Ionic Liquid-Based Grapeseed Oil Emulsion for Enhanced Anti-Wrinkle Treatment
Abstract
1. Introduction
2. Results and Discussion
2.1. Characterization of the Ionic Liquid
2.2. Characterization and Stability of GSO-ILE
2.3. In Vitro Transdermal Release of GSO-ILE
2.4. DPPH Free Radical Scavenging Effect
2.5. Tyrosinase Inhibition
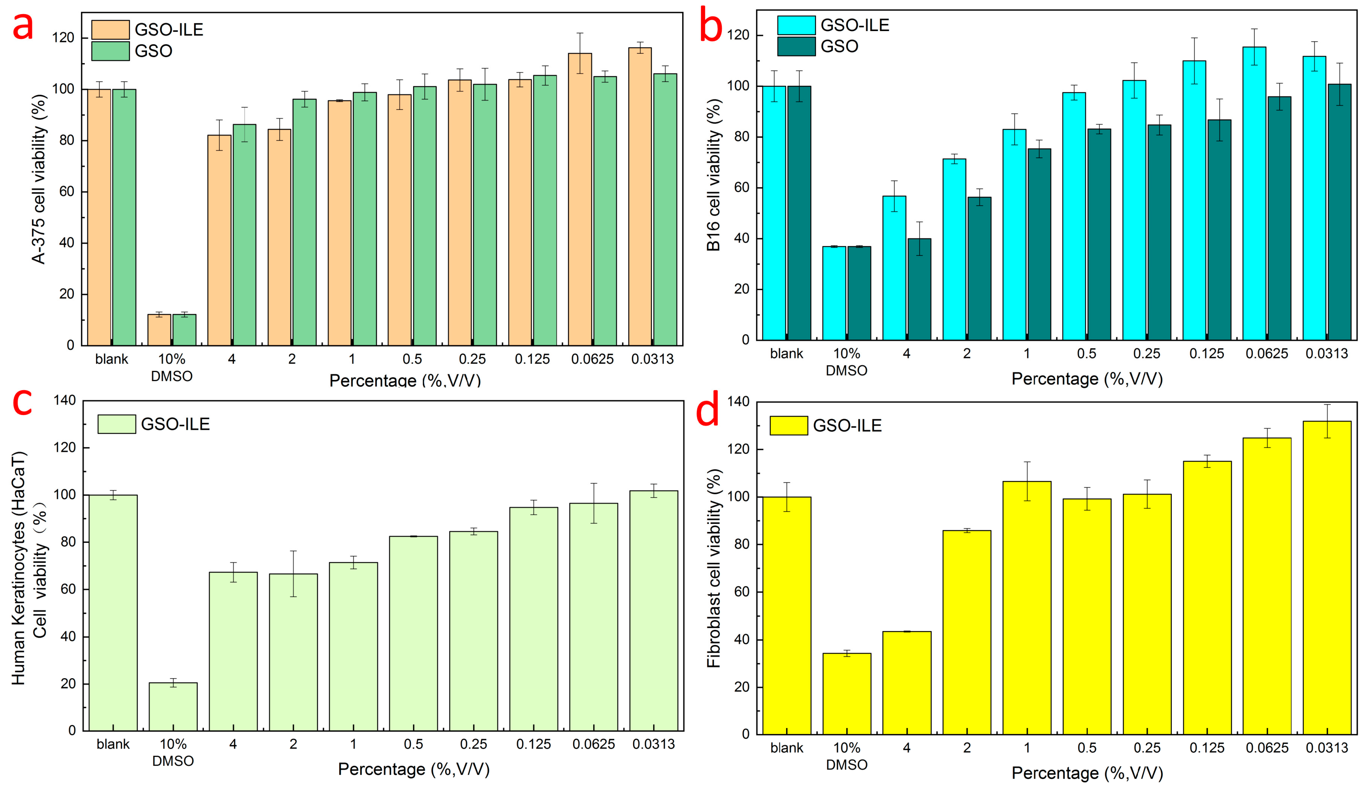
2.6. Effect on the Viability of Various Types of Cells
2.7. Melanoma Cells (B16) Test for Melanin Content
2.8. Testing of Type I Collagen and Matrix Metalloproteinase-1 Content in Fibroblasts
2.9. Evaluation of Clinical Trials
3. Materials and Methods
3.1. Materials
3.2. Preparation of OIL-ILNPS
3.3. Investigation of the Ionic Liquid
3.4. Characterization of Grapeseed Oil Emulsion
3.4.1. Measurements of Particle Size, Polymer Dispersity Index (PDI), and Zeta Potential
3.4.2. High-Performance Liquid Chromatography (HPLC)
3.5. In Vitro Transdermal Release Test
3.6. DPPH Free Radical Scavenging Test
3.7. Tyrosinase Inhibition
3.8. Viability of Various Types of Cells
3.9. Melanoma Cells (B16) Test for Melanin
3.10. Fibroblast Type I Collagen and Matrix Metalloproteinase-1 Content Test
3.11. Evaluation of Clinical Trial Safety
3.12. Evaluation of the Efficacy of Clinical Trials
3.13. Statistical Analysis
4. Conclusions
Supplementary Materials
Author Contributions
Funding
Institutional Review Board Statement
Informed Consent Statement
Data Availability Statement
Conflicts of Interest
References
- Cao, X.; Ito, Y. Supercritical fluid extraction of grape seed oil and subsequent separation of free fatty acids by high-speed counter-current chromatography. J. Chromatogr. A 2003, 1021, 117–124. [Google Scholar] [CrossRef] [PubMed]
- Machado, T.O.X.; Portugal, I.; Kodel, H.d.A.C.; Droppa-Almeida, D.; Lima, M.D.; Fathi, F.; Oliveira, M.B.; de Albuquerque-Júnior, R.L.; Dariva, C.; Souto, E.B. Therapeutic potential of grape pomace extracts: A review of scientific evidence. Food Biosci. 2024, 60, 104210. [Google Scholar] [CrossRef]
- Hofmann, T.; Visi-Rajczi, E.; Vaculciakova, S.; Guran, R.; Voberkova, S.; Vrsanska, M.; Zitka, O.; Albert, L. Direct microwave treatment enhances antioxidant and antibacterial properties of the seed extracts of Kékfrankos grapes. Heliyon 2023, 9, e21497. [Google Scholar] [CrossRef] [PubMed]
- Chen, L.; Hao, L.; Yanshuo, C.; FangFang, W.; Daqin, C.; Weidong, X.; Jian, X.; Shaodong, C.; Hongyu, Z.; Ke, X. Grape seed proanthocyanidins regulate mitophagy of endothelial cells and promote wound healing in mice through p-JNK/FOXO3a/ROS signal pathway. Arch. Biochem. Biophys. 2023, 749, 109790. [Google Scholar] [CrossRef]
- Wang, C.; Yang, C.; Wang, H.; Li, H. Review on physiological function and application of grape seed oil. Sino-Overseas Grapevine Wine 2020, 6, 66–71. [Google Scholar]
- Padilla, N.; Delso, I.; Bergua, F.; Lafuente, C.; Artal, M. Characterization of camphor: Thymol or dl-menthol eutectic mixtures; Structure, thermophysical properties, and lidocaine solubility. J. Mol. Liq. 2024, 405, 125069. [Google Scholar] [CrossRef]
- Islam, R.; Habib Nabila, F.; Wakabayashi, R.; Kamiya, N.; Moniruzzaman, M.; Goto, M. Ionic Liquid-Based patch formulation for enhanced transdermal delivery of sparingly soluble drug. J. Mol. Liq. 2024, 397, 124184. [Google Scholar] [CrossRef]
- Khamoushian, S.; Madrakian, T.; Afkhami, A.; Ghoorchian, A.; Ghavami, S.; Tari, K.; Samarghandi, M.R. Transdermal Delivery of Insulin Using Combination of Iontophoresis and Deep Eutectic Solvents as Chemical Penetration Enhancers: In Vitro and in Vivo Evaluations. J. Pharm. Sci. 2023, 112, 2249–2259. [Google Scholar] [CrossRef]
- Albertini, B.; Bertoni, S.; Sangiorgi, S.; Nucci, G.; Passerini, N.; Mezzina, E. NaDES as a green technological approach for the solubility improvement of BCS class II APIs: An insight into the molecular interactions. Int. J. Pharm. 2023, 634, 122696. [Google Scholar] [CrossRef]
- Da Silva, D.T.; Smaniotto, F.A.; Costa, I.F.; Baranzelli, J.; Muller, A.; Somacal, S.; Monteiro, C.S.; Vizzotto, M.; Rodrigues, E.; Barcia, M.T.; et al. Natural deep eutectic solvent (NADES): A strategy to improve the bioavailability of blueberry phenolic compounds in a ready-to-use extract. Food Chem. 2021, 364, 130370. [Google Scholar] [CrossRef]
- Zhao, B.-Y.; Xu, P.; Yang, F.-X.; Wu, H.; Zong, M.H.; Lou, W.Y. Biocompatible Deep Eutectic Solvents Based on Choline Chloride: Characterization and Application to the Extraction of Rutin from Sophora japonica. ACS Sustain. Chem. Eng. 2015, 3, 2746–2755. [Google Scholar] [CrossRef]
- Morgana, N.M.; Magdalena, E.; de los Angeles Fernandez, M.; Fernanda, S.M. NADES for food industry innovation: Novel bioadditives based on olive oil byproducts. Food Bioprod. Process. 2022, 134, 193–201. [Google Scholar] [CrossRef]
- Oliveira, F.; Silva, E.; Matias, A.; Silva, J.M.; Reis, R.L.; Duarte, A.R. Menthol-based deep eutectic systems as antimicrobial and anti-inflammatory agents for wound healing. Eur. J. Pharm. Sci. 2023, 182, 106368. [Google Scholar] [CrossRef] [PubMed]
- Dominguez, S.; Mackert, G.A.; Dobke, M.K. Chapter 29—Nanotechnology to enhance transdermal delivery of hydrophilic humectants for improved skin care: A model for therapeutic applications. In Nanostructures for Drug Delivery; Andronescu, E., Grumezescu, A.M., Eds.; Elsevier: Amsterdam, The Netherlands, 2017; pp. 919–939. [Google Scholar]
- Yang, F.; Wang, W.; Zhou, J.; Yu, Z.; An, M.; He, W.; Xue, Y.; Chen, F. Transdermal delivery of IBU-PLGA nanoparticles with dissolving microneedle array patch. J. Drug Deliv. Sci. Technol. 2024, 95, 105528. [Google Scholar] [CrossRef]
- Khan, S.U.; Ullah, M.; Saeed, S.; Saleh, E.A.; Kassem, A.F.; Arbi, F.M.; Wahab, A.; Rehman, M.; ur Rehman, K.; Khan, D.; et al. Nanotherapeutic approaches for transdermal drug delivery systems and their biomedical applications. Eur. Polym. J. 2024, 207, 112819. [Google Scholar] [CrossRef]
- Jaiswal, R.; Wadetwar, R. Nanostructured lipid carriers mediated transdermal delivery of trandolapril as an impeccable therapeutic approach against hypertension: Development, characterization and in vivo evaluation. OpenNano 2023, 11, 100144. [Google Scholar] [CrossRef]
- Faris, T.M.; Ahmad, A.M.; Mohammed, H.A.; Alamoudi, J.A.; Alsunbul, M.; Alrashidi, A.; Abdullah, O.; Altwaijry, N.; Hassan, A.S. Preparation and evaluation of transdermal hydrogel of chitosan coated nanocurcumin for enhanced stability and skin permeability. Arab. J. Chem. 2023, 16, 105302. [Google Scholar] [CrossRef]
- van Smeden, J.; Janssens, M.; Gooris, G.S.; Bouwstra, J. The important role of stratum corneum lipids for the cutaneous barrier function. Biochim. Et Biophys. Acta (BBA)—Mol. Cell Biol. Lipids 2014, 1841, 295–313. [Google Scholar] [CrossRef]
- Yang, M.; Zhao, T.; Xia, W.; Wei, K.; Li, R.; Jiang, W.; Zhou, C.; Ben, H.; Zhang, J.; Ramakrishna, S.; et al. In-situ electrospinning with precise deposition of antioxidant nanofiber facial mask loaded with Enteromorpha prolifera polysaccharides. Int. J. Biol. Macromol. 2024, 257, 128698. [Google Scholar] [CrossRef]
- Zhang, Y.; Guo, J.; Guan, F.; Song, X.; Yang, Q.; Ji, X.; Li, Z.; Tao, J. Guar gum-based multilayer fiber membranes inspired by plant transpiration for enhancing the functionality of dry facial masks. Int. J. Biol. Macromol. 2023, 248, 125965. [Google Scholar] [CrossRef]
- Zhang, L.; Jiang, X.; Li, S.; Lan, Y.; Liu, H.; Yu, H.; Wang, A.; Zhang, M.; Li, J.; Liu, G.; et al. Stretchable electronic facial masks for photodynamic therapy. Nano Energy 2024, 123, 109407. [Google Scholar] [CrossRef]
- Wang, J.-H.; Shen, C.; Liu, Y.-C.; Luo, J.; Duan, Y. Effects of hydrogen bond on the melting point of azole explosives. J. Mol. Struct. 2018, 1163, 54–60. [Google Scholar] [CrossRef]
- Hashim, N.; Abdullah, S.; Hassan, L.S.; Abdullah, N.; Abdullah, A.H. Development and stability enhancement of neem-based lotion. Mater. Today Proc. 2023. [Google Scholar] [CrossRef]
- Tang, Y.; Zhou, A.; Zhou, S.; Ruan, J.; Qian, C.; Wu, C.; Ye, L. Preparation of VC nanoliposomes by high pressure homogenization: Process optimization and evaluation of efficacy, transdermal absorption, and stability. Heliyon 2024, 10, e29516. [Google Scholar] [CrossRef]
- Seto, J.E.; Polat, B.E.; VanVeller, B.; Lopez, R.F.; Langer, R.; Blankschtein, D. Fluorescent penetration enhancers for transdermal applications. J. Control. Release 2012, 158, 85–92. [Google Scholar] [CrossRef]
- Silva, F.; Veiga, F.; Cardoso, C.; Dias, F.; Cerqueira, F.; Medeiros, R.; Paiva-Santos, A.C. A rapid and simplified DPPH assay for analysis of antioxidant interactions in binary combinations. Microchem. J. 2024, 202, 110801. [Google Scholar] [CrossRef]
- Napagoda, M.T.; Kumari, M.; Qader, M.M.; De Soyza, S.G.; Jayasinghe, L. Evaluation of tyrosinase inhibitory potential in flowers of Cassia auriculata L. for the development of natural skin whitening formulation. Eur. J. Integr. Med. 2018, 21, 39–42. [Google Scholar] [CrossRef]
- Liu, H.-M.; Tang, W.; Wang, X.-Y.; Jiang, J.J.; Zhang, Y.; Liu, Q.L.; Wang, W. Experimental and theoretical studies on inhibition against tyrosinase activity and melanin biosynthesis by antioxidant ergothioneine. Biochem. Biophys. Res. Commun. 2023, 682, 163–173. [Google Scholar] [CrossRef]
- Chu, C.C.; Hasan, Z.A.A.; Tan, C.P.; Nyam, K.L. In vitro safety evaluation of sunscreen formulation from nanostructured lipid carriers using human cells and skin model. Toxicol. Vitr. 2022, 84, 105431. [Google Scholar] [CrossRef]
- Nowshehri, J.A.; Bhat, Z.A.; Shah, M.Y. Blessings in disguise: Bio-functional benefits of grape seed extracts. Food Res. Int. 2015, 77, 333–348. [Google Scholar] [CrossRef]
- Ågren, M.S.; Schnabel, R.; Christensen, L.H.; Mirastschijski, U. Tumor necrosis factor-α-accelerated degradation of type I collagen in human skin is associated with elevated matrix metalloproteinase (MMP)-1 and MMP-3 ex vivo. Eur. J. Cell Biol. 2015, 94, 12–21. [Google Scholar] [CrossRef] [PubMed]
- Villarinho, A.L.C.F.; Melo, M.d.G.M.; Teixeira, L.R. Application of the Brazilian patch test panel in the diagnosis of allergic contact dermatitis to cosmetics. An. Bras. Dermatol. 2022, 97, 656–660. [Google Scholar] [CrossRef] [PubMed]
- Matarrese, P.; Beauchef, G.; Peno-Mazzarino, L.; Lati, E.; Fitoussi, R.; Vié, K. Assessment of an ex vivo irritation test performed on human skin explants and comparison of its results with those of a 24-/48-h human patch test for the evaluation of cosmetics. Toxicol. Vitr. 2021, 70, 105030. [Google Scholar] [CrossRef] [PubMed]
- FDA: Draft Guidance on Acyclovir, December 2016. Available online: https://www.accessdata.fda.gov/drugsatfda_docs/psg/Acyclovir_topical%20cream_RLD%2021478_RV12-16.pdf (accessed on 15 August 2022).
- Yang, S.; Wang, R.; Wan, G.; Wu, Z.; Guo, S.; Dai, X.; Shi, X.; Qiao, Y. A Multiscale Study on the Penetration Enhancement Mechanism of Menthol to Osthole. J. Chem. Inf. Model. 2016, 56, 2234–2242. [Google Scholar] [CrossRef]
- Rodríguez-Torrado, M.; Kara, A.; Torrado, S.; Romero, A.; Juberías, A.; Torrado, J.J.; Serrano, D.R. In Vitro and In Vivo Characteristics of Olive Oil as Excipient for Topical Administration. Pharmaceutics 2022, 14, 2615. [Google Scholar] [CrossRef]












| Cell Type | Human Melanoma Cells | Mouse Melanoma Cells | Human Keratinocytes | Human Fibroblasts |
|---|---|---|---|---|
| Seeding density (pcs/well) | 1 × 104 | 1 × 104 | 1 × 104 | 8 × 103 |
Disclaimer/Publisher’s Note: The statements, opinions and data contained in all publications are solely those of the individual author(s) and contributor(s) and not of MDPI and/or the editor(s). MDPI and/or the editor(s) disclaim responsibility for any injury to people or property resulting from any ideas, methods, instructions or products referred to in the content. |
© 2024 by the authors. Licensee MDPI, Basel, Switzerland. This article is an open access article distributed under the terms and conditions of the Creative Commons Attribution (CC BY) license (https://creativecommons.org/licenses/by/4.0/).
Share and Cite
Yang, B.; Zhang, X.; Zhang, L.; Wu, J.; Wang, W.; Huang, Q.; Wang, Z.; Zhang, J.; Xu, T.; Wu, C.; et al. Ionic Liquid-Based Grapeseed Oil Emulsion for Enhanced Anti-Wrinkle Treatment. Pharmaceuticals 2024, 17, 1273. https://doi.org/10.3390/ph17101273
Yang B, Zhang X, Zhang L, Wu J, Wang W, Huang Q, Wang Z, Zhang J, Xu T, Wu C, et al. Ionic Liquid-Based Grapeseed Oil Emulsion for Enhanced Anti-Wrinkle Treatment. Pharmaceuticals. 2024; 17(10):1273. https://doi.org/10.3390/ph17101273
Chicago/Turabian StyleYang, Bo, Xu Zhang, Liguo Zhang, Jinjin Wu, Wei Wang, Qiaomei Huang, Zhenyuan Wang, Jichuan Zhang, Tongjie Xu, Chengyu Wu, and et al. 2024. "Ionic Liquid-Based Grapeseed Oil Emulsion for Enhanced Anti-Wrinkle Treatment" Pharmaceuticals 17, no. 10: 1273. https://doi.org/10.3390/ph17101273
APA StyleYang, B., Zhang, X., Zhang, L., Wu, J., Wang, W., Huang, Q., Wang, Z., Zhang, J., Xu, T., Wu, C., & Zhang, J. (2024). Ionic Liquid-Based Grapeseed Oil Emulsion for Enhanced Anti-Wrinkle Treatment. Pharmaceuticals, 17(10), 1273. https://doi.org/10.3390/ph17101273

