Experimental and Numerical Investigation of Acoustic Emission Source Localization Using an Enhanced Guided Wave Phased Array Method
Abstract
1. Introduction
2. The Proposed AE Source Localization Method
2.1. Enhanced Sensor Array Layout
2.2. Polar Angle Determination with Automatic Wave Velocity Calculation
2.3. Location Determination
3. Numerical Study
3.1. Numerical Model
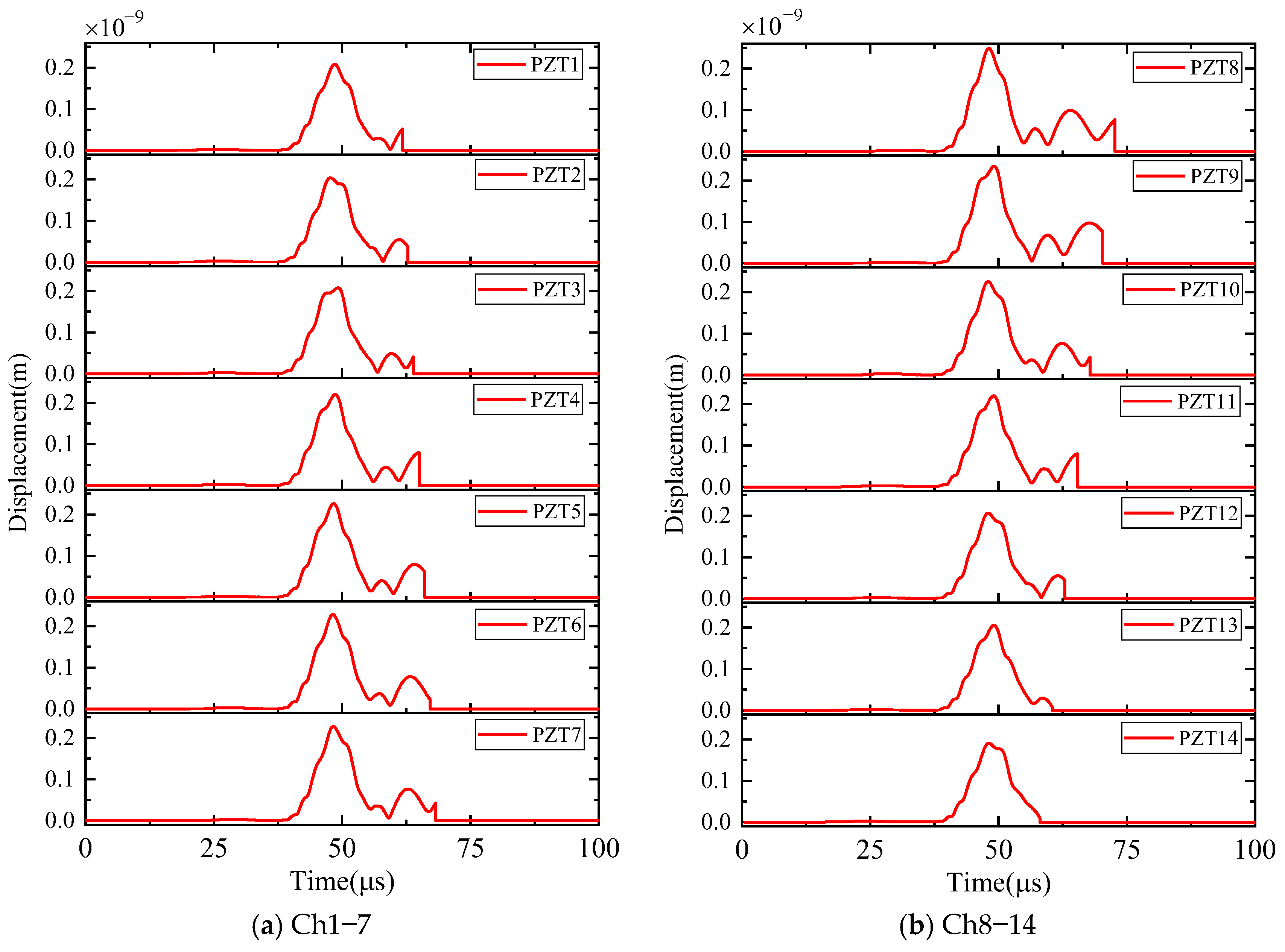
3.2. Numerical Validation
4. Experimental Study
4.1. Experimental Setup
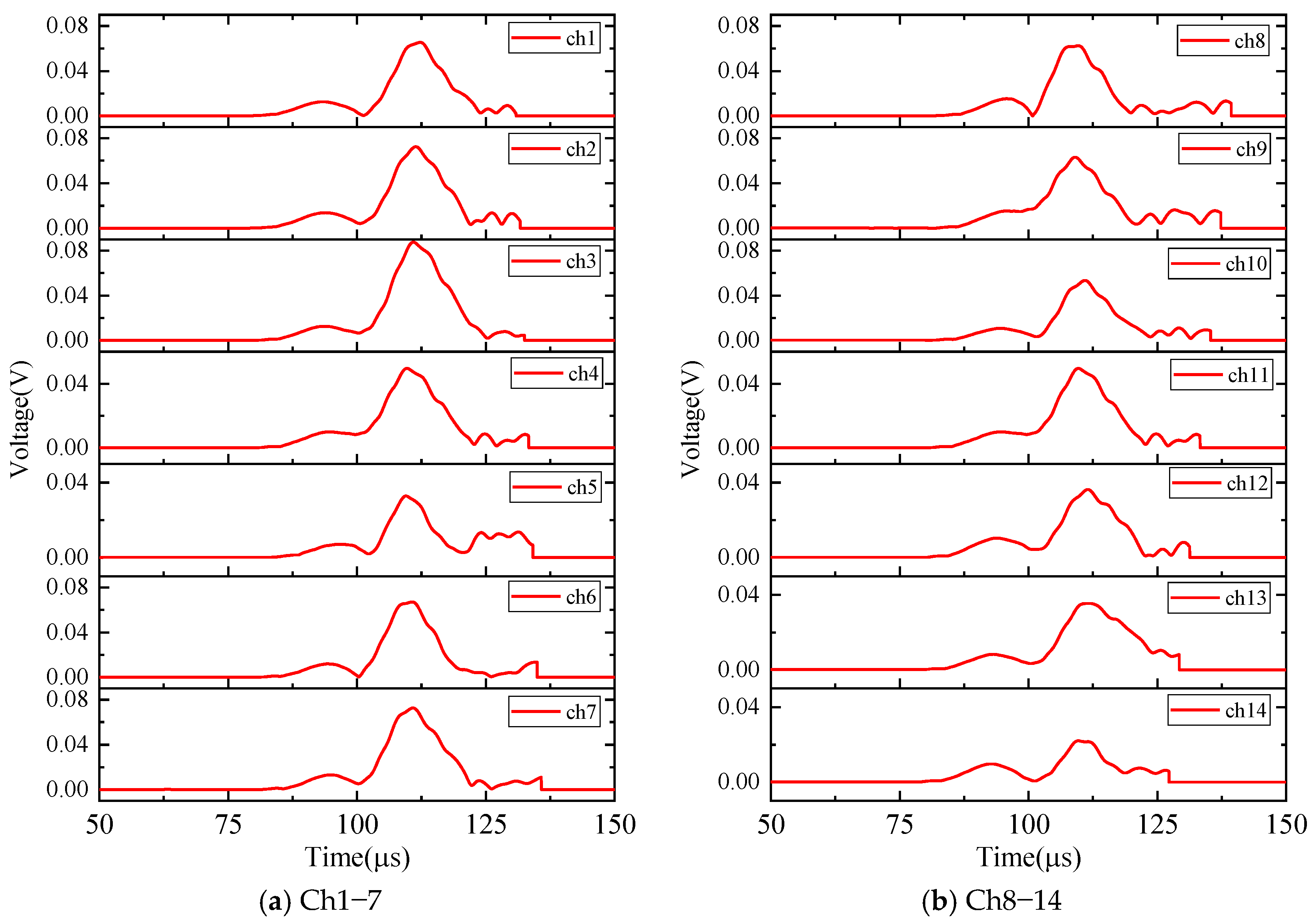
4.2. Experimental Validation
4.2.1. Source Localization Test Using the Proposed Method
4.2.2. Source Localization Test Using the Triangulation Method
4.3. Experimental Application in Stiffened Plate
5. Discussions
5.1. The Influence of Element Number
5.2. The Influence of Time Window Length
6. Conclusions
Author Contributions
Funding
Institutional Review Board Statement
Informed Consent Statement
Data Availability Statement
Conflicts of Interest
References
- Gholizadeh, S.; Leman, Z.; Baharudin, B. A review of the application of acoustic emission technique in engineering. Struct. Eng. Mech. 2015, 54, 1075–1095. [Google Scholar] [CrossRef]
- Builo, S.I. Physical, mechanical and statistical aspects of acoustic emission diagnostics. In Physics and Mechanics of New Materials and Their Applications; Springer: Berlin/Heidelberg, Germany, 2013; pp. 171–183. [Google Scholar]
- Lin, Q.; Zhang, S.; Liu, H.; Shao, Z. Water saturation effects on the fracturing mechanism of sandstone excavating by TBM disc cutters. Arch. Civ. Mech. Eng. 2024, 24, 154. [Google Scholar] [CrossRef]
- Naderloo, M.; Moosavi, M.; Ahmadi, M. Using acoustic emission technique to monitor damage progress around joints in brittle materials. Theor. Appl. Fract. Mec. 2019, 104, 102368. [Google Scholar] [CrossRef]
- Tang, E.L.; Liang, Z.Q.; Wang, L.; Han, Y.F. Experimental investigation on location of debris impact source based on acoustic emission. Adv. Space Res. 2019, 64, 2390–2404. [Google Scholar] [CrossRef]
- Tang, E.; Xie, C.; Guo, K.; Han, Y.; Chen, C.; Chang, M.; He, L. Analysis of space debris impact source localization based on PVDF piezoelectric film. Adv. Space Res. 2023, 71, 390–407. [Google Scholar] [CrossRef]
- Yu, L.; Momeni, S.; Godinez, V.; Giurgiutiu, V. Adaptation of PWAS transducers to acoustic emission sensors. In Nondestructive Characterization for Composite Materials, Aerospace Engineering, Civil Infrastructure, and Homeland Security 2011; SPIE: San Francisco, CA, USA, 2011; Volume 7983, pp. 658–667. [Google Scholar]
- Bhuiyan, Y.; Lin, B.; Giurgiutiu, V. Characterization of piezoelectric wafer active sensor for acoustic emission sensing. Ultrasonics 2019, 92, 35–49. [Google Scholar] [CrossRef]
- Fu, T.; Zhang, Z.; Liu, Y.; Leng, J. Development of an artificial neural network for source localization using a fiber optic acoustic emission sensor array. Struct. Health Monit. 2015, 14, 168–177. [Google Scholar] [CrossRef]
- Sai, Y.; Jiang, M.; Sui, Q.; Lu, S.; Jia, L. Multi-source acoustic emission localization technology research based on FBG sensing network and time reversal focusing imaging. Optik 2016, 127, 493–498. [Google Scholar] [CrossRef]
- Grosse, C.U.; Glaser, S.D.; Krüger, M. Condition monitoring of concrete structures using wireless sensor networks and MEMS. In Smart Structures and Materials 2006: Sensors and Smart Structures Technologies for Civil, Mechanical, and Aerospace Systems; SPIE: San Francisco, CA, USA, 2006; Volume 6174, pp. 407–418. [Google Scholar]
- Grosse, C.U.; Reinhardt, H.W.; Finck, F. Signal-based acoustic emission techniques in civil engineering. J. Mater. Civ. Eng. 2003, 15, 274–279. [Google Scholar] [CrossRef]
- Grosse, C.; Reinhardt, H.; Dahm, T. Localization and classification of fracture types in concrete with quantitative acoustic emission measurement techniques. NDT E Int. 1997, 30, 223–230. [Google Scholar] [CrossRef]
- Hassan, F.; Mahmood, A.K.B.; Yahya, N.; Saboor, A.; Abbas, M.Z.; Khan, Z.; Rimsan, M. State-of-the-art review on the acoustic emission source localization techniques. IEEE Access 2021, 9, 101246–101266. [Google Scholar] [CrossRef]
- Tobias, A. Acoustic-emission source location in two dimensions by an array of three sensors. Non-Destr. Test. 1976, 9, 9–12. [Google Scholar] [CrossRef]
- Chen, C.; Yuan, F.G. Impact source identification in finite isotropic plates using a time-reversal method: Theoretical study. Smart Mater. Struct. 2010, 19, 105028. [Google Scholar] [CrossRef]
- Chen, C.; Li, Y.; Yuan, F.G. Impact source identification in finite isotropic plates using a time-reversal method: Experimental study. Smart Mater. Struct. 2012, 21, 105025. [Google Scholar] [CrossRef]
- Yu, Z.; Sun, J.; Xu, C.; Du, F. Locating of acoustic emission source for stiffened plates based on stepwise time-reversal processing with time-domain spectral finite element simulation. Struct. Health Monit. 2023, 22, 927–947. [Google Scholar] [CrossRef]
- Falcetelli, F.; Romero, M.B.; Pant, S.; Troiani, E.; Martinez, M. Modelling of pencil-lead break acoustic emission sources using the time reversal technique. In Proceedings of the 9th European Workshop on Structural Health Monitoring, Manchester, UK, 10–13 July 2018; pp. 10–13. [Google Scholar]
- Yu, Z.; Xu, C.; Sun, J.; Du, F. Impact localization and force reconstruction for composite plates based on virtual time reversal processing with time-domain spectral finite element method. Struct. Health Monit. 2023, 22, 4149–4170. [Google Scholar] [CrossRef]
- Wilcox, P.D. Omni-directional guided wave transducer arrays for the rapid inspection of large areas of plate structures. IEEE Trans. Ultrason. Ferroelectr. Freq. Control. 2003, 50, 699–709. [Google Scholar] [CrossRef]
- Deutsch, W.A.K.; Cheng, A.; Achenbach, J.D. Self-focusing of Rayleigh waves and Lamb waves with a linear phased array. J. Res. Nondestruct. Eval. 1997, 9, 81–95. [Google Scholar] [CrossRef]
- Schmmer, L.W., Jr. Fundamentals of ultrasonic phased arrays. Mod. Phys. Lett. B 2008, 22, 917–921. [Google Scholar] [CrossRef]
- Yu, L.; Giurgiutiu, V. Design, implementation, and comparison of guided wave phased arrays using embedded piezoelectric wafer active sensors for structural health monitoring. In Smart Structures and Materials 2006: Smart Structures and Integrated Systems; SPIE: San Francisco, CA, USA, 2006; Volume 6173, pp. 481–492. [Google Scholar]
- Yan, F.; Rose, J.L. Guided wave phased array beam steering in composite plates. In Health Monitoring of Structural and Biological Systems 2007; SPIE: San Francisco, CA, USA, 2007; Volume 6532, pp. 142–150. [Google Scholar]
- Giurgiutiu, V.; Bao, J.J. Embedded-ultrasonics structural radar for in situ structural health monitoring of thin-wall structures. Struct. Health Monit. 2004, 3, 121–140. [Google Scholar] [CrossRef]
- Malinowski, P.; Wandowski, T.; Trendafilova, I.; Ostachowicz, W. A phased array-based method for damage detection and localization in thin plates. Struct. Health Monit. 2009, 8, 5–15. [Google Scholar] [CrossRef]
- Wang, Z.; Yuan, S.; Qiu, L.; Liu, B. Omni-directional damage detection and localization with a cruciform piezoelectric ultrasonic phased array. J. Vibroengineering 2015, 17, 2338–2349. [Google Scholar]
- Van Veen, B.D.; Buckley, K.M. Beamforming: A versatile approach to spatial filtering. IEEE Assp Mag. 1988, 5, 4–24. [Google Scholar] [CrossRef] [PubMed]
- McLaskey, G.C.; Glaser, S.D.; Grosse, C.U. Beamforming array techniques for acoustic emission monitoring of large concrete structures. J. Sound Vib. 2010, 329, 2384–2394. [Google Scholar] [CrossRef]
- He, T.; Xiao, D.; Pan, Q.; Liu, X.; Shan, Y. Analysis on accuracy improvement of rotor–stator rubbing localization based on acoustic emission beamforming method. Ultrasonics 2014, 54, 318–329. [Google Scholar] [CrossRef] [PubMed]
- He, T.; Pan, Q.; Liu, Y.; Liu, X.; Hu, D. Near-field beamforming analysis for acoustic emission source localization. Ultrasonics 2012, 52, 587–592. [Google Scholar] [CrossRef] [PubMed]
- Xiao, D.; He, T.; Pan, Q.; Liu, X.; Wang, J.; Shan, Y. A novel acoustic emission beamforming method with two uniform linear arrays on plate-like structures. Ultrasonics 2014, 54, 737–745. [Google Scholar] [CrossRef]
- Nakatani, H.; Kundu, T.; Takeda, N. Improving accuracy of acoustic source localization in anisotropic plates. Ultrasonics 2014, 54, 1776–1788. [Google Scholar] [CrossRef]
- Kundu, T. Acoustic source localization. Ultrasonics 2014, 54, 25–38. [Google Scholar] [CrossRef]
- Kundu, T.; Das, S.; Jata, K.V. Point of impact prediction in isotropic and anisotropic plates from the acoustic emission data. J. Acoust. Soc. Am. 2007, 122, 2057–2066. [Google Scholar] [CrossRef]
- Sen, N.; Kundu, T. A new wave front shape-based approach for acoustic source localization in an anisotropic plate without knowing its material properties. Ultrasonics 2018, 87, 20–32. [Google Scholar] [CrossRef]
- Park, W.H.; Packo, P.; Kundu, T. Acoustic source localization in an anisotropic plate without knowing its material properties–a new approach. Ultrasonics 2017, 79, 9–17. [Google Scholar] [CrossRef] [PubMed]
- Yang, L.; Xu, F. A novel acoustic emission sources localization and identification method in metallic plates based on stacked denoising autoencoders. IEEE Access 2020, 8, 141123–141142. [Google Scholar] [CrossRef]
- Liu, Z.H.; Peng, Q.L.; Li, X.; He, C.F.; Wu, B. Acoustic emission source localization with generalized regression neural network based on time difference mapping method. Exp. Mech. 2020, 60, 679–694. [Google Scholar] [CrossRef]
- Balanis, C.A. Antenna Theory: Analysis and Design; John Wiley & Sons: Hoboken, NJ, USA, 2016. [Google Scholar]
- Vallen System. GmbH, Munich, Germany. 2001. Available online: https://www.vallen.de/Wavelet/index.html (accessed on 3 September 2024).
- Zhang, L.; Yalcinkaya, H.; Ozevin, D. Numerical approach to absolute calibration of piezoelectric acoustic emission sensors using multiphysics simulations. Sens. Actuators A Phys. 2017, 256, 12–23. [Google Scholar] [CrossRef]
- Sause MG, R.; Hamstad, M.A.; Horn, S. Finite element modeling of conical acoustic emission sensors and corresponding experiments. Sens. Actuators A Phys. 2012, 184, 64–71. [Google Scholar] [CrossRef]
- Moser, F.; Jacobs, L.J.; Qu, J. Modeling elastic wave propagation in waveguides with the finite element method. NDT E Int. 1999, 32, 225–234. [Google Scholar] [CrossRef]
- Meeks, C.; Greenhalgh, E.; Falzon, B.G. Stiffener debonding mechanisms in post-buckled CFRP aerospace panels. Compos. Part A Appl. Sci. Manuf. 2005, 36, 934–946. [Google Scholar] [CrossRef]
- Giurgiutiu, V. In-situ phased arrays with piezoelectric wafer active sensors. In Structural Health Monitoring with Piezoelectric Wafer Active Sensors; Elsevier: Amsterdam, The Netherlands, 2014; pp. 503–588. [Google Scholar]





























| Point ID | 1 | 2 | 3 | 4 | 5 | 6 | 7 | 8 | 9 | 10 |
|---|---|---|---|---|---|---|---|---|---|---|
| x (mm) | 122.5 | 172.7 | 51.9 | 176.3 | −200.0 | 129.7 | −51.6 | 212.4 | 69.6 | −43.5 |
| y (mm) | 218.2 | 154.9 | 125.2 | 76.3 | 38.6 | −72.9 | −125.9 | −145.1 | −178.0 | −209.3 |
| Point ID | Nominal Coordinates (mm, °) | Identified Coordinates (mm, °) | Quasi-Velocity (c) (m/s) | Polar Angle Error (θ) (°) | Location Error (φ) (mm) | Percentage Error |
|---|---|---|---|---|---|---|
| 1 | (250.2, 60.7) | (247.3, 58.2) | 3044.4 | 2.5 | 11.2 | 1.6% |
| 2 | (232.0, 138.1) | (235.3, 137.3) | 2953.9 | 0.8 | 4.7 | 0.7% |
| 3 | (135.5, 67.5) | (135.7, 66.1) | 3001.7 | 1.4 | 3.3 | 0.5% |
| 4 | (192.1, 23.4) | (192.4, 20.4) | 2363.2 | 3.0 | 10.1 | 1.4% |
| 5 | (203.7, 169.1) | (197.7, 170.0) | 3806.0 | −0.9 | 6.8 | 1.0% |
| 6 | (148.8, 330.4) | (144.4, 329.6) | 3499.9 | 0.8 | 5.4 | 0.8% |
| 7 | (136.1, 247.5) | (136.8, 246.8) | 3011.5 | 0.7 | 2.3 | 0.3% |
| 8 | (257.2, 325.7) | (262.6, 327.3) | 2987.5 | −1.6 | 9.2 | 1.3% |
| 9 | (191.1, 291.4) | (192.1, 290.0) | 3053.8 | 1.4 | 4.6 | 0.7% |
| 10 | (213.8, 258.3) | (219.5, 260.6) | 2980.2 | −2.3 | 10.5 | 1.5% |
| Wave Velocity (m/s) | AE Source Angular Coordinate (°) | |
|---|---|---|
| Initial step | 2000 | |
| First iterative step | 3647.2 | 66.5 |
| Second iterative step | 3682.3 | 67.8 |
| Third iterative step | 3669.0 | 67.9 |
| Point ID | Nominal Coordinates (mm, °) | Identified Coordinates (mm, °) | Quasi-Velocity (c) (m/s) | Polar Angle Error (θ) (°) | Location Error (φ) (mm) | Percentage Error |
|---|---|---|---|---|---|---|
| 1 | (250.2, 60.7) | (243.0, 58.3) | 3101.1 | 2.4 | 12.6 | 1.8% |
| 2 | (232.0, 138.1) | (226.7, 137.3) | 2850.7 | 0.8 | 6.2 | 0.9% |
| 3 | (135.5, 67.5) | (127.7, 67.9) | 3684.9 | −0.4 | 7.9 | 1.1% |
| 4 | (192.1, 23.4) | (191.2, 24.9) | 3207.3 | −1.5 | 5.1 | 0.7% |
| 5 | (203.7, 169.1) | (198.1, 170.1) | 3300.4 | −1.0 | 6.6 | 0.9% |
| 6 | (148.8, 330.4) | (152.5, 331.4) | 2640.5 | −1.0 | 4.5 | 0.6% |
| 7 | (136.1, 247.5) | (130.4, 249.7) | 3014.0 | −2.2 | 7.7 | 1.1% |
| 8 | (257.2, 325.7) | (249.4, 328.5) | 2801.7 | −2.8 | 15.0 | 2.1% |
| 9 | (191.1, 291.4) | (192.5, 289.0) | 3048.8 | 2.4 | 8.0 | 1.1% |
| 10 | (213.8, 258.3) | (219.0, 263.2) | 2908.6 | −4.9 | 19.4 | 2.7% |
| Point ID | 1 | 2 | 3 | 4 | 5 | 6 | 7 | 8 |
|---|---|---|---|---|---|---|---|---|
| x (mm) | −69.4 | 25.0 | 112.0 | −77.7 | 95.1 | −67.1 | 114.5 | 165.3 |
| y (mm) | 89.1 | 110.4 | 63.4 | 22.5 | −14.8 | −69.7 | −69.7 | −55.7 |
Disclaimer/Publisher’s Note: The statements, opinions and data contained in all publications are solely those of the individual author(s) and contributor(s) and not of MDPI and/or the editor(s). MDPI and/or the editor(s) disclaim responsibility for any injury to people or property resulting from any ideas, methods, instructions or products referred to in the content. |
© 2024 by the authors. Licensee MDPI, Basel, Switzerland. This article is an open access article distributed under the terms and conditions of the Creative Commons Attribution (CC BY) license (https://creativecommons.org/licenses/by/4.0/).
Share and Cite
Sun, J.; Yu, Z.; Xu, C.; Du, F. Experimental and Numerical Investigation of Acoustic Emission Source Localization Using an Enhanced Guided Wave Phased Array Method. Sensors 2024, 24, 5806. https://doi.org/10.3390/s24175806
Sun J, Yu Z, Xu C, Du F. Experimental and Numerical Investigation of Acoustic Emission Source Localization Using an Enhanced Guided Wave Phased Array Method. Sensors. 2024; 24(17):5806. https://doi.org/10.3390/s24175806
Chicago/Turabian StyleSun, Jiaying, Zexing Yu, Chao Xu, and Fei Du. 2024. "Experimental and Numerical Investigation of Acoustic Emission Source Localization Using an Enhanced Guided Wave Phased Array Method" Sensors 24, no. 17: 5806. https://doi.org/10.3390/s24175806
APA StyleSun, J., Yu, Z., Xu, C., & Du, F. (2024). Experimental and Numerical Investigation of Acoustic Emission Source Localization Using an Enhanced Guided Wave Phased Array Method. Sensors, 24(17), 5806. https://doi.org/10.3390/s24175806

