Physiology and Transcriptome Analysis of Exogenous GA3 Effects on the Seed Germination of Phyllostachys edulis
Abstract
1. Introduction
2. Materials and Methods
2.1. P. edulis Characteristics
2.2. Plant Material and Treatment
2.3. Measurements of Germination Parameters
2.4. Determination of Physiological and Biochemical Parameters
2.5. RNA Isolation and Transcriptome Profiling
2.6. Statistical Analysis
3. Results
3.1. Germination of P. edulis Seeds Was Stimulated by Exogenous GA3
3.2. Effects of Exogenous GA3 on Storage Substances at Different Germination Stages of the Seeds
3.3. Effects of Exogenous GA3 on Hydrolase During the Germination Process
3.4. Effects of Exogenous GA3 on the Contents of Antioxidant Enzymes and MDA During the Germination Process
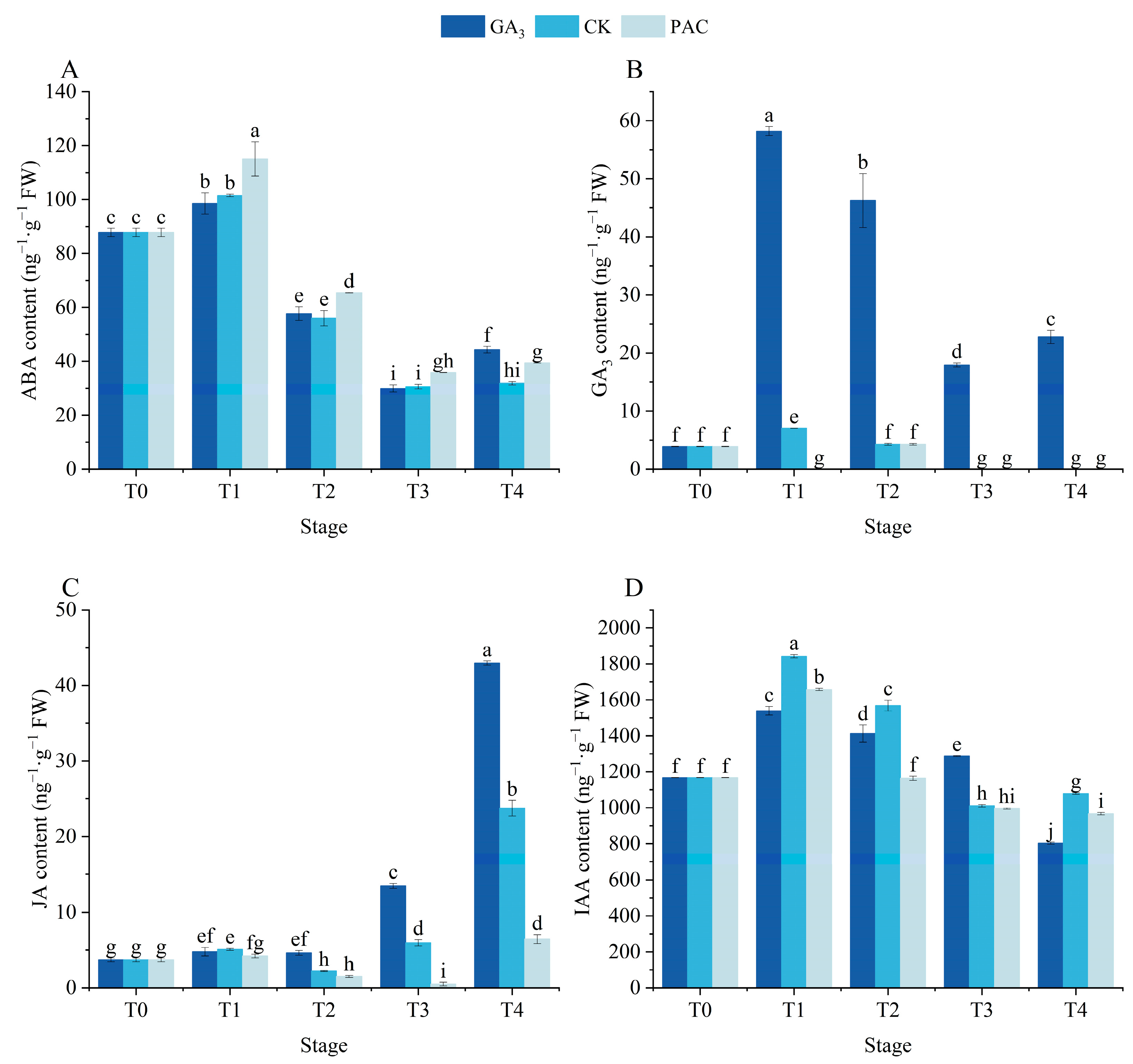
3.5. Effects of Exogenous GA3 on Endogenous Hormones During the Germination Process
3.6. Principal Component Analysis
3.7. RNA Sequencing and Gene Annotation of P. edulis Seed Transcriptome
3.8. Comparative Analysis of DEGs in P. edulis Seeds with Exogenous GA3 Treatment
3.9. DEGs Related to Starch and Sucrose Metabolism in Seed Germination
3.10. DEGs Involved in the Antioxidant System
3.11. DEGs Related to Hormone in Seed Germination
4. Discussion
4.1. Exogenous GA3 Promotes Seed Germination of P. edulis by Enhancing Metabolism of Storage Reserves
4.2. Exogenous GA3 Accelerates Seed Germination of P. edulis by Enhancing Antioxidant Capacity
4.3. Exogenous GA3 Regulates Seed Germination by Endogenous Hormonal Balance During Germination
5. Conclusions
Author Contributions
Funding
Institutional Review Board Statement
Informed Consent Statement
Data Availability Statement
Conflicts of Interest
Appendix A
Appendix A.1
| Parameters | PC1 | PC2 |
|---|---|---|
| ABA | −0.21797 | 0.4092 |
| JA | 0.34125 | −8.03 × 10−5 |
| IAA | 0.1037 | −0.51327 |
| GA | 0.31237 | 0.22282 |
| soluble protein | −0.12324 | −0.32462 |
| soluble sugar | 0.3307 | 0.12852 |
| starch | −0.30555 | −0.12266 |
| α-amylase | −0.17591 | 0.38624 |
| β-amylase | 0.3388 | 0.08431 |
| protease | 0.21537 | 0.40345 |
| APX | 0.32568 | −0.13951 |
| PPO | 0.30915 | −0.20541 |
| SOD | 0.34063 | 0.04198 |
| MDA | 0.0025 | −0.00596 |
| Eigen value | 8.4804 | 3.37035 |
| Variability % | 60.6 | 24.1 |
| Sample | Raw Reads | Clean Reads | Clean Data (bp) | Q20 (%) | Q30 (%) | Total Mapped Reads | Multiple Mapped Reads | Uniquely Mapped Reads |
|---|---|---|---|---|---|---|---|---|
| T0-1 | 52,850,320 | 50,536,670 | 7,631,037,170 | 97.54 | 93.78 | 46,064,556 (91.15%) | 2,795,073 (6.07%) | 43,269,483 (93.93%) |
| T0-2 | 48,653,908 | 46,540,196 | 7,027,569,596 | 97.41 | 93.49 | 42,343,218 (90.98%) | 2,524,403 (5.96%) | 39,818,815 (94.04%) |
| T0-3 | 48,408,030 | 46,183,684 | 6,973,736,284 | 97.47 | 93.65 | 42,042,215 (91.03%) | 2,490,463 (5.92%) | 39,551,752 (94.08%) |
| G1-1 | 42,249,322 | 40,316,952 | 6,087,859,752 | 97.50 | 93.89 | 36,460,133 (90.43%) | 2,440,356 (6.69%) | 34,019,777 (93.31%) |
| G1-2 | 51,810,176 | 49,531,224 | 7,479,214,824 | 97.30 | 93.35 | 44,541,094 (89.93%) | 3,173,131 (7.12%) | 41,367,963 (92.88%) |
| G1-3 | 49,680,734 | 47,535,422 | 7,177,848,722 | 97.49 | 93.80 | 42,816,098 (90.07%) | 2,906,413 (6.79%) | 39,909,685 (93.21%) |
| C1-1 | 41,683,570 | 39,821,840 | 6,013,097,840 | 97.44 | 93.67 | 36,371,209 (91.33%) | 2,156,916 (5.93%) | 34,214,293 (94.07%) |
| C1-2 | 45,461,818 | 43,406,602 | 6,554,396,902 | 97.51 | 93.76 | 39,703,789 (91.47%) | 2,294,386 (5.78%) | 37,409,403 (94.22%) |
| C1-3 | 50,133,194 | 47,931,194 | 7,237,610,294 | 97.44 | 93.57 | 43,801,747 (91.38%) | 2,536,452 (5.79%) | 41,265,295 (94.21%) |
| P1-1 | 45,764,410 | 43,754,092 | 6,606,867,892 | 97.45 | 93.74 | 39,535,032 (90.36%) | 2,387,472 (6.04%) | 37,147,560 (93.96%) |
| P1-2 | 52,310,254 | 49,955,160 | 7,543,229,160 | 97.49 | 93.83 | 45,163,069 (90.41%) | 2,791,129 (6.18%) | 42,371,940 (93.82%) |
| P1-3 | 43,863,914 | 41,927,410 | 6,331,038,910 | 97.56 | 93.99 | 37,890,248 (90.37%) | 2,316,271 (6.11%) | 35,573,977 (93.89%) |
| G2-1 | 43,282,354 | 41,091,190 | 6,204,769,690 | 97.79 | 94.10 | 38,647,132 (94.05%) | 1,920,983 (4.97%) | 36,726,149 (95.03%) |
| G2-2 | 44,857,842 | 42,603,580 | 6,433,140,580 | 97.71 | 93.94 | 40,050,531 (94.01%) | 1,970,855 (4.92%) | 38,079,676 (95.08%) |
| G2-3 | 52,885,574 | 50,197,296 | 7,579,791,696 | 97.67 | 93.76 | 47,217,057 (94.06%) | 2,301,076 (4.87%) | 44,915,981 (95.13%) |
| C2-1 | 52,206,732 | 49,578,412 | 7,486,340,212 | 97.86 | 94.27 | 46,635,778 (94.06%) | 2,357,648 (5.06%) | 44,278,130 (94.94%) |
| C2-2 | 50,077,694 | 47,553,058 | 7,180,511,758 | 97.67 | 93.81 | 44,567,062 (93.72%) | 2,328,859 (5.23%) | 42,238,203 (94.77%) |
| C2-3 | 43,962,458 | 41,740,470 | 6,302,810,970 | 97.87 | 94.35 | 39,151,798 (93.80%) | 2,021,445 (5.16%) | 37,130,353 (94.84%) |
| P2-1 | 43,728,180 | 41,576,904 | 6,278,112,504 | 97.71 | 93.97 | 39,021,453 (93.85%) | 1,991,669 (5.10%) | 37,029,784 (94.90%) |
| P2-2 | 52,331,552 | 49,740,852 | 7,510,868,652 | 97.73 | 93.96 | 46,679,366 (93.85%) | 2,428,439 (5.20%) | 44,250,927 (94.80%) |
| P2-3 | 46,137,400 | 43,821,376 | 6,617,027,776 | 97.74 | 94.03 | 41,070,278 (93.72%) | 2,114,680 (5.15%) | 38,955,598 (94.85%) |
| G3-1 | 51,017,512 | 48,426,990 | 7,312,475,490 | 97.81 | 94.13 | 45,666,601 (94.30%) | 2,429,011 (5.32%) | 43,237,590 (94.68%) |
| G3-2 | 52,810,726 | 50,191,392 | 7,578,900,192 | 97.83 | 94.19 | 47,277,070 (94.19%) | 2,574,813 (5.45%) | 44,702,257 (94.55%) |
| G3-3 | 48,324,224 | 45,881,938 | 6,928,172,638 | 97.94 | 94.50 | 43,267,940 (94.30%) | 2,305,947 (5.33%) | 40,961,993 (94.67%) |
| C3-1 | 46,349,158 | 44,046,918 | 6,651,084,618 | 97.80 | 94.13 | 41,497,948 (94.21%) | 1,978,000 (4.77%) | 39,519,948 (95.23%) |
| C3-2 | 55,469,422 | 52,704,006 | 7,958,304,906 | 97.66 | 93.73 | 49,640,645 (94.19%) | 2,351,790 (4.74%) | 47,288,855 (95.26%) |
| C3-3 | 51,160,342 | 48,577,058 | 7,335,135,758 | 97.76 | 94.05 | 45,711,769 (94.10%) | 2,196,002 (4.80%) | 43,515,767 (95.20%) |
| P3-1 | 49,846,126 | 46,988,048 | 7,095,195,248 | 97.67 | 93.90 | 44,228,852 (94.13%) | 2,685,693 (6.07%) | 41,543,159 (93.93%) |
| P3-2 | 48,311,390 | 45,666,704 | 6,895,672,304 | 97.88 | 94.31 | 43,182,964 (94.56%) | 2,509,117 (5.81%) | 40,673,847 (94.19%) |
| P3-3 | 49,833,424 | 47,062,108 | 7,106,378,308 | 97.74 | 94.05 | 44,447,195 (94.44%) | 2,607,219 (5.87%) | 41,839,976 (94.13%) |
| G4-1 | 42,391,122 | 40,001,676 | 6,040,253,076 | 97.94 | 94.27 | 38,291,331 (95.72%) | 1,658,599 (4.33%) | 36,632,732 (95.67%) |
| G4-2 | 49,381,724 | 46,561,012 | 7,030,712,812 | 98.15 | 94.89 | 44,629,577 (95.85%) | 1,926,068 (4.32%) | 41,839,976 (94.13%) |
| G4-3 | 50,275,080 | 47,442,424 | 7,163,806,024 | 98.12 | 94.68 | 45,551,568 (96.01%) | 1,993,706 (4.38%) | 43,557,862 (95.62%) |
| C4-1 | 47,916,340 | 45,559,088 | 6,879,422,288 | 97.95 | 94.35 | 43,230,807 (94.89%) | 1,966,982 (4.55%) | 41,263,825 (95.45%) |
| C4-2 | 47,201,546 | 44,828,862 | 6,769,158,162 | 97.75 | 93.99 | 42,284,995 (94.33%) | 2,051,412 (4.85%) | 40,233,583 (95.15%) |
| C4-3 | 47,873,136 | 45,480,484 | 6,867,553,084 | 97.92 | 94.39 | 42,970,739 (94.48%) | 2,083,979 (4.85%) | 40,886,760 (95.15%) |
| P4-1 | 42,168,746 | 40,052,536 | 6,047,932,936 | 97.77 | 94.22 | 37,507,410 (93.65%) | 1,993,925 (5.32%) | 35,513,485 (94.68%) |
| P4-2 | 51,069,950 | 48,628,690 | 7,342,932,190 | 97.73 | 93.96 | 45,593,820 (93.76%) | 2,399,789 (5.26%) | 43,194,031 (94.74%) |
| P4-3 | 47,269,230 | 44,969,746 | 6,790,431,646 | 97.66 | 93.85 | 41,932,518 (93.25%) | 2,346,052 (5.59%) | 39,586,466 (94.41%) |

References
- Rajjou, L.; Duval, M.; Gallardo, K.; Catusse, J.; Bally, J.; Job, C.; Job, D. Seed germination and vigor. Annu. Rev. Plant Biol. 2012, 63, 507–533. [Google Scholar] [CrossRef]
- Bewley, J.D. Seed germination and dormancy. Plant Cell 1997, 9, 1055. [Google Scholar] [CrossRef]
- Yanjie, Z.; Shunbao, L.; Handong, G. Effects of stratification and hormone treatments on germination and physio-biochemical properties of Taxus chinensis var. mairei seed. Am. J. Plant Sci. 2012, 3, 829–835. [Google Scholar] [CrossRef]
- Chachalis, D.; Reddy, K.N. Factors affecting Campsis radicans seed germination and seedling emergence. Weed Sci. 2000, 48, 212–216. [Google Scholar] [CrossRef]
- Wang, L.; Zhu, Y.; Jiang, J.; Tan, G.; Ma, Q.; Zhang, H. Dynamic changes in the levels of metabolites and endogenous hormones during the germination of Zanthoxylum nitidum (Roxb.) DC. seeds. Plant Signal. Behav. 2023, 18, 2251750. [Google Scholar] [CrossRef] [PubMed]
- Gao, S.; Chu, C. Gibberellin metabolism and signaling: Targets for improving agronomic performance of crops. Plant Cell Physiol. 2020, 61, 1902–1911. [Google Scholar] [CrossRef] [PubMed]
- Thomas, S.G.; Rieu, I.; Steber, C.M. Gibberellin metabolism and signaling. Vitam. Horm. 2005, 72, 289–338. [Google Scholar]
- Khalid, A.; Aftab, F. Effect of exogenous application of IAA and GA3 on growth, protein content, and antioxidant enzymes of Solanum tuberosum L. grown in vitro under salt stress. Vitr. Cell. Dev. Biol. Plant. 2020, 56, 377–389. [Google Scholar] [CrossRef]
- Henderson, J.T.; Li, H.C.; Rider, S.D.; Mordhorst, A.P.; Romero-Severson, J.; Cheng, J.C.; Robey, J.; Sung, Z.R.; De Vries, S.C.; Ogas, J. PICKLE acts throughout the plant to repress expression of embryonic traits and may play a role in gibberellin-dependent responses. Plant Physiol. 2004, 134, 995–1005. [Google Scholar] [CrossRef]
- Cao, X.; Li, M.; Li, J.; Song, Y.; Zhang, X.; Yang, D.; Li, M.; Wei, J. Co-expression of hydrolase genes improves seed germination of Sinopodophyllum hexandrum. Ind. Crops Prod. 2021, 164, 113414. [Google Scholar] [CrossRef]
- Li, Q.; Yang, A. Comparative studies on seed germination of two rice genotypes with different tolerances to low temperature. Environ. Exp. Bot. 2020, 179, 104216. [Google Scholar] [CrossRef]
- Xia, J.; Hao, X.; Wang, T.; Li, H.; Shi, X.; Liu, Y.; Luo, H. Seed priming with gibberellin regulates the germination of cotton seeds under low-temperature conditions. J. Plant Growth Regul. 2023, 42, 319–334. [Google Scholar] [CrossRef]
- Liu, Y.Y.; Zang, D.K. Effects of cold stratification and GA3 on seed dormancy of Korean Hackberry (Celtis koraiensis Nakai). Propag. Ornam. Plants. 2016, 16, 62–69. [Google Scholar]
- Vaistij, F.E.; Gan, Y.; Penfield, S.; Gilday, A.D.; Dave, A.; He, Z.; Josse, E.M.; Choi, G.; Halliday, K.J.; Graham, I.A. Differential control of seed primary dormancy in Arabidopsis ecotypes by the transcription factor SPATULA. Proc. Natl. Acad. Sci. USA 2013, 110, 10866–10871. [Google Scholar] [CrossRef] [PubMed]
- Olszewski, N.; Sun, T.; Gubler, F. Gibberellin signaling: Biosynthesis, catabolism, and response pathways. Plant Cell 2002, 14, S61–S80. [Google Scholar] [CrossRef]
- Shu, K.; Liu, X.; Xie, Q.; He, Z. Two faces of one seed: Hormonal regulation of dormancy and germination. Mol. Plant 2016, 9, 34–45. [Google Scholar] [CrossRef]
- Zhou, Z.; Li, Z.; Fan, F.; Qin, H.; Ding, G. Effects of exogenous GA3 on stem secondary growth of Pinus massoniana seedlings. Plant Physiol. Biochem. 2024, 206, 108254. [Google Scholar] [CrossRef]
- Sakamoto, T.; Miura, K.; Itoh, H.; Tatsumi, T.; Ueguchi-Tanaka, M.; Ishiyama, K.; Kobayashi, M.; Agrawal, G.K.; Takeda, S.; Abe, K. An overview of gibberellin metabolism enzyme genes and their related mutants in rice. Plant Physiol. 2004, 134, 1642–1653. [Google Scholar] [CrossRef]
- Yoshida, H.; Takehara, S.; Mori, M.; Ordonio, R.L.; Matsuoka, M. Evolution of GA metabolic enzymes in land plants. Plant Cell Physiol. 2020, 61, 1919–1934. [Google Scholar] [CrossRef]
- Hauvermale, A.L.; Steber, C.M. GA signaling is essential for the embryo-to-seedling transition during Arabidopsis seed germination, a ghost story. Plant Signal. Behav. 2020, 15, 1705028. [Google Scholar] [CrossRef]
- Ito, T.; Okada, K.; Fukazawa, J.; Takahashi, Y. DELLA-dependent and-independent gibberellin signaling. Plant Signal. Behav. 2018, 13, e1445933. [Google Scholar] [CrossRef]
- Nelson, S.K.; Steber, C.M. Gibberellin hormone signal perception: Down-regulating DELLA repressors of plant growth and development. Annu. Plant Rev. 2016, 49, 153–188. [Google Scholar]
- Eckardt, N.A. Foolish seedlings and DELLA regulators: The functions of rice SLR1 and Arabidopsis RGL1 in GA signal transduction. Plant Cell 2002, 14, 1–5. [Google Scholar] [CrossRef]
- Hussain, A.; Peng, J. DELLA proteins and GA signaling in Arabidopsis. J. Plant Growth Regul. 2003, 22, 134–140. [Google Scholar] [CrossRef]
- Griffiths, J.; Murase, K.; Rieu, I.; Zentella, R.; Zhang, Z.L.; Powers, S.J.; Gong, F.; Phillips, A.L.; Hedden, P.; Sun, T.; et al. Genetic characterization and functional analysis of the GID1 gibberellin receptors in Arabidopsis. Plant Cell 2007, 18, 3399–3414. [Google Scholar] [CrossRef]
- Iuchi, S.; Suzuki, H.; Kim, Y.; Iuchi, A.; Kuromori, T.; Ueguchi-Tanaka, M.; Asami, T.; Yamaguchi, I.; Matsuoka, M.; Kobayashi, M.; et al. Multiple loss-of-function of Arabidopsis gibberellin receptor AtGID1s completely shuts down a gibberellin signal. Plant J. 2007, 50, 958–966. [Google Scholar] [CrossRef] [PubMed]
- Yano, K.; Aya, K.; Hirano, K.; Ordonio, R.L.; Ueguchi-Tanaka, M.; Matsuoka, M. Comprehensive gene expression analysis of rice aleurone cells: Probing the existence of an alternative gibberellin receptor. Plant Physiol. 2015, 167, 531–544. [Google Scholar] [CrossRef]
- Chen, X.; Zhang, X.; Zhang, Y.; Booth, T.; He, X. Changes of carbon stocks in bamboo stands in China during 100 Years. For. Ecol. Manag. 2009, 258, 1489–1496. [Google Scholar] [CrossRef]
- Peng, Z.; Lu, T.; Li, L.; Liu, X.; Gao, Z.; Hu, T.; Yang, X.; Feng, Q.; Guan, J.; Weng, Q.; et al. Genome-wide characterization of the biggest grass, bamboo, based on 10,608 putative full-length cDNA sequences. BMC Plant Biol. 2010, 10, 116. [Google Scholar] [CrossRef] [PubMed]
- Isagi, Y.; Oda, T.; Fukushima, K.; Lian, C.; Yokogawa, M.; Kaneko, S. Predominance of a single clone of the most widely distributed bamboo species Phyllostachys edulis in East Asia. J. Plant Res. 2016, 129, 21–27. [Google Scholar] [CrossRef]
- Sertse, D.; Disasa, T.; Bekele, K.; Alebachew, M.; Kebede, Y.; Eshete, N.; Eshetu, S. Mass flowering and death of bamboo: A potential threat to biodiversity and livelihoods in Ethiopia. J. Bio. Environ. Sci. 2011, 1, 16–25. [Google Scholar]
- Li, J.; Li, X.; Bai, Y.; Xie, Y.; Li, L.; Mu, S.; Gao, J. Transcriptome analysis of energy supply process during seed germination in Phyllostachys edulis. Plant Mol. Biol. Rep. 2023, 41, 489–511. [Google Scholar] [CrossRef]
- Li, J.; Bai, Y.; Xie, Y.; Gao, J. Ultrastructure change and transcriptome analysis of GA3 treatment on seed germination of moso bamboo (Phyllostachys edulis). Plant Signal. Behav. 2022, 17, 2091305. [Google Scholar] [CrossRef] [PubMed]
- Wu, S.; Si, Q.; Yang, K.; Zhang, W.; Zhang, L.; Okita, T.W.; Yan, Y.; Tian, L. Transcriptome analysis reveals the effects of exogenous gibberellin on the germination of Solanum torvum seeds. Agronomy 2024, 14, 1736. [Google Scholar] [CrossRef]
- Leng, F.; Sun, S.; Jing, Y.; Wang, F.; Wei, Q.; Wang, X.; Zhu, X. A rapid and sensitive method for determination of trace amounts of glucose by anthrone-sulfuric acid method. Bulg. Chem. Commun. 2016, 48, 109–113. [Google Scholar]
- Asryants, R.A.; Duszenkova, I.V.; Nagradova, N.K. Determination of sepharose-bound protein with coomassie brilliant blue G-250. Anal. Biochem. 1985, 151, 571–574. [Google Scholar] [CrossRef]
- Senna, R.; Simonin, V.; Silva-Neto, M.A.C.; Fialho, E. Induction of acid phosphatase activity during germination of maize (Zea mays) seeds. Plant Physiol. Biochem. 2006, 44, 467–473. [Google Scholar] [CrossRef]
- Lowry, O.H.; Rosebrough, N.J.; Farr, A.L.; Randall, R.J. Protein measurement with the Folin phenol reagent. J. Biol. Chem. 1951, 193, 265–275. [Google Scholar] [CrossRef]
- Waqas Mazhar, M.; Ishtiaq, M.; Maqbool, M.; Akram, R.; Shahid, A.; Shokralla, S.; Al-Ghobari, H.; Alataway, A.; Dewidar, A.Z.; El-Sabrout, A.M. Seed priming with iron oxide nanoparticles raises biomass production and agronomic profile of water-stressed flax plants. Agronomy 2022, 12, 982. [Google Scholar] [CrossRef]
- Sahbaz, R.; Lieberei, R.; Aniszewski, T. Polyphenol oxidase (PPO, catecholase) activity during germination and early seedling growth of Cicer milkvetch (Astragalus cicer L.). J. Appl. Bot. Food Qual. 2012, 82, 163–169. [Google Scholar]
- Lamhamdi, M.; Bakrim, A.; Aarab, A.; Lafont, R.; Sayah, F. Lead phytotoxicity on wheat (Triticum aestivum L.) seed germination and seedlings growth. Comptes Rendus Biol. 2011, 334, 118–126. [Google Scholar] [CrossRef]
- Zeng, H.; Liu, M.; Wang, X.; Liu, L.; Wu, H.; Chen, X.; Wang, H.; Shen, Q.; Chen, G.; Wang, Y. Seed-soaking with melatonin for the improvement of seed germination, seedling growth, and the antioxidant defense system under flooding stress. Agronomy 2022, 12, 1918. [Google Scholar] [CrossRef]
- Liao, X.; Hong, Y.; Chen, Z. Identification and quantification of the bioactive components in Osmanthus fragrans roots by HPLC-MS/MS. J. Pharm. Anal. 2021, 11, 299–307. [Google Scholar] [CrossRef] [PubMed]
- Zhao, H.; Gao, Z.; Wang, L.; Wang, J.; Wang, S.; Fei, B.; Chen, C.; Shi, C.; Liu, X.; Zhang, H. Chromosome-level reference genome and alternative splicing atlas of moso bamboo (Phyllostachys edulis). Gigascience 2018, 7, giy115. [Google Scholar] [CrossRef]
- Anders, S.; Huber, W. Differential expression analysis for sequence count data. Nat. Preced. 2010, 1, 1. [Google Scholar]
- Li, W.; Liu, X.; Hanada, A.; Khan, M.A. Effect of cold stratification, scarification and hormones on germination of dimorphic seeds of Atriplex centralasiatica under saline conditions. Seed Sci. Technol. 2011, 39, 82–92. [Google Scholar] [CrossRef]
- Song, Q.; Cheng, S.; Chen, Z.; Nie, G.; Xu, F.; Zhang, J.; Zhou, M.; Zhang, W.; Liao, Y.; Ye, J. Comparative transcriptome analysis revealing the potential mechanism of seed germination stimulated by exogenous gibberellin in Fraxinus hupehensis. BMC Plant Biol. 2019, 19, 199. [Google Scholar] [CrossRef]
- Nonogaki, H.; Bassel, G.W.; Bewley, J.D. Germination—Still a mystery. Plant Sci. 2010, 179, 574–581. [Google Scholar] [CrossRef]
- Wang, L.L.; Chen, X.Y.; Yang, Y.; Wang, Z.; Xiong, F. Effects of exogenous gibberellic acid and abscisic acid on germination, amylases, and endosperm structure of germinating wheat seeds. Seed Sci. Technol. 2016, 44, 64–76. [Google Scholar] [CrossRef]
- Ziegler, P. CerealBeta-Amylases. J. Cereal Sci. 1999, 29, 195–204. [Google Scholar] [CrossRef]
- Zhao, M.; Zhang, H.; Yan, H.; Qiu, L.; Baskin, C.C. Mobilization and role of starch, protein, and fat reserves during seed germination of six wild grassland species. Front. Plant Sci. 2018, 9, 234. [Google Scholar] [CrossRef]
- Sun, J.; Cheng, Q.; Liu, M.; Lei, H.; Tao, J. Transcriptome sequencing and analysis of genes related to sucrose metabolism and transporter of Paeonia ostii seed with sucrose treatment. Agronomy 2022, 12, 1771. [Google Scholar] [CrossRef]
- Zhang, L.; Zhu, F.; Jin, D.; Wu, Y.; Wang, S. Seed germination and seedling growth of Dendrocalumus brandisii in vitro, and the inhibitory mechanism of colchicine. Front. Plant Sci. 2021, 12, 784581. [Google Scholar] [CrossRef] [PubMed]
- Wang, H.; Xu, T.; Li, Y.; Gao, R.; Tao, X.; Song, J.; Li, C.; Li, Q. Comparative transcriptome analysis reveals the potential mechanism of GA3-induced dormancy release in Suaeda glauca black seeds. Front. Plant Sci. 2024, 15, 1354141. [Google Scholar] [CrossRef] [PubMed]
- Qian, J.; Mo, X.; Wang, Y.; Li, Q. Seed priming with 2, 4-epibrassionolide enhances seed germination and heat tolerance in rice by regulating the antioxidant system and plant hormone signaling pathways. Antioxidants 2025, 14, 242. [Google Scholar] [CrossRef]
- Mansoor, S.; Ali Wani, O.; Lone, J.K.; Manhas, S.; Kour, N.; Alam, P.; Ahmad, A.; Ahmad, P. Reactive oxygen species in plants: From source to sink. Antioxidants 2022, 11, 225. [Google Scholar] [CrossRef]
- Shi, Y.; Zhang, Y.; Yao, H.; Wu, J.; Sun, H.; Gong, H. Silicon improves seed germination and alleviates oxidative stress of bud seedlings in tomato under water deficit stress. Plant Physiol. Biochem. 2014, 78, 27–36. [Google Scholar] [CrossRef]
- Wang, Y.; Sun, X.; Peng, J.; Li, F.; Ali, F.; Wang, Z. Regulation of seed germination: ROS, epigenetic, and hormonal aspects. J. Adv. Res. 2025, 71, 107–125. [Google Scholar] [CrossRef]
- Mohaddes Ardebili, Z.; Abbaspour, H.; Tavakkol Afshari, R.; Nabavi Kalat, S.M. Evaluation of germination and antioxidant activity in GA3-primed deteriorated wheat seed. Russ. J. Plant Physiol. 2019, 66, 958–965. [Google Scholar] [CrossRef]
- Li, Z.; Lu, G.Y.; Zhang, X.K.; Zhou, C.S.; Cheng, Y.; Zheng, P.Y. Improving drought tolerance of germinating seeds by exogenous application of gibberellic acid (GA3) in rapeseed (Brassica napus L.). Seed Sci. Technol. 2010, 38, 432–440. [Google Scholar] [CrossRef]
- Younesi, O.; Moradi, A. Effect of priming of seeds of Medicago sativa “Bami” with gibberellic acid on germination, seedlings growth and antioxidant enzymes activity under salinity stress. J. Hortic. Res. 2014, 22, 167–174. [Google Scholar] [CrossRef]
- Ahmad, F.; Kamal, A.; Singh, A.; Ashfaque, F.; Alamri, S.; Siddiqui, M.H.; Khan, M.I.R. Seed priming with gibberellic acid induces high salinity tolerance in Pisum sativum through antioxidants, secondary metabolites and up-regulation of antiporter genes. Plant Biol. 2021, 23, 113–121. [Google Scholar] [CrossRef]
- Miransari, M.; Smith, D.L. Plant hormones and seed germination. Environ. Exp. Bot. 2014, 99, 110–121. [Google Scholar] [CrossRef]
- Gong, D.; He, F.; Liu, J.; Zhang, C.; Wang, Y.; Tian, S.; Sun, C.; Zhang, X. Understanding of hormonal regulation in rice seed germination. Life 2022, 12, 1021. [Google Scholar] [CrossRef]
- Finkelstein, R.; Reeves, W.; Ariizumi, T.; Steber, C. Molecular aspects of seed dormancy. Annu. Rev. Plant Biol. 2008, 59, 387–415. [Google Scholar] [CrossRef]
- Li, J.Z.; Li, M.Q.; Han, Y.C.; Sun, H.Z.; Du, Y.X.; Zhao, Q.Z. The crucial role of gibberellic acid on germination of drought-resistant upland rice. Biol. Plant. 2019, 63, 529–535. [Google Scholar]
- Luo, Y.; Wang, K.; Cheng, J.; Nan, L. Transcriptome analysis of Onobrychis viciifolia during seed germination reveals GA3-Inducible genes associated with phenylpropanoid and hormone pathways. Int. J. Mol. Sci. 2025, 26, 2335. [Google Scholar] [CrossRef]
- Carrera-Castaño, G.; Calleja-Cabrera, J.; Pernas, M.; Gómez, L.; Oñate-Sánchez, L. An updated overview on the regulation of seed germination. Plants 2020, 9, 703. [Google Scholar] [CrossRef]
- Yildiz, K.; Muradoglu, F.; Yilmaz, H. The effect of jasmonic acid on germination of dormant and nondormant pear (Pyrus communis L.) seeds. Seed Sci. Technol. 2008, 36, 569–574. [Google Scholar] [CrossRef]
- Nguyen, T.N.; Tuan, P.A.; Ayele, B.T. Jasmonate regulates seed dormancy in wheat via modulating the balance between gibberellin and abscisic acid. J. Exp. Bot. 2022, 73, 2434–2453. [Google Scholar] [CrossRef] [PubMed]
- Shuai, H.; Meng, Y.; Luo, X.; Chen, F.; Zhou, W.; Dai, Y.; Qi, Y.; Du, J.; Yang, F.; Liu, J.; et al. Exogenous auxin represses soybean seed germination through decreasing the gibberellin/abscisic acid (GA/ABA) ratio. Sci. Rep. 2017, 7, 12620. [Google Scholar] [CrossRef]
- Shimada, A.; Ueguchi-Tanaka, M.; Nakatsu, T.; Nakajima, M.; Naoe, Y.; Ohmiya, H.; Kato, H.; Matsuoka, M. Structural basis for gibberellin recognition by its receptor GID1. Nature 2008, 456, 520–523. [Google Scholar] [CrossRef] [PubMed]
- Tuan, P.A.; Kumar, R.; Rehal, P.K.; Toora, P.K.; Ayele, B.T. Molecular mechanisms underlying abscisic acid/gibberellin balance in the control of seed dormancy and germination in cereals. Front. Plant Sci. 2018, 9, 668. [Google Scholar] [CrossRef] [PubMed]
- Schaller, F.; Schaller, A.; Stintzi, A. Biosynthesis and metabolism of jasmonates. J. Plant Growth Regul. 2004, 23, 179–199. [Google Scholar] [CrossRef]












| Treatment | Germination Percentage (GP, %) | Germination Energy (GE, %) | Germination Index (GI) | Mean Germination Time (MGT, d) |
|---|---|---|---|---|
| CK | 41.0 ± 3.0 b | 36.6 ± 0.2 a | 1.9 ± 0.1 b | 15.6 ± 3.7 a |
| GA3 | 52.0 ± 6.0 a | 38.9 ± 4.5 a | 2.5 ± 0.2 a | 14.8 ± 3.5 a |
| PAC | 0.0 c | 0.0 b | 0.0 c | 0.0 b |
Disclaimer/Publisher’s Note: The statements, opinions and data contained in all publications are solely those of the individual author(s) and contributor(s) and not of MDPI and/or the editor(s). MDPI and/or the editor(s) disclaim responsibility for any injury to people or property resulting from any ideas, methods, instructions or products referred to in the content. |
© 2025 by the authors. Licensee MDPI, Basel, Switzerland. This article is an open access article distributed under the terms and conditions of the Creative Commons Attribution (CC BY) license (https://creativecommons.org/licenses/by/4.0/).
Share and Cite
Liao, H.; Liu, S.; Li, Y.; Yang, Q.; Hu, Y. Physiology and Transcriptome Analysis of Exogenous GA3 Effects on the Seed Germination of Phyllostachys edulis. Curr. Issues Mol. Biol. 2025, 47, 686. https://doi.org/10.3390/cimb47090686
Liao H, Liu S, Li Y, Yang Q, Hu Y. Physiology and Transcriptome Analysis of Exogenous GA3 Effects on the Seed Germination of Phyllostachys edulis. Current Issues in Molecular Biology. 2025; 47(9):686. https://doi.org/10.3390/cimb47090686
Chicago/Turabian StyleLiao, He, Shinan Liu, Yuansong Li, Qiancheng Yang, and Ying Hu. 2025. "Physiology and Transcriptome Analysis of Exogenous GA3 Effects on the Seed Germination of Phyllostachys edulis" Current Issues in Molecular Biology 47, no. 9: 686. https://doi.org/10.3390/cimb47090686
APA StyleLiao, H., Liu, S., Li, Y., Yang, Q., & Hu, Y. (2025). Physiology and Transcriptome Analysis of Exogenous GA3 Effects on the Seed Germination of Phyllostachys edulis. Current Issues in Molecular Biology, 47(9), 686. https://doi.org/10.3390/cimb47090686

