For this purpose, we can extend the proposed framework in building collaborative multi-agent systems with sharing data and coordinating actions to achieve common objectives [,]. Also, we can possibly consider issues about scalability and adaptability for operating in dynamic marine environments, exploring the capability of NMSVs to dynamically adjust their behavior and strategies based on real-time information exchange within the network. The above framework constitutes a possible direction for further research and a way of providing promising results.
Author Contributions
Conceptualization, K.B. and K.V.; methodology, all; software, P.C. and C.S.; validation, P.C. and C.S.; formal analysis, all; investigation, P.C. and C.S.; resources, K.B., P.C. and C.S.; data curation, P.C. and C.S.; writing—original draft preparation, all; writing—review and editing, all; visualization, P.C. and C.S.; supervision, K.B. and K.V. All authors have read and agreed to the published version of the manuscript.
Funding
This research received no external funding.
Institutional Review Board Statement
Not applicable.
Informed Consent Statement
Not applicable.
Data Availability Statement
The Arduino sketch and Python script that contain the codes for Algorithms 1 and 2, along with the logs from Ro-boat race portrayed in Figure 17, Figure 18, Figure 19, can be found in the GitHub repository https://github.com/PiyabhumC/Ro-Boat_2023/ (accessed on 5 March 2024).
Conflicts of Interest
The authors declare no conflicts of interest.
References
- Rahman, A.; Hamid, U.Z.; Chin, T.A. Emerging technologies with disruptive effects: A review. Perintis e-J. 2017, 7, 111–128. [Google Scholar]
- Qiao, Y.; Yin, J.; Wang, W.; Duarte, F.; Yang, J.; Ratti, C. Survey of Deep Learning for Autonomous Surface Vehicles in the Marine Environment. arXiv 2022, arXiv:2210.08487. [Google Scholar] [CrossRef]
- Liu, Z.; Zhang, Y.; Yu, X.; Yuan, C. Unmanned surface vehicles: An overview of developments and challenges. Annu. Rev. Control 2016, 41, 71–93. [Google Scholar] [CrossRef]
- Zhan, W.; Xiao, C.; Wen, Y.; Zhou, C.; Yuan, H.; Xiu, S.; Zhang, Y.; Zou, X.; Liu, X.; Li, Q. Autonomous Visual Perception for Unmanned Surface Vehicle Navigation in an Unknown Environment. Sensors 2019, 19, 2216. [Google Scholar] [CrossRef] [PubMed]
- Bae, I.; Hong, J. Survey on the Developments of Unmanned Marine Vehicles: Intelligence and Cooperation. Sensors 2023, 23, 4643. [Google Scholar] [CrossRef]
- Din, M.U.; Humais, A.; Akram, W.; Alblooshi, M.; Saoud, L.S.; Alblooshi, A.; Seneviratne, L.; Hussain, I. MarineX: Design and Implementation of Unmanned Surface Vessel for Vision Guided Navigation. arXiv 2023, arXiv:2311.17197. [Google Scholar]
- Kolev, G.; Tayarani Bathaie, S.N.; Rybin, V.; Kulagin, M.; Karimov, T. Design of Small Unmanned Surface Vehicle with Autonomous Navigation System. Inventions 2021, 6, 91. [Google Scholar] [CrossRef]
- Raber, G.; Schill, S. Reef Rover: A Low-Cost Small Autonomous Unmanned Surface Vehicle (USV) for Mapping and Monitoring Coral Reefs. Drones 2019, 3, 38. [Google Scholar] [CrossRef]
- Specht, M.; Specht, C.; Lasota, H.; Cywiński, P. Assessment of the Steering Precision of a Hydrographic Unmanned Surface Vessel (USV) along Sounding Profiles Using a Low-Cost Multi-Global Navigation Satellite System (GNSS) Receiver Supported Autopilot. Sensors 2019, 19, 3939. [Google Scholar] [CrossRef]
- Jaroslaw, W.; Kasza, D. Development of low-cost Unmanned Surface Vehicle system for bathymetric measurements. IOP Conf. Ser. Earth Environ. Sci. 2020, 684, 012033. [Google Scholar] [CrossRef]
- Bishop, C.M. Pattern Recognition and Machine Learning; Springer: Berlin/Heidelberg, Germany, 2006. [Google Scholar]
- Goodfellow, I.; Bengio, Y.; Courville, A. Deep Learning; MIT Press: Cambridge, MA, USA, 2016. [Google Scholar]
- Sutton, R.S.; Barto, A.G. Reinforcement Learning: An Introduction; MIT Press: Cambridge, MA, USA, 2018. [Google Scholar]
- Blekas, K.; Vlachos, K. RL-based Path Planning for an Over-actuated Floating Vehicle under Disturbances. Robot. Auton. Syst. 2018, 101, 93–102. [Google Scholar] [CrossRef]
- Chaysri, P.; Spatharis, C.; Blekas, K.; Vlachos, K. Unmanned surface vehicle navigation through generative adversarial imitation learning. Ocean Eng. 2023, 282, 114989. [Google Scholar] [CrossRef]
- Tsopelakos, A.; Vlachos, K.; Papadopoulos, E. Backstepping control with energy reduction for an over-actuated marine platform. In Proceedings of the 2015 IEEE International Conference on Robotics and Automation (ICRA), Seattle, WA, USA, 26–30 May 2015; pp. 553–558. [Google Scholar]
- Vlachos, K.; Papadopoulos, E. Modeling and control of a novel over-actuated marine floating platform. Ocean Eng. 2015, 98, 10–22. [Google Scholar] [CrossRef]
- Gade, K. A Non-singular Horizontal Position Representation. J. Navig. 2010, 63, 395–417. [Google Scholar] [CrossRef]
- Tziortziotis, K.; Tziortziotis, N.; Vlachos, K.; Blekas, K. Motion Planning with Energy Reduction for a Floating Robotic Platform under Disturbances and Measurement Noise using Reinforcement Learning. Int. J. Artif. Intell. Tools 2018, 27, 1860005. [Google Scholar] [CrossRef]
- Gonzalez, A.; Castañeda, H.; Garrido, L. USV Path-Following Control Based On Deep Reinforcement Learning and Adaptive Control. In Proceedings of the Global Oceans 2020: Singapore—U.S. Gulf Coast, Biloxi, MS, USA, 5–30 October 2020. [Google Scholar]
- Lillicrap, T.; Hunt, J.; Pritzel, A.; Heess, N.; Erez, T.; Tassa, Y.; Silver, D.; Wierstra, D. Continuous control with deep reinforcement learning. arXiv 2015, arXiv:1509.02971. [Google Scholar]
- Ma, Y.; Zhao, Y.; Wang, Y.; Gan, L.; Zheng, Y. Collision-avoidance under COLREGS for unmanned surface vehicles via deep reinforcement learning. Marit. Policy Manag. 2020, 47, 665–686. [Google Scholar] [CrossRef]
- Fan, Y.; Sun, Z.; Wang, G. A novel intelligent collision avoidance algorithm based on deep reinforcement learning approach for USV. Ocean Eng. 2023, 287, 115649. [Google Scholar] [CrossRef]
- Qu, X.; Gan, W.; Song, D.; Zhou, L. Pursuit-evasion game strategy of USV based on deep reinforcement learning in complex multi-obstacle environment. Ocean Eng. 2023, 273, 114016. [Google Scholar] [CrossRef]
- Watkins, C.J.; Dayan, P. Q-learning. Mach. Learn. 1992, 8, 279–292. [Google Scholar] [CrossRef]
- Mnih, V.; Badia, A.P.; Mirza, M.; Graves, A.; Harley, T.; Lillicrap, T.P.; Silver, D.; Kavukcuoglu, K. Asynchronous Methods for Deep Reinforcement Learning. In Proceedings of the 33rd International Conference on International Conference on Machine Learning, New York, NY, USA, 20–22 June 2016; Volume 48, pp. 1928–1937. [Google Scholar]
- Schulman, J.; Wolski, F.; Dhariwal, P.; Radford, A.; Klimov, O. Proximal Policy Optimization Algorithms. arXiv 2017, arXiv:1707.06347. [Google Scholar]
- Schulman, J.; Levine, S.; Abbeel, P.; Jordan, M.I.; Moritz, P. Trust Region Policy Optimization. arXiv 2015, arXiv:1502.05477. [Google Scholar]
- Bhatnagar, S.; Sutton, R.; Ghavamzadeh, M.; Lee, M. Natural actor-critic algorithms. Automatica 2009, 45, 2471–2482. [Google Scholar] [CrossRef]
- Haarnoja, T.; Zhou, A.; Abbeel, P.; Levine, S. Soft Actor-Critic: Off-Policy Maximum Entropy Deep Reinforcement Learning with a Stochastic Actor. In Proceedings of the 35th International Conference on Machine Learning, Stockholm, Sweden, 10–15 July 2018. [Google Scholar]
- Haarnoja, T.; Zhou, A.; Hartikainen, K.; Tucker, G.; Ha, S.; Tan, J.; Kumar, V.; Zhu, H.; Gupta, A.; Abbeel, P.; et al. Soft Actor-Critic Algorithms and Applications. arXiv 2018, arXiv:1812.05905. [Google Scholar]
- Gu, N.; Wang, D.; Peng, Z.; Liu, L. Distributed containment maneuvering of uncertain under-actuated unmanned surface vehicles guided by multiple virtual leaders with a formation. Ocean Eng. 2019, 187, 105996. [Google Scholar] [CrossRef]
- Peng, Z.; Wang, J.; Wang, D.; Han, Q.-L. An overview of recent advances in coordinated control of multiple autonomous surface vehicles. IEEE Trans. Ind. Inform. 2021, 17, 732–745. [Google Scholar] [CrossRef]
- Chen, Q.; Ge, M.F.; Liang, C.D.; Gu, Z.W.; Liu, J. Distributed optimization of networked marine surface vehicles: A fixed-time estimator-based approach. Ocean Eng. 2023, 284, 115275. [Google Scholar] [CrossRef]
- Huang, K.-L.; Liang, C.-D.; Ge, M.-F.; Liu, X.; Chen, Q.; Cai, W. Finite-time multi-surrounding control of networked marine surface vehicles: A three-layer-hierarchical approach. Ocean Eng. 2024, 294, 116702. [Google Scholar] [CrossRef]
Disclaimer/Publisher’s Note: The statements, opinions and data contained in all publications are solely those of the individual author(s) and contributor(s) and not of MDPI and/or the editor(s). MDPI and/or the editor(s) disclaim responsibility for any injury to people or property resulting from any ideas, methods, instructions or products referred to in the content. |
© 2024 by the authors. Licensee MDPI, Basel, Switzerland. This article is an open access article distributed under the terms and conditions of the Creative Commons Attribution (CC BY) license (https://creativecommons.org/licenses/by/4.0/).