Association Between Weight Status and Executive Function in Young Adults
Abstract
1. Introduction
2. Methods
2.1. Participants
2.2. Procedures
2.3. Anthropometry
2.4. Assessment of Executive Functions
2.4.1. Motor Screening Test (MST)
2.4.2. Stop Signal Task (SST)
2.4.3. Spatial Working Memory (SWM)
2.4.4. Spatial Span (SSP)
2.5. Covariates
2.6. Statistical Analyses
3. Results
3.1. General Characteristics
3.2. Linear Approach
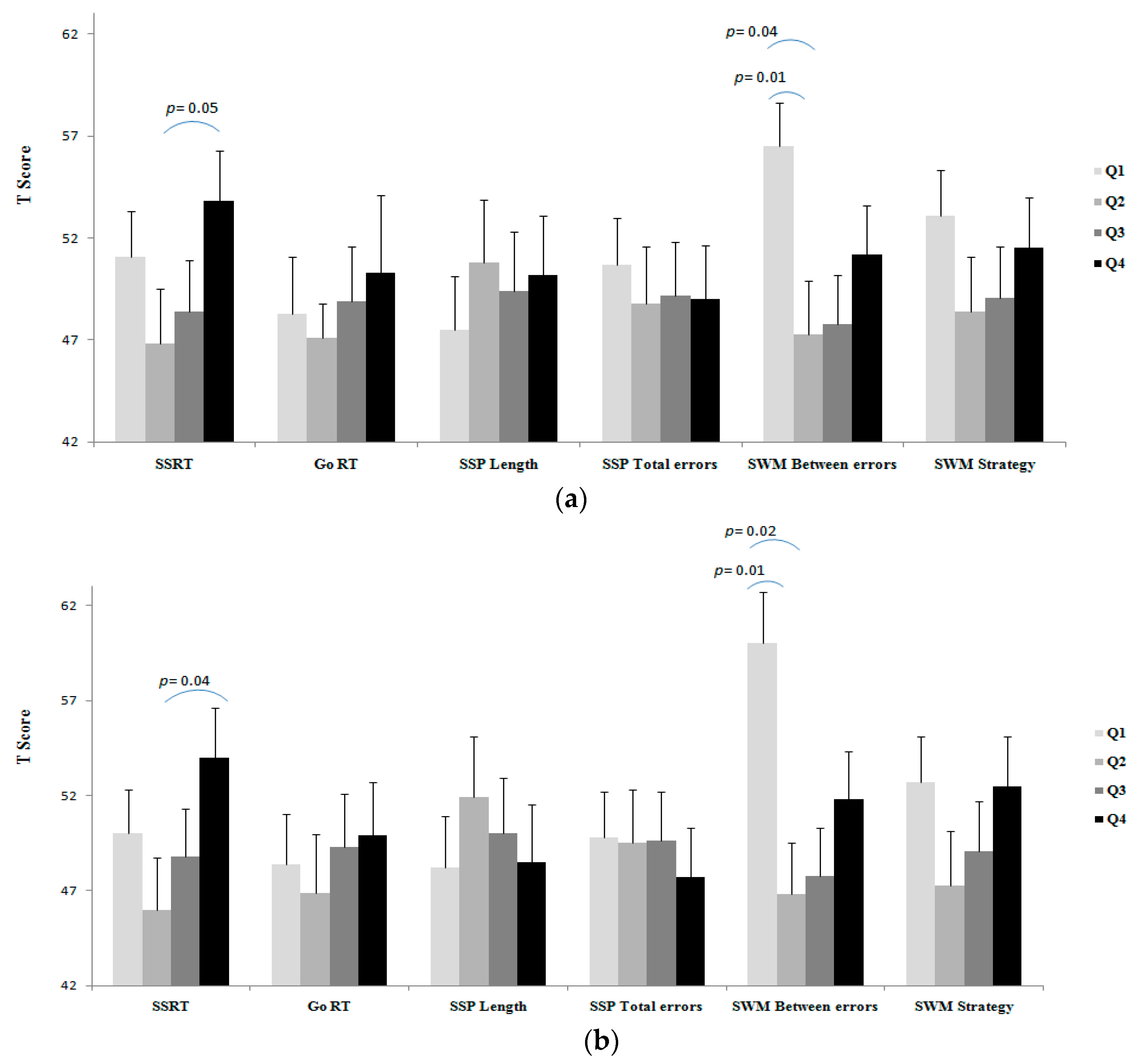
3.3. Comparison Approach
4. Discussion
5. Conclusions
Author Contributions
Funding
Conflicts of Interest
References
- Yanovski, J.A. Trends in underweight and obesity: Scale of the problem. Nat. Rev. Endocrinol. 2018, 14, 5–6. [Google Scholar] [CrossRef] [PubMed]
- Liang, J.; Matheson, B.E.; Kaye, W.H.; Boutelle, K.N. Neurocognitive correlates of obesity and obesity-related behaviors in children and adolescents. Int. J. Obes. (Lond.) 2014, 38, 494–506. [Google Scholar] [CrossRef] [PubMed]
- Prickett, C.; Brennan, L.; Stolwyk, R. Examining the relationship between obesity and cognitive function: A systematic literature review. Obes. Res. Clin. Pract. 2015, 9, 93–113. [Google Scholar] [CrossRef] [PubMed]
- O’Brien, P.D.; Hinder, L.M.; Callaghan, B.C.; Feldman, E.L. Neurological consequences of obesity. Lancet Neurol. 2017, 16, 465–477. [Google Scholar] [CrossRef]
- Wang, J.; Freire, D.; Knable, L.; Zhao, W.; Gong, B.; Mazzola, P.; Ho, L.; Levine, S.; Pasinetti, G.M. Childhood and adolescent obesity and long-term cognitive consequences during aging. J. Comp. Neurol. 2015, 523, 1587. [Google Scholar] [CrossRef] [PubMed]
- Noble, K.G.; Norman, M.F.; Farah, M.J. Neurocognitive correlates of socioeconomic status in kindergarten children. Dev. Sci. 2005, 8, 74–87. [Google Scholar] [CrossRef] [PubMed]
- Baxter, S.D.; Guinn, C.H.; Tebbs, J.M.; Royer, J.A. There is no relationship between academic achievement and body mass index among fourth-grade, predominantly African-American children. J. Acad. Nutr. Diet. 2013, 113, 551–557. [Google Scholar] [CrossRef]
- Cserjesi, R.; Luminet, O.; Poncelet, A.S.; Lénárd, L. Altered executive function in obesity. Exploration of the role of affective states on cognitive abilities. Appetite 2009, 52, 535–539. [Google Scholar] [CrossRef]
- Chang, Y.K.; Chu, C.H.; Chen, F.T.; Hung, T.M.; Etnier, J.L. Combined effects of physical activity and obesity on cognitive function: Independent, overlapping, moderator, and mediator models. Sports Med. 2017, 47, 449–468. [Google Scholar] [CrossRef]
- Nooyens, A.C.; Koppes, L.L.; Visscher, T.L.; Twisk, J.W.; Kemper, H.C.; Schuit, A.J.; Van Mechelen, W.; Seidell, J.C. Adolescent skinfold thickness is a better predictor of high body fatness in adults than is body mass index: The Amsterdam growth and health longitudinal study. Am. J. Clin. Nutr. 2007, 85, 1533–1539. [Google Scholar] [CrossRef]
- Mak, K.K.; Tan, S.H. Underweight problems in Asian children and adolescents. Eur. J. Nucl. Med. Mol. Imaging 2012, 171, 779–785. [Google Scholar] [CrossRef] [PubMed]
- Bae, S.; Shimada, H.; Park, H.; Lee, S.; Makizako, H.; Doi, T.; Yoshida, D.; Tsutsumimoto, K.; Anan, Y.; Suzuki, T. Association between body composition parameters and risk of mild cognitive impairment in older Japanese adults. Geriatr. Gerontol. Int. 2017, 17, 2053–2059. [Google Scholar] [CrossRef] [PubMed]
- Noh, H.M.; Oh, S.; Song, H.J.; Lee, E.Y.; Jeong, J.Y.; Ryu, O.H.; Hong, K.S.; Kim, D.H. Relationships between cognitive function and body composition among community-dwelling older adults: A cross-sectional study. BMC Geriatr. 2017, 17, 259. [Google Scholar] [CrossRef] [PubMed]
- Nourhashémi, F.; Andrieu, S.; Gillette-Guyonnet, S.; Reynish, E.; Albarède, J.L.; Grandjean, H.; Vellas, B. Is there a relationship between fat-free soft tissue mass and low cognitive function? Results from a study of 7105 women. J. Am. Geriatr. Soc. 2002, 50, 1796–1801. [Google Scholar] [CrossRef] [PubMed]
- Diamond, A.; Lee, K. Interventions shown to aid executive function development in children 4 to 12 years old. Science 2011, 333, 959–964. [Google Scholar] [CrossRef] [PubMed]
- Strauss, E.; Sherman, E.M.S.; Spreen, O. A Compendium of Neuropsychological Tests: Administration, Norms and Commentary, 3rd ed.; Oxford Univeristy Press: New York, NY, USA, 2006. [Google Scholar]
- Sahakian, B.J.; Owen, A.M. Computerized assessment in neuropsychiatry using CANTAB: Discussion paper. J. R. Soc. Med. 1992, 85, 399–402. [Google Scholar] [PubMed]
- Smith, P.J.; Need, A.C.; Cirulli, E.T.; Chiba-Falek, O.; Attix, D.K. A comparison of the Cambridge automated neuropsychological test battery (CANTAB) with “traditional” neuropsychological testing instruments. J. Clin. Exp. Neuropsychol. 2013, 35, 319–328. [Google Scholar] [CrossRef] [PubMed]
- Moradi, A.; Esmaeilzadeh, S. Association between reaction time, speed and agility in schoolboys. Sport Sci. Heal. 2015, 11, 251–256. [Google Scholar] [CrossRef]
- The international physical activity questionnaire. 2005. Available online: http://www.ipaq.ki.se/ (accessed on 10 July 2018).
- Craig, C.L.; Marshall, A.L.; Sjöström, M.; Bauman, A.E.; Booth, M.L.; Ainsworth, B.E.; Pratt, M.; Ekelund, U.; Yngve, A.; Sallis, J.F.; et al. International physical activity questionnaire: 12-country reliability and validity. Med. Sci. Sports Exerc. 2003, 35, 1381–1395. [Google Scholar] [CrossRef] [PubMed]
- Ghassemzadeh, H.; Mojtabai, R.; Karamghadiri, N.; Ebrahimkhani, N. Psychometric properties of a Persian-language version of the Beck Depression Inventory–Second edition: BDI-II-PERSIAN. Depress. Anxiety 2005, 21, 185–192. [Google Scholar] [CrossRef]
- Cohen, J. Statistical Power Analysis for the Behavioral Sciences; Lawrence Erlbaum: Mahwah, NJ, USA, 1988. [Google Scholar]
- Faul, F.; Erdfelder, E.; Lang, A.G.; Buchner, A. G*Power 3: A flexible statistical power analysis program for the social, behavioral, and biomedical sciences. Behav. Res. Methods 2007, 39, 175–191. [Google Scholar] [CrossRef] [PubMed]
- Cole, T.J.; Bellizzi, M.C.; Flegal, K.M.; Dietz, W.H. Establishing a standard definition for child overweight and obesity worldwide: International survey. BMJ 2000, 320, 1240. [Google Scholar] [CrossRef] [PubMed]
- Cole, T.J.; Flegal, K.M.; Nicholls, D.; Jackson, A.A. Body mass index cut offs to define thinness in children and adolescents: International survey. BMJ 2005, 335, 194–197. [Google Scholar] [CrossRef] [PubMed]
- Golden, R.; Hassevoort, K.; Cannavale, C.; Edwards, C.; Thompson, S.; Burd, N.; Holscher, H.; Cohen, N.; Khan, N. Lean body mass, but not fat mass, is associated with hippocampal memory performance (P14-011-19). Curr. Dev. Nutr. 2019, 3, 1291. [Google Scholar] [CrossRef] [PubMed]
- Deurenberg, P.; Yap, M.; Van Staveren, W.A. Body mass index and percent body fat: A meta analysis among different ethnic groups. Int. J. Obes. 1998, 22, 1164–1171. [Google Scholar] [CrossRef]
- Oliosa, P.R.; Zaniqueli, D.; Alvim, R.D.O.; Barbosa, M.C.R.; Mill, J.G. Body fat percentage is better than indicators of weight status to identify children and adolescents with unfavorable lipid profile. Jornal de Pediatria (Versão em Português) 2019, 95, 112–118. [Google Scholar] [CrossRef]
- Fagundo, A.B.; de-la-Torre, R.; Jiménez-Murcia, S.; Agüera, Z.; Granero, R.; Tárrega, S.; Botella, C.; Baños, R.; Fernández-Real, J.M.; Rodríguez, R.; et al. Executive functions profile in extreme eating/weight conditions: From anorexia nervosa to obesity. PLoS ONE 2012, 7, e43382. [Google Scholar] [CrossRef]
- Nederkoorn, C.; Smulders, F.T.Y.; Havermans, R.C.; Roefs, A.; Jansen, A. Impulsivity in obese women. Appetite 2006, 47, 253–256. [Google Scholar] [CrossRef]
- Ariza, M.; Garolera, M.; Jurado, M.A.; Garcia-Garcia, I.; Hernan, I.; Sánchez-Garre, C.; Vernet-Vernet, M.; Sender-Palacios, M.J.; Marques-Iturria, I.; Pueyo, R.; et al. Dopamine genes (DRD2/ANKK1-TaqA1 and DRD4-7R) and executive function: Their interaction with obesity. PLoS ONE 2012, 7, e41482. [Google Scholar] [CrossRef]
- Gonzales, M.M.; Tarumi, T.; Miles, S.C.; Tanaka, H.; Shah, F.; Haley, A.P. Insulin sensitivity as a mediator of the relationship between BMI and working memory-related brain activation. Obesisty 2010, 18, 2131–2137. [Google Scholar] [CrossRef]
- Verdejo-García, A.; Pérez-Expósito, M.; Schmidt-Río-Valle, J.; Fernández-Serrano, M.J.; Cruz, F.; Pérez-García, M.; López-Belmonte, G.; Martin-Matillas, M.; Martin-Lagos, J.A.; Marcos, A.; et al. Selective alterations within executive functions in adolescents with excess weight. Obesisty 2010, 18, 1572–1578. [Google Scholar] [CrossRef] [PubMed]
- Maayan, L.; Hoogendoorn, C.; Sweat, V.; Convit, A. Disinhibited eating in obese adolescents is associated with orbitofrontal volume reductions and executive dysfunction. Obesisty 2011, 19, 1382–1387. [Google Scholar] [CrossRef] [PubMed]
- Gunstad, J.; Spitznagel, M.B.; Paul, R.H.; Cohen, R.A.; Kohn, M.; Luyster, F.S.; Clark, R.; Williams, L.M.; Gordon, E. Body mass index and neuropsychological function in healthy children and adolescents. Appetite 2008, 50, 246–251. [Google Scholar] [CrossRef] [PubMed]
- Qizilbash, N.; Gregson, J.; Johnson, M.E.; Pearce, N.; Douglas, I.; Wing, K.; Evans, S.J.W.; Pocock, S.J. BMI and risk of dementia in two million people over two decades: A retrospective cohort study. Lancet Diabetes Endocrinol. 2015, 3, 431–436. [Google Scholar] [CrossRef]
- Lozano-Serra, E.; Andrés-Perpiñá, S.; Lázaro-García, L.; Castro-Fornieles, J. Adolescent anorexia nervosa: Cognitive performance after weight recovery. J. Psychosom. Res. 2014, 76, 6–11. [Google Scholar] [CrossRef] [PubMed]
- Ou, X.; Andres, A.; Pivik, R.; Cleves, M.A.; Badger, T.M. Brain gray and white matter differences in healthy normal weight and obese children. J. Magn. Reson. Imaging 2015, 42, 1205–1213. [Google Scholar] [CrossRef] [PubMed]
- Seitz, J.; Herpertz-Dahlmann, B.; Konrad, K. Brain morphological changes in adolescent and adult patients with anorexia nervosa. J. Neural Transm. 2016, 123, 949–959. [Google Scholar] [CrossRef] [PubMed]
- Jauch-Chara, K.; Schmoller, A.; Oltmanns, K.M. Impaired glucose tolerance in healthy men with low body weight. Nutr. J. 2011, 10, 16. [Google Scholar] [CrossRef] [PubMed]
- Petry, N.M.; Barry, D.; Pietrzak, R.H.; Wagner, J.A. Overweight and obesistyity are associated with psychiatric disorders: Results from the national epidemiologic survey on alcohol and related conditions. Psychosom. Med. 2008, 70, 288–297. [Google Scholar] [CrossRef] [PubMed]
- Okereke, O.; Kang, J.H.; Ma, J.; Hankinson, S.E.; Pollak, M.N.; Grodstein, F. Plasma IGF-I levels and cognitive performance in older women. Neurobiol. Aging 2007, 28, 135–142. [Google Scholar] [CrossRef] [PubMed]
- Schneider, H.J.; Saller, B.; Klotsche, J.; März, W.; Erwa, W.; Wittchen, H.U.; Stalla, G.K. Opposite associations of age-dependent insulin-like growth factor-I standard deviation scores with nutritional state in normal weight and obese subjects. Eur. J. Endocrinol. 2006, 154, 699–706. [Google Scholar] [CrossRef] [PubMed]
- Monteleone, P.; Fabrazzo, M.; Martiadis, V.; Serritella, C.; Pannuto, M.; Maj, M. Circulating brain-derived neurotrophic factor is decreased in women with anorexia and bulimia nervosa but not in women with binge-eating disorder: Relationships to co-morbid depression, psychopathology and hormonal variables. Psychol. Med. 2005, 35, 897–905. [Google Scholar] [CrossRef] [PubMed]
- McLean, F.H.; Grant, C.; Morris, A.C.; Horgan, G.W.; Polanski, A.J.; Allan, K.; Campbell, F.M.; Langston, R.F.; Williams, L.M. Rapid and reversible impairment of episodic memory by a high-fat diet in mice. Sci. Rep. 2018, 8, 11976. [Google Scholar] [CrossRef] [PubMed]






| Variables (unit) | Mean (SD) | Min–Max | |
|---|---|---|---|
| Demographics & physiological characteristics | Age (year) | 19.9 (3.5) | 17.0–26.0 |
| SES | 11.3 (4.3) | 2.0–23.0 | |
| Height (cm) | 178.8 (6.5) | 159.0–196.0 | |
| Weight (kg) | 75.3 (15.6) | 52.0–120.0 | |
| BMI (kg/m2) | 23.5 (4.9) | 16.6–38.1 | |
| %Fat | 16.8 (8.3) | 3.1–35.4 | |
| SMM (kg) | 34.3 (4.3) | 25.5–45.4 | |
| Systolic blood pressure (mm Hg) | 112.3 (13.3) | 80.0–150.0 | |
| Diastolic blood pressure (mm Hg) | 72.4 (9.2) | 50.0–110.0 | |
| Total PA (MET-min/week) | 7477.4 (5333.9) | 150.0–19500.0 | |
| BDI-II (score) | 10.5 (7.0) | 1.0–30.0 | |
| Stop signal task | Go RT (ms) | 685.6 (163.7) | 388.1–1125.9 |
| SSRT (ms) | 229.4 (41.9) | 140.3–361.0 | |
| SWM | Strategy (score) | 31.3 (5.9) | 19.0–43.0 |
| Between errors (score) | 22.3 (17.3) | 0.0–72.0 | |
| SSP | Span length (score) | 6.9 (1.1) | 4.0–9.0 |
| Total errors (score) | 14.4 (6.6) | 0.0–48.0 |
| SSRT | Go RT | SSP Length | SSP Total Errors | SWM Between Errors | SWM Strategy | ||
|---|---|---|---|---|---|---|---|
| BMI | Unadj. | −0.07 (p = 0.54) | −0.13 (p = 0.22) | 0.02 (p = 0.83) | −0.02 (p = 0.88) | −0.13 (p = 0.24) | −0.04 (p = 0.74) |
| Adj. # | 0.00 (p = 0.00) | −0.19 (p = 0.14) | −0.09 (p = 0.48) | −0.01 (p = 0.93) | −0.08 (p = 0.55) | 0.03 (p = 0.79) | |
| %Fat | Unadj. | −0.03 (p = 0.76) | −0.04 (p = 0.72) | 0.03 (p = 0.80) | −0.03 (p = 0.76) | −0.13 (p = 0.24) | −0.01 (p = 0.89) |
| Adj. # | 0.03 (p = 0.80) | −0.06 (p = 0.62) | −0.06 (p = 0.60) | −0.03 (p = 0.81) | −0.09 (p = 0.48) | 0.05 (p = 0.68) | |
| SMM | Unadj. | −0.02 (p = 0.84) | −0.24 (p = 0.03) | 0.01 (p = 0.89) | −0.01 (p = 0.92) | −0.10 (p = 0.36) | −0.11 (p = 0.32) |
| Adj. # | 0.03 (p = 0.78) | −0.28 (p = 0.02) | −0.05 (p = 0.66) | −0.01 (p = 0.91) | −0.05 (p = 0.67) | −0.08 (p = 0.50) | |
| Fat/SMM | Unadj. | −0.02 (p = 0.82) | −0.03 (p = 0.76) | 0.03 (p = 0.75) | −0.01 (p = 0.96) | −0.11 (p = 0.32) | −0.01 (p = 0.94) |
| Adj. # | 0.03 (p = 0.77) | −0.06 (p = 0.65) | −0.06 (p = 0.62) | 0.01 (p = 0.97) | −0.06 (p = 0.60) | 0.06 (p = 0.63) |
© 2019 by the authors. Licensee MDPI, Basel, Switzerland. This article is an open access article distributed under the terms and conditions of the Creative Commons Attribution (CC BY) license (http://creativecommons.org/licenses/by/4.0/).
Share and Cite
Narimani, M.; Esmaeilzadeh, S.; Azevedo, L.B.; Moradi, A.; Heidari, B.; Kashfi-Moghadam, M. Association Between Weight Status and Executive Function in Young Adults. Medicina 2019, 55, 363. https://doi.org/10.3390/medicina55070363
Narimani M, Esmaeilzadeh S, Azevedo LB, Moradi A, Heidari B, Kashfi-Moghadam M. Association Between Weight Status and Executive Function in Young Adults. Medicina. 2019; 55(7):363. https://doi.org/10.3390/medicina55070363
Chicago/Turabian StyleNarimani, Mohammad, Samad Esmaeilzadeh, Liane B. Azevedo, Akbar Moradi, Behrouz Heidari, and Malahat Kashfi-Moghadam. 2019. "Association Between Weight Status and Executive Function in Young Adults" Medicina 55, no. 7: 363. https://doi.org/10.3390/medicina55070363
APA StyleNarimani, M., Esmaeilzadeh, S., Azevedo, L. B., Moradi, A., Heidari, B., & Kashfi-Moghadam, M. (2019). Association Between Weight Status and Executive Function in Young Adults. Medicina, 55(7), 363. https://doi.org/10.3390/medicina55070363

