New Quinoline–Urea–Benzothiazole Hybrids as Promising Antitubercular Agents: Synthesis, In Vitro Antitubercular Activity, Cytotoxicity Studies, and In Silico ADME Profiling
Abstract
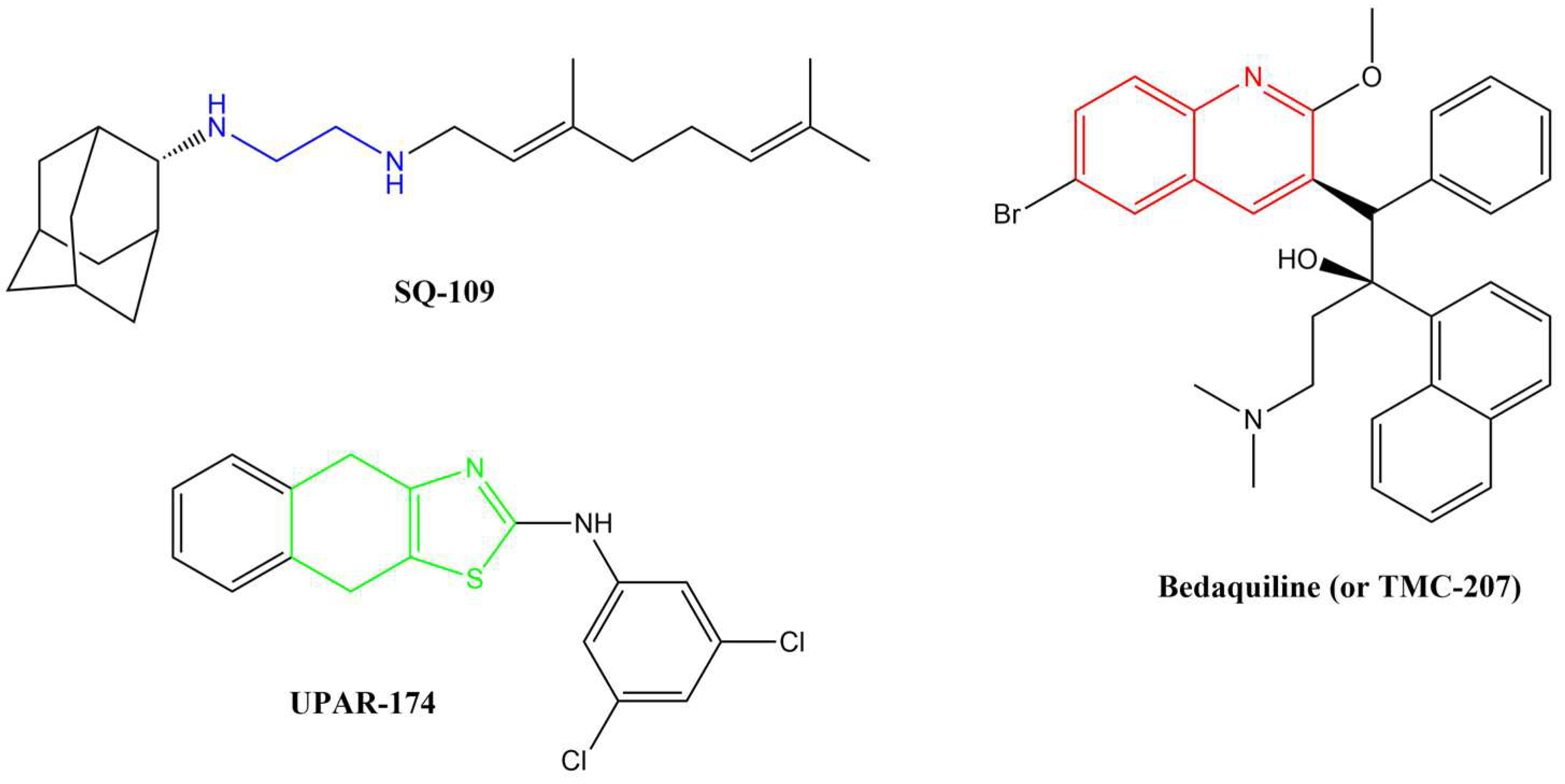
:1. Introduction
2. Results and Discussion
2.1. Chemistry
2.2. In Vitro Antitubercular Activity Studies
2.3. In Vitro Cytotoxicity Studies
2.4. In Silico ADME Profiling of the Synthesized Compounds Using QikProp
3. Materials and Methods
3.1. Chemistry
3.2. General Procedure for the Synthesis of Hybrid Compounds 6a–y
3.3. In Vitro Antitubercular Activity
- (i)
- (ii)
3.4. In Vitro MTT Cytotoxicity Studies
3.5. In Silico ADME Profiling
4. Conclusions
Supplementary Materials
Author Contributions
Funding
Institutional Review Board Statement
Informed Consent Statement
Data Availability Statement
Acknowledgments
Conflicts of Interest
References
- Osman, M.; Meehan, S.-A.; von Delft, A.; Preez, K.D.; Dunbar, R.; Marx, F.M.; Boulle, A.; Welte, A.; Naidoo, P.; Hesseling, A.C. Early mortality in tuberculosis patients initially lost to follow up following diagnostic in provincial hospitals and primary health facilities in Western Cape, South Africa. PLoS ONE 2021, 16, e0252084. [Google Scholar] [CrossRef] [PubMed]
- Global Tuberculosis Report 2020. Geneva, World Health Organization, 2020, Licence: CC BY-NC-SA IGO. Available online: htpps://www.who.int/publication/i/item/9789240013131 (accessed on 14 February 2022).
- Eshetie, S.; Gizachew, M.; Dagnew, M.; Kumera, G.; Woldie, H.; Ambaw, F.; Tesema, B.; Moges, F. Multidrug resistant tuberculosis in Ethiopian settings and its association with previous history of antituberculosis treatment: A systematic review and meta-analysis. BMB Infect. Dis. 2017, 17, 219. [Google Scholar] [CrossRef] [PubMed] [Green Version]
- Matteeli, A.; Roggi, A.; Carvhalo, A.C.C. Extensive drug-resitant tuberculosis: Epidemiology and management. Clin. Epidemiol. 2014, 6, 111–118. [Google Scholar] [CrossRef] [PubMed] [Green Version]
- Conradie, F.; Diacon, A.H.; Ngubane, N.; Howell, P.; Everitt, D.; Crook, A.M.; Mendel, C.M.; Egizi, E.; Moreira, J.; Timm, J.; et al. Treatment of highly drug-resitsat pulmonary tiberculosis. N. Engl. J. Med. 2020, 382, 893–902. [Google Scholar] [CrossRef]
- Batt, S.M.; Minnikin, D.E.; Besra, G.S. The thick waxy coat of mycobacteria, a protective layer against antibiotics and the host’s immune system. Biochem. J. 2020, 477, 1983–2006. [Google Scholar] [CrossRef]
- Batt, S.M.; Burke, C.E.; Moorey, A.R.; Besra, G.S. Antibiotic and resistance: The two sided coin of the mycobacterial cell wall. Cell Surf. 2020, 6, 100044. [Google Scholar] [CrossRef]
- Paomino, J.C.; Martin, A. Drug resistance mechanism in mycobacterium tuberculosis. Antibiotics 2014, 3, 317–340. [Google Scholar] [CrossRef] [Green Version]
- Smith, T.; Wolff, K.A.; Nguyen, L. Molecular biology of rug resistance in mycobacterium tuberculosis. Curr. Top. Microbiol. Immunol. 2013, 374, 53–80. [Google Scholar] [CrossRef] [Green Version]
- Morlock, G.P.; Plikaytis, B.B.; Crawford, J.T. Charaxterization of spontaneous in vitro selected rifampin-resistant mutantas of mycobacterium tuberculosis strain H37Rv. Antimicrob. Agents Chemother. 2000, 44, 3298–3302. [Google Scholar] [CrossRef] [Green Version]
- Zaw, M.T.; Emran, N.A.; Lin, Z. Mutations inside rifmpcicin-resistance determinig region of rpoB gene associated with rifampicin-resistance in mycobactrium tuberculosis. J. Infect. Public Health 2018, 11, 605–610. [Google Scholar] [CrossRef]
- Soni, I.; de Groote, M.A.; Dasgupta, A.; Chopra, S. Challenges facing the drug discovery pipeline for non-tuberculous mycobacteria. J. Med. Microbiol. 2016, 65, 1–8. [Google Scholar] [CrossRef] [PubMed]
- Libardo, M.D.J.; Boshoff, H.I.; Barry, C.E., III. The present state of the tubeculosis drug development pipeline. Curr. Opin. Pharmacol. 2018, 42, 81–94. [Google Scholar] [CrossRef] [PubMed]
- Buhuguna, A.; Rawat, D.S. An overview of new antitubercular drugs, drug candidayes, and their targets. Med. Res. Rev. 2020, 40, 263–292. [Google Scholar] [CrossRef] [PubMed]
- Tahlan, K.; Wilson, R.; Kastrinsky, D.B.; Arora, K.; Nair, V.; Fischer, E.; Barnes, S.W.; Walker, J.R.; Alland, D.; Barry, C.E., II; et al. SQ109 targets MmpL3, a membrane transporter of trehalose monomycolate involved in mycloic acid donation to the cell wall core of mycobacterium tuberculosis. Antimicrob. Agents Chemother. 2012, 56, 1798–1809. [Google Scholar] [CrossRef] [PubMed] [Green Version]
- Shetye, G.S.; Franzblau, S.G.; Cho, S. New tuberculosis drugs targets, their inhibitors, and potentail therapeutic impact. Transl. Res. 2020, 220, 68–97. [Google Scholar] [CrossRef]
- Li, W.; Upadhyay, A.; Fontes, F.L.; North, E.J.; Wang, Y.; Crans, D.C.; Grzegorzerics, A.E.; Jones, V.; Franzblau, S.G.; Lee, R.E.; et al. Novel insights into the mechanism of inhibition of MmpL3, a target of multiple pharamrcophoes in mycobactrium tuberculosis. Antimicrob. Agents Chemother. 2014, 58, 6413–6423. [Google Scholar] [CrossRef] [Green Version]
- Bukhdruker, S.; Varaksa, T.; Grabovec, I.; Martin, E.; Shabunya, P.; Kadukova, M.; Grudinin, S.; Kavaleuski, A.; Gusach, A.; Gilep, A.; et al. Hydroxylation of antitubecular candidate, SQ109, by mycobacterial cytochrome P450. Int. J. Mol. Sci. 2020, 21, 7683. [Google Scholar] [CrossRef]
- Petkova, Z.; Valcheva, V.; Momekov, G.; Petrov, P.; Dimitrov, V.; Doytchinova, I.; Stavrakov, G.; Stoyanova, M. Antimycobacterial activity of chiral aminoalcohols with camphane scaffold. Eur. J. Med. Chem. 2014, 81, 150–157. [Google Scholar] [CrossRef]
- Arnott, J.A.; Planey, S.L. The influence of lipophilicity in drug discovery and design. Expert Opin. Drug Disc. 2012, 7, 909–921. [Google Scholar] [CrossRef]
- Lobo, S. Is there enough focus on lipophilicity in drug discovery. Expert. Opin. Drug Disc. 2020, 15, 261–263. [Google Scholar] [CrossRef]
- Machado, D.; Azzali, E.; Couto, I.; Costantino, G.; Pieroni, M.; Viveiros, M. Adjuvant therapies against tuberculosis: Discovery of a 2-aminothiazole targeting mycobacterium tuberculosis energetics. Future Microbiol. 2018, 13, 1383–1402. [Google Scholar] [CrossRef] [PubMed]
- Angula, K.T.; Legoabe, L.J.; Beteck, R.M. Chemical classes presenting novel antituberculosis agents in different phases of drug development: A 2010–2020 review. Pharmaceuticals 2021, 14, 461. [Google Scholar] [CrossRef] [PubMed]
- Field, S.K. Bedaquiline for treatment of multidrug -resistant tuberculosis: Great promise or disappointment? Ther. Adv. Chronic. Dis. 2015, 6, 170–184. [Google Scholar] [CrossRef] [Green Version]
- Koul, A.; Dendouga, N.; Vergauwen, K.; Molenberghs, B.; Vranckx, L.; Willebrordz, R.; Ristic, Z.; Lill, H.; Dorange, I.; Guillemont, J.; et al. Diarylquinolines target subunit c of mycobacterial ATP synthase. Nat. Chem. Biol. 2007, 3, 323–324. [Google Scholar] [CrossRef] [PubMed]
- Hoagland, D.; Liu, J.; Lee, R.B.; Lee, R.E. New agents for the treatment of drug-resistant mycobacterium tuberculosis. Adv. Drg. Deliv. Res. 2016, 102, 55–72. [Google Scholar] [CrossRef] [Green Version]
- Blaser, A.; Sutherland, H.S.; Tong, A.S.; Choi, P.J.; Conole, D.; Franzblau, S.G.; Cooper, C.B.; Upton, A.M.; Lotlikar, M.; Denny, W.A.; et al. Structure-activity relationships for unit C pyridyl analogues of the tuberculosis drug bedaquiline. Bioorg. Med. Chem. 2019, 37, 1283–1291. [Google Scholar] [CrossRef]
- Karmakar, M.; Rodrigues, C.H.; Holt, K.E.; Dunstan, S.J.; Denholm, J.; Ascher, D.B. Empirical ways to identify novel bedaquiline resistance mutations in AtpE. PLoS ONE 2019, 14, e0217169. [Google Scholar] [CrossRef] [Green Version]
- Tukulula, M.; Sharma, R.-K.; Meurillon, M.; Mahajan, A.; Naran, K.; Warner, D.; Huang, J.; Mekonnen, B.; Chibale, K. Synthesis and antiplasmodial and antimycobacterial evaluation of new nitroimidazole and nitroimidazooxazine derivatives. ACS Med. Chem. Lett. 2013, 4, 128–131. [Google Scholar] [CrossRef] [Green Version]
- Tukulula, M.; Little, S.; Gut, J.; Rosenthal, P.J.; Wan, B.; Franzblau, S.G.; Chibale, K. The design, synthesis, in silico ADME profiling, antiplasmodial and antimycobacterial evaluation of new arylaminoquinoline derivatives. Eur. J. Med. Chem. 2012, 57, 259–267. [Google Scholar] [CrossRef]
- Luo, B.; Li, D.; Zhang, A.L.; Gao, J.-M. Synthesis, antifungal activities and molecular docking studies of benzoxazole and benzothiazole derivatives. Molecules 2018, 23, 2457. [Google Scholar] [CrossRef] [Green Version]
- Heroun, M.; Tratrat, C.; Kositsi, K.; Tsolaki, E.; Petrou, A.; Aldhubiab, B.; Attimarad, M.; Harsha, S.; Geronikaki, A.; Venugopala, K.N.; et al. New benzothiazole-based thiazolidinones as potent antimicrobial agaents. Design, synthesis and biological evaluation. Curr. Top. Med. Chem. 2018, 18, 75–87. [Google Scholar] [CrossRef] [PubMed]
- Singh, M.; Singh, S.K. Benzothiazoles: How relevant in cancer drug design strategy? Anticancer. Agents Med. Chem. 2014, 14, 127–146. [Google Scholar] [CrossRef] [PubMed]
- Eshkil, F.; Eshghi, H.; Saljooghi, A.S.; Bakavoli, M.; Rahimizadeh, M. Benzothiazolesole thiourea derivatives as anticancer agents: Design, synthesis and biological screening. Russ. J. Bioorg. Chem. 2017, 43, 576–582. [Google Scholar] [CrossRef]
- Venugopala, K.N.; Khedr, M.A.; Pillau, M.; Nayak, S.K.; Chandrashekharappa, S.; Aldhubiab, B.E.; Harsha, S.; Attimard, M.; Odhav, B. Benzothiazole analogs as potential anti-TB agents: Computation input and molecular dynamics. J. Biomol. Struct. Dyn. 2019, 37, 1830–1842. [Google Scholar] [CrossRef] [PubMed]
- Bhat, M.; Shiddappa, B.L. Synthesis, in vitro and in silico studies of benzothiazole azo-ester derivatives as anti-TB agents. Anti-Infect. Agents 2020, 18, 15–23. [Google Scholar] [CrossRef]
- Netalkar, P.P.; Netalkar, S.P.; Budagumpi, S.; Revankar, V.K. Synthesis, crystal structures and characterization of late first row transition metal complexes derived from benzothiazole core: Antitubercular activity and special emphasis on DNA binding and cleavage property. Eur. J. Med. Chem. 2014, 22, 47–56. [Google Scholar] [CrossRef]
- Cho, Y.; Loerger, T.R.; Sacchettini, J.C. Discovery of novel nitrobenzothiazole inhibitors for mycobacterium tuberculosis ATP Phorsphoribosyly transferase (HisG) through virtual screening. J. Med. Chem. 2008, 51, 5984–5992. [Google Scholar] [CrossRef] [Green Version]
- Pellet, A. Nitrobenzothiazole Derivatives, Preparation Thereof and Therapeutic Applications Thereof. U.S. Patent No. 8993561B2, 31 March 2015. [Google Scholar]
- Sharma, P.C.; Sinhmar, A.; Sharma, A.; Rajak, H.; Pathak, D.P. Medicinal significance of benzothiazole scaffold: An insight view. J. Enzyme Inhib. Med. Chem. 2013, 28, 240–266. [Google Scholar] [CrossRef]
- Chikhale, R.; Menghani, S.; Babu, R.; Bansode, R.; Bhargavi, G.; Karodia, N.; Rajasekharan, M.V.; Paradkar, A.; Khedekar, P. Development of selectibe DprE1 inhibitors: Design, synthesi, crystal structure and antitubercular activity of benzothiazoylpyrimidine-5-carbaxamides. Eur. J. Med. Chem. 2015, 96, 30–46. [Google Scholar] [CrossRef]
- Venugopala, K.N.; Chandrashekharappa, S.; Pillay, M.; Bhandary, S.; Kandeel, M.; Mahommodally, F.M.; Morsy, M.A.; Chopra, D.; Aldubiab, B.E.; Attimarad, M.; et al. Synthesis and structural elucidation of novel benzothiazole derivatives as antitubercular agents: In silico screening for possible target identification. Med. Chem. 2019, 15, 311–326. [Google Scholar] [CrossRef]
- Landge, S.; Mullick, A.B.; Nagalapur, K.; Neres, J.; Subbulakshmi, V.; Murugan, K.; Ghosh, A.; Sadler, C.; Fellows, M.D.; Humnabadkar, V.; et al. Discover of bezothiazole antimycobacterial agents: Synthesis, structure-activity relationships and binding studies with mycobacterial tuberculosis decarprenylphosphoryl-β-D-ribose 2′-oxidase. Bioorg. Med. Chem. 2015, 15, 7694–7710. [Google Scholar] [CrossRef] [PubMed]
- Hamdy, A.-M.; Morsy, M.A. Novel benzothiazolyl urea and thiourea derivatives with potential cytotoxicity and antimicrobial activities. J. Enzyme Inhib. Med. Chem. 2007, 22, 57–64. [Google Scholar] [CrossRef]
- Ndjoubi, K.O.; Sharma, E.; Badmus, J.A.; Jacobs, A.; Jordaan, A.; Marnewick, J.; Warner, D.F.; Hussein, A.A. Antimycobacterial, cytotoxic, and antioxidant activities of abietane diterpenoids isolated from Plectranthus madagascariensis. Plant 2021, 10, 175. [Google Scholar] [CrossRef] [PubMed]
- Perkin Elmer Chemdraw Professional V18.0.0.231. Available online: https://perkinelmerinformatics.com/products/research/chemdraw/ (accessed on 2 March 2022).
- van Loveren, C. Antimicrobial activity of flouride and its in vivo importance: Identification of research question. Caries Res. 2001, 35, 65–79. [Google Scholar] [CrossRef] [PubMed]
- Mossman, J. Rapid colorimetric assay for cellular growth and survival: Application to proliferation and cytotoxicity assays. J. Immunol. Methods. 1983, 65, 55–63. [Google Scholar] [CrossRef]
- Standard, I. Biological Evaluation of Medical Devices. Tests for In Vitro Cytotoxicity; ISO/TC: Geneva, Switzerland, 2009; p. 194. [Google Scholar]
- Schrödinger Release 2021-2: QikProp; Schrödinger, LLC: New York, NY, USA, 2021; Available online: https://www.schrodinger.com/citations (accessed on 21 September 2021).
- Prentis, R.A.; Lis, Y.; Walker, S.R. Pharmaceutical innovations by the seven UK-owned pharmaceutical companies (1964–1985). Br. J. Clin. Pharmacol. 1988, 25, 387–396. [Google Scholar] [CrossRef] [Green Version]
- Bocci, G.; Carosati, E.; Vayer, P.; Arrault, A.; Lozano, S.; Cruciani, G. ADME properties: A new tool for medicinal chemistry to explore ADME properties. Sci. Rep. 2017, 7, 6359. [Google Scholar] [CrossRef]
- Lipinski, C.A. Drug-like properties and the causes of poor solubility and poor permeability. J. Pharmacology. Toxicol. Methods. 2000, 44, 235–249. [Google Scholar] [CrossRef]
- Abrahams, G.L.; Kumar, A.; Savvi, S.; Hung, A.W.; Wen, S.; Abell, C.; Barry, C.E., 3rd; Sherman, D.R.; Boshoff, H.I.; Mizrahi, V.V. Pathway-selective sensitization of Mycobacterium tuberculosis for target-based whole-cell screening. Chem. Biol. 2012, 19, 844–854. [Google Scholar] [CrossRef] [Green Version]
- Collins, L.A.; Torrero, M.N.; Franzblau, S.G. Green fluorescent protein reporter microplate assay for high-throughput screening of compounds against Mycobacterium tuberculosis. Antimicrob. Agents Chemother. 1998, 42, 344–347. [Google Scholar] [CrossRef] [Green Version]
- Collins, L.; Franzblau, S.G. Microplate alamar blue assay versus BACTEC 460 system for high-throughput screening of compounds against Mycobacterium tuberculosis and Mycobacterium avium. Antimicrob. Agents Chemother. 1997, 41, 1004–1009. [Google Scholar] [CrossRef] [PubMed] [Green Version]
- Affolabi, D.; Odoun, M.; Sanoussi, N.D.; Martin, A.; Palomino, J.C.; Kestens, L.; Anagonou, S.; Portaels, F. Rapid and inexpensive detection of multidrug-resistant Mycobacterium tuberculosis with the nitrate reductase assay using liquid medium and direct application to sputum samples. J. Clin. Micriobiol. 2008, 46, 3243–3245. [Google Scholar] [CrossRef] [PubMed] [Green Version]
- Bi, J.; Wang, Y.; Yu, H.; Qian, X.; Wang, H.; Liu, J.; Zhang, X. Modulation of central carbon metabolism by acetylation of isocitrate lyase in Mycobacterium tuberculosis. Sci. Rep. 2017, 7, 44826. [Google Scholar] [CrossRef] [PubMed]
- de Vos, J.J.; Rutter, K.; Schroeder, B.G.; Su, H.; Zhu, Y.; Barry, C.E., 3rd. The salicylate-derived mycobactin siderophores of mycobacterium tuberculosis are essential for growth in macrophages. Proc. Natl. Acad. Sci. USA 2000, 97, 1252–1257. [Google Scholar] [CrossRef] [PubMed] [Green Version]
- SFranzblau, G.; DeGroote, M.A.; Cho, S.H.; Andries, K.; Nuermberger, E.; Orme, I.M.; Mdluli, K.; Angulo-Barturen, I.; Dick, T.; Dartois, V.; et al. Comprehensive analysis of methods used for the evaluation of compounds against Mycobacterium tuberculosis. Tuberculosis 2012, 92, 453–488. [Google Scholar] [CrossRef] [Green Version]
- Ollinger, J.; Bailey, M.A.; Moraski, G.C.; Casey, A.; Florio, S.; Alling, T.; Miller, M.J.; Parish, T. A dual read-out assay to evaluate the potency of compounds active against Mycobacterium tuberculosis. PLoS ONE 2013, 4, e60531. [Google Scholar] [CrossRef] [Green Version]
- Donato, M.T.; Tolosa, L.; Gómez-Lechón, M.J. Culture and functional characterization of human hepatoma HepG2 cells. Method Mol. Biol. 2015, 1250, 77–93. [Google Scholar] [CrossRef]
- Kehinde, I.; Khan, R.; Nlooto, M.; Gordon, M. Modulatory influences of antiviral bioactive compounds on cell viability, m RNA and protein expression of cytochrome P450 3A4 and P-glycoprotein in HepG2 and HEK293 cells. Biorg. Chem. 2021, 107, 104573. [Google Scholar] [CrossRef]




| Compound | Diamine Linker | X | m.p. (°C) | Yield (%) |
|---|---|---|---|---|
| 6a | ![]() | H | 298–302 | 88.52 |
| 6b | CF3 | 343–345 | 84.81 | |
| 6c | F | 340–342 | 86.11 | |
| 6d | NO2 | 339–341 | 78.75 | |
| 6e | ![]() | CF3 | 249–251 | 64.90 |
| 6f | Cl | 244–245 | 83.23 | |
| 6g | Br | 240–242 | 78.41 | |
| 6h | F | 230 –232 | 75.23 | |
| 6i | ![]() | CF3 | 198–200 | 83.42 |
| 6j | Cl | 286–288 | 76.82 | |
| 6k | CH3 | 234–239 | 55.94 | |
| 6l | H | 285–288 | 59.31 | |
| 6m | Br | 254–257 | 60.20 | |
| 6n | F | 241–243 | 78.50 | |
| 6o | ![]() | Cl | 189–191 | 83.04 |
| 6p | Br | 192–194 | 82.34 | |
| 6q | F | 256–259 | 92.05 | |
| 6r | ![]() | Cl | 239–241 | 79.72 |
| 6s | Br | 192–194 | 82.32 | |
| 6t | F | 256–259 | 92.03 | |
| 6u | ![]() | CF3 | 243–245 | 89.01 |
| 6v | F | 228–230 | 87.52 | |
| 6w | Br | 246–248 | 89.99 | |
| 6x | CH3 | 229–231 | 78.81 | |
| 6y | Cl | 301–304 | 81.19 |
| Compound | a 7H9/CAS/GLU/Tx | b 7H9/ADC/GLU/Tw | c clogP |
|---|---|---|---|
| 7 Days (µM) | 7 Days (µM) | ||
| 6a | 21.001 | >125 | 4.32 |
| 6b | 4.943 | 6.854 | 5.22 |
| 6c | >125 | >125 | 4.44 |
| 6d | >125 | >125 | 4.10 |
| 6e | ND | ND | 6.35 |
| 6f | 125 | >125 | 6.10 |
| 6g | 8.89 | 14.898 | 6.25 |
| 6h | 62.5 | 62.5 | 5.53 |
| 6i | 7.812 | 12.837 | 6.72 |
| 6j | 4.389 | 11.748 | 6.48 |
| 6k | 31.25 | 62.33 | 6.25 |
| 6l | 9.628 | 9.447 | 5.75 |
| 6m | 15.924 | 16.863 | 6.63 |
| 6n | >125 | 125 | 5.91 |
| 6o | 7.455 | 23.529 | 6.49 |
| 6p | 7.812 | 15.609 | 6.64 |
| 6q | >125 | >125 | 5.92 |
| 6r | 7.597 | 14.617 | 7.54 |
| 6s | 8.76 | 20.954 | 7.69 |
| 6t | 6.974 | 31.25 | 6.97 |
| 6u | 0.968 | 5.732 | 6.66 |
| 6v | >125 | >125 | 5.84 |
| 6w | 8.191 | 14.001 | 6.56 |
| 6x | 7.219 | 10.35 | 6.19 |
| 6y | 2.331 | 8.455 | 6.41 |
| 2e | >125 | >125 | 4.07 |
| 4b | >125 | >125 | 1.97 |
| 5b | >125 | >125 | 0.474 |
| Urea | >125 | >125 | −1.66 |
| 2e:4b:Urea (1:1:1) | >125 | >125 | - |
| RIF | 0.03 | 0.001 | 3.71 |
| Compound | % Human Oral Absorption a | QPlogHERG b | QPlogBB c | QPlogKhsa d | Ro5 e |
|---|---|---|---|---|---|
| 6a | 91 | −5.3 | −0.594 | −0.093 | 0 |
| 6b | 100 | −5.235 | −0.351 | 0.142 | 0 |
| 6c | 93 | −5.169 | −0.487 | −0.056 | 0 |
| 6d | 71 | −5.211 | −1.744 | −0.117 | 0 |
| 6e | 100 | −5.661 | −0.371 | 0.363 | 0 |
| 6f | 100 | −5.094 | −0.378 | 0.184 | 0 |
| 6g | 100 | −5.119 | −0.369 | 0.205 | 0 |
| 6h | 100 | −5.062 | −0.425 | 0.116 | 0 |
| 6i | 100 | −5.748 | −0.648 | 0.458 | 0 |
| 6j | 100 | −5.695 | −0.48 | 0.313 | 0 |
| 6k | 100 | −5.854 | −0.865 | 0.382 | 0 |
| 6l | 100 | −5.809 | −0.634 | 0.203 | 0 |
| 6m | 100 | −5.725 | −0.477 | 0.337 | 0 |
| 6n | 100 | −5.676 | −0.529 | 0.243 | 0 |
| 6o | 100 | −5.884 | −0.831 | 0.433 | 0 |
| 6p | 91 | −5.904 | −0.822 | 0.456 | 1 |
| 6q | 100 | −5.851 | −0.843 | 0.427 | 0 |
| 6r | 100 | −6.077 | −0.863 | 0.637 | 1 |
| 6s | 83 | −6.212 | −0.904 | 0.695 | 2 |
| 6t | 96 | −6.049 | −0.908 | 0.563 | 1 |
| 6u | 95 | −5.776 | −0.319 | 0.511 | 1 |
| 6v | 100 | −5.736 | −0.459 | 0.303 | 0 |
| 6w | 100 | −5.777 | −0.402 | 0.396 | 0 |
| 6x | 100 | −5.749 | −0.593 | 0.414 | 0 |
| 6y | 100 | −5.753 | −0.409 | 0.374 | 0 |
Publisher’s Note: MDPI stays neutral with regard to jurisdictional claims in published maps and institutional affiliations. |
© 2022 by the authors. Licensee MDPI, Basel, Switzerland. This article is an open access article distributed under the terms and conditions of the Creative Commons Attribution (CC BY) license (https://creativecommons.org/licenses/by/4.0/).
Share and Cite
Moodley, R.; Mashaba, C.; Rakodi, G.H.; Ncube, N.B.; Maphoru, M.V.; Balogun, M.O.; Jordan, A.; Warner, D.F.; Khan, R.; Tukulula, M. New Quinoline–Urea–Benzothiazole Hybrids as Promising Antitubercular Agents: Synthesis, In Vitro Antitubercular Activity, Cytotoxicity Studies, and In Silico ADME Profiling. Pharmaceuticals 2022, 15, 576. https://doi.org/10.3390/ph15050576
Moodley R, Mashaba C, Rakodi GH, Ncube NB, Maphoru MV, Balogun MO, Jordan A, Warner DF, Khan R, Tukulula M. New Quinoline–Urea–Benzothiazole Hybrids as Promising Antitubercular Agents: Synthesis, In Vitro Antitubercular Activity, Cytotoxicity Studies, and In Silico ADME Profiling. Pharmaceuticals. 2022; 15(5):576. https://doi.org/10.3390/ph15050576
Chicago/Turabian StyleMoodley, Rashmika, Chakes Mashaba, Goitsemodimo H. Rakodi, Nomagugu B. Ncube, Mabuatsela V. Maphoru, Mohammed O. Balogun, Audrey Jordan, Digby F. Warner, Rene Khan, and Matshawandile Tukulula. 2022. "New Quinoline–Urea–Benzothiazole Hybrids as Promising Antitubercular Agents: Synthesis, In Vitro Antitubercular Activity, Cytotoxicity Studies, and In Silico ADME Profiling" Pharmaceuticals 15, no. 5: 576. https://doi.org/10.3390/ph15050576
APA StyleMoodley, R., Mashaba, C., Rakodi, G. H., Ncube, N. B., Maphoru, M. V., Balogun, M. O., Jordan, A., Warner, D. F., Khan, R., & Tukulula, M. (2022). New Quinoline–Urea–Benzothiazole Hybrids as Promising Antitubercular Agents: Synthesis, In Vitro Antitubercular Activity, Cytotoxicity Studies, and In Silico ADME Profiling. Pharmaceuticals, 15(5), 576. https://doi.org/10.3390/ph15050576







