Virtual Environment for Rehabilitation of Upper Distal Limb Using a Haptic Device with Adaptive Impedance Control and Neural Compensation: A Preliminary Proposal
Abstract
1. Introduction
2. Materials and Methods
2.1. Rehabilitation Exercise
2.2. Virtual Environment
2.3. Changes to the Environment
2.4. Kinematic Model
2.5. Dynamic Model
3. Control
3.1. Impedance Control
3.2. Stability Proof
4. Results
4.1. Adaptive Control Simulation
4.2. Preliminary Tests
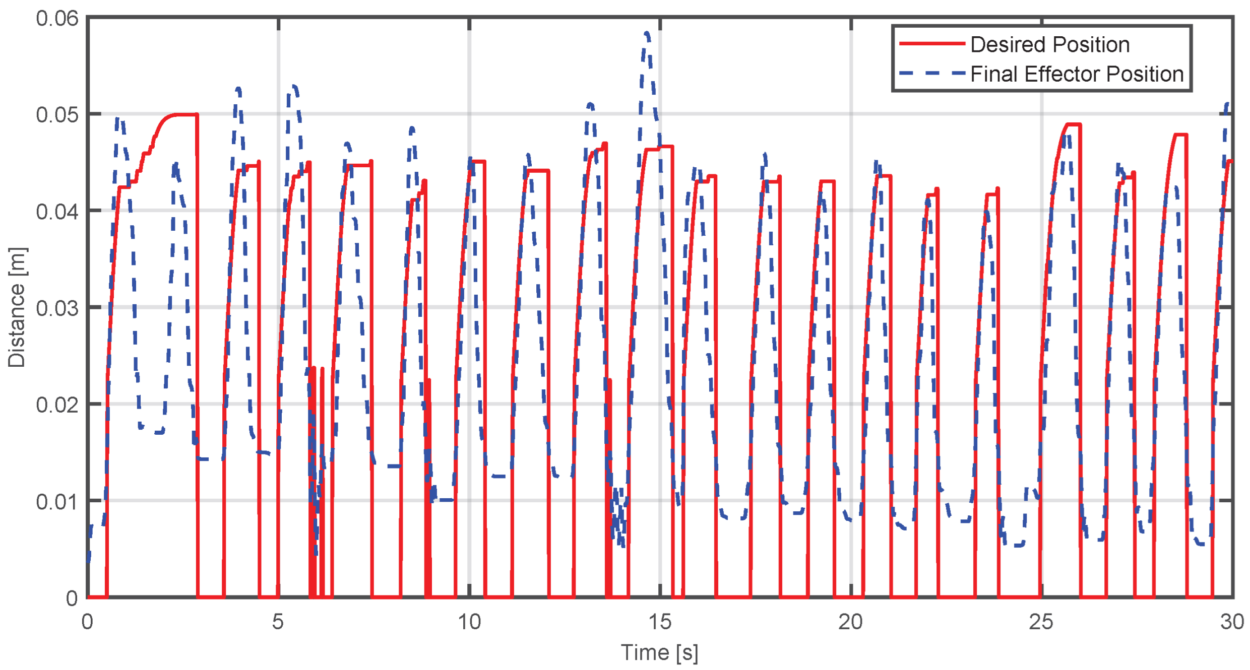
4.3. Experimental Results
5. Conclusions
Author Contributions
Funding
Institutional Review Board Statement
Informed Consent Statement
Data Availability Statement
Conflicts of Interest
References
- Instituto Mexicano del Seguro Social. Vigilancia y Prevención Secundaria de la Enfermedad Vascular Cerebral en el Primer Nivel de Atención; Guía de Práctica Clínica, Actualización 2025; Instituto Mexicano del Seguro Social: Cuauhtémoc, Mexico, 2015. [Google Scholar]
- Pacheco, R.V.; Ángel Gamero García, M.; Álvarez, F.M.; Cabrales, A.R.; Palacios, C.S.; Maraver, P.P. Manual de Fisioterapia Para Pacientes Con Ictus; Guía Para la Rehabilitación en Pacientes Con Enfermedad Cerebrovascular; ICTUS-Sevilla: Sevilla, Spain, 2020. [Google Scholar]
- Rendón, J.F.G.; Moreno-Arango, J.D.; Medina-Salcedo, J.M.; Becerra-Velásquez, J.; Gil-Henao, G.A.; Gil-Guerrero, M.A. Rehabilitación robótica en espasticidad de mano y muñeca. Rev. Colomb. Med. Fis. Rehabil. 2020, 30, 103–115. [Google Scholar] [CrossRef]
- Calle-Sigüencia, J.; Ávila Cárdenas, P. Desing of Two Degrees of Freedom Wrist Rehabilitation Device. In Proceedings of the 2018 IEEE ANDESCON, Santiago de Cali, Colombia, 22–24 August 2018; pp. 1–5. [Google Scholar] [CrossRef]
- Marlon, M.B.; Omar, B.A.C.; Aracely, M.M.A.; Guadalupe, M.T.E.; David, C.S.; Luis, H.A.J. Desarrollo de dispositivos de rehabilitación para discapacidad motriz centrados en el usuario. Acta Univ. 2023, 33, 1516–1523. [Google Scholar] [CrossRef]
- Moya, R.; Magal-Royo, T. Diseño y prototipado de un dispositivo de rehabilitación para la artritis reumatoide de mano. Tsantsa Rev. Investig. ArtíSticas 2019, 7, 233–240. [Google Scholar]
- Bowers, M.; Goldfarb, N.; Jagetia, A.; Khajuriwala, R.; Kumar, A.; Lam, B.; Shah, N. Design of a Low Cost Robotic System to Aid in the Rehabilitation of Stroke Patients. 2018. Available online: https://rkhajuriwala.github.io/assets/documents/design-low-cost.pdf (accessed on 1 June 2025).
- Ceballos, E.; Díaz-Rodriguez, M.; Paredes, P.C.; Vargas, P.C. Desarrollo de un Robot de Rehabilitación pasiva para la articulación de la muñeca mediante la implementación de un microcontrolador Arduino UNO. Rev. UIS Ing. 2017, 16, 57–67. [Google Scholar] [CrossRef][Green Version]
- Sivan, M.; Gallagher, J.; Makower, S.; Keeling, D.; Bhakta, B.; O’Connor, R.J.; Levesley, M. Home-based Computer Assisted Arm Rehabilitation (hCAAR) robotic device for upper limb exercise after stroke: Results of a feasibility study in home setting. J. Neuroeng. Rehabil. 2014, 11, 163. [Google Scholar] [CrossRef] [PubMed]
- Brackenridge, J.; Bradnam, L.V.; Lennon, S.; J. Costi, J.; A. Hobbs, D. A Review of Rehabilitation Devices to Promote Upper Limb Function Following Stroke. Neurosci. Biomed. Eng. 2016, 4, 25–42. [Google Scholar] [CrossRef]
- Falzarano, V.; Marini, F.; Morasso, P.; Zenzeri, J. Devices and Protocols for Upper Limb Robot-Assisted Rehabilitation of Children with Neuromotor Disorders. Appl. Sci. 2019, 9, 2689. [Google Scholar] [CrossRef]
- Iglesias, A.; Fernández, F.; Pulido, J.C.; Díaz, C.; Qbilat, M.; Pavel, A. Accessibility Evaluation of an Assistive Social Robotic Platform for Rehabilitation and Its Improvement by Means of Haptic Devices. Procedia Comput. Sci. 2024, 239, 1516–1523. [Google Scholar] [CrossRef]
- Mejía, J.A.; Hernández, G.; Toledo, C.; Mercado, J.; Vera, A.; Leija, L.; Gutiérrez, J. Upper Limb Rehabilitation Therapies Based in Videogames Technology Review. In Proceedings of the 2019 Global Medical Engineering Physics Exchanges/Pan American Health Care Exchanges (GMEPE/PAHCE), Buenos Aires, Argentina, 26–31 March 2019; pp. 1–5. [Google Scholar] [CrossRef]
- Gaggioli, A.; Meneghini, A.; Pigatto, M.; Pozzato, I.; Greggio, G.; Morganti, F.; Riva, G. Computer-enhanced mental practice in upper-limb rehabilitation after cerebrovascular accident: A case series study. In Proceedings of the 2007 Virtual Rehabilitation, Venice, Italy, 27–29 September 2007; pp. 151–154. [Google Scholar] [CrossRef]
- Escobar Valencia, D.; Vivas Albán, O.A. Sistemas hápticos: Una revisión. J. Cienc. Ing. 2018, 10, 47–54. [Google Scholar]
- Dreifaldt, U.; Lövquist, E. The Construction of a Haptic Application in a Virtual Environment as a Post Stroke Arm Rehabilitation Exercise. Master’s Thesis, Linköping University, Linköping, Sweden, 2006. [Google Scholar]
- Kabir, R.; Sunny, M.S.H.; Ahmed, H.U.; Rahman, M.H. Hand Rehabilitation Devices: A Comprehensive Systematic Review. Micromachines 2022, 13, 1033. [Google Scholar] [CrossRef] [PubMed]
- Maciejasz, P.; Eschweiler, J.; Gerlach-Hahn, K.; Jansen-Troy, A.; Leonhardt, S. A survey on robotic devices for upper limb rehabilitation. J. Neuroeng. Rehabil. 2014, 11, 3. [Google Scholar] [CrossRef] [PubMed]
- Frisoli, A.; Borelli, L.; Montagner, A.; Marcheschi, S.; Procopio, C.; Salsedo, F.; Bergamasco, M.; Carboncini, M.C.; Tolaini, M.; Rossi, B. Arm rehabilitation with a robotic exoskeleleton in Virtual Reality. In Proceedings of the 2007 IEEE 10th International Conference on Rehabilitation Robotics, Noordwijk, The Netherlands, 13–15 June 2007; pp. 631–642. [Google Scholar] [CrossRef]
- Zhang, L.Q.; Park, H.S.; Ren, Y. Developing an Intelligent Robotic Arm for Stroke Rehabilitation. In Proceedings of the 2007 IEEE 10th International Conference on Rehabilitation Robotics, Noordwijk, The Netherlands, 13–15 June 2007; pp. 984–993. [Google Scholar] [CrossRef]
- Lu, Y.; Chang, Z.; Lu, Y.; Wang, Y. Development and kinematics/statics analysis of rigid-flexible-soft hybrid finger mechanism with standard force sensor. Robot. Comput.-Integr. Manuf. 2021, 67, 101978. [Google Scholar] [CrossRef]
- Micera, S.; Carrozza, M.C.; Guglielmelli, E.; Cappiello, G.; Zaccone, F.; Freschi, C.; Colombo, R.; Mazzone, A.; Delconte, C.; Pisano, F.; et al. A simple robotic system for neurorehabilitation. Auton. Robot. 2005, 19, 271–284. [Google Scholar] [CrossRef]
- Wang, D.; Guo, Y.; Liu, S.; Zhang, Y.; Xu, W.; Xiao, J. Haptic display for virtual reality: Progress and challenges. Virtual Real. Intell. Hardw. 2019, 1, 136–162. [Google Scholar] [CrossRef]
- Cobos Cevallos, C.P.; Guayta Torres, J.C. Implementación de un Sistema Háptico Para Rehabilitación Activa de Muñeca en el Consultorio “Huellas Fisioterapia”. Bachelor’s Thesis, Escuela Politécnica Nacional, Quito, Ecuador, 2020. [Google Scholar]
- Hernández, H.A.; Khan, A.; Fay, L.; Roy, J.S.; Biddiss, E. Force Resistance Training in Hand Grasp and Arm Therapy: Feasibility of a Low-Cost Videogame Controller. Games Health J. 2018, 7, 277–287. [Google Scholar] [CrossRef] [PubMed]
- Kim, E.B.; Kim, S.; Lee, O. Upper Limb Rehabilitation Tools in Virtual Reality Based on Haptic and 3D Spatial Recognition Analysis: A Pilot Study. Sensors 2021, 21, 2790. [Google Scholar] [CrossRef] [PubMed]
- Elsaeh, M.; Djemai, M.; Pudlo, P.; Bouri, M.; Thevenon, A.; Heymann, I. Quality and quantity assessment in Home-Based therapy for hemiplegic children. In Proceedings of the 2018 6th International Conference on Control Engineering & Information Technology (CEIT), Istanbul, Turkey, 25–27 October 2018; pp. 1–7. [Google Scholar] [CrossRef]
- Ramírez-Fernández, C.; Morán, A.L.; García-Canseco, E. Haptic feedback in motor hand virtual therapy increases precision and generates less mental workload. In Proceedings of the 2015 9th International Conference on Pervasive Computing Technologies for Healthcare (PervasiveHealth), Istanbul, Turkey, 20–23 May 2015; pp. 280–286. [Google Scholar] [CrossRef]
- Chiu, P.H.; Lee, S.H.; Yeh, S.C. Pinch simulation with haptic feedback for stroke rehabilitation: A pilot study. In Proceedings of the 2017 2nd International Conference on Information Technology (INCIT), Nakhon Pathom, Thailand, 2–3 November 2017; pp. 1–6. [Google Scholar] [CrossRef]
- Rand, D.; Givon, N.; Weingarden, H.; Nota, A.; Zeilig, G. Eliciting upper extremity purposeful movements using video games: A comparison with traditional therapy for stroke rehabilitation. Neurorehabilit. Neural Repair 2014, 28, 733–739. [Google Scholar] [CrossRef] [PubMed]
- Asociación Española De Esclerosis Múltiple De Albacete (ADEM-AB). Rehabilitación de las Manos: Pinzas Más Usadas en las Actividades de la Vida Diaria; Asociación Española De Esclerosis Múltiple De Albacete: Albacete, Spain, 2024. [Google Scholar]
- Rodrıguez, I.T. Puesta en Funcionamiento del Robot Paralelo Novint Falcon. Bachelor’s Thesis, UNAM, Mexico City, Mexico, 2017. [Google Scholar]
- Suárez, R. Control de fuerza en robótica. Autom. Instrum. 1988, 1, 221–235. [Google Scholar]
- Yu, W. PID Control with Intelligent Compensation for Exoskeleton Robots; Academic Press: Cambridge, MA, USA, 2018. [Google Scholar]
- Lewis, F.; Jagannathan, S.; Yesildirak, A. Neural Network Control of Robot Manipulators and Non-Linear Systems; CRC Press: Boca Raton, FL, USA, 2020. [Google Scholar]
- University of Michigan News. Simple neural networks outperform the state-of-the-art for controlling robotic prosthetics. University of Michigan News, 17 January 2023. [Google Scholar]
- Ding, K.; Zhang, B.; Ling, Z.; Chen, J.; Guo, L.; Xiong, D.; Wang, J. Quantitative Evaluation System of Wrist Motor Function for Stroke Patients Based on Force Feedback. Sensors 2022, 22, 3368. [Google Scholar] [CrossRef] [PubMed]





















| Patient_id | 01 | 02 | 03 | 04 | 05 |
| Username | S01 | S02 | S03 | S04 | S05 |
| Session_number | 07 | 06 | 04 | 03 | 04 |
| Play_time (s) | 132.94 | 119.104 | 107.178 | 95.6022 | 156.702 |
| Pipes_passed | 89 | 73 | 61 | 50 | 119 |
| Movement_count | 103 | 95 | 98 | 83 | 127 |
| Average_force (N) | 5.32048 | 4.3042 | 2.209807 | 2.20932 | 4.1819 |
| Session_date | 7 July 2025 | 7 July 2025 | 7 July 2025 | 7 July 2025 | 7 July 2025 |
| Patient_id | 06 | 07 | 08 | 09 | 10 |
| Username | S06 | S07 | S08 | S09 | S10 |
| Session_number | 07 | 06 | 04 | 03 | 04 |
| Play_time (s) | 30.1914 | 61.5911 | 70.438 | 146.008 | 87.4134 |
| Pipes_passed | 8 | 24 | 30 | 105 | 43 |
| Movement_count | 21 | 49 | 54 | 128 | 72 |
| Average_force (N) | 3.29855 | 2.36627 | 1.50723 | 2.68128 | 2.34491 |
| Session_date | 7 July 2025 | 8 July 2025 | 8 July 2025 | 8 July 2025 | 8 July 2025 |
Disclaimer/Publisher’s Note: The statements, opinions and data contained in all publications are solely those of the individual author(s) and contributor(s) and not of MDPI and/or the editor(s). MDPI and/or the editor(s) disclaim responsibility for any injury to people or property resulting from any ideas, methods, instructions or products referred to in the content. |
© 2025 by the authors. Licensee MDPI, Basel, Switzerland. This article is an open access article distributed under the terms and conditions of the Creative Commons Attribution (CC BY) license (https://creativecommons.org/licenses/by/4.0/).
Share and Cite
Cortés-García, Y.; Rosales-Luengas, Y.; Rangel-Popoca, S.J.; Salazar, S.; Li, X.; Lozano, R. Virtual Environment for Rehabilitation of Upper Distal Limb Using a Haptic Device with Adaptive Impedance Control and Neural Compensation: A Preliminary Proposal. Sensors 2025, 25, 5964. https://doi.org/10.3390/s25195964
Cortés-García Y, Rosales-Luengas Y, Rangel-Popoca SJ, Salazar S, Li X, Lozano R. Virtual Environment for Rehabilitation of Upper Distal Limb Using a Haptic Device with Adaptive Impedance Control and Neural Compensation: A Preliminary Proposal. Sensors. 2025; 25(19):5964. https://doi.org/10.3390/s25195964
Chicago/Turabian StyleCortés-García, Yahel, Yukio Rosales-Luengas, Saul J. Rangel-Popoca, Sergio Salazar, Xiaoou Li, and Rogelio Lozano. 2025. "Virtual Environment for Rehabilitation of Upper Distal Limb Using a Haptic Device with Adaptive Impedance Control and Neural Compensation: A Preliminary Proposal" Sensors 25, no. 19: 5964. https://doi.org/10.3390/s25195964
APA StyleCortés-García, Y., Rosales-Luengas, Y., Rangel-Popoca, S. J., Salazar, S., Li, X., & Lozano, R. (2025). Virtual Environment for Rehabilitation of Upper Distal Limb Using a Haptic Device with Adaptive Impedance Control and Neural Compensation: A Preliminary Proposal. Sensors, 25(19), 5964. https://doi.org/10.3390/s25195964

