VBCNet: A Hybird Network for Human Activity Recognition
Abstract
1. Introduction
- We propose a hybrid deep learning-based model, VBCNet, which combines the advantages of Vision Transformer in deep feature extraction with the power of BiLSTM in time series analysis to achieve efficient behavioural classification by extracting high-dimensional feature vectors and transforming them into time series features.
- In order to enhance the ability of ViT to acquire local and multi-scale information, we designed a convolutional feed-forward (CF) module to replace the feedforward network.
- Experiments are conducted on the UT-HAR dataset and the Widar3.0 dataset. By comparing the results with those of several models, such as LSTM, ABLSTM, and CNN-BiLSTM, we demonstrate the performance of VBCNet in subtle human behaviour recognition, showing superior performance.
2. Related Work
2.1. CSI Data
2.2. Human Activity Recognition with CSI
3. Method
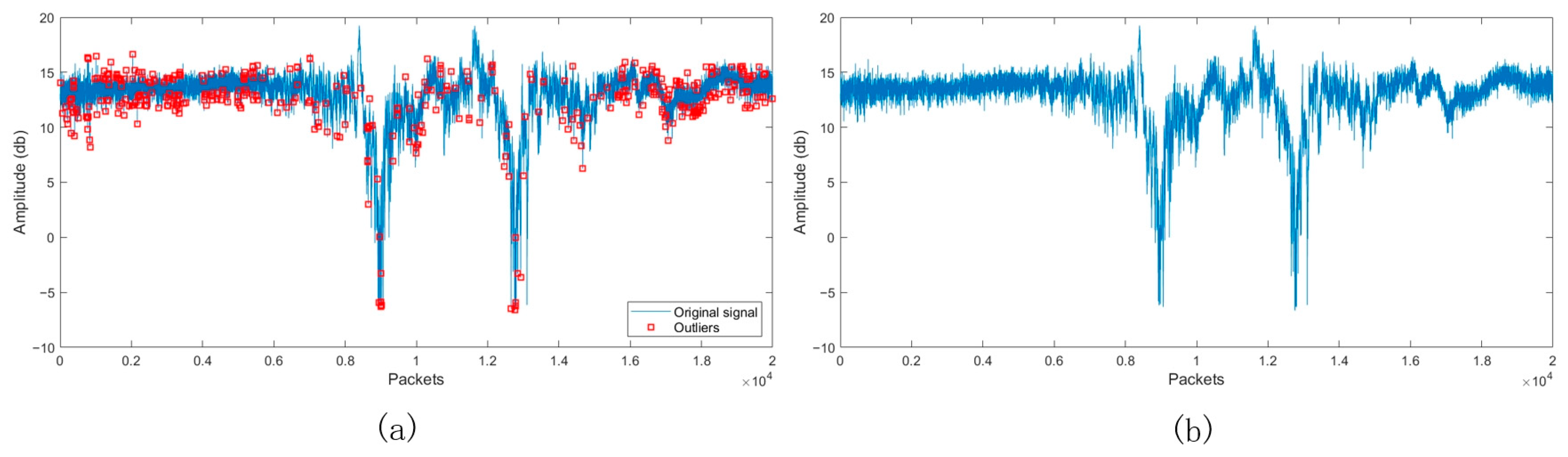
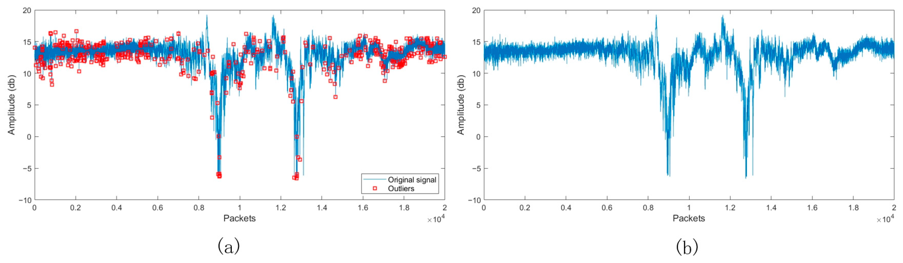
3.1. Data Processing
3.2. VBCNet Network Architecture
3.2.1. Improved Encoder Layer
3.2.2. CF Module
4. Experiments
4.1. Comparison with Other Models
4.1.1. Validation of the UT-HAR Dataset
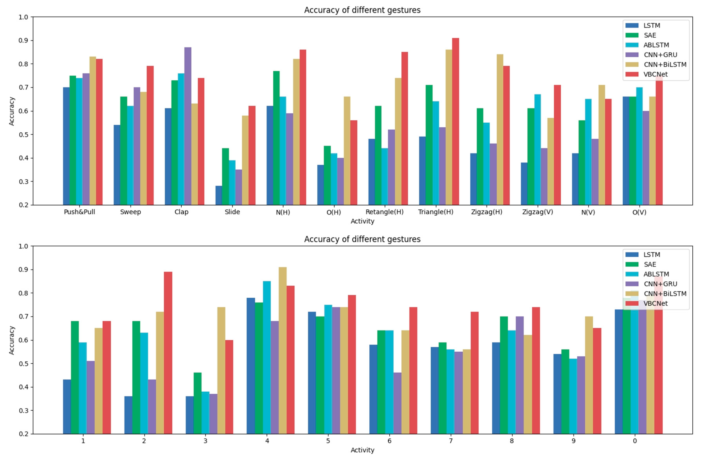
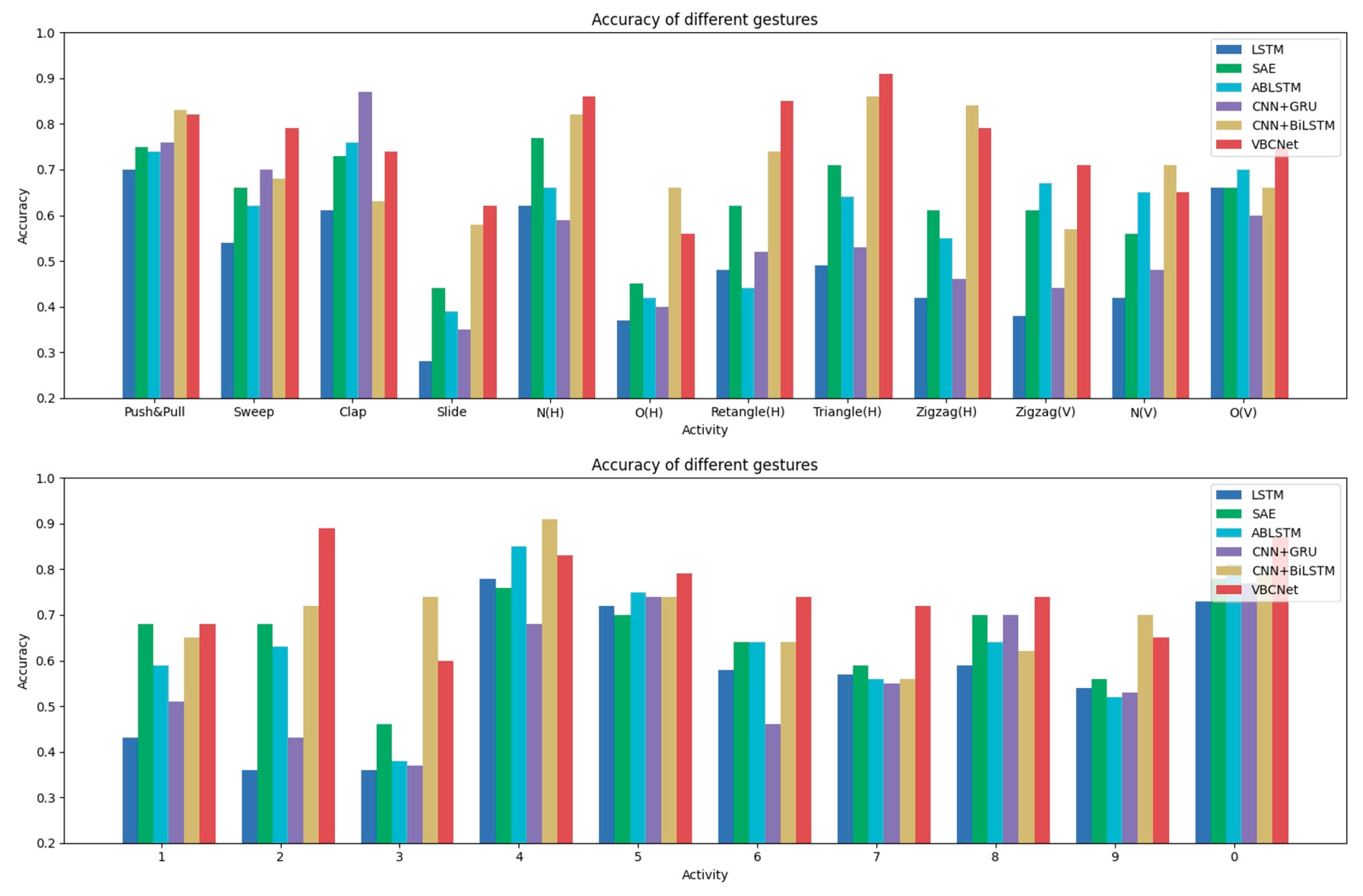
4.1.2. Validation of the Widar3.0 Dataset
4.2. Ablation Study
4.2.1. LSTM Layer on the Model
4.2.2. Impact of CF Module
5. Conclusions
Author Contributions
Funding
Informed Consent Statement
Data Availability Statement
Acknowledgments
Conflicts of Interest
References
- Li, T.; Liu, Q.; Zhou, X. Practical Human Sensing in the Light. In Proceedings of the 14th Annual International Conference on Mobile Systems, Applications, and Services, Singapore, 26–30 June 2016; pp. 71–84. [Google Scholar]
- Nandakumar, R.; Takakuwa, A.; Kohno, T.; Gollakota, S. CovertBand: Activity Information Leakage using Music. Proc. ACM Interact. Mob. Wearable Ubiquitous Technol. 2017, 1, 1–24. [Google Scholar] [CrossRef]
- Tan, X.; Qin, T.; Soong, F.K.; Liu, T.-Y. A Survey on Neural Speech Synthesis. arXiv 2021, arXiv:2106.15561. [Google Scholar] [CrossRef]
- Qian, K.; Wu, C.; Yang, Z.; Liu, Y.; Jamieson, K. Widar: Decimeter-Level Passive Tracking via Velocity Monitoring with Commodity Wi-Fi. In Proceedings of the 18th ACM International Symposium on Mobile Ad Hoc Networking and Computing, Chennai, India, 10–14 July 2017; pp. 1–10. [Google Scholar]
- Gönültaş, E.; Lei, E.; Langerman, J.; Huang, H.; Studer, C. CSI-Based Multi-Antenna and Multi-Point Indoor Positioning Using Probability Fusion. IEEE Trans. Wirel. Commun. 2022, 21, 2162–2176. [Google Scholar] [CrossRef]
- Zampato, S.; Susarlal, P.; Jokinen, M.; Tervo, N.; Leinonen, M.E.; López, M.B.; Juntti, M.; Rossi, M.; Silvén, O. Static Human Position Classification from Indoor mmWave Radio RSSI Measurements. In Proceedings of the 2024 IEEE 4th International Symposium on Joint Communications & Sensing (JC&S), Leuven, Belgium, 19–21 March 2024; pp. 1–6. [Google Scholar]
- Homma, S.; Ida, Y.; Ohira, Y.; Kuroda, S.; Matsumoto, T. Study on Effective CSI Feature Extraction and Deep Learning Based Indoor Positioning Method. In Proceedings of the 2024 IEEE VTS Asia Pacific Wireless Communications Symposium (APWCS), Singapore, 21–23 August 2024; pp. 1–5. [Google Scholar]
- Wang, W.; Liu, A.X.; Shahzad, M.; Ling, K.; Lu, S. Device-Free Human Activity Recognition Using Commercial WiFi Devices. IEEE J. Sel. Areas Commun. 2017, 35, 1118–1131. [Google Scholar] [CrossRef]
- Yang, J.; Zhou, Y.; Huang, H.; Zou, H.; Xie, L. MetaFi: Device-Free Pose Estimation via Commodity WiFi for Metaverse Avatar Simulation. arXiv 2022, arXiv:2208.10414. [Google Scholar] [CrossRef]
- He, Z.; Zhang, X.; Wang, Y.; Lin, Y.; Gui, G.; Gacanin, H. A Robust CSI-Based Wi-Fi Passive Sensing Method Using Attention Mechanism Deep Learning. IEEE Internet Things J. 2023, 10, 17490–17499. [Google Scholar] [CrossRef]
- Zou, H.; Yang, J.; Das, H.P.; Liu, H.; Zhou, Y.; Spanos, C.J. WiFi and Vision Multimodal Learning for Accurate and Robust Device-Free Human Activity Recognition. In Proceedings of the 2019 IEEE/CVF Conference on Computer Vision and Pattern Recognition Workshops (CVPRW), Long Beach, CA, USA, 16–17 June 2019; pp. 426–433. [Google Scholar]
- Nakamura, T.; Bouazizi, M.; Yamamoto, K.; Ohtsuki, T. Wi-Fi-Based Fall Detection Using Spectrogram Image of Channel State Information. IEEE Internet Things J. 2022, 9, 17220–17234. [Google Scholar] [CrossRef]
- Liu, S.; Zhao, Y.; Chen, B. WiCount: A Deep Learning Approach for Crowd Counting Using WiFi Signals. In Proceedings of the 2017 IEEE International Symposium on Parallel and Distributed Processing with Applications and 2017 IEEE International Conference on Ubiquitous Computing and Communications (ISPA/IUCC), Guangzhou, China, 12–15 December 2017; pp. 967–974. [Google Scholar]
- Gu, Y.; Yan, H.; Dong, M.; Wang, M.; Zhang, X.; Liu, Z.; Ren, F. WiONE: One-Shot Learning for Environment-Robust Device-Free User Authentication via Commodity Wi-Fi in Man–Machine System. IEEE Trans. Comput. Soc. Syst. 2021, 8, 630–642. [Google Scholar] [CrossRef]
- Sheng, B.; Xiao, F.; Sha, L.; Sun, L. Deep Spatial–Temporal Model Based Cross-Scene Action Recognition Using Commodity WiFi. IEEE Internet Things J. 2020, 7, 3592–3601. [Google Scholar] [CrossRef]
- Islam, M.S.; Jannat, M.K.A.; Hossain, M.N.; Kim, W.-S.; Lee, S.-W.; Yang, S.-H. STC-NLSTMNet: An Improved Human Activity Recognition Method Using Convolutional Neural Network with NLSTM from WiFi CSI. Sensors 2023, 23, 356. [Google Scholar] [CrossRef]
- Gu, Y.; Li, J. A Novel WiFi Gesture Recognition Method Based on CNN-LSTM and Channel Attention. In Proceedings of the 3rd International Conference on Advanced Information Science and System, Sanya, China, 26–28 November 2022; pp. 1–4. [Google Scholar]
- Dosovitskiy, A.; Beyer, L.; Kolesnikov, A.; Weissenborn, D.; Zhai, X.; Unterthiner, T.; Dehghani, M.; Minderer, M.; Heigold, G.; Gelly, S.; et al. An Image is Worth 16x16 Words: Transformers for Image Recognition at Scale. arXiv 2020, arXiv:2010.11929. [Google Scholar]
- Vaswani, A.; Shazeer, N.; Parmar, N.; Uszkoreit, J.; Jones, L.; Gomez, A.N.; Kaiser, Ł.; Polosukhin, I. Attention is all you need. In Proceedings of the 31st International Conference on Neural Information Processing Systems, Long Beach, California, CA, USA, 4–9 December 2017; pp. 6000–6010. [Google Scholar]
- Zhou, Y.; Huang, H.; Yuan, S.; Zou, H.; Xie, L.; Yang, J. MetaFi++: WiFi-Enabled Transformer-Based Human Pose Estimation for Metaverse Avatar Simulation. IEEE Internet Things J. 2023, 10, 14128–14136. [Google Scholar] [CrossRef]
- Yang, M.; Zhu, H.; Zhu, R.; Wu, F.; Yin, L.; Yang, Y. WiTransformer: A Novel Robust Gesture Recognition Sensing Model with WiFi. Sensors 2023, 23, 2612. [Google Scholar] [CrossRef] [PubMed]
- Yousefi, S.; Narui, H.; Dayal, S.; Ermon, S.; Valaee, S. A Survey on Behavior Recognition Using WiFi Channel State Information. IEEE Commun. Mag. 2017, 55, 98–104. [Google Scholar] [CrossRef]
- Zhang, Y.; Zheng, Y.; Qian, K.; Zhang, G.; Liu, Y.; Wu, C.; Yang, Z. Widar3.0: Zero-Effort Cross-Domain Gesture Recognition With Wi-Fi. IEEE Trans. Pattern Anal. Mach. Intell. 2022, 44, 8671–8688. [Google Scholar] [CrossRef]
- Yang, Z.; Zhou, Z.; Liu, Y. From RSSI to CSI: Indoor localization via channel response. ACM Comput. Surv. 2013, 46, 1–32. [Google Scholar] [CrossRef]
- Li, H.; Yang, W.; Wang, J.; Xu, Y.; Huang, L. WiFinger: Talk to your smart devices with finger-grained gesture. In Proceedings of the 2016 ACM International Joint Conference on Pervasive and Ubiquitous Computing, Heidelberg, Germany, 12–16 September 2016; pp. 250–261. [Google Scholar]
- Xiao, J.; Wu, K.; Yi, Y.; Wang, L.; Ni, L.M. FIMD: Fine-grained Device-free Motion Detection. In Proceedings of the 2012 IEEE 18th International Conference on Parallel and Distributed Systems, Singapore, 17–19 December 2012; pp. 229–235. [Google Scholar]
- Yang, J. Indoor Localization System Using Dual-Frequency Bands and Interpolation Algorithm. IEEE Internet Things J. 2020, 7, 11183–11194. [Google Scholar] [CrossRef]
- Yang, J.; Bai, G.; Lu, J. Indoor Human Detection Based on Convolutional Neural Network and Image-based Processing. In Proceedings of the 2024 6th International Conference on Natural Language Processing (ICNLP), Xi’an, China, 22–24 March 2024; pp. 619–623. [Google Scholar]
- Mao, C.; Tan, C.; Hu, J.; Zheng, M. Time-Frequency Analysis of Variable-Length WiFi CSI Signals for Person Re-Identification. IEEE Signal Process Lett. 2024, 31, 2285–2289. [Google Scholar] [CrossRef]
- Zhou, Y.; Xu, C.; Zhao, L.; Zhu, A.; Hu, F.; Li, Y. CSI-Former: Pay More Attention to Pose Estimation with WiFi. Sensors 2023, 25, 20. [Google Scholar] [CrossRef]
- Zou, H.; Yang, J.; Zhou, Y.; Xie, L.; Spanos, C.J. Robust WiFi-Enabled Device-Free Gesture Recognition via Unsupervised Adversarial Domain Adaptation. In Proceedings of the 2018 27th International Conference on Computer Communication and Networks (ICCCN), Hangzhou, China, 30 July–2 August 2018; pp. 1–8. [Google Scholar]
- Ma, Y.; Zhou, G.; Wang, S.; Zhao, H.; Jung, W. SignFi: Sign Language Recognition Using WiFi. Proc. ACM Interact. Mob. Wearable Ubiquitous Technol. 2018, 2, 1–21. [Google Scholar] [CrossRef]
- Ding, J.; Wang, Y. WiFi CSI-Based Human Activity Recognition Using Deep Recurrent Neural Network. IEEE Access 2019, 7, 174257–174269. [Google Scholar] [CrossRef]
- Graves, A.; Schmidhuber, J. Framewise phoneme classification with bidirectional LSTM and other neural network architectures. Neural Netw. 2005, 18, 602–610. [Google Scholar] [CrossRef] [PubMed]
- Lee, H.; Ahn, C.R.; Choi, N. Exploiting Multiple Receivers for CSI-Based Activity Classification Using A Hybrid CNN-LSTM Model. In Proceedings of the 6th ACM International Conference on Systems for Energy-Efficient Buildings, Cities, and Transportation, New York, NY, USA, 13–14 November 2019; pp. 389–390. [Google Scholar]
- Chen, Z.; Zhang, L.; Jiang, C.; Cao, Z.; Cui, W. WiFi CSI Based Passive Human Activity Recognition Using Attention Based BLSTM. IEEE Trans. Mob. Comput. 2019, 18, 2714–2724. [Google Scholar] [CrossRef]
- Abdel-Basset, M.; Hawash, H.; Moustafa, N.; Mohammad, N. H2HI-Net: A Dual-Branch Network for Recognizing Human-to-Human Interactions From Channel-State Information. IEEE Internet Things J. 2022, 9, 10010–10021. [Google Scholar] [CrossRef]
- Zhang, X.; Wang, J.; Gao, Q.; Ma, X.; Wang, H. Device-free wireless localization and activity recognition with deep learning. In Proceedings of the 2016 IEEE International Conference on Pervasive Computing and Communication Workshops, Sydney, NSW, Australia, 14–18 March 2016; pp. 1–5. [Google Scholar]
- Tang, Z.; Zhu, A.; Wang, Z.; Jiang, K.; Li, Y.; Hu, F. Human Behavior Recognition Based on WiFi Channel State Information. In Proceedings of the 2020 Chinese Automation Congress, Shanghai, China, 6–8 November 2020; pp. 1157–1162. [Google Scholar]
- Varga, D. Critical Analysis of Data Leakage in WiFi CSI-Based Human Action Recognition Using CNNs. Sensors 2024, 24, 3159. [Google Scholar] [CrossRef]
- Varga, D. Exposing Data Leakage in Wi-Fi CSI-Based Human Action Recognition: A Critical Analysis. Sensors 2024, 9, 90. [Google Scholar] [CrossRef]












| Classification Algorithm | Behaviours | Average (%) | ||||||
|---|---|---|---|---|---|---|---|---|
| Lie Down | Fall | Walk | Pick Up | Run | Sit Down | Stand Up | ||
| LSTM | 85.4 | 97.6 | 93.1 | 84.9 | 95.3 | 93.2 | 92.6 | 91.95 |
| SAE | 89.9 | 91.6 | 95.0 | 85.6 | 98.6 | 85.5 | 86.9 | 92.61 |
| ABLSTM | 98.5 | 98.9 | 99.0 | 95.2 | 99.2 | 91.5 | 94.8 | 97.66 |
| CNN-GRU | 97.7 | 97.8 | 98.6 | 98.0 | 99.1 | 89.0 | 96.4 | 97.52 |
| CNN-BiLSTM | 100 | 96.7 | 99.0 | 96.1 | 98.8 | 91.7 | 96.5 | 97.80 |
| VBCNet | 100 | 98.9 | 99.0 | 99.0 | 99.2 | 94.9 | 100 | 98.65 |
| Classification Algorithm | Average Accuracy (%) | Standard Deviation | p-Value with VBCNet |
|---|---|---|---|
| LSTM | 91.51 | 0.7027 | <0.001 |
| SAE | 92.50 | 0.7079 | <0.001 |
| ABLSTM | 97.68 | 0.2746 | 0.003 |
| CNN-GRU | 97.35 | 0.4495 | 0.002 |
| CNN-BiLSTM | 97.62 | 0.4685 | 0.012 |
| VBCNet | 98.49 | 0.2679 | - |
| Classification Algorithm | Average (%) | Training Time (s) of All Training Samples | Testing Time (ms) of Each Testing Sample |
|---|---|---|---|
| LSTM | 62.39 | 7902.49 | 2.58 |
| SAE | 67.80 | 7833.10 | 2.57 |
| ABLSTM | 67.15 | 7839.88 | 2.56 |
| CNN-GRU | 64.13 | 7984.52 | 2.63 |
| CNN-BiLSTM | 71.40 | 8024.32 | 2.66 |
| VBCNet | 77.92 | 7755.91 | 2.53 |
| Molel | Accuracy (%) |
|---|---|
| ViT | 96.38 |
| LSTM | 92.61 |
| BiLSTM | 93.25 |
| ViT + LSTM Layer | 97.05 |
| ViT + BiLSTM Layer | 97.66 |
| Model Structure | CF | LSTM | BiLSTm | Accuracy (%) |
|---|---|---|---|---|
| ViT | - | - | - | 96.38 |
| ViT + CF | √ | - | - | 96.85 |
| ViT + CF + LSTM | √ | √ | - | 98.34 |
| ViT + CF + BiLSTM | √ | - | √ | 98.65 |
| First Convolutional Layer Kernel_Size | Second Convolutional Layer Kernel_Size | Third Convolutional Layer Kernel_Size | Accuracy (%) |
|---|---|---|---|
| 3 | 5 | 7 | 98.33 |
| 3 | - | - | 97.44 |
| - | 5 | - | 98.05 |
| - | - | 7 | 97.85 |
| 3 | 5 | - | 97.87 |
| 3 | - | 7 | 97.74 |
| - | 5 | 7 | 98.40 |
| 3 | 3 | - | 98.65 |
| 5 | 5 | - | 98.25 |
| - | 7 | 7 | 98.07 |
| 3 | 3 | 3 | 97.33 |
| 5 | 5 | 5 | 97.85 |
| 7 | 7 | 7 | 97.58 |
Disclaimer/Publisher’s Note: The statements, opinions and data contained in all publications are solely those of the individual author(s) and contributor(s) and not of MDPI and/or the editor(s). MDPI and/or the editor(s) disclaim responsibility for any injury to people or property resulting from any ideas, methods, instructions or products referred to in the content. |
© 2024 by the authors. Licensee MDPI, Basel, Switzerland. This article is an open access article distributed under the terms and conditions of the Creative Commons Attribution (CC BY) license (https://creativecommons.org/licenses/by/4.0/).
Share and Cite
Ge, F.; Dai, Z.; Yang, Z.; Wu, F.; Tan, L. VBCNet: A Hybird Network for Human Activity Recognition. Sensors 2024, 24, 7793. https://doi.org/10.3390/s24237793
Ge F, Dai Z, Yang Z, Wu F, Tan L. VBCNet: A Hybird Network for Human Activity Recognition. Sensors. 2024; 24(23):7793. https://doi.org/10.3390/s24237793
Chicago/Turabian StyleGe, Fei, Zhenyang Dai, Zhimin Yang, Fei Wu, and Liansheng Tan. 2024. "VBCNet: A Hybird Network for Human Activity Recognition" Sensors 24, no. 23: 7793. https://doi.org/10.3390/s24237793
APA StyleGe, F., Dai, Z., Yang, Z., Wu, F., & Tan, L. (2024). VBCNet: A Hybird Network for Human Activity Recognition. Sensors, 24(23), 7793. https://doi.org/10.3390/s24237793

